TNFSF9 Is Associated with Favorable Tumor Immune Microenvironment in Patients with Renal Cell Carcinoma Who Are Treated with the Combination Therapy of Nivolumab and Ipilimumab
Abstract
1. Introduction
2. Results
2.1. Patient Characteristics
2.2. PD-L1, MSI, and TMB Status
2.3. Gene Mutation Status
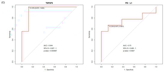
2.4. Tumor Microenvironment Profiling for the Immunotherapy Biomarker Exploration
2.5. Characteristics of Tumor Immune Microenvironment in High-TNFSF9-Expression Tumors
2.6. Changes in T Cell Signatures via TNFSF9 Expression
2.7. Characteristics of Tumor-Infiltrating Immune Cells in High-TNFSF9-Expression Tumors
3. Discussion
4. Materials and Methods
4.1. Patients
4.2. DNA and RNA Isolation
4.3. ACTOnco Next-Generation Sequencing
4.4. ACT TME
4.5. Use of Transcriptomic Data from the Cancer Genome Atlas
4.6. Estimation of Stromal and Immune Cells in Tumors
4.7. Metascape
4.8. Estimation of Tumor-Infiltrating Immune Cells in Tumors
4.9. Evaluation of T Cell Signatures in Tumors
4.10. Statistical Analyses
5. Conclusions
Author Contributions
Funding
Institutional Review Board Statement
Informed Consent Statement
Data Availability Statement
Acknowledgments
Conflicts of Interest
References
- Motzer, R.J.; McDermott, D.F.; Escudier, B.; Burotto, M.; Choueiri, T.K.; Hammers, H.J.; Barthélémy, P.; Plimack, E.R.; Porta, C.; George, S.; et al. Conditional survival and long-term efficacy with nivolumab plus ipilimumab versus sunitinib in patients with advanced renal cell carcinoma. Cancer 2022, 128, 2085–2097. [Google Scholar] [CrossRef] [PubMed]
- Motzer, R.J.; Choueiri, T.K.; McDermott, D.F.; Powles, T.; Vano, Y.A.; Gupta, S.; Yao, J.; Han, C.; Ammar, R.; Papillon-Cavanagh, S.; et al. Biomarker analysis from CheckMate 214: Nivolumab plus ipilimumab versus sunitinib in renal cell carcinoma. J. Immunother. Cancer 2022, 10, e004316. [Google Scholar] [CrossRef]
- Dalgliesh, G.L.; Furge, K.; Greenman, C.; Chen, L.; Bignell, G.; Butler, A.; Davies, H.; Edkins, S.; Hardy, C.; Latimer, C.; et al. Systematic sequencing of renal carcinoma reveals inactivation of histone modifying genes. Nature 2010, 463, 360–363. [Google Scholar] [CrossRef]
- Guo, G.; Gui, Y.; Gao, S.; Tang, A.; Hu, X.; Huang, Y.; Jia, W.; Li, Z.; He, M.; Sun, L.; et al. Frequent mutations of genes encoding ubiquitin-mediated proteolysis pathway components in clear cell renal cell carcinoma. Nat. Genet. 2011, 44, 17–19. [Google Scholar] [CrossRef]
- Varela, I.; Tarpey, P.; Raine, K.; Huang, D.; Ong, C.K.; Stephens, P.; Davies, H.; Jones, D.; Lin, M.L.; Teague, J.; et al. Exome sequencing identifies frequent mutation of the SWI/SNF complex gene PBRM1 in renal carcinoma. Nature 2011, 469, 539–542. [Google Scholar] [CrossRef]
- Gerlinger, M.; Rowan, A.J.; Horswell, S.; Math, M.; Larkin, J.; Endesfelder, D.; Gronroos, E.; Martinez, P.; Matthews, N.; Stewart, A.; et al. Intratumor heterogeneity and branched evolution revealed by multiregion sequencing. N. Engl. J. Med. 2012, 366, 883–892. [Google Scholar] [CrossRef]
- Shen, Y.L.; Gan, Y.; Gao, H.F.; Fan, Y.C.; Wang, Q.; Yuan, H.; Song, Y.F.; Wang, J.D.; Tu, H. TNFSF9 exerts an inhibitory effect on hepatocellular carcinoma. J. Dig. Dis. 2017, 18, 395–403. [Google Scholar] [CrossRef] [PubMed]
- Naba, A.; Clauser, K.R.; Hoersch, S.; Liu, H.; Carr, S.A.; Hynes, R.O. The matrisome: In silico definition and in vivo characterization by proteomics of normal and tumor extracellular matrices. Mol. Cell Proteomics 2012, 11, M111.014647. [Google Scholar] [CrossRef] [PubMed]
- Sutherland, T.E.; Dyer, D.P.; Allen, J.E. The extracellular matrix and the immune system: A mutually dependent relationship. Science 2023, 379, eabp8964. [Google Scholar] [CrossRef]
- Jiang, P.; Gu, S.; Pan, D.; Fu, J.; Sahu, A.; Hu, X.; Li, Z.; Traugh, N.; Bu, X.; Li, B.; et al. Signatures of T cell dysfunction and exclusion predict cancer immunotherapy response. Nat. Med. 2018, 24, 1550–1558. [Google Scholar] [CrossRef] [PubMed]
- National Comprehensive Cancer Network. Kidney Cancer (Version 2.2024). Available online: https://www.nccn.org/guidelines/guidelines-detail?category=1&id=1440 (accessed on 30 May 2024).
- Motzer, R.J.; Powles, T.; Burotto, M.; Escudier, B.; Bourlon, M.T.; Shah, A.Y.; Suárez, C.; Hamzaj, A.; Porta, C.; Hocking, C.M.; et al. Nivolumab plus cabozantinib versus sunitinib in first-line treatment for advanced renal cell carcinoma (CheckMate 9ER): Long-term follow-up results from an open-label, randomised, phase 3 trial. Lancet Oncol. 2022, 23, 888–898. [Google Scholar] [CrossRef]
- Grünwald, V.; Powles, T.; Kopyltsov, E.; Kozlov, V.; Alonso-Gordoa, T.; Eto, M.; Hutson, T.; Motzer, R.; Winquist, E.; Maroto, P.; et al. Survival by Depth of Response and Efficacy by International Metastatic Renal Cell Carcinoma Database Consortium Subgroup with Lenvatinib Plus Pembrolizumab Versus Sunitinib in Advanced Renal Cell Carcinoma: Analysis of the Phase 3 Randomized CLEAR Study. Eur. Urol. Oncol. 2023, 6, 437–446. [Google Scholar] [CrossRef]
- Motzer, R.J.; Tannir, N.M.; McDermott, D.F.; Arén Frontera, O.; Melichar, B.; Choueiri, T.K.; Plimack, E.R.; Barthélémy, P.; Porta, C.; George, S.; et al. Nivolumab plus Ipilimumab versus Sunitinib in Advanced Renal-Cell Carcinoma. N. Engl. J. Med. 2018, 378, 1277–1290. [Google Scholar] [CrossRef]
- Milella, M.; Rutigliano, M.; Lasorsa, F.; Ferro, M.; Bianchi, R.; Fallara, G.; Crocetto, F.; Pandolfo, S.D.; Barone, B.; d’Amati, A.; et al. The Role of MUC1 in Renal Cell Carcinoma. Biomolecules 2024, 14, 315. [Google Scholar] [CrossRef]
- Napolitano, L.; Manfredi, C.; Cirillo, L.; Fusco, G.M.; Passaro, F.; Abate, M.; La Rocca, R.; Mastrangelo, F.; Spirito, L.; Pandolfo, S.D.; et al. Cytoreductive Nephrectomy and Metastatic Renal Cell Carcinoma: State of the Art and Future Perspectives. Medicina 2023, 59, 767. [Google Scholar] [CrossRef]
- Kwon, B. CD137-CD137 Ligand Interactions in Inflammation. Immune Netw. 2009, 9, 84–89. [Google Scholar] [CrossRef]
- Shao, Z.; Schwarz, H. CD137 ligand, a member of the tumor necrosis factor family, regulates immune responses via reverse signal transduction. J. Leukoc. Biol. 2011, 89, 21–29. [Google Scholar] [CrossRef]
- Langstein, J.; Michel, J.; Schwarz, H. CD137 induces proliferation and endomitosis in monocytes. Blood 1999, 94, 3161–3168. [Google Scholar] [CrossRef]
- Kwajah, M.M.S.; Schwarz, H. CD137 ligand signaling induces human monocyte to dendritic cell differentiation. Eur. J. Immunol. 2010, 40, 1938–1949. [Google Scholar] [CrossRef]
- Ju, S.; Ju, S.; Ge, Y.; Qiu, H.; Lu, B.; Qiu, Y.; Fu, J.; Liu, G.; Wang, Q.; Hu, Y.; et al. A novel approach to induce human DCs from monocytes by triggering 4-1BBL reverse signaling. Int. Immunol. 2009, 21, 1135–1144. [Google Scholar] [CrossRef][Green Version]
- Michel, J.; Pauly, S.; Langstein, J.; Krammer, P.H.; Schwarz, H. CD137-induced apoptosis is independent of CD95. Immunology 1999, 98, 42–46. [Google Scholar] [CrossRef]
- Cho, J.W.; Son, J.; Ha, S.J.; Lee, I. Systems biology analysis identifies TNFRSF9 as a functional marker of tumor-infiltrating regulatory T-cell enabling clinical outcome prediction in lung cancer. Comput. Struct. Biotechnol. J. 2021, 19, 860–868. [Google Scholar] [CrossRef]
- Wu, J.; Wang, Y.; Jiang, Z. TNFSF9 Is a Prognostic Biomarker and Correlated with Immune Infiltrates in Pancreatic Cancer. J. Gastrointest. Cancer 2021, 52, 150–159. [Google Scholar] [CrossRef] [PubMed]
- Ohue, Y.; Nishikawa, H. Regulatory T (Treg) cells in cancer: Can Treg cells be a new therapeutic target? Cancer Sci. 2019, 110, 2080–2089. [Google Scholar] [CrossRef] [PubMed]
- Walker, L.S.; Sansom, D.M. The emerging role of CTLA4 as a cell-extrinsic regulator of T cell responses. Nat. Rev. Immunol. 2011, 11, 852–863. [Google Scholar] [CrossRef]
- Takahashi, T.; Kuniyasu, Y.; Toda, M.; Sakaguchi, N.; Itoh, M.; Iwata, M.; Shimizu, J.; Sakaguchi, S. Immunologic self-tolerance maintained by CD25+CD4+ naturally anergic and suppressive T cells: Induction of autoimmune disease by breaking their anergic/suppressive state. Int. Immunol. 1998, 10, 1969–1980. [Google Scholar] [CrossRef]
- Setoguchi, R.; Hori, S.; Takahashi, T.; Sakaguchi, S. Homeostatic maintenance of natural Foxp3(+) CD25(+) CD4(+) regulatory T cells by interleukin (IL)-2 and induction of autoimmune disease by IL-2 neutralization. J. Exp. Med. 2005, 201, 723–735. [Google Scholar] [CrossRef]
- Swatler, J.; Turos-Korgul, L.; Brewinska-Olchowik, M.; De Biasi, S.; Dudka, W.; Le, B.V.; Kominek, A.; Cyranowski, S.; Pilanc, P.; Mohammadi, E.; et al. 4-1BBL-containing leukemic extracellular vesicles promote immunosuppressive effector regulatory T cells. Blood Adv. 2022, 6, 1879–1894. [Google Scholar] [CrossRef]
- Cai, J.; Wang, D.; Zhang, G.; Guo, X. The Role Of PD-1/PD-L1 Axis In Treg Development And Function: Implications For Cancer Immunotherapy. Onco Targets Ther. 2019, 12, 8437–8445. [Google Scholar] [CrossRef]
- Li, Q.; Lu, J.; Li, J.; Zhang, B.; Wu, Y.; Ying, T. Antibody-based cancer immunotherapy by targeting regulatory T cells. Front. Oncol. 2023, 13, 1157345. [Google Scholar] [CrossRef] [PubMed]
- Tay, C.; Tanaka, A.; Sakaguchi, S. Tumor-infiltrating regulatory T cells as targets of cancer immunotherapy. Cancer Cell 2023, 41, 450–465. [Google Scholar] [CrossRef]
- Boeva, V.; Popova, T.; Lienard, M.; Toffoli, S.; Kamal, M.; Le Tourneau, C.; Gentien, D.; Servant, N.; Gestraud, P.; Rio Frio, T.; et al. Multi-factor data normalization enables the detection of copy number aberrations in amplicon sequencing data. Bioinformatics 2014, 30, 3443–3450. [Google Scholar] [CrossRef] [PubMed]
- Yoshihara, K.; Shahmoradgoli, M.; Martínez, E.; Vegesna, R.; Kim, H.; Torres-Garcia, W.; Treviño, V.; Shen, H.; Laird, P.W.; Levine, D.A.; et al. Inferring tumour purity and stromal and immune cell admixture from expression data. Nat. Commun. 2013, 4, 2612. [Google Scholar] [CrossRef] [PubMed]
- Zhou, Y.; Zhou, B.; Pache, L.; Chang, M.; Khodabakhshi, A.H.; Tanaseichuk, O.; Benner, C.; Chanda, S.K. Metascape provides a biologist-oriented resource for the analysis of systems-level datasets. Nat. Commun. 2019, 10, 1523. [Google Scholar] [CrossRef]
- Li, T.; Fu, J.; Zeng, Z.; Cohen, D.; Li, J.; Chen, Q.; Li, B.; Liu, X.S. TIMER2.0 for analysis of tumor-infiltrating immune cells. Nucleic Acids Res. 2020, 48, W509–W514. [Google Scholar] [CrossRef]









| Responder | Non-Responder | |
|---|---|---|
| Median age (range) | 70 (60–73) | 69 (52–81) |
| Sex Male/Female | 8/0 | 8/1 |
| IMDC risk | ||
| Intermediate | 7 | 7 |
| Poor | 1 | 2 |
| Previous nephrectomy | 6 | 5 |
| Pathology | ||
| Clear cell renal cell carcinoma | 7 | 7 |
| Clear cell renal cell carcinoma with sarcomatoid | 0 | 1 |
| Papillary renal cell carcinoma | 1 | 1 |
| Sites of metastasis | ||
| Lung | 4 | 5 |
| Bone | 2 | 3 |
| Liver | 1 | 2 |
| Brain | 0 | 0 |
| Lymph node | 1 | 3 |
| Responder | Non-Responder | p-Value | |
|---|---|---|---|
| PD-L1 (SP263 TC)—positive | 3 (37.5%) | 1 (11.1%) | 0.2941 |
| MSI-High | 0 (0%) | 0 (0%) | - |
| TMB | - | ||
| High | 0 (0%) | 0 (0%) | |
| Cannot be determined | 3 (37.5%) | 1 (11.1%) |
| Gene | Responder(%) | Non-Responder(%) | p-Value | ||
|---|---|---|---|---|---|
| VHL | 4 | (50.0) | 4 | (44.4) | 1.000 |
| PBRM1 | 3 | (37.5) | 4 | (44.4) | 1.000 |
| SETD2 | 2 | (25.0) | 2 | (22.2) | 1.000 |
| BAP1 | 1 | (12.5) | 1 | (11.1) | 1.000 |
| TP53 | 0 | (0) | 3 | (33.3) | 0.206 |
Disclaimer/Publisher’s Note: The statements, opinions and data contained in all publications are solely those of the individual author(s) and contributor(s) and not of MDPI and/or the editor(s). MDPI and/or the editor(s) disclaim responsibility for any injury to people or property resulting from any ideas, methods, instructions or products referred to in the content. |
© 2024 by the authors. Licensee MDPI, Basel, Switzerland. This article is an open access article distributed under the terms and conditions of the Creative Commons Attribution (CC BY) license (https://creativecommons.org/licenses/by/4.0/).
Share and Cite
Isoda, B.; Kandori, S.; Sazuka, T.; Kojima, T.; Nitta, S.; Shiga, M.; Nagumo, Y.; Fujimoto, A.; Arai, T.; Sato, H.; et al. TNFSF9 Is Associated with Favorable Tumor Immune Microenvironment in Patients with Renal Cell Carcinoma Who Are Treated with the Combination Therapy of Nivolumab and Ipilimumab. Int. J. Mol. Sci. 2024, 25, 7444. https://doi.org/10.3390/ijms25137444
Isoda B, Kandori S, Sazuka T, Kojima T, Nitta S, Shiga M, Nagumo Y, Fujimoto A, Arai T, Sato H, et al. TNFSF9 Is Associated with Favorable Tumor Immune Microenvironment in Patients with Renal Cell Carcinoma Who Are Treated with the Combination Therapy of Nivolumab and Ipilimumab. International Journal of Molecular Sciences. 2024; 25(13):7444. https://doi.org/10.3390/ijms25137444
Chicago/Turabian StyleIsoda, Bunpei, Shuya Kandori, Tomokazu Sazuka, Takahiro Kojima, Satoshi Nitta, Masanobu Shiga, Yoshiyuki Nagumo, Ayumi Fujimoto, Takayuki Arai, Hiroaki Sato, and et al. 2024. "TNFSF9 Is Associated with Favorable Tumor Immune Microenvironment in Patients with Renal Cell Carcinoma Who Are Treated with the Combination Therapy of Nivolumab and Ipilimumab" International Journal of Molecular Sciences 25, no. 13: 7444. https://doi.org/10.3390/ijms25137444
APA StyleIsoda, B., Kandori, S., Sazuka, T., Kojima, T., Nitta, S., Shiga, M., Nagumo, Y., Fujimoto, A., Arai, T., Sato, H., Mathis, B. J., Wu, C.-L., Jan, Y.-H., Ichikawa, T., & Nishiyama, H. (2024). TNFSF9 Is Associated with Favorable Tumor Immune Microenvironment in Patients with Renal Cell Carcinoma Who Are Treated with the Combination Therapy of Nivolumab and Ipilimumab. International Journal of Molecular Sciences, 25(13), 7444. https://doi.org/10.3390/ijms25137444

