Abstract
Pyridine, a compound with a heterocyclic structure, is a key player in medicinal chemistry and drug design. It is widely used as a framework for the design of biologically active molecules and is the second most common heterocycle in FDA-approved drugs. Pyridine is known for its diverse biological activity, including antituberculosis, antitumor, anticoagulant, antiviral, antimalarial, antileishmania, anti-inflammatory, anti-Alzheimer’s, antitrypanosomal, antimalarial, vasodilatory, antioxidant, antimicrobial, and antiproliferative effects. This review, spanning from 2022 to 2012, involved the meticulous identification of pyridine derivatives with antiproliferative activity, as indicated by their minimum inhibitory concentration values (IC50) against various cancerous cell lines. The aim was to determine the most favorable structural characteristics for their antiproliferative activity. Using computer programs, we constructed and calculated the molecular descriptors and analyzed the electrostatic potential maps of the selected pyridine derivatives. The study found that the presence and positions of the -OMe, -OH, -C=O, and NH2 groups in the pyridine derivatives enhanced their antiproliferative activity over the cancerous cellular lines studied. Conversely, pyridine derivatives with halogen atoms or bulky groups in their structures exhibited lower antiproliferative activity.
1. Introduction
Cancer is a chronic disease that is among the three leading causes of death worldwide; it accounted for around 20 million deaths in 2020 (one in every six deaths globally). It is estimated that the number of cases will increase to around 37 million by 2040 [,,]. The most prevalent types of cancer include breast, lung, prostate, skin, stomach, colon, and rectal cancer [].
The main treatments against cancer are chemotherapy, radiotherapy, and surgery. Although these treatments have evolved, they face several challenges []. Chemotherapy remains the main treatment due to its effectiveness in eliminating cancer cells, although it has also been associated with significant side effects [,].
Multidrug resistance (MDR) is a growing public health problem worldwide and is one of the main challenges facing cancer research, as it leads to the inefficiency of current therapies []. Currently, cancer cells are compared to superbacteria, since it has been shown that 50% of cancer cells are resistant to all anticancer drugs used []. A specific part of cancer research has focused on the search for new alternatives to combat the problem of drug resistance to improve the clinical outcomes, because there are also options that are selective against cancer cells and do not affect healthy cells [,].
The design and synthesis of molecules for cancer treatment that improve the characteristics of clinical drugs enable the establishment of new anticancer agents with promising activity []. Structure–activity relationship studies have been used as a strategy to develop new anticancer agents to inhibit the growth of cancer cells []. The main concern in the structure-based drug design approach has been the selection of molecular structures to develop pharmacologically active agents. Nitrogen-containing heterocycle compounds have been widely identified for their anticancer activity and are a scaffold of great interest for the design of these pharmacological alternatives [].
Due to their structural and chemical diversity, heterocycles have been considered promising scaffolds in rational design for the construction of new biologically active molecules. The advantage of heterocyclic chemistry is the number of available routes to modify their structures in the laboratory—for example, changing the type and number of heteroatoms or the size of the ring or incorporating various functional groups as substituents []. Such structures are found in more than 90% of newly synthesized drugs, with outstanding pharmacological, pharmacokinetic, and toxicological properties [].
Nitrogen-containing heterocycles have been the subject of numerous organic and medicinal chemistry studies. These compounds are found in both natural and synthetic molecules and exhibit a diverse range of biological activity []. Some of the most well known heterocycles of this type include benzimidazoles, benzothiazoles, benzoxazoles, imidazopyridines, pyridines, and aminopyridines [].
Pyridine is the second most common heterocycle found in FDA-approved drugs in the United States of America. It is similar to benzene regarding its planarity characteristics and the ability to perform pi interactions. Pyridine is formed by replacing one carbon atom with nitrogen, which changes its molecular and physicochemical properties. This modification modulates its lipophilicity and improves its aqueous solubility, metabolic stability, and ability to form hydrogen bonds [].
There have been reports of a wide range of pyridine-derived compounds that possess diverse biological activity. This activity includes antituberculosis [,,], antitumor [,,,,,,,,], anticoagulant [], antiviral [,,], antimalarial [], antileishmanial [], anti-inflammatory [], anti-Alzheimer’s [,], antitrypanosomal [,,], vasodilating [], antioxidant [,], antimicrobial [,,,,,,,,,,,,,,,,], and antiproliferative [,,,,,,,,,,,] properties. This review aims to analyze articles published from 2012 to 2022 and identify the structural modifications that can enhance the antiproliferative activity of pyridine derivatives on various cancerous cell lines.
2. Results
In this review, a search was carried out in the literature for antiproliferative activity studies of various compounds synthesized from pyridine as the central scaffold, and a structure–activity relationship analysis was carried out to identify which functional groups or structural modifications are related to better antiproliferative activity against various human cancer cell lines. Figure 1 summarizes the analysis that was carried out, focusing on the functional groups that benefited from an increase in antiproliferative activity in the compounds derived from pyridine and the cancer cell lines that were susceptible to these compounds, as well as those functional groups that were related to a decrease in the antiproliferative activity of the derived compounds and the cancer cell lines in which this situation was seen. Below are more details of the results obtained in this review.
Figure 1.
List of functional groups identified in pyridine-derived compounds that increase or decrease their antiproliferative activity in different cancer cell lines.
2.1. HeLa Cell Line
This is the oldest and most widely used cell line in research, corresponding to cervical and uterine cancer cells []. Ninety-nine percent of cases of this type of cancer are related to human papillomavirus (HPV) infections, which are transmitted through sexual contact. Cervical and uterine cancers are the fourth most common cancers in women worldwide, so the World Health Organization (WHO) focuses on preventing them through the use of HPV vaccines and by treating precancerous lesions [].
Through the structure–activity relationship analysis (SAR) of the reported molecules using this cell line, it was found that the antiproliferative activity is related to the number and position of the O-CH3 (OMe) groups. The insertion of NH2 and OH groups, halogens (Br, Cl, F), and five- and six-carbon rings also affects the antiproliferative activity of the derived compounds, which is reflected in the IC50 values.
When adding OMe groups to a compound, research shows that increasing the number of substituents leads to a decrease in the IC50 value, indicating increased activity. For instance, in a study by Zheng et al. (2014) [], derivative 1 with two OMe groups showed an IC50 value of >50 μM, while derivative 2 with three OMe groups had an IC50 value of 12 μM. The trend continued when creating more extensive derivatives by inserting six-membered rings. Derivative 3, with four OMe groups in its structure, recorded an IC50 value of <25 μM. Adding two more OMe groups to create derivative 4 further decreased the IC50 value to 1.0 μM (as shown in Table 1).
Table 1.
Derivatives reported by Zheng et al. (2014) [].
It has been observed that substituting OMe groups with OH groups can significantly decrease the IC50 values, which was evident when comparing derivative 5 (with an IC50 value of 8 mM) with derivative 6 (with an IC50 value of 0.86 mM), where one OMe group was replaced by an OH group []. This information is shown in Table 1.
Moreover, Verga et al. (2015) [] have reported two large compounds that have antiproliferative activity against HeLa, formed by rings of five and six carbons. Derivative 7, with three rings of six carbons, has a very high IC50 value (257 nM), while derivative 8, with four rings of six carbons, has a much lower IC50 value (134 nM). This suggests that the presence of six-carbon rings may lead to a decrease in the IC50 values. Table 2 provides more information on these compounds.
Table 2.
Derivatives reported by Verga et al. (2015) [].
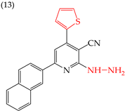
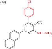
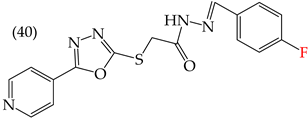
El-Sayed et al. (2021) [] reported two derivatives, 9 and 10 (Table 3), with different substituents at the same site. Derivative 9 had a five-carbon ring with a halogen atom (sulfur) and a high IC50 value of 1391 nM, while derivative 10 had a six-carbon ring and chlorine as a halogen, and its IC50 value was only 127 nM. These effects were observed in other cell lines, including U937 (myeloid leukemia cells), SKMEL-28 (melanoma), N CIH 460 (lung cancer), and RKOP 27 (colon adenocarcinoma).
Table 3.
Derivatives reported by El-Sayed et al. (2021) [].
Derivative 9 displayed lower IC50 values of 422, 255, 25, and 16 nM, respectively. However, it should be noted that this molecule’s impact may vary according to the cell line to which it is exposed, as evidenced by the IC50 values ranging from 16 to 422 nM. Therefore, we can infer that each molecule acts differently depending on the specific cell line that it encounters (Table 3) [].
It is also interesting to note that introducing NH2 groups can have an inverse effect on derivatives with rings. For instance, in derivative 11, which has a five-carbon ring and an ethylenediamine group, the IC50 value is 211 nM. However, in compound 12, which has a six-carbon ring and chlorine, the IC50 value increases to 1159 nM (Table 3). An inverse effect can also be observed if the NH group is closer to the rings. This means that if it presents a low IC50 value, it increases it and vice versa. This phenomenon is evident in compounds 13 (IC50: 1265 nM) and 14 (IC50: 255 nM) [].
2.2. A549 Cell Line
This cell line corresponds to human basal alveolar epithelial cells (lung cancer). This type of cancer is the leading cause of cancer-related deaths worldwide, with the highest mortality in both men and women, representing a severe public health problem since it is usually a silent disease in its early stages, which delays its detection [,,].
During the study of derivatives with antiproliferative properties against a specific cell line, it was observed that the compounds’ size and polarity significantly impacted their IC50 values. Zheng et al. (2014) [] found that the CH3 groups in the reported derivatives decreased the polarity and IC50 values. Conversely, replacing these groups with H atoms increased the polarity and IC50 values. A CN group substitution resulted in lower polarity and decreased IC50 values, while COOEt replacement increased the polarity and IC50 values. For instance, derivative 15 with CH3 and COOEt substitutions presented lower IC50 values (0.18 mM), whereas derivative 16 with H and a CN group showed higher IC50 values (21.05 mM) (Table 1) [].
It has been observed that the introduction of OMe groups in specific positions reduces the polarity. As a result, derivative 17, which has an OMe group, exhibits a low IC50 value (0.044 mM) compared to derivative 18, which has an H atom instead of an OMe group. This makes derivative 18 more polar and results in a higher IC50 value (4.22 mM) (Table 1).
Regarding the size, larger derivatives, such as derivatives 7 and 8, with polar surface areas of 83.998 and 88.353, respectively, have higher IC50 values of 2708 and 3950 mM, respectively (Table 2). These derivatives have shown similar behavior against other cancer cells, such as epidermoid cancer (A431), glioblastoma (U87), kidney cancer (Hek293), melanoma (A375, M21, and M21L), and lung cancer (H358), exhibiting relatively high IC50 values ranging from 246 to 7700 nM [].
2.3. MCF7 Cell Line
Breast cancer is considered the most prevalent type of cancer worldwide, according to the WHO, affecting women of any age, from puberty onwards, with adult women being the most affected. In 2020, 2.3 million new cases were diagnosed, and 685,000 patients died from this disease. Between 0.5 and 1% of men can be affected by this type of cancer, with the main risk factors being age, obesity, alcohol and tobacco consumption, and family history, among others. The WHO maintains a global initiative against this disease, seeking to reduce breast cancer mortality by 2.5% per year [].
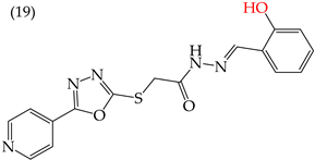
MCF7 cells are breast adenocarcinoma cells with a low risk of malignancy. They are widely used in cancer biology and research. Zhang et al. conducted antiproliferative activity studies using this cell line. The results showed that the insertion of OH groups reduced the IC50 values, as observed in derivative 19 (IC50: 4.75 mM), and there was a more significant reduction when inserting two OH groups, as observed in derivative 20 (IC50: 0.91 mM). When combining the insertion of OH groups with OMe groups, as in derivative 21, there was an increase in the IC50 value (IC50: 3.78 mM). However, the IC50 value increased significantly when combining OH groups with halogens such as Cl and Br, as seen in derivatives 22 (IC50: 5.83 mM) and 23 (IC50: 7.77 mM) (Table 4) [].
Table 4.
Zhang et al.’s (2014) [] reported derivatives and the values of the molecular descriptors obtained for each molecule.
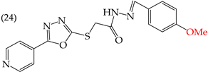
When comparing the IC50 values of derivatives with the insertion of OH groups (derivative 19, IC50: 4.75 mM), it was found that the single insertion of an OMe group, a halogen such as fluorine, a NO2 group, or a ring resulted in an increase in the IC50 values. This can be observed in derivatives 24, 25, 26, and 27, which have IC50 values of 17.63, 24.89, 35.5, and 23.54 mM, respectively (Table 4) [].
Moreover, large-sized derivatives formed mainly by carbon rings have been reported to have high IC50 values []. Hassan et al. (2021) [] also reported higher IC50 values for the relatively large derivative 28 (IC50: 28.2 mM). However, upon increasing the size of this derivative by inserting more rings and certain groups such as H, CN, OMe, and halogens (fluorine, chlorine, bromine), the IC50 values decreased. This can be seen in derivatives 29 (IC50: 10.6 mM) and 30 (IC50: 0.93 mM) (Table 4).
2.4. HepG2 Cell Line
Liver cancer is a more common disease than generally considered. Around the world, over 800,000 people are diagnosed with some form of this cancer every year, and more than 700,000 people die from it. As a result, it is one of the leading causes of cancer-related deaths. Although the most affected populations are found in Asia and Africa, in Mexico alone, there were 4300 new diagnoses, with a mortality rate of 4000 [,], in the year 2020.
The HepG2 cell line is used to study liver cancer’s metabolism and pharmacological toxicity. Sangani et al., in 2014, reported that certain derivatives have antiproliferative activity against this cell line. Derivative 31, which has a single CH3 group attached to an aromatic ring, has an IC50 value of 1.30 mM. Derivatives 32 and 33, which replace the CH3 group with Cl and H, respectively, have higher IC50 values of 5.84 mM and 7.15 mM (Table 5). The trend continues with derivatives 34, 35, and 36, where inserting two CH3 groups in place of the two H atoms attached to an aromatic ring results in IC50 values of 4.04 mM, 6.21 mM, and 24.4 mM, respectively (Table 5). These data show that the antiproliferative activity is favored by inserting a CH3 group, followed by H and then Cl. This may be due to the larger area, volume, and polar surface of the derivatives that present the CH3 group, as the molecular descriptors indicate. The derivative that possesses H is more significant than the one presenting Cl in the absence of the CH3 group [].
Table 5.
Derivatives reported by Sangani et al. (2014) [] and the values of the molecular descriptors obtained for each molecule.
Sangani et al. (2014) also reported that when the COOEt group was changed to a CN group in derivatives 34, 35, and 36, it resulted in derivatives 37, 38, and 39. In 37 (IC50: 1.02 mM), the IC50 value decreased compared to its counterpart, 35, while, in 38 (IC50: 4.83 mM) and 39 (IC50: 15.17 mM), the IC50 value increased compared to their counterparts, 34 and 36, respectively (as shown in Table 5). The changes in the IC50 values may have been due to the insertion of the CN group, which led to increased HOMO and LUMO energy values and decreased CPKA and CPKV values, as indicated in Table 6 [].
Table 6.
Derivatives reported by Alqahtani and Bayazeed (2020) [].
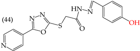
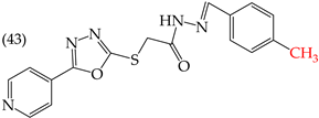
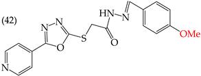
Zhang et al. (2014) found that inserting halogens such as fluorine, chlorine, bromine, NO2, OMe, or CH3 in a ring’s ortho, meta, or para positions did not significantly alter the IC50 values. The derivatives 40, 41, 42, and 43 had IC50 values of 12.3 mM, 24.7 mM, 15.84 mM, and 10.02 mM, respectively. However, adding an OH group in the para or ortho position caused a significant decrease in the IC50 values, as seen in derivatives 44 (IC50: 5.51 mM) and 19 (IC50: 3.51 mM). They also observed that inserting a halogen (Cl) in the same ring produced derivative 22 (IC50: 3.97 mM), but the IC50 value did not change substantially. Finally, they inserted an extra OH group and obtained their best result with derivative 20, with an IC50 value of 0.76 mM (Table 4) [].
2.5. Cell Lines Hep2 and PC3
The Hep2 and PC3 cell lines correspond to epidermoid and prostate carcinoma, respectively. Skin cancer is the most common type of cancer worldwide, but it has a low mortality rate []. In contrast, prostate cancer represents a serious public health issue, being the most commonly occurring type of cancer in men and the fifth leading cause of death worldwide. In the United States of America alone, it is estimated that more than 299,010 new cases of prostate cancer will be diagnosed in 2024, with almost 35,000 deaths being reported due to this disease [,,].
Alqahtani and Bayazeed (2020) [] have found that adding a COOEt group to the five-carbon ring of derivative 45 reduces the IC50 values (Hep2 IC50: 17.71 mM; PC3 IC50: 18.36 mM) (Table 5). This is due to the increased molecular area and volume and, more significantly, the large increase in the polar surface area (Table 6). Conversely, adding aromatic rings or aliphatic chains increases the IC50 values. This can be observed in molecules 46 (Hep2 IC50: 43.36 mM; PC3 IC50: 37.17 mM) and 47 (Hep2 IC50: 37.44 mM; PC3 IC50: 42.31 mM) (Table 6). Similar results were observed for derivatives tested on the MCF-7 and HepG2 cell lines [].
2.6. Cell Lines SW1116 and BGC823
Zhang et al. (2014) [] studied the cell lines associated with colon and gastric cancer. Colon or colorectal cancer is the third most prevalent cancer globally and the second most common cause of cancer-related deaths. It primarily affects older adults and is linked to unhealthy lifestyles, such as the high consumption of processed meats, low intake of fruits and vegetables, sedentary lifestyles, obesity, alcohol consumption, and smoking []. Stomach cancer predominantly affects older people, especially women. Only 1.5% of all new cancer cases worldwide are estimated to be due to stomach cancer [].
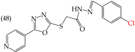
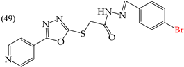
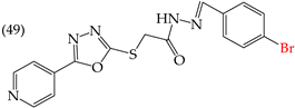
The MCF7 and HepG2 cell lines show that inserting two OH groups produces the best results, resulting in derivative 20 (SW1116 IC50: 1.54 mM; BGC823 IC50: 1.26 mM). It is also observed that when halogens are inserted, the IC50 values increase in proportion to the size of the halogen, with the smallest being fluorine (42 pm), followed by chlorine (175 pm) and, finally, bromine (185 pm). This can be seen by comparing derivatives 40 (SW1116 IC50: 15.71 mM; BGC823 IC50: 17.84 mM), 48 (SW1116 IC50: 17.02 mM; BGC823 IC50: 20.52 mM), and 49 (SW1116 IC50: 21.32 mM; BGC823 IC50: 24.51 mM) (Table 4). Additionally, when comparing the IC50 values obtained by inserting the smallest halogen, fluorine, it is observed that the para position corresponding to derivative 40 generates a lower IC50 value than the target position, derivative 25 [].
2.7. DLA Cell Line
Ascites are usually a consequence of some types of cancer that have reached more advanced stages by spreading to the abdominal area, such as the ovary, liver, colon, stomach, and pancreas [].
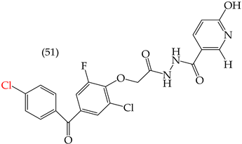
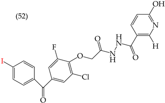
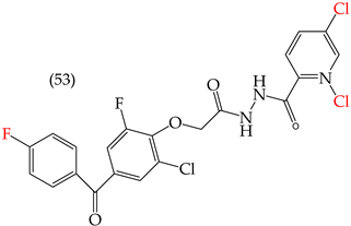
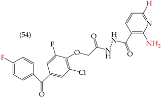
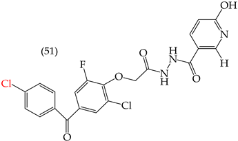
Al-Gorbani et al. (2016) [] reported some derivatives with antiproliferative activity against Dalton lymphoma ascites (DLA) cells. The study found that when the derivatives included OH groups and halogens, there was a decrease in the IC50 values. The molecules that showed the most significant reductions in the IC50 values were 50 (IC50: 9 mM), 51 (IC50: 8 mM), and 52 (IC50: 40 mM) (Table 7). The size of the halogen also played a role in the IC50 values, with the smallest halogens, F and Cl, showing the lowest IC50 values, while I, the largest halogen, showed the highest IC50 value [].
Table 7.
Derivatives reported by Al Gorbani et al. (2016) [] and the values of the molecular descriptors obtained for each molecule.
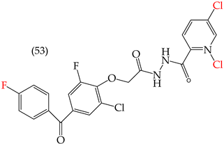
It is important to note that in cases where the suggested modifications involved adding two halogens or a halogen and an NH group, the IC50 values increased, leading to decreased antiproliferative activity. This is due to a reduction in the polar surface of such derivatives, as seen in derivatives 53 (IC50: 45 mM) and 54 (IC50: 65 mM) [].
2.8. MDA-MB-231 Cell Line
One of the most widely used breast cancer cell lines in cancer research is MDA-MB-231, which is highly invasive. Zhang et al. (2014) reported derivatives with antiproliferative activity against this cell line. The behavior of these derivatives was similar to that of the A549 and HeLa cell lines. The IC50 values decreased in the derivatives where OMe groups were inserted, such as in derivatives 55 (IC50: 9.0 mM) and 56 (IC50: 0.075 mM). Combining OMe and OH groups in the derivatives also decreased the IC50 values. For example, derivatives 57 (CI50: 0.069 mM) and 58 (CI50: 0.0046 mM) (Table 4) showed a decrease in their IC50 values. However, including OH groups in the derivatives increased the PSA, decreasing the IC50 values [].
Chen et al. (2021) [] conducted research using two mammary carcinoma lines, MDA-MB-453 and SK-BR-3. Their report suggests that inserting CH3 and NO2 groups in the para position improves the antiproliferative activity by decreasing the IC50 values. Derivatives 59 and 60 are examples, with IC50 values of 4.9 nM and 9.0 nM, respectively. However, in the case of the CH3 group, substitutions in the ortho and meta positions increase the IC50 values. Derivatives 61 and 62 are examples, with IC50 values of 91.9 nM and 82.4 nM, respectively. The insertion of OH groups also increases the IC50 values, as seen in derivatives 63 and 64, with IC50 values of 27.7 nM and 41.4 nM, respectively. Similarly, the insertion of NH2 and OMe groups in the para positions increases the IC50 values, as observed in derivatives 65 and 66, with IC50 values of 27.1 nM and 50.7 nM, respectively.
However, inserting two combined groups in the meta–para positions, such as OH and CH3 or NH2 and CH3, generates better results in terms of the antiproliferative activity. Derivatives 67 and 68 are examples, with IC50 values of 1.7 nM and 2.8 nM, respectively [].
The derivatives reported by Chen et al. (2021) for breast cancer cells exhibit similar behavior to that observed for other melanoma cell lines—specifically the A375, M14, and RPMI 7951 cell lines. Among these derivatives, derivative 67 showed the best results, with IC50 values of 1.5 nM, 1.7 nM, and 1.7 nM for A375, M14, and RPMI 7951, respectively (Table 8). Derivative 67 is identical in structure, with the only difference being the insertion of an OH and CH3 group, increasing its polarity [].
Table 8.
Derivatives reported by Chen et al. (2021) [] and the values of the molecular descriptors obtained for each molecule.
2.9. Analysis of Electrostatic Potential Maps in Most Promising Derivatives
Electrostatic potential maps (EPMs) are powerful tools with which to understand the relationship between a molecule’s electron density and its biological activity. They can help to predict and explain non-covalent interactions between ligands and target molecules. EPMs use different colors to represent regions of varying electron density within a molecule. Low-electron-density regions are shown in blue, high-density regions in red, and green areas represent regions with a zero EPM value that are prone to hydrophobic interactions [,].
An analysis of the electrostatic potential maps (Figure 2) was carried out to establish a correlation between the chemical structures of certain compounds and their biological activity. This analysis focused on compounds that showed lower values of IC50 in their antiproliferative activity. The optimized structures of these compounds were used to study regions with high and low electron densities in their ground states. The compounds subjected to the EPM analysis were 1, 8, 44, 58, and 68.
Figure 2.
Electrostatic potential maps of pyridine derivatives containing OMe, OH, bromine, CH3, NO2, and aromatic ring groups. Zero, negative, and positive values of EPM are depicted as green, red, and blue colored regions, respectively.
After analyzing the EPMs and structures of the selected compounds, it was observed that groups containing electronegative elements such as O and N had a higher electron density (red regions). For instance, in compound 68, red areas were observed in the EPMs, where methoxyl groups (O-CH3) were bound to the aromatic and carbonyl rings (C=O). Blue zones (lower electron density) were found in the amino group (-NH2) bound to the aromatic ring. In compound 8, the red zone was shown in the nitrogen atoms of the oxazole groups of the molecule, while the oxygen atoms of the same groups showed an orange zone of lower electron density. Furthermore, the blue regions were found in the -CH groups of the pyridine rings. Compound 58 showed few zones of high and low electron density, but it is noteworthy that the compound contains a -OH group close to an -OCH3 group in one of the aromatic rings. This group has two main zones: the red zone positioning itself in the oxygen atom and a blue zone in the H atom. Lastly, the EPM of compound 44 showed that the red zone was placed in the carbonyl, hydroxyl, and nitrogen of the 1,3,4-oxadiazole ring.
These compounds have large green areas, representing neutral regions of zero electron density. These regions are identified in the EPM as being prone to the formation of hydrophobic interactions.
3. Discussion
This work is a significant compilation of antiproliferative activity studies using pyridine-derived compounds against various human cancer cell lines. The aim was to conduct a comprehensive analysis of the structure–activity relationships of these compounds, as reported in various articles published from 2012 to 2022. The objective was to identify the most effective chemical modifications that enhance the biological activity of these compounds.
Pyridine, a nitrogen-containing heterocycle compound, is the second most common heterocycle-type compound approved by the FDA. Its diverse biological activity, including antituberculosis, antitumor, antimalarial, and antimicrobial activity, has been extensively studied. Given its chemical structure and these properties, it serves as an innovative template for the design and synthesis of new compounds with enhanced biological activity.
The analysis of the antiproliferative structure–activity relationships of various pyridine derivatives has yielded significant findings. These findings can potentially guide the design of new antitumor drugs based on pyridine as the main scaffold. We will present the key results obtained in different human cancer cell lines and discuss how specific chemical modifications either enhance or hinder the efficiency of these compounds.
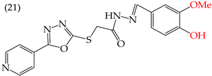
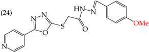
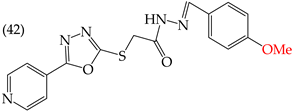
The introduction of O-CH3 groups in the structure of the pyridine-derived compounds significantly improved their antiproliferative activity, mainly against the HeLa, A549, and MDA-MB-231 cell lines (Figure 3), observing a decrease in the IC50 values; this indicates an improvement in antiproliferative activity, impacting the effectiveness in inhibiting cell growth against these cell lines. Another functional group that favored an improvement in the antiproliferative activity of the pyridine-derived compounds was the -OH group, obtaining lower IC50 values, mainly in the HeLa and MCF-7 cell lines (Figure 4). In addition, it was observed that when associated with the structure of the compound with two -OH groups, the IC50 values were better, mainly regarding the antiproliferative activity against the cell lines Hep2, PC3, SW1116, and BGC823.
Figure 3.
Examples of compounds derived from pyridine where antiproliferative activity and various functional groups are related to OMe and CH3.
Figure 4.
Examples of compounds derived from pyridine where antiproliferative activity and various functional groups are related to OH.
Currently, we can find several studies on the search for and design of drugs to analyze the structure–activity relationships and determine which chemical modifications favor the biological activity of certain compounds. Miladiyah et al. (2018) [] carried out a QSAR study of several compounds derived from xanthones, where they demonstrated that the functional groups that showed the best antiproliferative activity were those that presented electron donor atoms, such as OHOH (IC50 = 0.019 μM), OCH3 (IC50 = 0.058 μM), OCOCH3 (IC50 = 0.035 μM), and NHCOCH3 (IC50 = 0.021 μM).
Using the chemical structures of compounds derived from natural products is a fascinating strategy for the design of compounds with better antiproliferative activity against various cancer cell lines. Saito et al. (2015) [] developed various compounds derived from chalcones, where different substituents were added, and the compounds obtained were evaluated against the HL60 cell line (human promyelocytic leukemia cells). The results demonstrated that the OH and OMe substituents included in the chalcones as a central scaffold showed a better IC50 value, obtaining values between 12.3 and 19.9 μM. The authors concluded that not only were these substituents related to the activity shown by the chalcone-derived compounds but the spatial region in the chemical structure influenced the activity.
Another group that favored the activity of the compounds studied was the -CH3 group. By introducing a small non-polar group into the structure, low IC50 values were observed in the results, mainly in the A549 and HepG2 cell lines
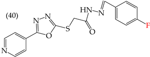
Different studies reporting on compounds derived from pyridine agreed that introducing some functional groups affected their antiproliferative activity, mainly halogens and -CN. In the case of introducing halogens (Cl, F, Br), an increase in the IC50 values was observed, but this depended on two main characteristics of these elements: their size (the more significant the atom, the higher the IC50 value) and their electrophilic capacity. The behavior of the cyano group (-CN) in the different derivatives was variable; an increase in the IC50 value was observed in the activity against the A549 cell line, and, in some compounds, an increase in the IC50 value was observed, while, in other cases, a decrease in activity against the HepG2 cell line was noted. The carboxylic ethyl ester group (COOEt) had similar behavior to the cyano group, where a variation in the IC50 values was observed, showing favorable values for the antiproliferative activity in the Hep2 and PC3 cell lines (Figure 5).
Figure 5.
Examples of compounds derived from pyridine where antiproliferative activity and various functional groups are related to CN, COOEt, CH3, H, and halogens.
Cedrón et al. (2015) [] made various modifications to alkaloid compounds, obtaining various derived compounds and evaluating their antiproliferative activity against two cancer cell lines: A2780 (ovary), SW1573 (lung), T47-D (breast), and WiDr (colon). From the results obtained in this study, the authors conclude that the OH groups in the structures of these alkaloids are of great importance for their antiproliferative activity. They observed that when replacing this group with Cl and OMe, the activity decreased, showing IC50 values between 4.3 and 8.3 μM before the modification and IC50 values between 75 and 100 μM after the modification. They also observed that the acylation of the OH in these derived compounds decreased their antiproliferative activity, concluding that the presence of H donor groups in the compounds benefits their biological activity.
This analysis of the antiproliferative activity of pyridine-derived compounds shows that these compounds have promising potential when directed against the cancer cell lines evaluated. Some studies have investigated the characteristics of both cells and compounds that may influence the behavior of these derived compounds, mentioning that the inhibition of cell growth, which affects cells differently depending on the type, depends on the nature of the compound, as well as the structure and organization of the membrane [].
4. Materials and Methods
A search was conducted for articles published between 2012 and 2022. The search considered articles that reported information on pyridine derivatives and carboxylic-acid-type compounds such as benzoic acid, sorbic acid, nicotinic acid, and geranic acid. These articles included the antiproliferative activity, reported in terms of IC50 values, as part of the biological evaluation. The review was carried out mainly in three databases, ScienceDirect, SciFinder, and the American Chemical Society (ACS), and encompassed 652 articles; see Figure 6.
Figure 6.
Flowchart depicting the process of selecting relevant articles for this review.
After the initial search, it was decided to narrow the scope of the review to articles that reported pyridine derivatives with antiproliferative activity. Only ten papers, which collectively reported more than 200 derivatives, met the defined criteria for this review.
Subsequently, each derivative was constructed using the ChemDraw Professional 20.0.0.41 (Revvity Signals Software, Inc., Waltham, MA, USA, 2023). Spartan ‘18 (Wavefunction Inc., Irvine, CA, USA, 2018) was used to perform the conformational analysis, with a molecular mechanics level of theory with the Merck Molecular Force Field (MMFF). The minimum energy conformation of each derivative was selected for geometry optimization using the semi-empirical method parametric method number 6 (PM6). The generated information was used to calculate the various molecular descriptors. These descriptors included the total molecular volume area (CPK area and CPK volume) from the family of constitutional descriptors, the polar surface area (PSA) from the molecular properties family, and some descriptors from the quantum mechanics family, such as the energy of the highest-energy occupied orbital (EHomo) and the energy of the lowest-energy unoccupied orbital (ELumo). These analyses were performed to understand the behavior of the derivatives better.
5. Conclusions
The chemical and biological characteristics of the pyridine structure have been a subject of significant interest in research for the development of new drugs. The structure acts as a structural scaffold for the creation of novel molecules.
In the analysis performed herein, it was discovered that compounds containing groups with nitrogen and oxygen in their structure, such as -OCH3, -OH, -C=O, and NH2, either alone or included in aromatic rings, oxazoles, and pyrimidines, exhibited superior antiproliferative activity against various human cancer cell lines. The study conducted through the EPMs revealed that interactions with the studied cells can occur in these regions. It was also observed that these pyridine-derived compounds exhibited green primary areas in the EPMs, which represented hydrophobic zones that can provide more significant interactions with the cell membrane. This interaction helps the compound to enter the cell’s interior, interact more easily with the cellular components, and carry out its activity of inhibiting cell growth.
Author Contributions
Conceptualization, investigation, and data curation, A.-L.V.-R., M.A.-M. and M.-A.L.-P.; writing—original draft preparation, review, and editing, A.-L.V.-R., M.P.-V., M.L.G.-F., J.-C.G.-R., D.M.G.-M., M.A.-M. and M.-A.L.-P.; visualization, A.-L.V.-R., M.A.-M. and M.-A.L.-P.; supervision, M.P.-V., M.L.G.-F., J.-C.G.-R., D.M.G.-M., D.V., M.G.B.-M., M.A.-M. and M.-A.L.-P. All authors have read and agreed to the published version of the manuscript.
Funding
This research received no external funding.
Conflicts of Interest
The authors declare that the research was conducted in the absence of any commercial or financial relationships that could be construed as a potential conflict of interest.
Abbreviations
| HeLa | Cervical and uterine cell line |
| HPV | Human papillomavirus |
| WHO | World Health Organization |
| SAR | Structure–activity relationship |
| OMe | O-CH3 |
| U937 | Myeloid leukemia cell line |
| SKMEL-28, A375, M21, and M21L | Melanoma cell line |
| N CIH | 460 and H358 lung cell line |
| RKOP 27 | Colon cell line |
| A549 | Lung cell line |
| A431 | Epidermoid cell line |
| U87 | Glioblastoma cell line |
| Hek293 | Kidney cell line |
| MCF7 | Breast cell line |
| HepG2 | Liver cancer |
| Hep2 | Epidermoid carcinoma cell line |
| PC3 | Prostate carcinoma cell line |
| SW1116 | Colon cancer cell line |
| BGC823 | Gastric cancer cell line |
| DLA | Dalton lymphoma ascites |
| MDA-MB-231 | Breast cancer cell line |
| EPM | Electrostatic potential map |
| O-CH3 | Methoxyl groups |
| COOEt | Carboxylic ethyl ester group |
| (-CN) | Cyano group |
| MMFF | Merck Molecular Force Field |
| PM6 | Semi-empirical method parametric method number 6 |
| CPKv | Total molecular volume |
| CPKa | Total molecular area |
| PSA | Polar surface area |
| EHomo | Energy of the highest-energy occupied orbital |
| ELumo | Energy of the lowest-energy unoccupied orbital |
References
- Liew, S.; Malagobadan, S.; Arshad, N.; Nagoor, N. A review of the structure-activity relationship of natural and synthetic antimestatic compounds. Biomolecules 2020, 10, 138. [Google Scholar] [CrossRef] [PubMed]
- Laiolo, J.; Lanza, P.; Parravicini, O.; Barbieri, C.; Insuasty, D.; Cobo, J.; Vera, M.; Enriz, R.; Carpinella, M. Structure-activity relationship and the binding mode of quinolinone-pyrimidine hybrids as reversal agents of multidrug resistance medisted by P-gp. Sci. Rep. 2021, 27, 16856. [Google Scholar] [CrossRef]
- Bhat, A.; Singh, I.; Tandon, N.; Tandon, R. Structure-activity relationship (SAR) and anticancer activity of pyrrolide derivatives: Recent developments and future prospects (a review). Eur. J. Med. Chem. 2023, 249, 114954. [Google Scholar] [CrossRef]
- Lamberti, M.; Rumie, N.; Rivarola, V. Breast cancer as photodynamic therapy target: Enhaced therapeutic efficiency by overview of tumor complexity. Word J. Clin. Oncol. 2014, 5, 911–917. [Google Scholar] [CrossRef]
- Zitvoge, L.; Apetoh, L.; Griringhelli, F.; Kroemer, G. Immunological aspects of cancer chemotherapy. Nat. Rev. Immunol. 2008, 8, 59–73. [Google Scholar] [CrossRef]
- Anand, U.; Dey, A.; Singh, A.; Sanyal, R.; Mishra, A.; Pandey, D.; de Falco, V.; Upadhyay, A.; Kandimalla, R.; Chaudhary, A.; et al. Cancer chemotherapy and beyond: Currents status, drug candidates, associated risks and progress in targeted therapeutics. Genes Dis. 2023, 10, 1367–1401. [Google Scholar] [CrossRef]
- Yakimova, L.; Kunafina, A.; Nugmanova, A.; Padnya, P.; Voloshina, A.; Petrov, K.; Stoikov, I. Structure-activity reñationship of the thiacalix[4]arenes family with sulfobetaine fragments: Self-assembly and cytotoxic effect against cancer cell lines. Molecules 2022, 27, 1364. [Google Scholar] [CrossRef] [PubMed]
- Bian, T.; Vijendra, C.; Wnag, Y.; Meacham, A.; Hati, S.; Cogle, C.; Sun, H.; Xing, C. Exploring the structure-activity relationship ad mechanism of a chromene scaffold (CXL series) for its selective antiproliferative activity toward multidrug-resistent cancer cells. J. Med. Chem. 2018, 61, 6892–6903. [Google Scholar] [CrossRef]
- Ling, Y.; Hao, Z.; Liang, D.; Zhang, C.; Liu, Y.; Wang, Y. The expanding role of pyridine and dihydropyridine scaffolds in drug design. Drug Des. Dev. Ther. Antibiot. 2021, 15, 4289–4338. [Google Scholar] [CrossRef]
- Pavlinac, I.; Zlatic, K.; Persoons, L.; Daelemans, D.; Banjanac, M.; Radovanovic, V.; Butkvic, K.K.; Hranjec, M. Biological activity of amidino-substituted imidazole (4,5-b) pyridines. Molecules 2023, 28, 34. [Google Scholar]
- Bollinger, J.; Oberholzer, M.; Frech, C. Access to 2-aminopyridines-compounds of great biological and chemical significance. Adv. Synth. Catal. 2011, 353, 945–954. [Google Scholar] [CrossRef]
- Patel, S.; Burns, N. Conversion of aryl azides to aminopyridines. ACS 2022, 144, 17797–17802. [Google Scholar] [CrossRef] [PubMed]
- Sunhee, K.; Ryang, Y.K.; Min, J.S.; Saeyeon Lee, Y.M.K.; Mooyoung, S.; Jeong, J.S.; Yoonae, K.; Inhee, C.; Jichan, J.; Jiyoun, N.; et al. Lead Optimization of a Novel Series of Imidazo[1,2-a]pyridine Amides Leading to a Clinical Candidate (Q203) as a Multi- and Extensively-Drug-Resistant Anti-tuberculosis Agent. J. Med. Chem. 2014, 57, 5293–5305. [Google Scholar] [CrossRef]
- Subramanyam, J.; Tantry, S.D.; Markad, V.S.; Jyothi, B.; Gayathri, B.; Amit, K.G.; Anisha, A.; Anandkumar-Raichurkar, C.K.; Sreevalli-Sharma, N.V.; Ashwini-Narayan, C.N.; et al. Discovery of Imidazo[1,2-a]pyridine Ethers and Squaramides as Selective and Potent Inhibitors of Mycobacterial Adenosine Triphosphate (ATP) Synthesis. J. Med. Chem. 2017, 60, 1379–1399. [Google Scholar] [CrossRef]
- Lu, X.; Williams, Z.; Hards, K.; Tang, J.; Cheung, C.; Aung, H.; Wang, B.; Liu, Z.; Hu, Z.; Lenaerts, A.; et al. Pyrazolo[1,5-a]pyridine Inhibitor of the Respiratory Cytochrome bcc Complex for the Treatment of Drug-Resistant Tuberculosis. ACS Infect. Dis. 2019, 5, 239–249. [Google Scholar] [CrossRef]
- Gangjee, A.; Namjoshi, O.; Yu, J.; Ihnat, M.A.; Thorpe, J.E.; Bailey-Downs, L.C. N2-Trimethylacetyl substituted and unsubstituted-N4-phenylsubstituted-6-(2-pyridin-2-ylethyl)-7H-pyrrolo[2,3-d] pyrimidine-2,4-diamines: Design, cellular receptor tyrosine kinase inhibitory activities and in vivo evaluation as antiangiogenic, antimetastatic and antitumor agents. Bioorg. Med. Chem. 2013, 21, 1312–1323. [Google Scholar] [CrossRef] [PubMed]
- Chand, K.; Prasad, S.; Tiwari, R.K.; Shirazi, A.N.; Kumar, S.; Parang, K.; Sharma, S.K. Synthesis and evaluation of c-Src kinase inhibitory activity of pyridine-2 (1H)-one derivative. Bioorg. Chem. 2014, 53, 75–82. [Google Scholar] [CrossRef]
- Hirayama, T.; Okaniwa, M.; Banno, H.; Kakei, H.; Ohashi, A.; Iwai, K.; Ohori, M.; Mori, K.; Gotou, M.; Kawamoto, T.; et al. Synthetic Studies on Centromere-Associated Protein-E (CENP-E) Inhibitors: 2. Application of Electrostatic Potential Map (EPM) and Structure-Based Modeling to Imidazo[1,2-a]pyridine Derivatives as Anti-Tumor Agents. J. Med. Chem. 2015, 58, 8036–8053. [Google Scholar] [CrossRef]
- Yu, Y.; Han, Y.; Zhang, F.; Gao, Z.; Zhu, T.; Dong, S.; Ma, M. Design, Synthesis, and Biological Evaluation of Imidazo[1,2-a]pyridine Derivatives as Novel PI3K/mTOR Dual Inhibitors. J. Med. Chem. 2020, 63, 3028–3046. [Google Scholar] [CrossRef]
- Hu, H.; Wu, J.; Ao, M.; Zhou, X.; Li, B.; Cui, Z.; Wu, T.; Wang, L.; Xue, Y.; Wu, Z.; et al. Design, synthesis and biological evaluation of methylenehydrazine-1-carboxamide derivatives with (5-((4-(pyridin-3-yl)pyrimidin-2-yl)amino)-1H-indole scaffold: Novel potential CDK9 inhibitors. Bioorg. Chem. 2020, 102, 104064. [Google Scholar] [CrossRef]
- Yang, H.; Li, Q.; Su, M.; Luo, F.; Liu, Y.; Wang, D.; Fan, Y. Design, synthesis, and biological evaluation of novel 6-(pyridin-3-yl) quinazolin-4(3H)-one derivatives as potential anticancer agents via PI3K inhibition. Bioorg. Med. Chem. 2021, 46, 116346. [Google Scholar] [CrossRef]
- Ye, Q.; Fu, C.; Li, J. Studying the Binding Modes of Novel 2-Aminopyridine Derivatives as Effective and Selective c-Met Kinase Type 1 Inhibitors Using Molecular Modeling Approaches. Molecules 2021, 26, 52. [Google Scholar] [CrossRef]
- Wang, W.; Li, C.; Chen, Z.; Zhang, J.; Ma, L.; Tian, Y.; Ma, Y.; Guo, L.; Wang, X.; Ye, J.; et al. Novel diosgenin–amino acid–benzoic acid mustard trihybrids exert antitumor effects via cell cycle arrest and apoptosis. J. Steroid Biochem. Mol. Biol. 2022, 216, 106038. [Google Scholar] [CrossRef]
- Zhou, W.; Tang, W.; Sun, Z. Discovery and Optimization of N-Substituted 2-(4-pyridinyl)thiazole carboxamides against Tumor Growth through Regulating Angiogenesis Signaling Pathways. Sci. Rep. 2016, 6, 33434. [Google Scholar] [CrossRef]
- De Candia, M.; Fiorella, F.; Lopopolo, G.; Carotti, A.; Romano, M.R.; Lograno, M.D.; Martel, S.; Carrupt, P.-A.; Belviso, B.D.; Caliandro, R.; et al. Synthesis and Biological Evaluation of Direct Thrombin Inhibitors Bearing 4-(Piperidin-1-yl) pyridine at the P1 Position with Potent Anticoagulant Activity. J. Med. Chem. 2013, 56, 8696–8711. [Google Scholar] [CrossRef] [PubMed]
- Wang, G.; Wan, J.; Hu, Y.; Wu, X.; Prhavc, M.; Dyatkina, N.; Rajwanshi, V.K.; Smith, D.B.; Jekle, A.; Kinkade, A.; et al. Synthesis and Anti-Influenza Activity of Pyridine, Pyridazine, and Pyrimidine C-Nucleosides as Favipiravir (T-705) Analogues. J. Med. Chem. 2016, 59, 4611–4624. [Google Scholar] [CrossRef] [PubMed]
- Miranda, P.O.; Cubitt, B.; Jacob, N.T.; Janda, K.D.; De la Torre, J.C. Mining a Kröhnke Pyridine Library for Anti-Arenavirus Activity. ACS Infect. Dis. 2018, 4, 815–824. [Google Scholar] [CrossRef] [PubMed]
- Pu, S.; Wouters, R.; Schor, S.; Rozenski, J.; Barouch-Bentov, R.; Prugar, L.I.; O’Brien, C.M.; Brannan, J.M.; Dye, J.M.; Herdewijn, P.; et al. Optimization of Isothiazolo[4,3-b]pyridine-Based Inhibitors of Cyclin G Associated Kinase (GAK) with Broad-Spectrum Antiviral Activity. J. Med. Chem. 2018, 61, 6178–6192. [Google Scholar] [CrossRef]
- Xue, J.; Diao, J.; Cai, G.; Deng, L.; Zheng, B.; Yao, Y.; Song, Y. Antimalarial and Structural Studies of Pyridine-Containing Inhibitors of 1-Deoxyxylulose-5-phosphate Reductoisomerase. ACS Med. Chem. Lett. 2013, 4, 278–282. [Google Scholar] [CrossRef]
- Anand, D.; Yadav, P.K.; Patel, O.; Parmar, N.; Maurya, R.K.; Vishwakarma, P.; Raju, K.; Taneja, I.; Wahajuddin, M.; Kar, S.; et al. Antileishmanial Activity of Pyrazolopyridine Derivatives and Their Potential as an Adjunct Therapy with Miltefosine. J. Med. Chem. 2017, 60, 1041–1059. [Google Scholar] [CrossRef]
- Park, E.; Lee, S.J.; Moon, H.; Park, J.; Jeon, H.; Hwang, J.S.; Hwang, H.; Hong, K.B.; Han, S.; Choi, S.; et al. Discovery and Biological Evaluation of N-Methyl-pyrrolo[2,3-b]pyridine-5-carboxamide Derivatives as JAK1-Selective Inhibitors. J. Med. Chem. 2021, 64, 958–979. [Google Scholar] [CrossRef] [PubMed]
- Sagar, S.R.; Singh, D.P.; Das, R.D.; Panchal, N.B.; Sudarsanam, V.; Nivsarkar, M.; Vasu, K.K. Investigations on substituted (2-aminothiazol-5-yl)(imidazo[1,2-a]pyridin-3-yl)methanones for the treatment of Alzheimer’s disease. Bioorg. Med. Chem. 2021, 36, 116091. [Google Scholar] [CrossRef] [PubMed]
- Zarei, S.; Shafiei, M.; Firouzi, M.; Firoozpour, L.; Divsalar, K.; Asadipour, A.; Akbarzadeh, T.; Foroumadi, A. Design, synthesis and biological assessment of new 1-benzyl-4-((4-oxoquinazolin-3(4H)-yl)methyl) pyridin-1-ium derivatives (BOPs) as potential dual inhibitors of acetylcholinesterase and butyrylcholinesterase. Heliyon 2021, 7, e06683. [Google Scholar] [CrossRef] [PubMed]
- Balfour, M.N.; Franco, C.H.; Moraes, C.B.; Freitas-Junior, L.H.; Stefani, H.A. Synthesis and trypanocidal activity of a library of 4-substituted 2-(1H-pyrrolo[3,2-c]pyridin-2-yl)propan-2-ols. Eur. J. Med. Chem. 2017, 128, 202–212. [Google Scholar] [CrossRef] [PubMed]
- Lin, C.; Hulpia, F.; da Silva, C.F.; Batista, D.d.G.J.; Van Hecke, K.; Maes, L.; Caljón, G.; Soeiro, M.d.C.d.N.; Van Calenbergh, S. Discovery of Pyrrolo[2,3-b]pyridine (1,7-Dideazapurine) Nucleoside Analogues as Anti-Trypanosoma cruzi Agents. J. Med. Chem. 2019, 62, 8847–8865. [Google Scholar] [CrossRef] [PubMed]
- Robinson, W.; Taylor, A.; Lauga-Cami, S.; Weaver, G.; Arroo, R.; Kaiser, M.; Gul, S.; Kuzikov, M.; Ellinger, B.; Singh, K.; et al. The discovery of novel antitrypanosomal 4-phenyl-6-(pyridine-3-yl)pyrimidines. Eur. J. Med. Chem. 2021, 209, 112871. [Google Scholar] [CrossRef] [PubMed]
- Girgis, A.; Saleh, D.; George, R.; Srour, M.; Pillai, G.; Panda, C.; Katritzky, A. Synthesis, bioassay, and QSAR study of bronchodilatory active 4H-pyrano[3,2-c]pyridine-3-carbonitriles. Eur. J. Med. Chem. 2015, 89, 835–843. [Google Scholar] [CrossRef] [PubMed]
- El-Gammal, O.A.; Abu El-Reash, G.M.; Ghazy, S.E.; Radwan, A.H. Synthesis, characterization, molecular modeling and antioxidant activity of (1E,5E)-1,5-bis(1-(pyridine-2-yl)ethylidene)carbonohydrazide (H2APC) and its zinc(II), cadmium(II) and mercury(II) complexes. J. Mol. Struct. 2012, 1020, 6–15. [Google Scholar] [CrossRef]
- Abdel-Monem, Y.K.; Abou El-Enein, S.A.; El-Sheikh-Amer, M.M. Design of new metal complexes of 2-(3-amino-4,6-dimethyl-1H-pyrazolo[3,4-b]pyridin-1-yl)aceto-hydrazide: Synthesis, characterization, modeling, and antioxidant activity. J. Mol. Struct. 2017, 1127, 386–396. [Google Scholar] [CrossRef]
- Abdel-Megeed, M.; Badr, B.E.; Azaam, M.M.; El-Hiti, G.A. Synthesis, antimicrobial and anticancer activities of a novel series of diphenyl 1-(pyridin-3-yl)ethylphosphonates. Bioorg. Med. Chem. 2012, 20, 2252–2258. [Google Scholar] [CrossRef]
- Shukla, N.M.; Salunke, D.B.; Yoo, E.; Mutz, C.A.; Balakrishna, R.; David, S.A. Antibacterial activities of Groebke–Blackburn–Bienaymé-derived imidazo[1,2-a]pyridin-3-amines. Bioorg. Med. Chem. 2012, 20, 5850–5863. [Google Scholar] [CrossRef] [PubMed]
- Jardosh, H.H.; Patel, M.M. Design and synthesis of biquinolone–isoniazid hybrids as a new class of antitubercular and antimicrobial agents. Eur. J. Med. Chem. 2013, 65, 348–359. [Google Scholar] [CrossRef]
- Kim, H.S.; Jadhav, J.R.; Jung, S.J.; Kwak, J.H. Synthesis and antimicrobial activity of imidazole and pyridine appended cholestane-based conjugates. Bioorg. Med. Chem. Lett. 2013, 23, 4315–4318. [Google Scholar] [CrossRef]
- Jose, G.; Suresha Kumara, T.H.; Nagendrappa, G.; Sowmya, H.B.V.; Jasinski, J.P.; Millikan, S.P.; More, S.S.; Harish, B.G.; Chandrika, N. New polyfunctional imidazo[4,5-C]pyridine motifs: Synthesis, crystal studies, docking studies, and antimicrobial evaluation. Eur. J. Med. Chem. 2014, 77, 288–297. [Google Scholar] [CrossRef]
- Jose, G.; Suresha Kumara, T.H.; Nagendrappa, G.; Sowmya, H.B.V.; Jasinski, J.P.; Millikan, S.P.; More, S.S.; Janardhan, B.; Harish, B.G.; Chandrika, N. Synthesis, crystal structure, molecular docking and antimicrobial evaluation of new pyrrolo[3,2-c]pyridine derivatives. J. Mol. Struct. 2015, 1081, 85–95. [Google Scholar] [CrossRef]
- Kumar, S.; Sharma, N.; Maurya, I.K.; Bhasin, A.K.K.; Wangoo, N.; Brandão, P.; Félix, V.; Bhasin, K.K.; Sharma, R.K. Facile synthesis, structural evaluation, antimicrobial activity and synergistic effects of novel imidazo[1,2-a]pyridine based organoselenium compounds. Eur. J. Med. Chem. 2016, 123, 916–924. [Google Scholar] [CrossRef]
- El-Gohary, N.S.; Gabr, M.T.; Shaaban, M.I. Synthesis, molecular modeling and biological evaluation of new pyrazolo[3,4-b]pyridine analogs as potential antimicrobial, anti-quorum-sensing and anticancer agents. Bioorg. Chem. 2019, 89, 102976. [Google Scholar] [CrossRef] [PubMed]
- Azzam, R.A.; Elsayed, R.E.; Elgemeie, G.H. Design and Synthesis of a New Class of Pyridine-Based N-Sulfonamides Exhibiting Antiviral, Antimicrobial, and Enzyme Inhibition Characteristics. ACS Omega 2020, 5, 26182–26194. [Google Scholar] [CrossRef]
- Milošević, M.D.; Marinković, A.D.; Petrović, P.; Klaus, A.; Nikolić, M.G.; Prlainović, N.Z.; Cvijetić, I.N. Synthesis, characterization and SAR studies of bis(imino)pyridines as antioxidants, acetylcholinesterase inhibitors and antimicrobial agents. Bioorg. Chem. 2020, 102, 104073. [Google Scholar] [CrossRef]
- Kamat, V.; Santosh, R.; Poojary, B.; Nayak, S.P.; Kumar, B.K.; Sankaranarayanan, M.; Khanapure, S.; Barretto, D.A.; Votla, S.K. Pyridine- and Thiazole-Based Hydrazides with Promising Anti-inflammatory and Antimicrobial Activities along with Their In Silico Studies. ACS Omega 2020, 5, 25228–25239. [Google Scholar] [CrossRef]
- Ali, I.; Burki, S.; El-Haj, B.M.; Parveen, S.; Nadeem, H.Ş.; Nadeem, S.; Shah, M.R. Synthesis and characterization of pyridine-based organic salts: Their antibacterial, antibiofilm and wound healing activities. Bioorg. Chem. 2020, 100, 103937. [Google Scholar] [CrossRef] [PubMed]
- Ragab, A.; Fouad, S.A.; Ali, O.A.A.; Ahmed, E.M.; Ali, A.M.; Askar, A.A.; Ammar, Y.A. Sulfaguanidine Hybrid with Some New Pyridine-2-One Derivatives: Design, Synthesis, and Antimicrobial Activity against Multidrug-Resistant Bacteria as Dual DNA Gyrase and DHFR Inhibitors. Antibiotics 2021, 10, 162. [Google Scholar] [CrossRef] [PubMed]
- Radwan, M.A.A.; Alshubramy, M.A.; Abdel-Motaal, M.; Hemdan, B.A.; El-Kady, D.S. Synthesis, molecular docking and antimicrobial activity of new fused pyrimidine and pyridine derivatives. Bioorg. Chem. 2020, 96, 103516. [Google Scholar] [CrossRef] [PubMed]
- Mamedov, I.; Naghiyev, F.; Maharramov, A.; Uwangue, O.; Farewell, A.; Sunnerhagen, P.; Erdelyi, M. Antibacterial activity of 2-amino-3-cyanopyridine derivatives. Mendeleev Commun. 2020, 30, 498–499. [Google Scholar] [CrossRef]
- Mashood-Ahamed, F.M.; Ali, A.M.; Velusamy, V.; Manikandan, M. Aminopyridine derived azomethines as potent antimicrobial agents. Mater. Today Proc. 2021, 47, 2053–2061. [Google Scholar] [CrossRef]
- Sangani, C.; Makawana, J.A.; Zhang, X.; Teraiya, S.B.; Lin, L.; Zhu, H.L. Design, synthesis and molecular modeling of pyrazole–quinoline–pyridine hybrids as a new class of antimicrobial and anticancer agents. Eur. J. Med. Chem. 2014, 76, 549–557. [Google Scholar] [CrossRef] [PubMed]
- Zhang, F.; Wang, X.L.; Shi, J.; Wang, S.F.; Yin, Y.; Yang, Y.S.; Zhang, W.M.; Zhu, H.L. Synthesis, molecular modeling and biological evaluation of N-benzylidene-2-((5-(pyridin-4-yl)-1,3,4-oxadiazol-2-yl)thio)acetohydrazide derivatives as potential anticancer agents. Bioorg. Med. Chem. 2014, 22, 468–477. [Google Scholar] [CrossRef] [PubMed]
- Zheng, S.; Zhong, Q.; Mottamal, M.; Zhang, Q.; Zhang, C.; Lemelle, E.; McFerrin, H.; Wang, G. Design, Synthesis, and Biological Evaluation of Novel Pyridine-Bridged Analogues of Combretastatin-A4 as Anticancer Agents. J. Med. Chem. 2014, 57, 3369–3381. [Google Scholar] [CrossRef] [PubMed]
- Agonigi, G.; Riedel, T.; Zacchini, S.; Păunescu, E.; Pampaloni, G.; Bartalucci, N.; Dyson, P.J.; Marchetti, F. Synthesis and Antiproliferative Activity of New Ruthenium Complexes with Ethacrynic-Acid-Modified Pyridine and Triphenylphosphine Ligands. Inorg. Chem. 2015, 54, 6504–6512. [Google Scholar] [CrossRef]
- Al-Ghorbani, M.; Thirusangu, P.; Gurupadaswamy, H.D.; Girish, V.; Shamanth-Neralagundi, H.G.; Prabhakar, B.T.; Khanum, S.A. Synthesis and antiproliferative activity of benzophenone-tagged pyridine analogs towards the activation of caspase-activated DNase-mediated nuclear fragmentation in Dalton’s lymphoma. Bioorg. Chem. 2016, 65, 73–81. [Google Scholar] [CrossRef]
- Verga, D.; N’Guyen, C.; Dakir, M.; Coll, J.L.; Teulade-Fichou, M.P.; Molla, A. Polyheteroaryl Oxazole/Pyridine-Based Compounds Selected in Vitro as G-Quadruplex Ligands Inhibit Rock Kinase and Exhibit Antiproliferative Activity. J. Med. Chem. 2018, 61, 10502–10518. [Google Scholar] [CrossRef] [PubMed]
- Sinthiya, A.; Koperuncholan, M. Synthesis and characterization of L-amino acid doped 2Aminopyridine co-crystals for anticancer activity. Life Sci. Inform. Publ.-Res. J. Life Sci. Bioinform. Pharm. Chem. Sci. 2019, 5, 754–762. [Google Scholar] [CrossRef]
- Chen, H.; Deng, S.; Wang, Y.; Albadari, N.; Kumar, G.; Ma, D.; Li, W.; White, S.W.; Miller, D.D.; Li, W. Structure–Activity Relationship Study of Novel 6-Aryl-2-benzoyl-pyridines as Tubulin Polymerization Inhibitors with Potent Antiproliferative Properties. J. Med. Chem. 2020, 63, 827–846. [Google Scholar] [CrossRef] [PubMed]
- Quattrini, L.; Gelardi, E.L.M.; Coviello, V.; Sartini, S.; Ferraris, D.M.; Mori, M.; Nakano, I.; Garavaglia, S.; La Motta, C. Imidazo[1,2-a]pyridine Derivatives as Aldehyde Dehydrogenase Inhibitors: Novel Chemotypes to Target Glioblastoma Stem Cells. J. Med. Chem. 2020, 63, 4603–4616. [Google Scholar] [CrossRef] [PubMed]
- Alqahtani, A.M.; Bayazeed, A.A. Synthesis and antiproliferative activity studies of new functionalized pyridine linked thiazole derivatives. Arab. J. Chem. 2021, 14, 102914. [Google Scholar] [CrossRef]
- El-Sayed, A.A.; Elsayed, E.A.; Amr, A.E.-G.E. Antiproliferative Activity of Some Newly Synthesized Substituted Pyridine Candidates Using 4-(Aaryl)-6-(naphthalene-1-yl)-2-oxo-1,2-dihydropyridine-3-carbonitrile as Synthon. ACS Omega 2021, 6, 7147–7156. [Google Scholar] [CrossRef] [PubMed]
- Hassan, G.S.; Georget, H.H.; Mohammed, E.Z.; Geroge, R.F.; Mahmoud, W.R.; Omar, F.A. Mechanistic selectivity investigation and 2D-QSAR study of some new antiproliferative pyrazoles and pyrazolopyridines as potential CDK2 inhibitors. Eur. J. Med. Chem. 2021, 218, 113389. [Google Scholar] [CrossRef]
- La Célula Inmortal. Med. (Buenos Aires) 2016, 76, 40–41. Available online: http://www.scielo.org.ar/scielo.php?script=sci_arttext&pid=S0025-76802016000100008&lng=es&tlng=es (accessed on 3 January 2024).
- World Health Organization. Available online: https://www.who.int/health-topics/cervical-cancer#tab=tab_1 (accessed on 3 January 2024).
- World Health Organization. Available online: https://www.who.int/es/news-room/fact-sheets/detail/lung-cancer (accessed on 3 January 2024).
- Gobierno de México; Instituto Nacional de Salud Pública. Available online: https://www.insp.mx/avisos/mexico-frente-al-cancer-de-pulmon (accessed on 3 January 2024).
- American Cancer Society. Available online: https://www.cancer.org/es/cancer/tipos/cancer-de-pulmon/acerca/estadisticas-clave.html#:~:text=Se%20diagnosticar%C3%A1n%20alrededor%20de%20238%2C340,67%2C160%20hombres%20y%2059%2C910%20mujeres (accessed on 3 January 2024).
- World Health Organization. Available online: https://www.who.int/es/news-room/fact-sheets/detail/breast-cancer (accessed on 3 January 2024).
- Available online: https://es.linkedin.com/pulse/el-c%C3%A1ncer-de-h%C3%ADgado-en-m%C3%A9xico-antonio-fernandes-teixeira:ElcancerdehígadoenMéxico (accessed on 3 January 2024).
- American Cancer Society. Available online: https://www.cancer.org/es/cancer/tipos/cancer-de-higado/acerca/que-es-estadisticas-clave.html#:~:text=M%C3%A1s%20de%20800%2C000%20personas%20son,de%20700%2C000%20muertes%20cada%20a%C3%B1o (accessed on 3 January 2024).
- Academia Española de Dermatología y Verenología. Available online: https://www.actasdermo.org/es-factores-riesgo-mortalidad-del-carcinoma-articulo-S0001731020300065 (accessed on 4 January 2024).
- American Cancer Society. Available online: https://www.cancer.org/es/cancer/tipos/cancer-de-prostata/acerca/estadisticas-clave.html (accessed on 4 January 2024).
- World Health Organization. Available online: https://www.who.int/es/news-room/fact-sheets/detail/colorectal-cancer (accessed on 4 January 2024).
- American Cancer Society. Available online: https://www.cancer.org/es/cancer/tipos/cancer-de-estomago/acerca/estadisticas-clave.html (accessed on 4 January 2024).
- Huerta-García, C.; Pérez, D.; Velázquez-Martínez, C.; Tabatabaei, S.; Romo-Macillas, A.; Castillo, R.; Hernández-Campos, A. Structure-activity relationship of N-phenylthieno[2,3-b]pyridine-2-carboxamide derivatives designed as forkhead box M1 inhibitors: The effect of electron-withdrawing and donating substituents on the phenyl ring. Pharmaceuticals 2022, 15, 283. [Google Scholar] [CrossRef]
- Masoudinia, S.; Samadizadeh, M.; Safavi, M.; Bikanzadeh, H.; Foroumadi, A. Novel quinazolines bearing 1,3,4-thiadiazole-aryl urea derivative as anticancer agents; sesing, synthesis, molecular docking, DFT and bioactivity evaluations. BMC Chem. 2024, 18, 30. [Google Scholar] [CrossRef]
- Miladiyah, I.; Jumina, J.; Haryana, S.; Mustofa, M. Biological activity, quantitative structure-activity relationship analysis, and molecular docking of xanthone derivatives as anticancer drugs. Drug Des. Dev. Ther. 2018, 12, 149–158. [Google Scholar] [CrossRef] [PubMed]
- Saito, Y.; Kishimoto, M.; Yoshizawa, Y.; Kawaii, S. Synthesis and structure-activity relationship studies of furan-ring fused chalcones as antiproliferative agents. Anticancer Res. 2015, 35, 811–818. [Google Scholar] [PubMed]
- Cedrón, J.; Ravelo, A.; León, L.; Padrón, J.; Estévez-Braun, A. Antiproliferative and structure activity relationship of Amaryllidaceae alkaloids. Molecules 2015, 20, 13854–13863. [Google Scholar] [CrossRef] [PubMed]
Disclaimer/Publisher’s Note: The statements, opinions and data contained in all publications are solely those of the individual author(s) and contributor(s) and not of MDPI and/or the editor(s). MDPI and/or the editor(s) disclaim responsibility for any injury to people or property resulting from any ideas, methods, instructions or products referred to in the content. |
© 2024 by the authors. Licensee MDPI, Basel, Switzerland. This article is an open access article distributed under the terms and conditions of the Creative Commons Attribution (CC BY) license (https://creativecommons.org/licenses/by/4.0/).



































































