Effect of Ho3+ Substitution on Magnetic Properties of ZnCr2Se4
Abstract
1. Introduction
2. Results and Discussion
2.1. Structural and Analytical Analysis
2.2. Thermal Stability
2.3. FPLO Calculation
2.4. UV–vis–NIR Studies
2.5. Specific Heat Capacity
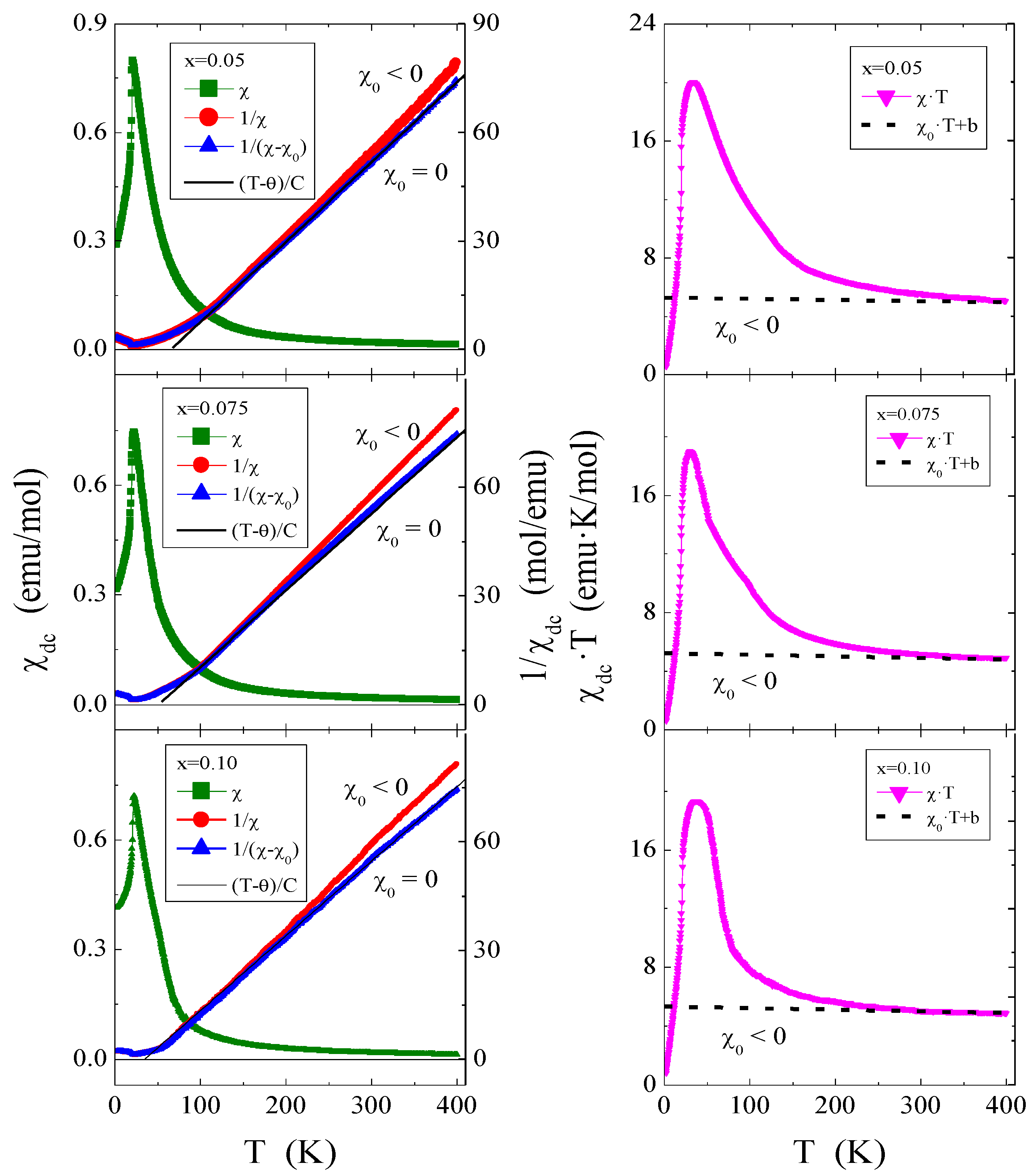
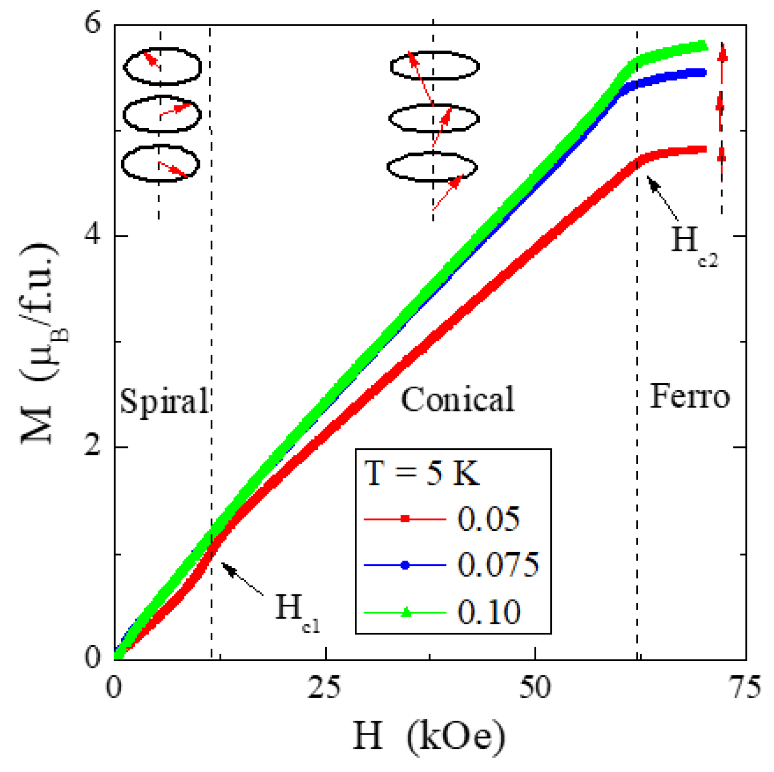
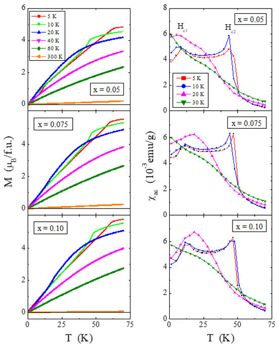
2.6. Magnetic Properties
2.7. Molecular Field Approximation
2.8. XPS Studies
3. Materials and Methods
3.1. Synthesis of Microcrystalline ZnCr2−xHoxSe4 Solid Solution
3.2. Experimental Techniques
4. Conclusions
Supplementary Materials
Author Contributions
Funding
Institutional Review Board Statement
Informed Consent Statement
Data Availability Statement
Conflicts of Interest
References
- Deng, Y.; Wang, H.; Gu, W.; Li, S.; Xiao, N.; Shao, C.; Xu, Q.; Ye, L. Ho3+ doped NaGdF4 nanoparticles as MRI/optical probes for brain glioma imaging. J. Mater. Chem. B 2014, 2, 1521–1529. [Google Scholar] [CrossRef]
- Xue, D.; Liu, Y.; Jin, L.; Wang, Y.; Cui, F.; Liu, J.; Li, X.; Zhang, S.; Zha, Y.; Yin, N.; et al. Novel multifunctional theranostic nanoagents based on Ho3+ for CT/MRI dual-modality imaging-guided photothermal therapy. Sci. China Chem. 2021, 64, 558–564. [Google Scholar] [CrossRef]
- Hemberger, J.; Krug von Nidda, H.-A.; Tsurkan, V.; Loidl, A. Large magnetostriction and negative thermal expansion in the frustrated antiferromagnet ZnCr2Se4. Phys. Rev. Lett. 2007, 98, 147203. [Google Scholar] [CrossRef]
- Hemberger, J.; Rudolf, T.; Krug von Nidda, H.-A.; Mayr, F.; Pimenov, A.; Tsurkan, V.; Loidl, A. Spin-driven phonon splitting in bond-frustrated ZnCr2Se4. Phys. Rev. Lett. 2006, 97, 087204. [Google Scholar] [CrossRef]
- Lee, S.-H.; Broholm, C.; Kim, T.H.; Ratcliff, W., II; Cheong, S.-W. Local Spin Resonance and Spin-Peierls-like Phase Transition in a Geometrically Frustrated Antiferromagnet. Phys. Rev. Lett. 2000, 84, 3718. [Google Scholar] [CrossRef]
- Hemberger, J.; Lunkenheimer, P.; Frivhtl, R.; Krug von Nidda, H.-A.; Tsurkan, V.; Loidl, A. Relaxor ferroelectricity and colossal magnetocapacitive coupling in ferromagnetic CdCr2Se4. Nature 2005, 434, 364–367. [Google Scholar] [CrossRef]
- Mostovoy, M. Ferroelectricity in spiral magnets. Phys. Rev. Lett. 2006, 96, 067601. [Google Scholar] [CrossRef]
- Kimura, T.; Tokura, Y. Magnetoelectric phase control in a magnetic system showing cycloidal/conical spin order. J. Phys. Condens. Matter 2008, 20, 434204. [Google Scholar] [CrossRef]
- Snyder, G.J.; Caillat, T.; Fleurial, J.P. Thermoelectric properties of chalcogenides with the spinel structure. Mater. Res. Innovat. 2001, 5, 67–73. [Google Scholar] [CrossRef]
- Fichtl, R.; Tsurkan, V.; Lunkenheimer, P.; Hemberger, J.; Fritsch, V.; Krug von Nidda, H.-A.; Scheidt, E.-W.; Loidl, A. Orbital Freezing and Orbital Glass State in FeCr2S4. Phys. Rev. Lett. 2005, 94, 027601. [Google Scholar] [CrossRef]
- Weber, S.; Lunkenheimer, P.; Fichtl, R.; Hemberger, J.; Tsurkan, V.; Loidl, A. Colossal Magnetocapacitance and Colossal Magnetoresistance in HgCr2S4. Phys. Rev. Lett. 2006, 96, 157202. [Google Scholar] [CrossRef]
- Yamasaki, Y.; Miyasaka, S.; Kaneko, Y.; He, J.-P.; Arima, T.; Tokura, Y. Magnetic Reversal of the Ferroelectric Polarisation in a Multiferroic Spinel Oxide. Phys. Rev. Lett. 2006, 96, 207204. [Google Scholar] [CrossRef]
- Kondo, S.; Johnston, D.C.; Swenson, C.A.; Borsa, F.; Mahajan, A.V.; Miller, L.L.; Gu, T.; Goldman, A.I.; Maple, M.B.; Gajewski, D.A.; et al. LiV2O4: A Heavy Fermion Transition Metal Oxide. Phys. Rev. Lett. 1997, 78, 3729–3732. [Google Scholar] [CrossRef]
- Krimmel, A.; Loidl, A.; Klemm, M.; Horn, S.; Schober, H. Dramatic Change of the Magnetic Response in LiV2O4: Possible Heavy Fermion to Itinerant d-Metal Transition. Phys. Rev. Lett. 1999, 82, 2919–2922. [Google Scholar] [CrossRef]
- Lee, S.-H.; Broholm, C.; Ratcliff, W.; Gasparovic, G.; Huang, Q.; Kim, T.H.; Cheong, S.-W. Emergent excitations in a geometrically frustrated magnet. Nature 2002, 418, 856–858. [Google Scholar] [CrossRef]
- Radaelli, P.G.; Horibe, Y.; Gutmann, M.J.; Ishibashi, H.; Chen, C.H.; Ibberson, R.M.; Koyama, Y.; Hor, Y.-S.; Kiryukhin, V.; Cheong, S.-W. Formation of isomorphic Ir3+ and Ir4+ octamers and spin dimerisation in the spinel CuIr2S4. Nature 2002, 416, 155–158. [Google Scholar] [CrossRef]
- Schmidt, M.; Ratcliff, W., II; Radaelli, P.G.; Refson, K.; Harrison, N.M.; Cheong, S.W. Spin Singlet Formation in MgTi2O4: Evidence of a Helical Dimerization Pattern. Phys. Rev. Lett. 2004, 92, 056402. [Google Scholar] [CrossRef]
- Fritsch, V.; Hemberger, J.; Büttgen, N.; Scheidt, E.-W.; Krug von Nidda, H.-A.; Loidl, A.; Tsurkan, V. Spin and Orbital Frustration in MnSc2S4 and FeSc2S4. Phys. Rev. Lett. 2004, 92, 116401. [Google Scholar] [CrossRef]
- Krimmel, A.; Mücksch, M.; Tsurkan, V.; Koza, M.M.; Mutka, H.; Loidl, A. Vibronic and Magnetic Excitations in the Spin-Orbital Liquid State of FeSc2S4. Phys. Rev. Lett. 2005, 94, 237402. [Google Scholar] [CrossRef]
- Busch, G.; Magyar, B.; Wachter, P. Optical absorption of some ferro- and antiferromagnetic spinels, containing Cr3+-ions. Phys. Lett. 1966, 23, 438–440. [Google Scholar] [CrossRef]
- Watanabe, T.; Endo, S.; Kasai, A. Electrical properties of ZnCr2Se4. Jap. J. Appl. Phys. 1980, 19, 279–284. [Google Scholar] [CrossRef]
- Lotgering, F.K. Proceedings of the International Conference on Magnetism, Nottingham September 1964; Bates, L.F., Ed.; Institute of Physics: London, UK, 1965; pp. 533–537. [Google Scholar]
- Jendrzejewska, I.; Groń, T.; Kusz, J.; Żelechower, M.; Maciążek, E.; Ślebarski, A.; Fijałkowski, M. Spin-glass-like behaviour in tin doped ZnCr2Se4 single crystals. J. Alloys Compd. 2015, 635, 238–244. [Google Scholar] [CrossRef]
- Jendrzejewska, I.; Groń, T.; Goraus, J.; Pilch, M.; Pietrasik, E.; Barsova, Z.; Czerniewski, J.; Goryczka, T.; Witkowska-Kita, B.; Bieńko, A.; et al. Synthesis and structural, magnetic, thermal and electronic properties of Mn-doped ZnCr2Se4. Mater. Chem. Phys. 2019, 238, 121901. [Google Scholar] [CrossRef]
- Jendrzejewska, I.; Groń, T.; Knizek, K.; Pilch, M.; Ślebarski, A.; Goraus, J.; Zajdel, P.; Stokłosa, Z.; Pietrasik, E.; Goryczka, T.; et al. Preparation, structure and magnetic, electronic and thermal properties of Dy3+-doped ZnCr2Se4 with unique geometric type spin-glass. J. Solid State Chem. 2021, 298, 122114. [Google Scholar] [CrossRef]
- Jendrzejewska, I.; Groń, T.; Kusz, J.; Goraus, J.; Barsova, Z.; Pietrasik, E.; Czerniewski, J.; Goryczka, T.; Kubisztal, M. Growth, structure and physico-chemical properties of monocrystalline ZnCr2Se4:Ho prepared by chemical vapour transport. J. Solid State Chem. 2020, 281, 121024. [Google Scholar] [CrossRef]
- Jendrzejewska, I.; Groń, T.; Kusz, J.; Barsova, Z.; Pietrasik, E.; Goryczka, T.; Sawicki, B.; Ślebarski, A.; Fijałkowski, M.; Jampilek, J.; et al. Synthesis, crystal structure and characterization of monocrystalline ZnCr2Se4 doped with neodymium. J. Solid State Chem. 2020, 292, 121661. [Google Scholar] [CrossRef]
- Plumier, R. Étude par diffraction de neutrons da l’antiferromagnétisme resencel du spinelle ZnCr2Se4 en resence d’un champ magnétique. J. Phys. 1966, 27, 213–219. [Google Scholar] [CrossRef]
- Kleinberger, R.; de Kouchkovsky, R. Étude Radiocristallographique a Basse Temperature du Spinelle ZnCr2Se4. C. R. Acad. Sci. Ser. B 1966, 262, 628–630. [Google Scholar]
- Yokaichiya, F.; Krimmel, A.; Tsurkan, V.; Margiolaki, I.; Thompson, P.; Bordallo, H.N.; Buchsteiner, A.; Stüßer, N.; Argyriou, D.N.; Loidl, A. Spin-driven phase transitions in ZnCr2Se4 and ZnCr2S4 probed by high-resolution synchrotron x-ray and neutron powder diffraction. Phys. Rev. B 2009, 79, 064423. [Google Scholar] [CrossRef]
- Maciążek, E.; Karolus, M.; Kubisztal, M.; Jendrzejewska, I.; Sitko, R.; Groń, T.; Ślebarski, A.; Fijałkowski, M. Magnetic and specific heat properties of a new Gd-doped ZnCr2Se4. Mater. Chem. Phys. 2015, 168, 187–192. [Google Scholar] [CrossRef]
- Parker, D.R.; Green, M.A.; Bramwell, S.T.; Wills, A.S.; Gardner, J.S.; Neumann, D.A. Crossover from Positive to Negative Magnetoresistance in a Spinel. J. Am. Chem. Soc. 2004, 126, 2710–2711. [Google Scholar] [CrossRef]
- Rietveld, H.M. A profile Refinement Method for Nuclear and Magnetic Structures. J. Appl. Cryst. 1969, 2, 65–71. [Google Scholar] [CrossRef]
- Hill, R.J.; Howard, C.J. Quantitative Phase Analysis from Neutron Powder Diffraction Data Using the Rietveld Method. J. Appl. Cryst. 1987, 20, 467–474. [Google Scholar] [CrossRef]
- O’Neill, H.S.C.; Navrotsky, A. Simple Spinels: Crystallographic parameters, cation radii, lattice energies and cation distribution. Am. Mineral. 1983, 68, 181–194. [Google Scholar]
- Shannon, R.D. Revised Effective Ionic Radii and Systematic Studies of Interatomic Distances in Halides and Chalcogenides. Acta Cryst. A 1976, 32, 751–767. [Google Scholar] [CrossRef]
- Sheldrick, G.M. A Short History of SHELX. Acta Cryst. 2008, A64, 112–122. [Google Scholar] [CrossRef]
- Weil, L.; Bertaut, F.; Bochirol, L. Propriétés magnétiques et structure de la phase quadratique du ferrite de cuivre. Le J. De Phys. Et Le Radium 1950, 11, 208–212. [Google Scholar] [CrossRef]
- Satalkar, M.; Kane, S.N. On the study of Structural properties and Cation distribution of Zn0.75−xNixMg0.15Cu0.1Fe2O4 nano ferrite: Effect of Ni addition. J. Phys. Conf. Ser. 2016, 755, 012050. [Google Scholar] [CrossRef]
- Patange, S.M.; Shirsath, S.E.; Toksha, B.G.; Jadhav, S.S.; Shukla, S.J.; Jadhav, K.M. Cation distribution by Rietveld, spectral and magnetic studies of chromium-substituted nickel ferrites. Appl. Phys. A 2009, 95, 429–434. [Google Scholar] [CrossRef]
- Satoh, T.; Tsushima, T.; Kudo, K. A classification of normal spinel type compounds by Ionic packing factor. Mat. Res. Bull. 1974, 9, 1297–1300. [Google Scholar] [CrossRef]
- Yeh, J.J.; Lindau, I. Atomic subshell photoionization cross sections and asymmetry parameters: 1 ≤ Z ≤ 103. At. Data Nucl. Data Tables 1985, 32, 1–155. [Google Scholar] [CrossRef]
- Perdew, J.P.; Wang, Y. Accurate and simple analytic representation of the electron-gas correlation energy. Phys. Rev. B 1992, 45, 13244–13249. [Google Scholar] [CrossRef] [PubMed]
- Ceperley, D.M.; Alder, B.J. Ground state of the electron gas by a stochastic method. Phys. Rev. Lett. 1980, 45, 566–569. [Google Scholar] [CrossRef]
- Mulliken, R.S. Electronic population analysis on LCAO–MO molecular wave functions. J. Chem. Phys. 1955, 23, 1833–1840. [Google Scholar] [CrossRef]
- Tauc, J.; Grigorovici, R.; Vancu, A. Optical properties and electronic structures of amorphous germanium. Phys. Status Solidi. 1966, 15, 627–637. [Google Scholar] [CrossRef]
- Tauc, J.; Menth, A. States in the gap. J. Non-Cryst. Solids 1972, 8–10, 569–585. [Google Scholar] [CrossRef]
- Tauc, J. Optical Properties of Solids; Abels, F., Ed.; Elsevier: Amsterdam, The Netherlands, 1969. [Google Scholar]
- Sun, L.; Su, S.; Xu, Q.; Lu, J.; Xu, K.; Lei, Z.; Liu, R.; Zou, Y.; Li, J.; Gao, J.; et al. Preparation, spectral properties and Judd-Ofelt analysis of Ho3+:YPO4 crystal. J. Lumin. 2023, 263, 120062. [Google Scholar] [CrossRef]
- Dou, R.; Liu, W.; Zhang, Q.; Peng, F.; Sun, G.; Luo, J.; Chen, Y.; Sun, D. Growth and spectroscopic properties of Ho3+ doped GdYTaO4 single crystal. J. Lumin. 2019, 207, 213–219. [Google Scholar] [CrossRef]
- Sawicki, B.; Tomaszewicz, E.; Groń, T.; Oboz, M.; Kusz, J.; Berkowski, M. Magnetic and Electrical Characteristics of Nd3+ and Mn2+-co-doped calcium molybdato-tungstates single crystals. ACS Omega 2023, 8, 38459–38468. [Google Scholar] [CrossRef] [PubMed]
- Urbanowicz, P.; Piątkowska, M.; Sawicki, S.; Groń, T.; Kukuła, Z.; Tomaszewicz, E. Dielectric properties of RE2W2O9 (RE = Pr, Sm-Gd) ceramics. J. Eur. Ceram. Soc. 2015, 35, 4189–4193. [Google Scholar] [CrossRef]
- Makuła, P.; Pacia, M.; Macyk, W. How to correctly determine the band gap energy of modified semiconductor photocatalysts based on UV-Vis spectra. J. Phys. Chem. Lett. 2018, 9, 6814–6817. [Google Scholar] [CrossRef] [PubMed]
- Bespyatov, M.A.; Musikhin, A.E.; Naumov, V.N.; Zelenina, L.N.; Chusova, T.P.; Nikolaev, R.E.; Naumov, N.G. Low-temperature thermodynamic properties of holmium selenide (2:3). J. Chem. Therm. 2018, 118, 21–25. [Google Scholar] [CrossRef]
- Sawicki, B.; Tomaszewicz, E.; Groń, T.; Oboz, M.; Kusz, J.; Berkowski, M. Magnetic and electrical characteristics of Nd3+-doped lead molybdato-tungstate single crystals. Materials 2023, 16, 620. [Google Scholar] [CrossRef] [PubMed]
- Sawicki, B.; Tomaszewicz, E.; Groń, T.; Oboz, M.; Gruszka, I.; Guzik, A.; Urbanowicz, P. Magnetic and Electrical Properties of CoRE2W2O10 Ceramic Materials. ACS Omega 2023, 8, 37108–37115. [Google Scholar] [CrossRef] [PubMed]
- Krok-Kowalski, J.; Warczewski, J.; Mydlarz, T.; Pacyna, A.; Okońska-Kozłowska, I. Magnetic superexchange interactions and metamagnetic phase transitions in the single crystals of the spinels ZnCr2-xInxSe4 (0 ≤ x ≤ 0.14). J. Mag. Mag. Mater. 1997, 166, 172–178. [Google Scholar] [CrossRef]
- Koepernik, K.; Eschrig, H. Full-potential nonorthogonal local-orbital minimum-basis band-structure scheme. Phys. Rev. B 1999, 59, 1743–1757. [Google Scholar] [CrossRef]
- Opahle, I.; Koepernik, K.; Eschrig, H. Full-potential band-structure calculation of iron pyrite. Phys. Rev. B 1999, 60, 14035–14041. [Google Scholar] [CrossRef]
- Koepernik, K.; Velicky, B.; Hayn, R.; Eschrig, H. Self-consistent LCAO-CPA method for disordered alloys. Phys. Rev. B 1997, 155, 5717–5729. [Google Scholar] [CrossRef]
- Eschrig, H.; Richter, M.; Opahle, I. Relativistic Solid State Calculations. In Relativistic Electronic Structure Theory, Part 2. Applications; Schwerdtfeger, P., Ed.; Theoretical and Computational Chemistry; Elsevier: Amsterdam, The Netherlands, 2004; Volume 14, pp. 723–776. [Google Scholar]
- Eschrig, H.; Koepernik, K.; Chaplygin, I. Density functional application to strongly correlated electron systems. J. Solid State Chem. 2003, 176, 482–495. [Google Scholar] [CrossRef]
- Soven, P. Coherent-Potential Model of Substitutional Disordered Alloys. Phys. Rev. 1967, 156, 809–813. [Google Scholar] [CrossRef]
















| Cation | Electron Configuration | Ionic Radius (Å) | Electronegativity | peff * | Basic Term |
|---|---|---|---|---|---|
| Zn2+ | [Ar] 3d10 | 0.60 (CN = 4) | 1.65 | 0 | 1S |
| Ho3+ | [Xe] 4f10 | 0.90 (CN = 6) | 1.23 | 10.6 | 5J8 |
| Cr3+ | [Ar] 3d3 | 0.62 (CN = 6) | 1.66 | 3.87 | 4F3/2 |
| x | % Mass | Chemical Composition | |||
|---|---|---|---|---|---|
| Zn | Cr | Ho | Se | ||
| 0.05 | 13.82(2) | 20.52(3) | 1.68(2) | 63.98(1) | Zn0.99Cr1.95Ho0.05Se4.0 |
| 0.075 | 13.83(1) | 20.21(2) | 2.49(2) | 63.47(3) | Zn1.00Cr1.925Ho0.0.075Se4.0 |
| 0.10 | 13.79(2) | 19.93(1) | 3.15(2) | 63.13(1) | Zn0.99Cr1.90Ho0.10Se4.0 |
| Formula | Mass Loss (%) | Onset (o) | Offset (o) | Peak Minimum (o) | Peak Height (mW) | Peak Area (J) | Enthalpy (J/g) |
|---|---|---|---|---|---|---|---|
| ZnCr2Se4 | 5 | 710 | 740 | 725 | 1.66 | 0.13 | 20.2 |
| ZnCr1.95Ho0.05Se4.0 | 34 | ||||||
| I peak | 751 | 786 | 764 | 8.13 | 29.3 | ||
| II peak | 1155 | 1189 | 1172 | 9.61 | 39.6 | ||
| III peak | 1344 | 1359 | 1355 | 31.8 | 60.7 | ||
| ZnCr1.925Ho0.075Se4.0 | 35 | ||||||
| I peak | 732 | 779 | 760 | 9.62 | 59.5 | ||
| II peak | 1139 | 1202 | 1162 | 11.34 | 67.8 | ||
| III peak | 1345 | 1358 | 1354 | 35.0 | 97.5 | ||
| ZnCr1.90Ho0.10Se4.0 | 36 | ||||||
| I peak | 735 | 764 | 749 | 2.35 | 9.17 | ||
| II peak | 1151 | 1192 | 1170 | 9.38 | 74.5 | ||
| III peak | 1343 | 1357 | 1353 | 32.2 | 62.2 |
| x | C (emu·K/mol) | TN (K) | θ (K) | µeff (µB/f.u.) | M(5K) (µB/f.u.) | peff | χ0 (emu/mol) | b (emu·K/mol) | J1 (K) | J2 (K) | Hc1 (kOe) | Hc2 (kOe) |
|---|---|---|---|---|---|---|---|---|---|---|---|---|
| 0 | 3.270 | 21.9 | 55 | 5.114 | 5.74 | 5.477 | −0.001245 | 3.66828 | −2.37 | 1.01 | 10.0 | 65 |
| 0.05 | 4.537 | 21.3 | 66 | 6.024 | 4.82 | 5.906 | −0.000809 | 5.25961 | −2.10 | 1.08 | 11.6 | 60.7 |
| 0.075 | 4.727 | 21.7 | 51 | 6.069 | 5.54 | 6.108 | −0.001071 | 5.21961 | −2.41 | 0.97 | 8.0 | 58.2 |
| 0.10 | 4.848 | 22.3 | 34 | 6.227 | 5.78 | 6.305 | −0.001121 | 5.31961 | −2.78 | 0.84 | 9.4 | 59.5 |
Disclaimer/Publisher’s Note: The statements, opinions and data contained in all publications are solely those of the individual author(s) and contributor(s) and not of MDPI and/or the editor(s). MDPI and/or the editor(s) disclaim responsibility for any injury to people or property resulting from any ideas, methods, instructions or products referred to in the content. |
© 2024 by the authors. Licensee MDPI, Basel, Switzerland. This article is an open access article distributed under the terms and conditions of the Creative Commons Attribution (CC BY) license (https://creativecommons.org/licenses/by/4.0/).
Share and Cite
Jendrzejewska, I.; Groń, T.; Tomaszewicz, E.; Stokłosa, Z.; Goryczka, T.; Goraus, J.; Pilch, M.; Pietrasik, E.; Witkowska-Kita, B. Effect of Ho3+ Substitution on Magnetic Properties of ZnCr2Se4. Int. J. Mol. Sci. 2024, 25, 7918. https://doi.org/10.3390/ijms25147918
Jendrzejewska I, Groń T, Tomaszewicz E, Stokłosa Z, Goryczka T, Goraus J, Pilch M, Pietrasik E, Witkowska-Kita B. Effect of Ho3+ Substitution on Magnetic Properties of ZnCr2Se4. International Journal of Molecular Sciences. 2024; 25(14):7918. https://doi.org/10.3390/ijms25147918
Chicago/Turabian StyleJendrzejewska, Izabela, Tadeusz Groń, Elżbieta Tomaszewicz, Zbigniew Stokłosa, Tomasz Goryczka, Jerzy Goraus, Michał Pilch, Ewa Pietrasik, and Beata Witkowska-Kita. 2024. "Effect of Ho3+ Substitution on Magnetic Properties of ZnCr2Se4" International Journal of Molecular Sciences 25, no. 14: 7918. https://doi.org/10.3390/ijms25147918
APA StyleJendrzejewska, I., Groń, T., Tomaszewicz, E., Stokłosa, Z., Goryczka, T., Goraus, J., Pilch, M., Pietrasik, E., & Witkowska-Kita, B. (2024). Effect of Ho3+ Substitution on Magnetic Properties of ZnCr2Se4. International Journal of Molecular Sciences, 25(14), 7918. https://doi.org/10.3390/ijms25147918

