Simultaneous High-Performance Recovery and Extended Acid-Catalyzed Hydrolysis of Oleuropein and Flavonoid Glycosides of Olive (Olea europaea) Leaves: Hydrothermal versus Ethanol Organosolv Treatment
Abstract
1. Introduction
2. Results and Discussion
2.1. Effect of Acid Addition
2.2. Ethanol Effect
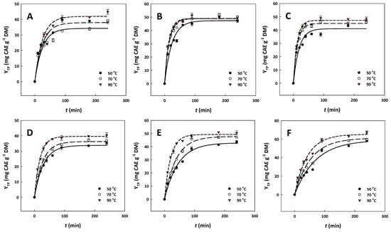
2.3. Acid and Ethanol Effects on Extraction Kinetics
2.4. Response-Surface Methodology and Treatment Optimization
2.5. Effect of Treatments on Extract Composition
2.6. Treatment Effect on Antioxidant Activity
3. Materials and Methods
3.1. Chemicals
3.2. Collection and Processing of Olive Leaves (OLLs)
3.3. Screening of Acid Catalyst
3.4. Hydrothermal Treatment
3.5. Ethanol Organosolv Treatment
3.6. Extraction Kinetics—The Effect of Temperature
3.7. Treatment Optimization through Response-Surface Methodology
3.8. Analytical Determinations
3.9. Liquid Chromatography–Diode Array-Tandem Mass Spectrometry (LC-DAD-MS)
3.10. Statistical Handling
4. Conclusions
Author Contributions
Funding
Institutional Review Board Statement
Informed Consent Statement
Data Availability Statement
Conflicts of Interest
References
- Contreras, M.d.M.; Gómez-Cruz, I.; Romero, I.; Castro, E. Olive pomace-derived biomasses fractionation through a two-step extraction based on the use of ultrasounds: Chemical characteristics. Foods 2021, 10, 111. [Google Scholar] [CrossRef] [PubMed]
- Gullon, P.; Gullon, B.; Astray, G.; Carpena, M.; Fraga-Corral, M.; Prieto, M.A.; Simal-Gandara, J. Valorization of by-products from olive oil industry and added-value applications for innovative functional foods. Food Res. Int. 2020, 137, 109683. [Google Scholar] [CrossRef] [PubMed]
- Ouro-Salim, O.; Guarnieri, P. Circular economy of food waste: A literature review. Environ. Qual. Manag. 2022, 32, 225–242. [Google Scholar] [CrossRef]
- Rațu, R.N.; Veleșcu, I.D.; Stoica, F.; Usturoi, A.; Arsenoaia, V.N.; Crivei, I.C.; Postolache, A.N.; Lipșa, F.D.; Filipov, F.; Florea, A.M. Application of agri-food by-products in the food industry. Agriculture 2023, 13, 1559. [Google Scholar] [CrossRef]
- Tapia-Quirós, P.; Montenegro-Landívar, M.F.; Reig, M.; Vecino, X.; Cortina, J.L.; Saurina, J.; Granados, M. Recovery of polyphenols from agri-food by-products: The olive oil and winery industries cases. Foods 2022, 11, 362. [Google Scholar] [CrossRef]
- Selim, S.; Albqmi, M.; Al-Sanea, M.M.; Alnusaire, T.S.; Almuhayawi, M.S.; AbdElgawad, H.; Al Jaouni, S.K.; Elkelish, A.; Hussein, S.; Warrad, M. Valorizing the usage of olive leaves, bioactive compounds, biological activities, and food applications: A comprehensive review. Front. Nutr. 2022, 9, 1008349. [Google Scholar] [CrossRef] [PubMed]
- Abbattista, R.; Ventura, G.; Calvano, C.D.; Cataldi, T.R.; Losito, I. Bioactive compounds in waste by-products from olive oil production: Applications and structural characterization by mass spectrometry techniques. Foods 2021, 10, 1236. [Google Scholar] [CrossRef] [PubMed]
- Borjan, D.; Leitgeb, M.; Knez, Ž.; Hrnčič, M.K. Microbiological and antioxidant activity of phenolic compounds in olive leaf extract. Molecules 2020, 25, 5946. [Google Scholar] [CrossRef] [PubMed]
- Mallamaci, R.; Budriesi, R.; Clodoveo, M.L.; Biotti, G.; Micucci, M.; Ragusa, A.; Curci, F.; Muraglia, M.; Corbo, F.; Franchini, C. Olive tree in circular economy as a source of secondary metabolites active for human and animal health beyond oxidative stress and inflammation. Molecules 2021, 26, 1072. [Google Scholar] [CrossRef]
- Alesci, A.; Miller, A.; Tardugno, R.; Pergolizzi, S. Chemical analysis, biological and therapeutic activities of Olea europaea L. extracts. Nat. Prod. Res. 2022, 36, 2932–2945. [Google Scholar] [CrossRef]
- Espeso, J.; Isaza, A.; Lee, J.Y.; Sörensen, P.M.; Jurado, P.; Avena-Bustillos, R.d.J.; Olaizola, M.; Arboleya, J.C. Olive leaf waste management. Front. Sustain. Food Syst. 2021, 5, 660582. [Google Scholar] [CrossRef]
- Malekjani, N.; Jafari, S.M. Valorization of olive processing by-products via drying technologies: A case study on the recovery of bioactive phenolic compounds from olive leaves, pomace, and wastewater. Crit. Rev. Food Sci. Nutr. 2023, 63, 9797–9815. [Google Scholar] [CrossRef] [PubMed]
- Markhali, F.S.; Teixeira, J.A.; Rocha, C.M. Olive tree leaves—A source of valuable active compounds. Processes 2020, 8, 1177. [Google Scholar] [CrossRef]
- Debs, E.; Abi-Khattar, A.-M.; Rajha, H.N.; Abdel-Massih, R.M.; Assaf, J.-C.; Koubaa, M.; Maroun, R.G.; Louka, N. Valorization of olive leaves through polyphenol recovery using innovative pretreatments and extraction techniques: An updated review. Separations 2023, 10, 587. [Google Scholar] [CrossRef]
- Bozinou, E.; Palaiogiannis, D.; Athanasiadis, V.; Chatzilazarou, A.; Lalas, S.I.; Makris, D.P. Glycerol-based deep eutectic solvents for simultaneous organosolv treatment/extraction: High-performance recovery of antioxidant polyphenols from onion solid wastes. Sustainability 2022, 14, 15715. [Google Scholar] [CrossRef]
- Bozinou, E.; Palaiogiannis, D.; Mourtzinos, I.; Chatzilazarou, A.; Gkatzionis, C.; Makris, D.P. The use of tailor-made acidic deep eutectic solvents for preparation of quercetin-enriched extracts from onion solid wastes. Environ. Qual. Manag. 2023, 33, 147–155. [Google Scholar] [CrossRef]
- Tzima, K.; Kallithraka, S.; Kotseridis, Y.; Makris, D.P. Kinetic modelling for flavanol extraction from red grape (Vitis vinifera L.) pomace using aqueous organic acid solutions. Int. Food Res. J. 2014, 21, 1919. [Google Scholar]
- Khiari, Z.; Makris, D.P.; Kefalas, P. Recovery of bioactive flavonols from onion solid wastes employing water/ethanol-based solvent systems. Food Sci. Technol. Int. 2008, 14, 497–502. [Google Scholar] [CrossRef]
- Putnik, P.; Bursać Kovačević, D.; Radojčin, M.; Dragović-Uzelac, V. Influence of acidity and extraction time on the recovery of flavonoids from grape skin pomace optimized by response surface methodology. Chem. Biochem. Eng. Q. 2016, 30, 455–464. [Google Scholar] [CrossRef]
- Tzima, K.; Kallithraka, S.; Kotseridis, Y.; Makris, D.P. A comparative evaluation of aqueous natural organic acid media for the efficient recovery of flavonoids from red grape (Vitis vinifera) pomace. Waste Biomass Valorization 2015, 6, 391–400. [Google Scholar] [CrossRef]
- Pappas, V.M.; Athanasiadis, V.; Palaiogiannis, D.; Poulianiti, K.; Bozinou, E.; Lalas, S.I.; Makris, D.P. Pressurized liquid extraction of polyphenols and anthocyanins from saffron processing waste with aqueous organic acid solutions: Comparison with stirred-tank and ultrasound-assisted techniques. Sustainability 2021, 13, 12578. [Google Scholar] [CrossRef]
- Ozdal, T.; Capanoglu, E.; Altay, F. A review on protein–phenolic interactions and associated changes. Food Res. Int. 2013, 51, 954–970. [Google Scholar] [CrossRef]
- Quan, T.H.; Benjakul, S.; Sae-leaw, T.; Balange, A.K.; Maqsood, S. Protein–polyphenol conjugates: Antioxidant property, functionalities and their applications. Trends Food Sci. Technol. 2019, 91, 507–517. [Google Scholar] [CrossRef]
- Romero-Cascales, I.; Ros-García, J.; López-Roca, J.; Gómez-Plaza, E. The effect of a commercial pectolytic enzyme on grape skin cell wall degradation and colour evolution during the maceration process. Food Chem. 2012, 130, 626–631. [Google Scholar] [CrossRef]
- Gao, Y.; Zietsman, A.J.; Vivier, M.A.; Moore, J.P. Deconstructing wine grape cell walls with enzymes during winemaking: New insights from glycan microarray technology. Molecules 2019, 24, 165. [Google Scholar] [CrossRef] [PubMed]
- Qin, L.; Liu, Z.-H.; Li, B.-Z.; Dale, B.E.; Yuan, Y.-J. Mass balance and transformation of corn stover by pretreatment with different dilute organic acids. Bioresour. Technol. 2012, 112, 319–326. [Google Scholar] [CrossRef] [PubMed]
- Lindsay, A.C.; Kudo, S.; Sperry, J. Cleavage of lignin model compounds and lignin ox using aqueous oxalic acid. Org. Biomol. Chem. 2019, 17, 7408–7415. [Google Scholar] [CrossRef]
- Zhang, T.; Kumar, R.; Wyman, C.E. Sugar yields from dilute oxalic acid pretreatment of maple wood compared to those with other dilute acids and hot water. Carbohydr. Polym. 2013, 92, 334–344. [Google Scholar] [CrossRef] [PubMed]
- Jin, L.-Q.; Zhao, N.; Liu, Z.-Q.; Liao, C.-J.; Zheng, X.-Y.; Zheng, Y.-G. Enhanced production of xylose from corncob hydrolysis with oxalic acid as catalyst. Bioproc. Biosyst. Eng. 2018, 41, 57–64. [Google Scholar] [CrossRef]
- Sar, T.; Arifa, V.H.; Hilmy, M.R.; Ferreira, J.A.; Wikandari, R.; Millati, R.; Taherzadeh, M.J. Organosolv pretreatment of oat husk using oxalic acid as an alternative organic acid and its potential applications in biorefinery. Biomass Convers. Bioref. 2022, 1–10. [Google Scholar] [CrossRef]
- da Rosa, G.S.; Vanga, S.K.; Gariepy, Y.; Raghavan, V. Comparison of microwave, ultrasonic and conventional techniques for extraction of bioactive compounds from olive leaves (Olea europaea L.). Innov. Food Sci. Emerg. Technol. 2019, 58, 102234. [Google Scholar] [CrossRef]
- Sánchez-Gutiérrez, M.; Bascón-Villegas, I.; Rodríguez, A.; Pérez-Rodríguez, F.; Fernández-Prior, Á.; Rosal, A.; Carrasco, E. Valorisation of Olea europaea L. olive leaves through the evaluation of their extracts: Antioxidant and antimicrobial activity. Foods 2021, 10, 966. [Google Scholar] [CrossRef] [PubMed]
- Martín-García, B.; De Montijo-Prieto, S.; Jiménez-Valera, M.; Carrasco-Pancorbo, A.; Ruiz-Bravo, A.; Verardo, V.; Gómez-Caravaca, A.M. Comparative extraction of phenolic compounds from olive leaves using a sonotrode and an ultrasonic bath and the evaluation of both antioxidant and antimicrobial activity. Antioxidants 2022, 11, 558. [Google Scholar] [CrossRef] [PubMed]
- Lamprou, G.K.; Vlysidis, A.; Tzathas, K.; Vlyssides, A.G. Statistical optimization and kinetic analysis of the extraction of phenolic compounds from olive leaves. J. Chem. Technol. Biotechnol. 2020, 95, 457–465. [Google Scholar] [CrossRef]
- Palma, M.; Barbero, G.; Piñeiro, Z.; Liazid, A.; Barroso, C.; Rostagno, M.; Prado, J.; Meireles, M. Extraction of natural products: Principles and fundamental aspects. In Natural Product Extraction: Principles and Applications; The Royal Society of Chemistry: London, UK, 2013. [Google Scholar]
- Azab, H.A.; Ahmed, I.T.; Mahmoud, M.R. Potentiometric determination of the apparent dissociation constants of some dicarboxylic acids in various hydroorganic media. J. Chem. Eng. Data 1997, 42, 593–596. [Google Scholar] [CrossRef]
- Tukumova, N.; Belova, N.; Usacheva, T.; Thuan, T.T.D. Structural–Thermodynamic Characteristics of Maleic Acid in Water–Organic Solvents. Rus. J. Phys. Chem. A 2021, 95, 1342–1349. [Google Scholar] [CrossRef]
- Houasni, A.; Grigorakis, S.; Kellil, A.; Makris, D.P. Organosolv treatment/polyphenol extraction from olive leaves (Olea europaea L.) using glycerol and glycerol-based deep eutectic solvents: Effect on metabolite stability. Biomass 2022, 2, 46–61. [Google Scholar] [CrossRef]
- Shirzad, H.; Niknam, V.; Taheri, M.; Ebrahimzadeh, H. Ultrasound-assisted extraction process of phenolic antioxidants from Olive leaves: A nutraceutical study using RSM and LC–ESI–DAD–MS. J. Food Sci. Technol. 2017, 54, 2361–2371. [Google Scholar] [CrossRef] [PubMed]
- Kashaninejad, M.; Sanz, M.; Blanco, B.; Beltrán, S.; Niknam, S.M. Freeze dried extract from olive leaves: Valorisation, extraction kinetics and extract characterization. Food Bioprod. Proc. 2020, 124, 196–207. [Google Scholar] [CrossRef]
- Cifá, D.; Skrt, M.; Pittia, P.; Di Mattia, C.; Poklar Ulrih, N. Enhanced yield of oleuropein from olive leaves using ultrasound-assisted extraction. Food Sci. Nutr. 2018, 6, 1128–1137. [Google Scholar] [CrossRef]
- Kabbash, E.M.; Ayoub, I.M.; Gad, H.A.; Abdel-Shakour, Z.T.; El-Ahmady, S.H. Quality assessment of leaf extracts of 12 olive cultivars and impact of seasonal variation based on UV spectroscopy and phytochemcial content using multivariate analyses. Phytochem. Anal. 2021, 32, 932–941. [Google Scholar] [CrossRef] [PubMed]
- Lorini, A.; Aranha, B.C.; da Fonseca Antunes, B.; Otero, D.M.; Jacques, A.C.; Zambiazi, R.C. Metabolic profile of olive leaves of different cultivars and collection times. Food Chem. 2021, 345, 128758. [Google Scholar] [CrossRef] [PubMed]
- Palmeri, R.; Siracusa, L.; Carrubba, M.; Parafati, L.; Proetto, I.; Pesce, F.; Fallico, B. Olive leaves, a promising byproduct of olive oil industry: Assessment of metabolic profiles and antioxidant capacity as a function of cultivar and seasonal change. Agronomy 2022, 12, 2007. [Google Scholar] [CrossRef]
- Quirantes-Piné, R.; Lozano-Sánchez, J.; Herrero, M.; Ibáñez, E.; Segura-Carretero, A.; Fernández-Gutiérrez, A. HPLC–ESI–QTOF–MS as a powerful analytical tool for characterising phenolic compounds in olive-leaf extracts. Phytochem. Anal. 2013, 24, 213–223. [Google Scholar] [CrossRef] [PubMed]
- Alañón, M.E.; Ivanović, M.; Gómez-Caravaca, A.M.; Arráez-Román, D.; Segura-Carretero, A. Choline chloride derivative-based deep eutectic liquids as novel green alternative solvents for extraction of phenolic compounds from olive leaf. Arab. J. Chem. 2020, 13, 1685–1701. [Google Scholar] [CrossRef]
- Kaltsa, O.; Grigorakis, S.; Lakka, A.; Bozinou, E.; Lalas, S.; Makris, D.P. Green valorization of olive leaves to produce polyphenol-enriched extracts using an environmentally benign deep eutectic solvent. AgriEngineering 2020, 2, 226–239. [Google Scholar] [CrossRef]
- Nuutila, A.-M.; Kammiovirta, K.; Oksman-Caldentey, K.-M. Comparison of methods for the hydrolysis of flavonoids and phenolic acids from onion and spinach for HPLC analysis. Food Chem. 2002, 76, 519–525. [Google Scholar] [CrossRef]
- de Lima, F.S.; Ida, E.I. Optimisation of soybean hydrothermal treatment for the conversion of β-glucoside isoflavones to aglycones. LWT-Food Sci. Technol. 2014, 56, 232–239. [Google Scholar] [CrossRef]
- Cruz-Zúñiga, J.M.; Soto-Valdez, H.; Peralta, E.; Mendoza-Wilson, A.M.; Robles-Burgueño, M.R.; Auras, R.; Gámez-Meza, N. Development of an antioxidant biomaterial by promoting the deglycosylation of rutin to isoquercetin and quercetin. Food Chem. 2016, 204, 420–426. [Google Scholar] [CrossRef]
- Nenadis, N.; Pyrka, I.; Tsimidou, M.Z. The Contribution of theoretical prediction studies to the antioxidant activity assessment of the bioactive secoiridoids encountered in olive tree products and by-products. Molecules 2023, 28, 2267. [Google Scholar] [CrossRef]
- Silva, S.; Gomes, L.; Leitao, F.; Coelho, A.; Boas, L.V. Phenolic compounds and antioxidant activity of Olea europaea L. fruits and leaves. Food Sci. Technol. Int. 2006, 12, 385–395. [Google Scholar] [CrossRef]
- Abaza, L.; Youssef, N.B.; Manai, H.; Haddada, F.M.; Methenni, K.; Zarrouk, M. Chétoui olive leaf extracts: Influence of the solvent type on phenolics and antioxidant activities. Grasas Aceites 2011, 62, 96–104. [Google Scholar] [CrossRef]
- Goulas, V.; Papoti, V.T.; Exarchou, V.; Tsimidou, M.Z.; Gerothanassis, I.P. Contribution of flavonoids to the overall radical scavenging activity of olive (Olea europaea L.) leaf polar extracts. J. Agric. Food Chem. 2010, 58, 3303–3308. [Google Scholar] [CrossRef]
- Xie, P.-j.; Huang, L.-x.; Zhang, C.-h.; Zhang, Y.-l. Phenolic compositions, and antioxidant performance of olive leaf and fruit (Olea europaea L.) extracts and their structure–activity relationships. J. Funct. Foods 2015, 16, 460–471. [Google Scholar] [CrossRef]
- Harouna-Oumarou, H.-A.; Fauduet, H.; Porte, C.; Ho, Y.-S. Comparison of kinetic models for the aqueous solid-liquid extraction of Tilia sapwood in a continuous stirred tank reactor. Chem. Eng. Commun. 2007, 194, 537–552. [Google Scholar] [CrossRef]
- Van Boekel, M.A. Kinetic modeling of food quality: A critical review. Comp. Rev. Food Sci. Food Saf. 2008, 7, 144–158. [Google Scholar] [CrossRef]
- Stefou, I.; Grigorakis, S.; Loupassaki, S.; Makris, D.P. Development of sodium propionate-based deep eutectic solvents for polyphenol extraction from onion solid wastes. Clean Technol. Environ. Policy 2019, 21, 1563–1574. [Google Scholar] [CrossRef]









| Treatment | T (°C) | R2 * | k (min−1) | YTP(s) (mg CAE g−1 DM) | Ea (kJ mol−1) | |
|---|---|---|---|---|---|---|
| Hydrothermal treatment | Water | 50 | 0.93 | 0.0398 | 37.96 a | 0.52 |
| 70 | 0.92 | 0.0401 | 34.26 b | |||
| 90 | 0.97 | 0.0405 | 41.97 a | |||
| Water + 1.5% HCl | 50 | 0.95 | 0.0417 | 47.37 c | 5.88 | |
| 70 | 0.98 | 0.0653 | 48.94 c | |||
| 90 | 0.99 | 0.0731 | 49.06 c | |||
| Water + 5% OxAc | 50 | 0.93 | 0.0535 | 41.05 a | 5.02 | |
| 70 | 0.99 | 0.0751 | 45.01 d | |||
| 90 | 0.99 | 0.0827 | 47.33 c | |||
| Organosolv treatment | 50% EtOH | 50 | 0.97 | 0.0334 | 33.79 b | 19.80 |
| 70 | 0.99 | 0.0372 | 36.27 b | |||
| 90 | 1.00 | 0.0544 | 39.62 a | |||
| 50% EtOH + 1.5% HCl | 50 | 0.99 | 0.0219 | 42.94 a | 32.81 | |
| 70 | 0.99 | 0.0261 | 47.81 c | |||
| 90 | 0.99 | 0.0490 | 49.32 c | |||
| 50% EtOH + 5% OxAc | 50 | 0.96 | 0.0143 | 59.10 e | 12.84 | |
| 70 | 0.96 | 0.0186 | 61.27 e | |||
| 90 | 0.98 | 0.0238 | 65.36 f |
| Design Point | Independent Variables | Responses | ||
|---|---|---|---|---|
| YTP (mg CAE g−1 DM) | ||||
| X1 (T, °C) | X2 (t, min) | Measured | Predicted | |
| 1 | −1 (120) | −1 (50) | 47.97 | 48.69 |
| 2 | −1 (120) | 1 (90) | 58.35 | 57.35 |
| 3 | 1 (240) | −1 (50) | 59.55 | 60.31 |
| 4 | 1 (240) | 1 (90) | 67.38 | 66.42 |
| 5 | −1 (120) | 0 (70) | 52.74 | 53.02 |
| 6 | 1 (240) | 0 (70) | 63.16 | 63.36 |
| 7 | 0 (180) | −1 (50) | 56.04 | 54.52 |
| 8 | 0 (180) | 1 (90) | 59.93 | 61.90 |
| 9 | 0 (180) | 0 (70) | 58.40 | 58.21 |
| 10 | 0 (180) | 0 (70) | 58.92 | 58.21 |
| 11 | 0 (180) | 0 (70) | 57.83 | 58.21 |
| Treatment | Y (mg g−1 DM) | ||
|---|---|---|---|
| Hydroxytyrosol | Luteolin | Apigenin | |
| Water | 0.071 ± 0.05 a | 0.05 ± 0.01 a | 0.09 ± 0.01 a |
| Water + 1.5% HCl | 12.7 ± 0.8 b | 0.03 ± 0.01 b | 0.02 ± 0.00 b |
| Water + 5% OxAc | 20.2 ± 0.9 c | 0.12 ± 0.01 c | 0.04 ± 0.00 c |
| 50% EtOH | 0.63 ± 0.05 d | 0.12 ± 0.01 c | 0.02 ± 0.00 b |
| 50% EtOH + 1.5% HCl | 23.4 ± 0.8 e | 1.96 ± 0.08 d | 0.02 ± 0.00 b |
| 50% EtOH + 5% OxAc | 10.3 ± 0.6 f | 0.72 ± 0.02 e | 0.02 ± 0.01 b |
| Variable | Code | Levels | ||
|---|---|---|---|---|
| −1 | 0 | 1 | ||
| T (°C) | X1 | 50 | 70 | 90 |
| t (min) | X2 | 120 | 180 | 240 |
Disclaimer/Publisher’s Note: The statements, opinions and data contained in all publications are solely those of the individual author(s) and contributor(s) and not of MDPI and/or the editor(s). MDPI and/or the editor(s) disclaim responsibility for any injury to people or property resulting from any ideas, methods, instructions or products referred to in the content. |
© 2024 by the authors. Licensee MDPI, Basel, Switzerland. This article is an open access article distributed under the terms and conditions of the Creative Commons Attribution (CC BY) license (https://creativecommons.org/licenses/by/4.0/).
Share and Cite
Refai, H.; Derwiche, F.; Grigorakis, S.; Makris, D.P. Simultaneous High-Performance Recovery and Extended Acid-Catalyzed Hydrolysis of Oleuropein and Flavonoid Glycosides of Olive (Olea europaea) Leaves: Hydrothermal versus Ethanol Organosolv Treatment. Int. J. Mol. Sci. 2024, 25, 7820. https://doi.org/10.3390/ijms25147820
Refai H, Derwiche F, Grigorakis S, Makris DP. Simultaneous High-Performance Recovery and Extended Acid-Catalyzed Hydrolysis of Oleuropein and Flavonoid Glycosides of Olive (Olea europaea) Leaves: Hydrothermal versus Ethanol Organosolv Treatment. International Journal of Molecular Sciences. 2024; 25(14):7820. https://doi.org/10.3390/ijms25147820
Chicago/Turabian StyleRefai, Hela, Feyrouz Derwiche, Spyros Grigorakis, and Dimitris P. Makris. 2024. "Simultaneous High-Performance Recovery and Extended Acid-Catalyzed Hydrolysis of Oleuropein and Flavonoid Glycosides of Olive (Olea europaea) Leaves: Hydrothermal versus Ethanol Organosolv Treatment" International Journal of Molecular Sciences 25, no. 14: 7820. https://doi.org/10.3390/ijms25147820
APA StyleRefai, H., Derwiche, F., Grigorakis, S., & Makris, D. P. (2024). Simultaneous High-Performance Recovery and Extended Acid-Catalyzed Hydrolysis of Oleuropein and Flavonoid Glycosides of Olive (Olea europaea) Leaves: Hydrothermal versus Ethanol Organosolv Treatment. International Journal of Molecular Sciences, 25(14), 7820. https://doi.org/10.3390/ijms25147820

