Establishing Normal Serum Values of Neurofilament Light Chains and Glial Fibrillary Acidic Protein Considering the Effects of Age and Other Demographic Factors in Healthy Adults
Abstract
1. Introduction
2. Results
2.1. Serum Neurofilaments (sNfL)
2.1.1. Association with Sex
2.1.2. Association with BMI
2.1.3. Association with Age

2.2. Serum Glial Acidic Fibrillary Protein (sGFAP)
2.2.1. Association with Sex
2.2.2. Association with BMI
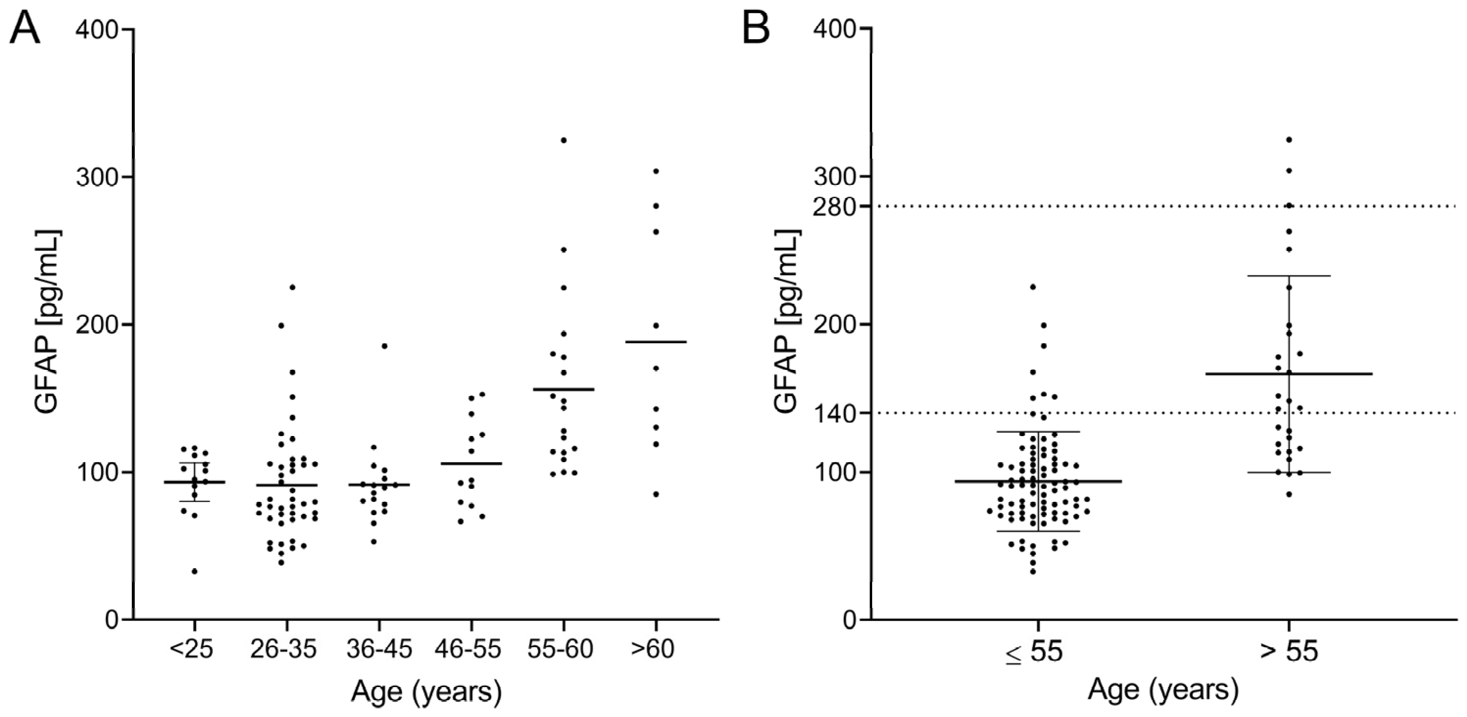
2.2.3. Association with Age
3. Discussion
4. Materials and Methods
4.1. Study Design
4.2. Participants
4.3. Sample Processing
4.4. Statistical Analysis
5. Conclusions
Author Contributions
Funding
Institutional Review Board Statement
Informed Consent Statement
Data Availability Statement
Acknowledgments
Conflicts of Interest
References
- Young, A.L.; Marinescu, R.V.; Oxtoby, N.P.; Bocchetta, M.; Yong, K.; Firth, N.C.; Cash, D.M.; Thomas, D.L.; Dick, K.M.; Cardoso, J.; et al. Uncovering the heterogeneity and temporal complexity of neurodegenerative diseases with Subtype and Stage Inference. Nat. Commun. 2018, 9, 4273. [Google Scholar] [CrossRef] [PubMed]
- Hansson, O. Biomarkers for neurodegenerative diseases. Nat. Med. 2021, 27, 954–963. [Google Scholar] [CrossRef] [PubMed]
- Ehrenberg, A.J.; Khatun, A.; Coomans, E.; Betts, M.J.; Capraro, F.; Thijssen, E.H.; Senkevich, K.; Bharucha, T.; Jafarpour, M.; Young, P.N.E.; et al. Relevance of biomarkers across different neurodegenerative diseases. Alzheimer’s Res. Ther. 2020, 12, 56. [Google Scholar] [CrossRef] [PubMed]
- Barro, C.; Healy, B.C.; Liu, Y.; Saxena, S.; Paul, A.; Polgar-Turcsanyi, M.; Guttmann, C.R.G.; Bakshi, R.; Kropshofer, H.; Weiner, H.L.; et al. Serum GFAP and NfL Levels Differentiate Subsequent Progression and Disease Activity in Patients with Progressive Multiple Sclerosis. Neurol. Neuroimmunol. Neuroinflamm. 2022, 10, e200052. [Google Scholar] [CrossRef] [PubMed]
- Abdelhak, A.; Foschi, M.; Abu-Rumeileh, S.; Yue, J.K.; D’Anna, L.; Huss, A.; Oeckl, P.; Ludolph, A.C.; Kuhle, J.; Petzold, A.; et al. Blood GFAP as an emerging biomarker in brain and spinal cord disorders. Nat. Rev. Neurol. 2022, 18, 158–172. [Google Scholar] [CrossRef] [PubMed]
- Thebault, S.; Bose, G.; Booth, R.; Freedman, M.S. Serum neurofilament light in MS: The first true blood-based biomarker? Mult. Scler. J. 2022, 28, 1491–1497. [Google Scholar] [CrossRef] [PubMed]
- Yuan, A.; Nixon, R.A. Neurofilament Proteins as Biomarkers to Monitor Neurological Diseases and the Efficacy of Therapies. Front. Neurosci. 2021, 15, 689938. [Google Scholar] [CrossRef]
- Thebault, S.; Abdoli, M.; Fereshtehnejad, S.M.; Tessier, D.; Tabard-Cossa, V.; Freedman, M.S. Serum neurofilament light chain predicts long term clinical outcomes in multiple sclerosis. Sci. Rep. 2020, 10, 10381. [Google Scholar] [CrossRef] [PubMed]
- Kuhle, J.; Barro, C.; Andreasson, U.; Derfuss, T.; Lindberg, R.; Sandelius, Å.; Liman, V.; Norgren, N.; Blennow, K.; Zetterberg, H. Comparison of three analytical platforms for quantification of the neurofilament light chain in blood samples: ELISA, electrochemiluminescence immunoassay and Simoa. Clin. Chem. Lab. Med. 2016, 54, 1655–1661. [Google Scholar] [CrossRef]
- Meier, S.; Willemse, E.A.J.; Schaedelin, S.; Oechtering, J.; Lorscheider, J.; Melie-Garcia, L.; Cagol, A.; Barakovic, M.; Galbusera, R.; Subramaniam, S.; et al. Serum Glial Fibrillary Acidic Protein Compared with Neurofilament Light Chain as a Biomarker for Disease Progression in Multiple Sclerosis. JAMA Neurol. 2023, 80, 287–297. [Google Scholar] [CrossRef]
- Yalachkov, Y.; Schäfer, J.H.; Jakob, J.; Friedauer, L.; Steffen, F.; Bittner, S.; Foerch, C.; Schaller-Paule, M.A. Effect of Estimated Blood Volume and Body Mass Index on GFAP and NfL Levels in the Serum and CSF of Patients with Multiple Sclerosis. Neurol. Neuroimmunol. Neuroinflamm. 2022, 10, e200045. [Google Scholar] [CrossRef]
- Solís-Tarazona, L.; Raket, L.L.; Cabello-Murgui, J.; Reddam, S.; Navarro-Quevedo, S.; Gil-Perotin, S. Predictive value of individual serum neurofilament light chain levels in short-term disease activity in relapsing multiple sclerosis. Front. Neurol. 2024, 15, 1354431. [Google Scholar] [CrossRef] [PubMed]
- Fang, T.; Dai, Y.; Hu, X.; Xu, Y.; Qiao, J. Evaluation of serum neurofilament light chain and glial fibrillary acidic protein in the diagnosis of Alzheimer’s disease. Front. Neurol. 2024, 15, 1320653. [Google Scholar] [CrossRef] [PubMed]
- Mazzeo, S.; Ingannato, A.; Giacomucci, G.; Manganelli, A.; Moschini, V.; Balestrini, J.; Cavaliere, A.; Morinelli, C.; Galdo, G.; Emiliani, F.; et al. Plasma neurofilament light chain predicts Alzheimer’s disease in patients with subjective cognitive decline and mild cognitive impairment: A cross-sectional and longitudinal study. Eur. J. Neurol. 2024, 31, e16089. [Google Scholar] [CrossRef] [PubMed]
- Buhmann, C.; Magnus, T.; Choe, C.U. Blood neurofilament light chain in Parkinson’s disease. J. Neural Transm. 2023, 130, 755–762. [Google Scholar] [CrossRef] [PubMed]
- Hansson, O.; Janelidze, S.; Hall, S.; Magdalinou, N.; Lees, A.J.; Andreasson, U.; Norgren, N.; Linder, J.; Forsgren, L.; Constantinescu, R.; et al. Blood-based NfL: A biomarker for differential diagnosis of parkinsonian disorder. Neurology 2017, 88, 930–937. [Google Scholar] [CrossRef] [PubMed]
- Khalil, M.; Teunissen, C.E.; Lehmann, S.; Otto, M.; Piehl, F.; Ziemssen, T.; Bittner, S.; Sormani, M.P.; Gattringer, T.; Abu-Rumeileh, S.; et al. Neurofilaments as biomarkers in neurological disorders—Towards clinical application. Nat Rev Neurol. 2024, 20, 269–287. [Google Scholar] [CrossRef] [PubMed]
- Capo, X.; Galmes-Panades, A.M.; Navas-Enamorado, C.; Ortega-Moral, A.; Marín, S.; Cascante, M.; Sánchez-Polo, A.; Masmiquel, L.; Torrens-Mas, M.; Gonzalez-Freire, M. Circulating Neurofilament Light Chain Levels Increase with Age and Are Associated with Worse Physical Function and Body Composition in Men but Not in Women. Int. J. Mol. Sci. 2023, 24, 12751. [Google Scholar] [CrossRef] [PubMed]
- Monreal, E.; Fernández-Velasco, J.I.; García-Sánchez, M.I.; Sainz de la Maza, S.; Llufriu, S.; Álvarez-Lafuente, R.; Casanova, B.; Comabella, M.; Ramió-Torrentà, L.; Martínez-Rodríguez, J.E.; et al. Association of Serum Neurofilament Light Chain Levels at Disease Onset With Disability Worsening in Patients With a First Demyelinating Multiple Sclerosis Event Not Treated with High-Efficacy Drugs. JAMA Neurol. 2023, 80, 397–403. [Google Scholar] [CrossRef] [PubMed]
- Pafiti, A.; Krashias, G.; Tzartos, J.; Tzartos, S.; Stergiou, C.; Gaglia, E.; Smoleski, I.; Christodoulou, C.; Pantzaris, M.; Lambrianides, A. A Comparison of Two Analytical Approaches for the Quantification of Neurofilament Light Chain, a Biomarker of Axonal Damage in Multiple Sclerosis. Int. J. Mol. Sci. 2023, 24, 10787. [Google Scholar] [CrossRef]
- Sánchez-Juan, P.; Valeriano-Lorenzo, E.; Ruiz-González, A.; Pastor, A.B.; Rodrigo Lara, H.; López-González, F.; Zea-Sevilla, M.A.; Valentí, M.; Frades, B.; Ruiz, P.; et al. Serum GFAP levels correlate with astrocyte reactivity, post-mortem brain atrophy and neurofibrillary tangles. Brain 2024, 147, 1667–1679. [Google Scholar] [CrossRef] [PubMed]
- Saraste, M.; Bezukladova, S.; Matilainen, M.; Sucksdorff, M.; Kuhle, J.; Leppert, D.; Airas, L. Increased serum glial fibrillary acidic protein associates with microstructural white matter damage in multiple sclerosis: GFAP and DTI. Mult. Scler. Relat. Disord. 2021, 50, 102810. [Google Scholar] [CrossRef] [PubMed]
- Abdelhak, A.; Antweiler, K.; Kowarik, M.C.; Senel, M.; Havla, J.; Zettl, U.K.; Kleiter, I.; Skripuletz, T.; Haarmann, A.; Stahmann, A.; et al. Serum glial fibrillary acidic protein and disability progression in progressive multiple sclerosis. Ann. Clin. Transl. Neurol. 2024, 11, 477–485. [Google Scholar] [CrossRef] [PubMed]
- Chatterjee, P.; Pedrini, S.; Stoops, E.; Goozee, K.; Villemagne, V.L.; Asih, P.R.; Verberk, I.M.W.; Dave, P.; Taddei, K.; Sohrabi, H.R.; et al. Plasma glial fibrillary acidic protein is elevated in cognitively normal older adults at risk of Alzheimer’s disease. Transl. Psychiatry 2021, 11, 27. [Google Scholar] [CrossRef] [PubMed]
- Lin, J.; Ou, R.; Li, C.; Hou, Y.; Zhang, L.; Wei, Q.; Pang, D.; Liu, K.; Jiang, Q.; Yang, T.; et al. Plasma glial fibrillary acidic protein as a biomarker of disease progression in Parkinson’s disease: A prospective cohort study. BMC Med. 2023, 21, 420. [Google Scholar] [CrossRef] [PubMed]
- Azzolini, F.; Gilio, L.; Pavone, L.; Iezzi, E.; Dolcetti, E.; Bruno, A.; Buttari, F.; Musella, A.; Mandolesi, G.; Guadalupi, L.; et al. Neuroinflammation Is Associated with GFAP and sTREM2 Levels in Multiple Sclerosis. Biomolecules 2022, 12, 222. [Google Scholar] [CrossRef] [PubMed]
- Ma, L.Z.; Zhang, C.; Wang, H.; Ma, Y.H.; Shen, X.N.; Wang, J.; Tan, L.; Dong, Q.; Yu, J.T. Serum neurofilament dynamics predicts cognitive progression in de novo Parkinson’s disease. J. Park. Dis. 2021, 11, 1117–1127. [Google Scholar] [CrossRef]
- Verde, F.; Milone, I.; Maranzano, A.; Colombo, E.; Torre, S.; Solca, F.; Doretti, A.; Gentile, F.; Manini, A.; Bonetti, R.; et al. Serum levels of glial fibrillary acidic protein in patients with amyotrophic lateral sclerosis. Ann. Clin. Transl. Neurol. 2023, 10, 118–129. [Google Scholar] [CrossRef] [PubMed]
- Mørk, F.B.; Madsen, J.O.B.; Pilgaard, K.A.; Jensen, A.K.; Klakk, H.; Tarp, J.; Bugge, A.; Heidemann, M.; Van Hall, G.; Pociot, F.; et al. The metabolic syndrome is frequent in children and adolescents with type 1 diabetes compared to healthy controls. Pediatr. Diabetes 2022, 23, 1064–1072. [Google Scholar] [CrossRef]
- Sellebjerg, F.; Magyari, M. The prognostic value of neurofilament light chain in serum. Lancet. Neurol. 2022, 21, 207–208. [Google Scholar] [CrossRef]
- Benkert, P.; Meier, S.; Schaedelin, S.; Manouchehrinia, A.; Yaldizli, Ö.; Maceski, A.; Oechtering, J.; Achtnichts, L.; Conen, D.; Derfuss, T.; et al. Serum neurofilament light chain for individual prognostication of disease activity in people with multiple sclerosis: A retrospective modelling and validation study. Lancet Neurol. 2022, 21, 246–257. [Google Scholar] [CrossRef] [PubMed]
- Liu, C.; Lu, Y.; Wang, J.; Chang, Y.; Wang, Y.; Chen, C.; Liu, Z.; Kermode, A.G.; Zhang, Y.; Qiu, W. Serum neurofilament light chain and glial fibrillary acidic protein in AQP4-IgG-seropositive neuromyelitis optica spectrum disorders and multiple sclerosis: A cohort study. J. Neurochem. 2021, 159, 913–922. [Google Scholar] [CrossRef] [PubMed]
- Loonstra, F.C.; de Ruiter, L.R.J.; Koel-Simmelink, M.J.A.; Schoonheim, M.M.; Strijbis, E.M.M.; Moraal, B.; Barkhof, F.; Uitdehaag, B.M.J.; Teunissen, C.; Killestein, J. Neuroaxonal and Glial Markers in Patients of the Same Age With Multiple Sclerosis. Neurol. Neuroimmunol. Neuroinflamm. 2022, 10, e200078. [Google Scholar] [CrossRef] [PubMed]
- Chatterjee, P.; Pedrini, S.; Ashton, N.J.; Tegg, M.; Goozee, K.; Singh, A.K.; Karikari, T.K.; Simrén, J.; Vanmechelen, E.; Armstrong, N.J.; et al. Diagnostic and prognostic plasma biomarkers for preclinical Alzheimer’s disease. Alzheimer’s Dement. 2022, 18, 1141–1154. [Google Scholar] [CrossRef] [PubMed]
- Mak, G.; Menon, S.; Lu, J.Q. Neurofilaments in neurologic disorders and beyond. J. Neurol. Sci. 2022, 441, 120380. [Google Scholar] [CrossRef] [PubMed]
- Stojiljkovic, M.R.; Schmeer, C.; Witte, O.W. Pharmacological Depletion of Microglia Leads to a Dose-Dependent Reduction in Inflammation and Senescence in the Aged Murine Brain. Neuroscience 2022, 488, 1–9. [Google Scholar] [CrossRef]
- Roda, E.; De Luca, F.; Ratto, D.; Priori, E.C.; Savino, E.; Bottone, M.G.; Rossi, P. Cognitive Healthy Aging in Mice: Boosting Memory by an Ergothioneine-Rich Hericium erinaceus Primordium Extract. Biology 2023, 12, 196. [Google Scholar] [CrossRef]



| sNFL | Coefficient | SE | p-Value | [95% Conf. Interval] | |
|---|---|---|---|---|---|
| sGFAP | 0.010 | 0.005 | 0.077 | −0.001 | 0.212 |
| Age | 0.162 | 0.023 | 0.000 | 0.116 | 0.208 |
| BMI | −0.148 | 0.069 | 0.033 | −0.285 | −0.118 |
| Sex | −0.393 | 0.555 | 0.994 | −1.104 | 1.096 |
| sGFAP | Coefficient | SE | p-Value | [95% Conf. Interval] | |
|---|---|---|---|---|---|
| sNfL | 2.771 | 1.550 | 0.077 | −0.300 | 5.843 |
| Age | 1.645 | 0.432 | <0.001 | 0.788 | 2.501 |
| BMI | −1.436 | 1.160 | 0.218 | −3.736 | 0.862 |
| Sex | 0.479 | 9.798 | 0.959 | −17.748 | 18.707 |
Disclaimer/Publisher’s Note: The statements, opinions and data contained in all publications are solely those of the individual author(s) and contributor(s) and not of MDPI and/or the editor(s). MDPI and/or the editor(s) disclaim responsibility for any injury to people or property resulting from any ideas, methods, instructions or products referred to in the content. |
© 2024 by the authors. Licensee MDPI, Basel, Switzerland. This article is an open access article distributed under the terms and conditions of the Creative Commons Attribution (CC BY) license (https://creativecommons.org/licenses/by/4.0/).
Share and Cite
Rodero-Romero, A.; Monreal, E.; Sainz-Amo, R.; García Domínguez, J.M.; Villarrubia, N.; Veiga-González, J.L.; Fernández-Velasco, J.I.; Goicochea-Briceño, H.; Rodríguez-Jorge, F.; Sainz de la Maza, S.; et al. Establishing Normal Serum Values of Neurofilament Light Chains and Glial Fibrillary Acidic Protein Considering the Effects of Age and Other Demographic Factors in Healthy Adults. Int. J. Mol. Sci. 2024, 25, 7808. https://doi.org/10.3390/ijms25147808
Rodero-Romero A, Monreal E, Sainz-Amo R, García Domínguez JM, Villarrubia N, Veiga-González JL, Fernández-Velasco JI, Goicochea-Briceño H, Rodríguez-Jorge F, Sainz de la Maza S, et al. Establishing Normal Serum Values of Neurofilament Light Chains and Glial Fibrillary Acidic Protein Considering the Effects of Age and Other Demographic Factors in Healthy Adults. International Journal of Molecular Sciences. 2024; 25(14):7808. https://doi.org/10.3390/ijms25147808
Chicago/Turabian StyleRodero-Romero, Alexander, Enric Monreal, Raquel Sainz-Amo, José Manuel García Domínguez, Noelia Villarrubia, Jose Luís Veiga-González, José Ignacio Fernández-Velasco, Haydee Goicochea-Briceño, Fernando Rodríguez-Jorge, Susana Sainz de la Maza, and et al. 2024. "Establishing Normal Serum Values of Neurofilament Light Chains and Glial Fibrillary Acidic Protein Considering the Effects of Age and Other Demographic Factors in Healthy Adults" International Journal of Molecular Sciences 25, no. 14: 7808. https://doi.org/10.3390/ijms25147808
APA StyleRodero-Romero, A., Monreal, E., Sainz-Amo, R., García Domínguez, J. M., Villarrubia, N., Veiga-González, J. L., Fernández-Velasco, J. I., Goicochea-Briceño, H., Rodríguez-Jorge, F., Sainz de la Maza, S., Chico-García, J. L., Muriel, A., Masjuan, J., Costa-Frossard, L., & Villar, L. M. (2024). Establishing Normal Serum Values of Neurofilament Light Chains and Glial Fibrillary Acidic Protein Considering the Effects of Age and Other Demographic Factors in Healthy Adults. International Journal of Molecular Sciences, 25(14), 7808. https://doi.org/10.3390/ijms25147808

