Biologically Active Sheep Colostrum for Topical Treatment and Skin Care
Abstract
1. Introduction
2. Results
2.1. Fat, Protein and Fatty Acid Analysis
2.2. ABTS and DPPH Free Radical Scavenging Activity Assays
2.3. Inhibition of Tyrosinase Activity
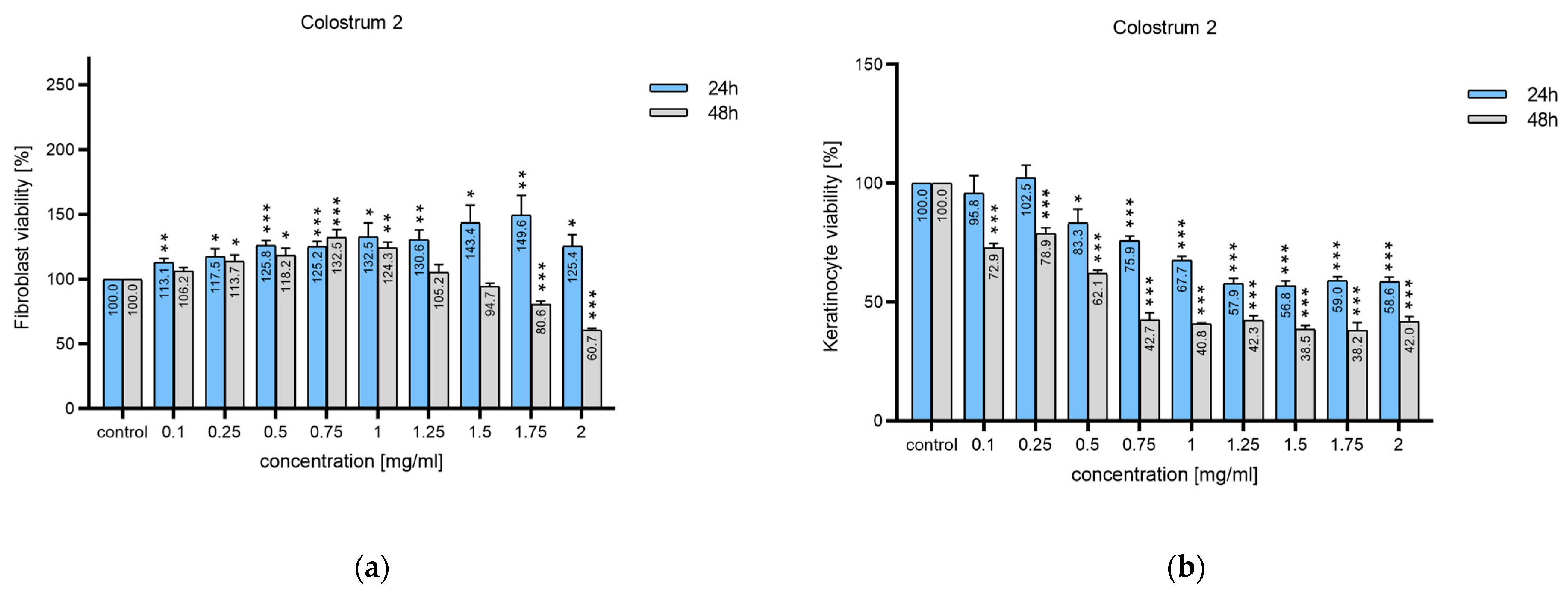
2.4. Proliferation of Fibroblasts and Keratinocytes
2.5. Proliferation of Diabetic Human Fibroblasts
2.6. Scar Test Assay
2.7. Gene Expression
3. Discussion
3.1. Analysis of the Composition of Colostrum
3.2. Antioxidant Activity of Colostrum
3.3. Colostrum’s Impact on Tyrosinase Activity
3.4. The Effect of Colostrum on Proliferation of Fibroblasts and Keratinocytes
3.5. Scar Test Assay
3.6. Gene Expression
4. Materials and Methods
4.1. Colostrum Samples
4.2. Freeze-Drying
4.3. Fat Analysis
4.4. Protein Analysis
4.5. Fatty Acid Analysis
4.6. ABTS Free Radical Scavenging Activity Assay
4.7. DPPH Radical Scavenging Activity
4.8. Inhibition of Tyrosinase Activity
4.9. Proliferation of Fibroblasts and Keratinocytes
4.10. Diabetic Human Fibroblast Culturing
4.11. Diabetic Human Fibroblast Proliferation Assay
4.12. Scar Test
Image Analysis
4.13. Gene Expression Analysis
4.13.1. RNA Isolation and cDNA Synthesis
4.13.2. qPCR
4.13.3. qPCR Data Analysis
4.14. Statistical Analysis
5. Conclusions
Author Contributions
Funding
Institutional Review Board Statement
Informed Consent Statement
Data Availability Statement
Conflicts of Interest
References
- Milani, F.X.; Wendorff, W.L. Goat and Sheep Milk Products in the United States (USA). Small Rumin. Res. 2011, 101, 134–139. [Google Scholar] [CrossRef]
- Arslan, A.; Kaplan, M.; Duman, H.; Bayraktar, A.; Ertürk, M.; Henrick, B.M.; Frese, S.A.; Karav, S. Bovine Colostrum and Its Potential for Human Health and Nutrition. Front. Nutr. 2021, 8, 651721. [Google Scholar] [CrossRef] [PubMed]
- Kazimierska, K.; Kalinowska-Lis, U. Milk Proteins—Their Biological Activities and Use in Cosmetics and Dermatology. Molecules 2021, 26, 3253. [Google Scholar] [CrossRef] [PubMed]
- Scumaci, D.; Trimboli, F.; Dell’Aquila, L.; Concolino, A.; Pappaianni, G.; Tammè, L.; Vignola, G.; Luciani, A.; Morelli, D.; Cuda, G.; et al. Proteomics-Driven Analysis of Ovine Whey Colostrum. PLoS ONE 2015, 10, e0117433. [Google Scholar] [CrossRef] [PubMed]
- Beck, K.L.; Weber, D.; Phinney, B.S.; Smilowitz, J.T.; Hinde, K.; Lönnerdal, B.; Korf, I.; Lemay, D.G. Comparative Proteomics of Human and Macaque Milk Reveals Species-Specific Nutrition during Postnatal Development. J. Proteome Res. 2015, 14, 2143–2157. [Google Scholar] [CrossRef] [PubMed]
- Pisanu, S.; Ghisaura, S.; Pagnozzi, D.; Falchi, G.; Biosa, G.; Tanca, A.; Roggio, T.; Uzzau, S.; Addis, M.F. Characterization of Sheep Milk Fat Globule Proteins by Two-Dimensional Polyacrylamide Gel Electrophoresis/Mass Spectrometry and Generation of a Reference Map. Int. Dairy J. 2012, 24, 78–86. [Google Scholar] [CrossRef]
- Vanderghem, C.; Blecker, C.; Danthine, S.; Deroanne, C.; Haubruge, E.; Guillonneau, F.; De Pauw, E.; Francis, F. Proteome Analysis of the Bovine Milk Fat Globule: Enhancement of Membrane Purification. Int. Dairy J. 2008, 18, 885–893. [Google Scholar] [CrossRef]
- Roncada, P.; Piras, C.; Soggiu, A.; Turk, R.; Urbani, A.; Bonizzi, L. Farm Animal Milk Proteomics. J. Proteom. 2012, 75, 4259–4274. [Google Scholar] [CrossRef] [PubMed]
- Zhang, X.; Liu, X.; Li, F.; Yue, X. The Differential Composition of Whey Proteomes in Hu Sheep Colostrum and Milk during Different Lactation Periods. Animals 2020, 10, 1784. [Google Scholar] [CrossRef]
- Kehoe, S.I.; Jayarao, B.M.; Heinrichs, A.J. A Survey of Bovine Colostrum Composition and Colostrum Management Practices on Pennsylvania Dairy Farms. J. Dairy Sci. 2007, 90, 4108–4116. [Google Scholar] [CrossRef]
- Guiso, M.F.; Battacone, G.; Canu, L.; Deroma, M.; Langasco, I.; Sanna, G.; Tsiplakou, E.; Pulina, G.; Nudda, A. Essential and Toxic Mineral Content and Fatty Acid Profile of Colostrum in Dairy Sheep. Animals 2022, 12, 2730. [Google Scholar] [CrossRef]
- Hosnedlova, B.; Kepinska, M.; Skalickova, S.; Fernandez, C.; Ruttkay-Nedecky, B.; Malevu, T.D.; Sochor, J.; Baron, M.; Melcova, M.; Zidkova, J.; et al. A Summary of New Findings on the Biological Effects of Selenium in Selected Animal Species—A Critical Review. Int. J. Mol. Sci. 2017, 18, 2209. [Google Scholar] [CrossRef] [PubMed]
- Dande, N.D.; Nande, P.J. Nutritional Composition of Bovine Colostrum: Palatability Evaluation of Food Products Prepared Using Bovine Colostrum. Int. J. Nutr. Pharmacol. Neurol. Dis. 2020, 10, 8. [Google Scholar] [CrossRef]
- Khan, I.T.; Nadeem, M.; Imran, M.; Ullah, R.; Ajmal, M.; Jaspal, M.H. Antioxidant Properties of Milk and Dairy Products: A Comprehensive Review of the Current Knowledge. Lipids Health Dis. 2019, 18, 41. [Google Scholar] [CrossRef] [PubMed]
- Bagwe, S.; Tharappel, L.J.P.; Kaur, G.; Buttar, H.S. Bovine Colostrum: An Emerging Nutraceutical. J. Complement. Integr. Med. 2015, 12, 175–185. [Google Scholar] [CrossRef] [PubMed]
- Elfstrand, L.; Lindmark-Månsson, H.; Paulsson, M.; Nyberg, L.; Åkesson, B. Immunoglobulins, Growth Factors and Growth Hormone in Bovine Colostrum and the Effects of Processing. Int. Dairy J. 2002, 12, 879–887. [Google Scholar] [CrossRef]
- Gauthier, S.; Pouliot, Y.; Maubois, J.-L. Growth Factors from Bovine Milk and Colostrum: Composition, Extraction and Biological Activities. Dairy Sci. Technol. 2006, 86, 99–125. [Google Scholar] [CrossRef]
- Hernández-Castellano, L.E.; Almeida, A.M.; Renaut, J.; Argüello, A.; Castro, N. A Proteomics Study of Colostrum and Milk from the Two Major Small Ruminant Dairy Breeds from the Canary Islands: A Bovine Milk Comparison Perspective. J. Dairy Res. 2016, 83, 366–374. [Google Scholar] [CrossRef] [PubMed]
- Jensen, R.G. The Composition of Bovine Milk Lipids: January 1995 to December 2000. J. Dairy Sci. 2002, 85, 295–350. [Google Scholar] [CrossRef] [PubMed]
- McGrath, B.A.; Fox, P.F.; McSweeney, P.L.H.; Kelly, A.L. Composition and Properties of Bovine Colostrum: A Review. Dairy Sci. Technol. 2016, 96, 133–158. [Google Scholar] [CrossRef]
- Day, A.J.; Milner, C.M. TSG-6: A Multifunctional Protein with Anti-Inflammatory and Tissue-Protective Properties. Matrix Biol. 2019, 78–79, 60–83. [Google Scholar] [CrossRef] [PubMed]
- Wendorff, W.L.; Haenlein, G.F.W. Sheep Milk–Composition and Nutrition. In Handbook of Milk of Non-Bovine Mammals; John Wiley & Sons, Ltd.: Hoboken, NJ, USA, 2017; pp. 210–221. ISBN 978-1-119-11031-6. [Google Scholar]
- Kessler, E.C.; Bruckmaier, R.M.; Gross, J.J. Immunoglobulin G Content and Colostrum Composition of Different Goat and Sheep Breeds in Switzerland and Germany. J. Dairy Sci. 2019, 102, 5542–5549. [Google Scholar] [CrossRef]
- Cesarani, A.; Gaspa, G.; Correddu, F.; Cellesi, M.; Dimauro, C.; Macciotta, N.P.P. Genomic Selection of Milk Fatty Acid Composition in Sarda Dairy Sheep: Effect of Different Phenotypes and Relationship Matrices on Heritability and Breeding Value Accuracy. J. Dairy Sci. 2019, 102, 3189–3203. [Google Scholar] [CrossRef] [PubMed]
- Correddu, F.; Cesarani, A.; Dimauro, C.; Gaspa, G.; Macciotta, N.P.P. Principal Component and Multivariate Factor Analysis of Detailed Sheep Milk Fatty Acid Profile. J. Dairy Sci. 2021, 104, 5079–5094. [Google Scholar] [CrossRef]
- Wilms, J.N.; Hare, K.S.; Fischer-Tlustos, A.J.; Vahmani, P.; Dugan, M.E.R.; Leal, L.N.; Steele, M.A. Fatty Acid Profile Characterization in Colostrum, Transition Milk, and Mature Milk of Primi- and Multiparous Cows during the First Week of Lactation. J. Dairy Sci. 2022, 105, 4692–4710. [Google Scholar] [CrossRef] [PubMed]
- Danby, S.G.; AlEnezi, T.; Sultan, A.; Lavender, T.; Chittock, J.; Brown, K.; Cork, M.J. Effect of Olive and Sunflower Seed Oil on the Adult Skin Barrier: Implications for Neonatal Skin Care. Pediatr. Dermatol. 2013, 30, 42–50. [Google Scholar] [CrossRef] [PubMed]
- Danby, S.G.; Andrew, P.V.; Taylor, R.N.; Kay, L.J.; Chittock, J.; Pinnock, A.; Ulhaq, I.; Fasth, A.; Carlander, K.; Holm, T.; et al. Different Types of Emollient Cream Exhibit Diverse Physiological Effects on the Skin Barrier in Adults with Atopic Dermatitis. Clin. Exp. Dermatol. 2022, 47, 1154–1164. [Google Scholar] [CrossRef] [PubMed]
- Olejnik, A.; Gornowicz-Porowska, J.; Jenerowicz, D.; Polańska, A.; Dobrzyńska, M.; Przysławski, J.; Sansone, A.; Ferreri, C. Fatty Acids Profile and the Relevance of Membranes as the Target of Nutrition-Based Strategies in Atopic Dermatitis: A Narrative Review. Nutrients 2023, 15, 3857. [Google Scholar] [CrossRef]
- Menon, S.; Jain, S.; Nagpal, R.; Kumar, M.; Mohania, D.; Yadav, D.; Marotta, F.; Yadav, M.; Yadav, H. Immunomodulatory Potential of Conjugated Linolenic Acid. In Dietary Components and Immune Function; Springer: Berlin/Heidelberg, Germany, 2010; pp. 217–226. ISBN 978-1-60761-060-1. [Google Scholar]
- Bhattacharya, A.; Banu, J.; Rahman, M.; Causey, J.; Fernandes, G. Biological Effects of Conjugated Linoleic Acids in Health and Disease. J. Nutr. Biochem. 2006, 17, 789–810. [Google Scholar] [CrossRef]
- den Hartigh, L.J. Conjugated Linoleic Acid Effects on Cancer, Obesity, and Atherosclerosis: A Review of Pre-Clinical and Human Trials with Current Perspectives. Nutrients 2019, 11, 370. [Google Scholar] [CrossRef]
- Tang, L.; Cao, X.; Li, X.; Ding, H. Topical Application with Conjugated Linoleic Acid Ameliorates 2, 4-Dinitrofluorobenzene-Induced Atopic Dermatitis-like Lesions in BALB/c Mice. Exp. Dermatol. 2021, 30, 237–248. [Google Scholar] [CrossRef] [PubMed]
- Desbois, A.P.; Lawlor, K.C. Antibacterial Activity of Long-Chain Polyunsaturated Fatty Acids against Propionibacterium Acnes and Staphylococcus Aureus. Mar. Drugs 2013, 11, 4544–4557. [Google Scholar] [CrossRef] [PubMed]
- Stobiecka, M.; Król, J.; Brodziak, A. Antioxidant Activity of Milk and Dairy Products. Animals 2022, 12, 245. [Google Scholar] [CrossRef] [PubMed]
- Cichosz, G.; Czeczot, H.; Ambroziak, A.; Bielecka, M.M. Natural Antioxidants in Milk and Dairy Products. Int. J. Dairy Technol. 2017, 70, 165–178. [Google Scholar] [CrossRef]
- El-Fattah, A.A.; Azzam, M.; Elkashef, H.; Elhadydy, A. Antioxidant Properties of Milk: Effect of Milk Species, Milk Fractions and Heat Treatments. Int. J. Dairy Sci. 2019, 15, 1–9. [Google Scholar] [CrossRef][Green Version]
- Ashokbhai, J.K.; Basaiawmoit, B.; Sakure, A.; Das, S.; Patil, G.B.; Mankad, M.; Hati, S. Purification and Characterization of Antioxidative and Antimicrobial Peptides from Lactic-Fermented Sheep Milk. J. Food Sci. Technol. 2022, 59, 4262–4272. [Google Scholar] [CrossRef] [PubMed]
- Schurink, M.; van Berkel, W.J.H.; Wichers, H.J.; Boeriu, C.G. Novel Peptides with Tyrosinase Inhibitory Activity. Peptides 2007, 28, 485–495. [Google Scholar] [CrossRef] [PubMed]
- Kong, S.; Choi, H.-R.; Kim, Y.-J.; Lee, Y.-S.; Park, K.-C.; Kwak, S.-Y. Milk Protein-Derived Antioxidant Tetrapeptides as Potential Hypopigmenting Agents. Antioxidants 2020, 9, 1106. [Google Scholar] [CrossRef] [PubMed]
- Li, A.; He, H.; Chen, Y.; Liao, F.; Tang, J.; Li, L.; Fan, Y.; Li, L.; Xiong, L. Effects of Donkey Milk on UVB-Induced Skin Barrier Damage and Melanin Pigmentation: A Network Pharmacology and Experimental Validation Study. Front. Nutr. 2023, 10, 1121498. [Google Scholar] [CrossRef]
- Torre, C.; Jeusette, I.; Serra, M.; Brazis, P.; Puigdemont, A. Bovine Colostrum Increases Proliferation of Canine Skin Fibroblasts. J. Nutr. 2006, 136, 2058S–2060S. [Google Scholar] [CrossRef]
- Jogi, R.; Tager, M.J.; Perez, D.; Tsapekos, M. Bovine Colostrum, Telomeres, and Skin Aging. J. Drugs Dermatol. 2021, 20, 538–545. [Google Scholar] [CrossRef] [PubMed]
- Zava, S.; Barello, C.; Pessione, A.; Garoffo, L.P.; Fattori, P.; Montorfano, G.; Conti, A.; Giunta, C.; Pessione, E.; Berra, B.; et al. Mare’s Colostrum Globules Stimulate Fibroblast Growth in Vitro: A Biochemical Study. J. Med. Food 2009, 12, 836–845. [Google Scholar] [CrossRef] [PubMed]
- Shi, S.; Li, Q.; Liu, Y.; Zhang, R.; Chen, H. SPARC Promotes Fibroblast Proliferation, Migration, and Collagen Production in Keloids by Inactivation of P53. J. Dermatol. Sci. 2023, 109, 2–11. [Google Scholar] [CrossRef]
- Kovacs, D.; Maresca, V.; Flori, E.; Mastrofrancesco, A.; Picardo, M.; Cardinali, G. Bovine Colostrum Induces the Differentiation of Human Primary Keratinocytes. FASEB J. 2020, 34, 6302–6321. [Google Scholar] [CrossRef] [PubMed]
- Flis, Z.; Szatkowski, P.; Pielichowska, K.; Molik, E. The Potential of Sheep or Camel Milk Constituents to Contribute to Novel Dressings for Diabetic Wounds. Int. J. Mol. Sci. 2023, 24, 17551. [Google Scholar] [CrossRef] [PubMed]
- Kshirsagar, A.Y.; Vekariya, M.A.; Gupta, V.; Pednekar, A.S.; Mahna, A.; Patankar, R.; Shaikh, A.; Nagur, B. A Comparative Study of Colostrum Dressing Versus Conventional Dressing in Deep Wounds. J. Clin. Diagn. Res. 2015, 9, PC01–PC04. [Google Scholar] [CrossRef] [PubMed]
- Bhora, F.Y.; Dunkin, B.J.; Batzri, S.; Aly, H.M.; Bass, B.L.; Sidawy, A.N.; Harmon, J.W. Effect of Growth Factors on Cell Proliferation and Epithelialization in Human Skin. J. Surg. Res. 1995, 59, 236–244. [Google Scholar] [CrossRef] [PubMed]
- Playford, R.J.; Macdonald, C.E.; Johnson, W.S. Colostrum and Milk-Derived Peptide Growth Factors for the Treatment of Gastrointestinal Disorders. Am. J. Clin. Nutr. 2000, 72, 5–14. [Google Scholar] [CrossRef] [PubMed]
- Hagiwara, K.; Kataoka, S.; Yamanaka, H.; Kirisawa, R.; Iwai, H. Detection of Cytokines in Bovine Colostrum. Vet. Immunol. Immunopathol. 2000, 76, 183–190. [Google Scholar] [CrossRef] [PubMed]
- Poreba, E.; Durzynska, J. Nuclear Localization and Actions of the Insulin-like Growth Factor 1 (IGF-1) System Components: Transcriptional Regulation and DNA Damage Response. Mutat. Res./Rev. Mutat. Res. 2020, 784, 108307. [Google Scholar] [CrossRef]
- Siqueiros-Cendón, T.; Arévalo-Gallegos, S.; Iglesias-Figueroa, B.F.; García-Montoya, I.A.; Salazar-Martínez, J.; Rascón-Cruz, Q. Immunomodulatory Effects of Lactoferrin. Acta Pharmacol. Sin. 2014, 35, 557–566. [Google Scholar] [CrossRef] [PubMed]
- Kruzel, M.L.; Zimecki, M.; Actor, J.K. Lactoferrin in a Context of Inflammation-Induced Pathology. Front. Immunol. 2017, 8, 1438. [Google Scholar] [CrossRef] [PubMed]
- Zabłocka, A.; Siednienko, J.; Mitkiewicz, M.; Gorczyca, W.A.; Lisowski, J.; Janusz, M. Proline-Rich Polypeptide Complex (PRP) Regulates Secretion of Inflammatory Mediators by Its Effect on NF-κB Activity. Biomed. Pharmacother. 2010, 64, 16–20. [Google Scholar] [CrossRef] [PubMed]
- Brenmoehl, J.; Ohde, D.; Wirthgen, E.; Hoeflich, A. Cytokines in Milk and the Role of TGF-Beta. Best. Pract. Res. Clin. Endocrinol. Metab. 2018, 32, 47–56. [Google Scholar] [CrossRef] [PubMed]
- Shi, X.; Young, C.D.; Zhou, H.; Wang, X.-J. Transforming Growth Factor-β Signaling in Fibrotic Diseases and Cancer-Associated Fibroblasts. Biomolecules 2020, 10, 1666. [Google Scholar] [CrossRef]
- Sty, A.C.F.; Sangild, P.T.; Skovgaard, K.; Thymann, T.; Bjerre, M.; Chatterton, D.E.W.; Purup, S.; Boye, M.; Heegaard, P.M.H. Spray Dried, Pasteurised Bovine Colostrum Protects against Gut Dysfunction and Inflammation in Preterm Pigs. J. Pediatr. Gastroenterol. Nutr. 2016, 63, 280–287. [Google Scholar] [CrossRef] [PubMed]
- Støy, A.C.F. The Effect of Bovine Colostrum Products on Intestinal Dysfunction and Inflammation in a Preterm Pig Model of Necrotizing Enterocolitis. Ph.D. Thesis, Technical University of Denmark, Kongens Lyngby, Denmark, 2012. [Google Scholar]
- Voza, F.A.; Huerta, C.T.; Le, N.; Shao, H.; Ribieras, A.; Ortiz, Y.; Atkinson, C.; Machuca, T.; Liu, Z.-J.; Velazquez, O.C. Fibroblasts in Diabetic Foot Ulcers. Int. J. Mol. Sci. 2024, 25, 2172. [Google Scholar] [CrossRef] [PubMed]
- Theocharidis, G.; Thomas, B.E.; Sarkar, D.; Mumme, H.L.; Pilcher, W.J.R.; Dwivedi, B.; Sandoval-Schaefer, T.; Sîrbulescu, R.F.; Kafanas, A.; Mezghani, I.; et al. Single Cell Transcriptomic Landscape of Diabetic Foot Ulcers. Nat. Commun. 2022, 13, 181. [Google Scholar] [CrossRef] [PubMed]
- PN ISO 1444:2000; Meat and Meat Products—Determination of Free. Polish Committee for Standardization: Szczecin, Poland, 2013. Available online: https://infostore.saiglobal.com/en-gb/standards/pn-iso-1444-2000-926297_saig_pkn_pkn_2185591/ (accessed on 28 October 2022).
- EN ISO 8968-1:2014; —Milk and Milk Products—Determination of Nitrogen Content—Part 1: Kjeldahl Principle and Crude Protein Calculation. ISO: Geneva, Switzerland, 2014. Available online: https://standards.iteh.ai/catalog/standards/cen/0532d3e0-84f0-4e03-8dc4-d75d5897ec6f/en-iso-8968-1-2014 (accessed on 28 October 2022).
- Re, R.; Pellegrini, N.; Proteggente, A.; Pannala, A.; Yang, M.; Rice-Evans, C. Antioxidant Activity Applying an Improved ABTS Radical Cation Decolorization Assay. Free Radic. Biol. Med. 1999, 26, 1231–1237. [Google Scholar] [CrossRef] [PubMed]
- Bersuder, P.; Hole, M.; Smith, G. Antioxidants from a Heated Histidine-Glucose Model System. I: Investigation of the Antioxidant Role of Histidine and Isolation of Antioxidants by High-Performance Liquid Chromatography. J. Am. Oil Chem. Soc. 1998, 75, 181–187. [Google Scholar] [CrossRef]
- Oussaief, O.; Jrad, Z.; Adt, I.; Dbara, M.; Khorchani, T.; El-Hatmi, H. Antioxidant Activities of Enzymatic-Hydrolysed Proteins of Dromedary (Camelus Dromedarius) Colostrum. Int. J. Dairy Technol. 2020, 73, 333–340. [Google Scholar] [CrossRef]
- Salar, S.; Jafarian, S.; Mortazavi, A.; Nasiraie, L.R. Effect of Hurdle Technology of Gentle Pasteurisation and Drying Process on Bioactive Proteins, Antioxidant Activity and Microbial Quality of Cow and Buffalo Colostrum. Int. Dairy J. 2021, 121, 105138. [Google Scholar] [CrossRef]
- Choi, D.; Min, S.-G.; Jo, Y.-J. Functionality of Porcine Skin Hydrolysates Produced by Hydrothermal Processing for Liposomal Delivery System. J. Food Biochem. 2018, 42, e12464. [Google Scholar] [CrossRef]
- Hong, G.-P.; Min, S.-G.; Jo, Y.-J. Anti-Oxidative and Anti-Aging Activities of Porcine By-Product Collagen Hydrolysates Produced by Commercial Proteases: Effect of Hydrolysis and Ultrafiltration. Molecules 2019, 24, 1104. [Google Scholar] [CrossRef] [PubMed]
- Schneider, C.A.; Rasband, W.S.; Eliceiri, K.W. NIH Image to ImageJ: 25 Years of Image Analysis. Nat. Methods 2012, 9, 671–675. [Google Scholar] [CrossRef]
- Suarez-Arnedo, A.; Figueroa, F.T.; Clavijo, C.; Arbeláez, P.; Cruz, J.C.; Muñoz-Camargo, C. An Image J Plugin for the High Throughput Image Analysis of in Vitro Scratch Wound Healing Assays. PLoS ONE 2020, 15, e0232565. [Google Scholar] [CrossRef] [PubMed]
- Winer, J.; Jung, C.K.S.; Shackel, I.; Williams, P.M. Development and Validation of Real-Time Quantitative Reverse Transcriptase–Polymerase Chain Reaction for Monitoring Gene Expression in Cardiac Myocytes In Vitro. Anal. Biochem. 1999, 270, 41–49. [Google Scholar] [CrossRef]
- Schmittgen, T.D.; Zakrajsek, B.A.; Mills, A.G.; Gorn, V.; Singer, M.J.; Reed, M.W. Quantitative Reverse Transcription–Polymerase Chain Reaction to Study mRNA Decay: Comparison of Endpoint and Real-Time Methods. Anal. Biochem. 2000, 285, 194–204. [Google Scholar] [CrossRef]








| Colostrum 1 | Colostrum 2 | |||||
|---|---|---|---|---|---|---|
| M | SD | SE | M | SD | SE | |
| Fat (%) | 38.05 a | 0.50 | 0.17 | 26.63 a | 0.75 | 0.25 |
| Protein (%) | 34.14 b | 0.23 | 0.12 | 43.68 b | 0.37 | 0.18 |
| Colostrum 1 | Colostrum 2 | |||||||
|---|---|---|---|---|---|---|---|---|
| M | SD | SE | M | SD | SE | |||
| Caprylic acid | CH3(CH2)6COOH | C8:0 | 0.00 | 0.00 | 0.00 | 0.36 | 0.02 | 0.01 |
| Capric acid | CH3(CH2)8COOH | C10:0 | 0.00 | 0.00 | 0.00 | 1.35 | 0.06 | 0.03 |
| Lauric acid | CH3(CH2)10COOH | C12:0 | 2.34 | 0.39 | 0.23 | 2.59 | 0.19 | 0.11 |
| Myristic acid | CH3(CH2)12COOH | C14:0 | 11.17 | 1.17 | 0.68 | 13.04 | 0.65 | 0.38 |
| Pentadecylic acid | CH3(CH2)13COOH | C15:0 | 1.09 | 0.07 | 0.04 | 1.52 | 0.45 | 0.26 |
| Palmitic acid | CH3(CH2)14COOH | C16:0 | 37.41 | 0.16 | 0.09 | 37.14 | 0.96 | 0.56 |
| Palmitoleic acid | 9-cis-Hexadecenoic acid | C16:1 | 2.04 | 0.30 | 0.17 | 1.17 | 0.02 | 0.01 |
| Margaric acid | CH3(CH2)15COOH | C17:0 | 1.32 | 0.28 | 0.16 | 0.89 | 0.16 | 0.09 |
| Stearic acid | CH3(CH2)16COOH | C18:0 | 10.65 | 0.80 | 0.469 | 11.86 | 0.72 | 0.41 |
| Oleic acid | cis-9-octadecenoic acid | 18:1 (n-9) | 29.11 | 1.26 | 0.73 | 23.46 | 0.58 | 0.33 |
| Linoleic acid (LA) | all-cis-9,12-octadecadienoic acid | 18:2 (n-6) | 2.98 | 0.18 | 0.11 | 3.97 | 0.22 | 0.13 |
| Conjugated linoleic acid (CLA) | (9Z,11E)-Octadeca-9,11-dienoic acid | CLA | 0.76 | 0.06 | 0.04 | 1.64 | 0.05 | 0.03 |
| Alpha-linolenic acid (ALA) | all-cis-9,12,15-octadecatrienoic acid | 18:3 (n-3) | 1.12 | 0.04 | 0.02 | 1.01 | 0.042 | 0.022 |
| SFA | 63.98 | 1.11 | 0.64 | 68.75 | 0.78 | 0.45 | ||
| MUFA | 31.16 | 0.98 | 0.56 | 24.63 | 0.59 | 0.34 | ||
| PUFA | 4.86 | 0.15 | 0.08 | 6.62 | 0.21 | 0.12 | ||
| ABTS | DPPH | ||||
|---|---|---|---|---|---|
| EC50 [mg/mL] ± SD | EC50 [mg/mL] ± SD | ||||
| 10 min | 20 min | 30 min | 40 min | 30 min | |
| Colostrum 1 | 0.727 ± 0.051 | 0.574 ± 0.034 | 0.515 ± 0.048 | 0.477 ± 0.048 | 0.988 ± 0.137 |
| Colostrum 2 | 0.625 ± 0.051 | 0.512 ± 0.033 | 0.455 ± 0.043 | 0.424 ± 0.053 | 0.806 ± 0.155 |
| Ascorbic acid | 0.0053 ± 0.0007 | 0.0026 ± 0.0003 | |||
| Colostrum 1 | Colostrum 2 | Ascorbic Acid |
|---|---|---|
| M ± SD | M ± SD | M ± SD |
| 23.4% ± 0.6% | 7.0% ± 2.0% | 96.0% ± 2.2% |
Disclaimer/Publisher’s Note: The statements, opinions and data contained in all publications are solely those of the individual author(s) and contributor(s) and not of MDPI and/or the editor(s). MDPI and/or the editor(s) disclaim responsibility for any injury to people or property resulting from any ideas, methods, instructions or products referred to in the content. |
© 2024 by the authors. Licensee MDPI, Basel, Switzerland. This article is an open access article distributed under the terms and conditions of the Creative Commons Attribution (CC BY) license (https://creativecommons.org/licenses/by/4.0/).
Share and Cite
Kazimierska, K.; Szabłowska-Gadomska, I.; Rudziński, S.; Kośla, K.; Płuciennik, E.; Bobak, Ł.; Zambrowicz, A.; Kalinowska-Lis, U. Biologically Active Sheep Colostrum for Topical Treatment and Skin Care. Int. J. Mol. Sci. 2024, 25, 8091. https://doi.org/10.3390/ijms25158091
Kazimierska K, Szabłowska-Gadomska I, Rudziński S, Kośla K, Płuciennik E, Bobak Ł, Zambrowicz A, Kalinowska-Lis U. Biologically Active Sheep Colostrum for Topical Treatment and Skin Care. International Journal of Molecular Sciences. 2024; 25(15):8091. https://doi.org/10.3390/ijms25158091
Chicago/Turabian StyleKazimierska, Kinga, Ilona Szabłowska-Gadomska, Stefan Rudziński, Katarzyna Kośla, Elżbieta Płuciennik, Łukasz Bobak, Aleksandra Zambrowicz, and Urszula Kalinowska-Lis. 2024. "Biologically Active Sheep Colostrum for Topical Treatment and Skin Care" International Journal of Molecular Sciences 25, no. 15: 8091. https://doi.org/10.3390/ijms25158091
APA StyleKazimierska, K., Szabłowska-Gadomska, I., Rudziński, S., Kośla, K., Płuciennik, E., Bobak, Ł., Zambrowicz, A., & Kalinowska-Lis, U. (2024). Biologically Active Sheep Colostrum for Topical Treatment and Skin Care. International Journal of Molecular Sciences, 25(15), 8091. https://doi.org/10.3390/ijms25158091

