Bio-Based Polyurethane Networks Containing Sunflower Oil Based Polyols
Abstract
1. Introduction
2. Results and Discussion
2.1. Synthesis of Mixtures of Glycerides (MGs) from Sunflower Oil
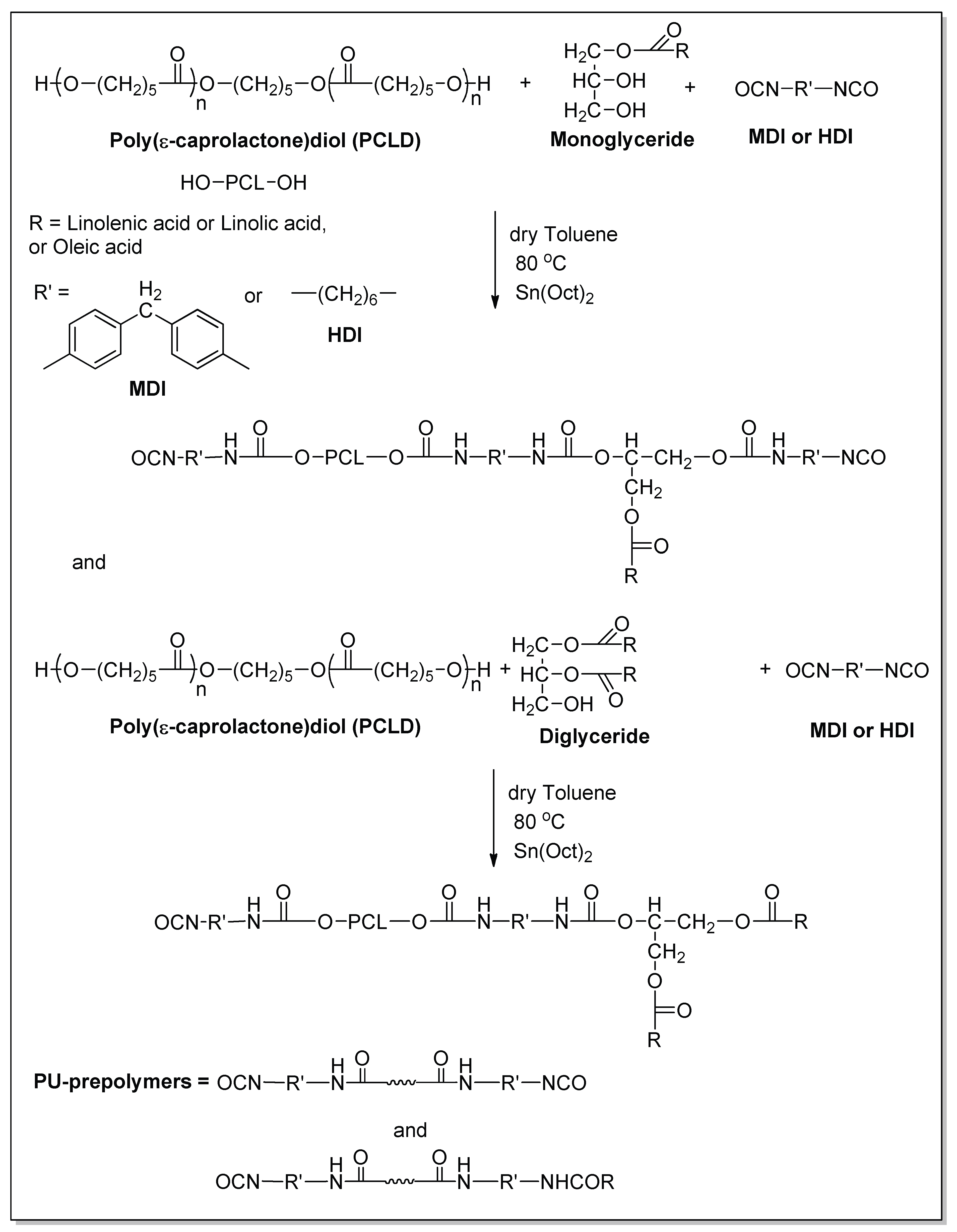
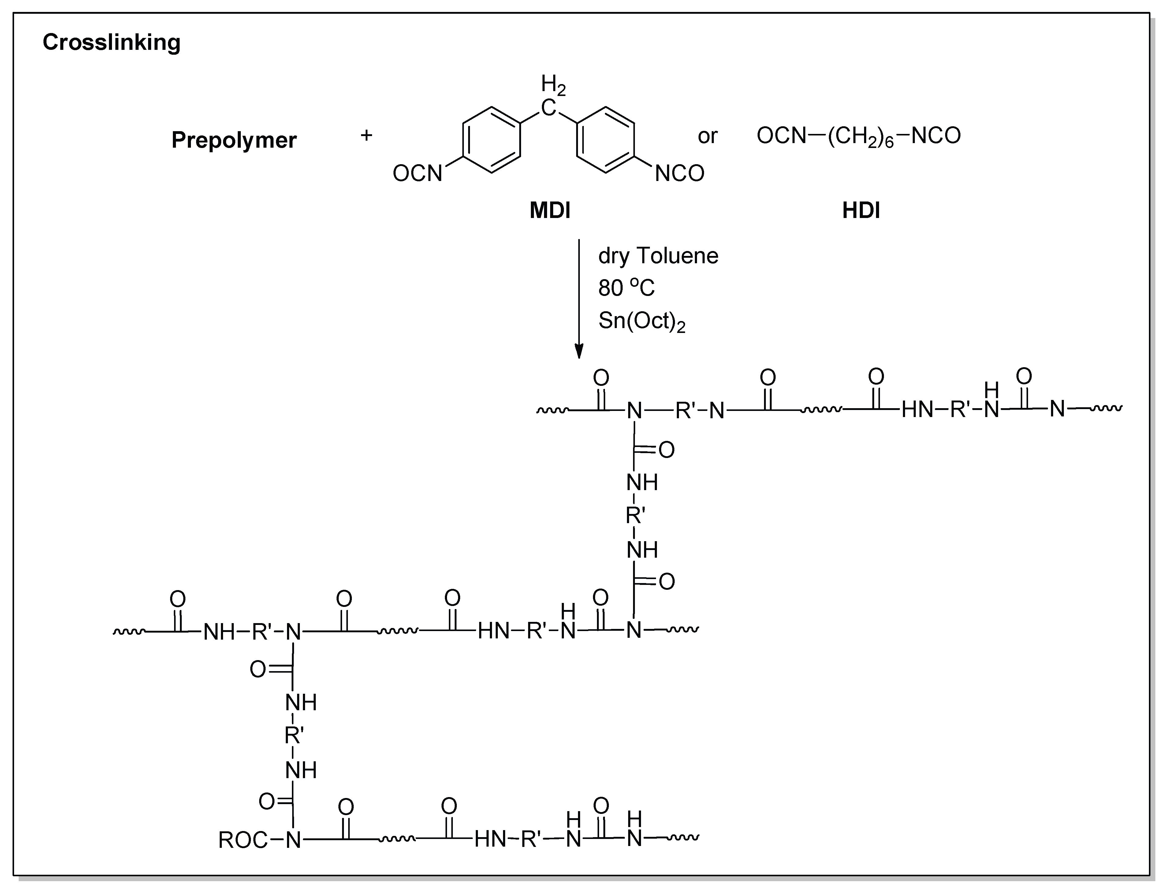
2.2. Synthesis of SO-PUs
2.3. Infrared Spectroscopy
2.4. Swelling Experiments
2.5. Tensile Test
2.6. Thermal Properties
2.7. Morphology
2.8. SEM Investigation of Scaffold from SO-PU3
3. Materials and Methods
3.1. Materials
3.2. Transesterification of Sunflower Oil with Glycerine
3.3. Synthesis of SO-PUs
3.4. Preparation of Scaffold from SO-PU3 by Salt Leaching
3.5. Characterization
3.5.1. Characterizations of Sunflower Oil and GM
Physicochemical Characterization
Matrix-Assisted Laser Desorption/Ionization Time-of-Flight Mass Spectrometry (MALDI-TOF MS)
NMR Spectroscopy
Size-Exclusion Chromatography (SEC)
3.5.2. Characterization of SO-PU 1–4 Samples
Attenuated Total Reflectance Fourier Transform Infrared (ATR-FTIR)
Scanning Electron Microscopy (SEM)
Swelling Experiments
Mechanical Tests
Differential Scanning Calorimetry (DSC)
Thermogravimetric Analysis (TGA)
4. Conclusions
Supplementary Materials
Author Contributions
Funding
Institutional Review Board Statement
Informed Consent Statement
Data Availability Statement
Conflicts of Interest
References
- Petrović, Z.S.; Fergusson, J. Polyurethanes elastomers. Prog. Polym. Sci. 1991, 16, 695–836. [Google Scholar] [CrossRef]
- Wendels, S.; Avérous, L. Biobased polyurethanes for biomedical applications. Bioact. Mater. 2021, 6, 1083–1106. [Google Scholar] [CrossRef]
- Cui, M.; Chai, Z.; Lu, Y.; Zhu, J.; Chen, J. Developments of polyurethane in biomedical applications: A review. Resour. Chem. Mater. 2023, 2, 262–276. [Google Scholar] [CrossRef]
- Kaikade, D.S.; Sabnis, A.S. Polyurethane foams from vegetable oil-based polyol: A review. Polym. Bull. 2023, 80, 2239–2261. [Google Scholar] [CrossRef]
- Paraskar, P.M.; Prabhudesai, M.S.; Hadkar, V.M.; Kulkarni, R.D. Vegetable oil based polyurethane coatings—A sustainable approach: A review. Prog. Org. Coat. 2021, 156, 106267. [Google Scholar] [CrossRef]
- Yin, L.; Zhang, B.; Tian, M.; Ning, N.; Wang, W. Synthesis and applications of bio-based waterborne polyurethane, a review. Prog. Org. Coat. 2024, 186, 108095. [Google Scholar] [CrossRef]
- Das, B.; Chattopadhyay, P.; Mandal, M.; Voit, B.; Karak, N. Bio-based Biodegradable and Biocompatible Hyperbranched Polyurethane: A Scaffold for Tissue Engineering. Macromol. Biosci. 2013, 13, 126–139. [Google Scholar] [CrossRef]
- Asare, M.A.; Kote, P.; Chaudhary, S.; de Souza, F.M.; Gupta, R.K. Sunflower Oil as a Renewable Resource for Polyurethane Foams: Effects of Flame-Retardants. Polymers 2022, 14, 5282. [Google Scholar] [CrossRef]
- Yelwa, J.M.; Abdullahi, S. Epoxidation and Hydroxylation of Sunflower Seed Oil. Int. J. Sci. Res. Chem. 2019, 4, 01–07. [Google Scholar]
- Akkaya, M.R. Fatty acid compositions of sunflowers (Helianthus annuus L.) grown in east Mediterranean region. Riv. Ital. Sostanze Grasse 2018, 95, 239–247. [Google Scholar]
- Feng, Y.; Liang, H.; Yang, Z.; Yuan, T.; Luo, Y.; Li, P.; Yang, Z.; Zhang, C. A Solvent-Free and Scalable Method To Prepare Soybean-Oil-Based Polyols by Thiol−Ene Photo-Click Reaction and Biobased Polyurethanes Therefrom. ACS Sustain. Chem. Eng. 2017, 5, 7365–7373. [Google Scholar] [CrossRef]
- Bashiri, S.; Ghobadian, B.; Soufi, M.D.; Gorjian, S. Chemical modification of sunflower waste cooking oil for biolubricant production through epoxidation reaction. Mater. Sci. Energy Technol. 2021, 4, 119–127. [Google Scholar] [CrossRef]
- Scarton, C.T.; Guerra, N.B.; Giovanela, M.; Moresco, S.; da Silva Crespo, J. Evaluation of natural and epoxidized vegetable oil in elastomeric compositions for tread rubber. J. Elastomers Plast. 2022, 54, 264–278. [Google Scholar] [CrossRef]
- Thomas, J.; Patil, R. The Road to Sustainable Tire Materials: Current State-of-the-Art and Future Prospectives. Environ. Sci. Technol. 2023, 57, 2209–2216. [Google Scholar] [CrossRef] [PubMed]
- Das, B.; Konwar, U.; Mandal, M.; Karak, N. Sunflower oil based biodegradable hyperbranched polyurethane as a thin film material. Ind. Crops Prod. 2013, 44, 396–404. [Google Scholar] [CrossRef]
- Xu, Y.; Petrovic, Z.; Das, S.; Wilkes, G.L. Morphology and properties of thermoplastic polyurethanes with dangling chains in ricinoleate-based soft segments. Polymer 2008, 49, 4248–4258. [Google Scholar] [CrossRef]
- Zlatanić, A.; Lava, C.; Zhang, W.; Petrović, Z.S. Effect of structure on properties of polyols and polyurethanes based on different vegetable oils. J. Polym. Sci. Part B Polym. Phys. 2004, 42, 809–819. [Google Scholar] [CrossRef]
- Petrović, Z.S.; Ilavskŷ, M.; Dušek, K.; Vidaković, M.; Javn, I.; Banjanin, B. The Effect of Crosslinking on Properties of Polyurethane Elastomers. J. Appl. Polym. Sci. 1991, 42, 391–398. [Google Scholar] [CrossRef]
- Czifrák, K.; Karger-Kocsis, J.; Daróczi, L.; Zsuga, M.; Kéki, S. Poly(ε-caprolactone) and Pluronic Diol-Containing Segmented Polyurethanes for Shape Memory Performance. Macromol. Chem. Phys. 2014, 215, 1896–1907. [Google Scholar] [CrossRef]
- Chung, Y.-C.; Choi, J.W.; Shin, S.J.; Chun, B.C. Laterally Crosslinked Polyurethane Copolymers with Polycarbonate as a Soft Segment. Fibers Polym. 2012, 13, 815–822. [Google Scholar] [CrossRef]
- Nurchi, C.; Buonvino, S.; Arciero, I.; Melino, S. Sustainable Vegetable Oil-Based Biomaterials: Synthesis and Biomedical Applications. Int. J. Mol. Sci. 2023, 24, 2153. [Google Scholar] [CrossRef] [PubMed]
- Meng, Z.; He, J.; Cai, Z.; Wang, F.; Zhang, J.; Wang, L.; Ling, R.; Li, D. Design and additive manufacturing of flexible polycaprolactone scaffolds with highly-tunable mechanical properties for soft tissue engineering. Mater. Des. 2020, 189, 108508. [Google Scholar] [CrossRef]
- Tariverdian, T.; Sefat, F.; Gelinsky, M.; Mozafari, M. Scaffold for bone tissue engineering. In Handbook of Tissue Engineering Scaffolds: Volume One; Elsevier Ltd.: Amsterdam, The Netherlands, 2019. [Google Scholar]
- Thomas, J.; Patil, R.S.; Patil, M.; John, J. Addressing the Sustainability Conundrums and Challenges within the Polymer Value Chain. Sustainability 2023, 15, 15758. [Google Scholar] [CrossRef]
- Liang, P.; Wang, H.; Chen, C.; Ge, F.; Liu, D.; Li, S.; Han, B.; Xiong, X.; Zhao, S. The Use of Fourier Transform Infrared Spectroscopy for Quantification of adulteration in Virgin Walnut Oil. J. Spectrosc. 2013, 1, 64–69. [Google Scholar] [CrossRef][Green Version]
- Karger-Kocsis, J.; Kéki, S. Review of Progress in Shape Memory Epoxies and Their Composites. Polymers 2018, 10, 34. [Google Scholar] [CrossRef] [PubMed]
- Domínguez-Cartes, V.; Ramos-Cabeza, D.; de la Torre, M.L.; Salguero-Andújar, F. Complete Generalization of the Equations for the Stress–Strain Curves of Concrete under Uniaxial Compression. Materials 2023, 16, 3387. [Google Scholar] [CrossRef] [PubMed]
- Lakatos, C.; Kordován, M.Á.; Czifrák, K.; Nagy, L.; Vadkerti, B.; Daróczi, L.; Zsuga, M.; Kéki, S. Synthesis of Sucrose-HDI Cooligomers: New Polyols for Novel Polyurethane Networks. Int. J. Mol. Sci. 2022, 23, 1444. [Google Scholar] [CrossRef] [PubMed]
- Gorbunova, M.; Anokhin, D.V.; Abukaev, A.; Ivanov, D. Impact of Soft Segment Composition on Phase Separation and Crystallization of Multi-Block Thermoplastic Polyurethanes Based on Poly(butylene adipate) Diol and Polycaprolactone Diol. Crystals 2023, 13, 1447. [Google Scholar] [CrossRef]
- Haeri, M.; Haeri, M. ImageJ Plugin for Analysis of Porous Scaffolds used in Tissue Engineering. J. Open Res. Softw. 2015, 3, e1. [Google Scholar] [CrossRef]
- Dutta, N.; Karak, N.; Dolui, S.K. Synthesis and characterization of polyester resins based on Nahar seed oil. Prog. Org. Coat. 2004, 49, 146–152. [Google Scholar] [CrossRef]
- Galúcio, C.S.; Souza, R.A.; Stahl, M.A.; Sbaite, P.; Benites, C.I.; Maciel, M.R.W. Physicochemical characterization of monoacylglycerols from sunflower oil. Proc. Food Sci. 2011, 1, 1459–1464. [Google Scholar] [CrossRef]
- Canillo, V.; Chiellini, F.; Fabbri, P.; Sola, A. Production of Bioglass® 45S5—Polycaprolactone composite scaffolds via salt-leaching. Comp. Struct. 2010, 92, 1823–1832. [Google Scholar] [CrossRef]
- Kordován, M.Á.; Hegedűs, C.; Czifrák, K.; Lakatos, C.; Kálmán-Szabó, I.; Daróczi, L.; Zsuga, M.; Kéki, S. Novel Polyurethane Scaffolds Containing Sucrose Crosslinker for Dental Application. Int. J. Mol. Sci. 2022, 23, 7904. [Google Scholar] [CrossRef] [PubMed]
- ISO 660:2009; Animal and Vegetable Fats and Oils—Determination of Acid Value and Acidity. ISO: Geneva, Switzerland, 2009.
- ISO 3961:2018; Animal and Vegetable Fats and Oils—Determination of Iodine Value. ISO: Geneva, Switzerland, 2018.
- ISO 4629-2:2016; Binders for Paints and Varnishes—Determination of Hydroxyl Value—Part 2: Titrimetric Method Using a Catalyst. ISO: Geneva, Switzerland, 2016.
- Kelch, S.; Steuer, S.; Schmidt, A.M.; Lendlein, A. Shape-Memory Polymer Networks from Oligo[(ε-hydroxycaproate)-co-glycolate]dimethacrylates and Butyl Acrylate with Adjustable Hydrolytic Degradation Rate. Biomacromolecules 2007, 8, 1018–1027. [Google Scholar] [CrossRef] [PubMed]
- Sekkar, V.; Gopalakrishnan, S.; Devi, K.A. Studies on allophanate–urethane networks based on hydroxyl terminated polybutadiene: Effect of isocyanate type on the network characteristics. Eur. Polym. J. 2003, 39, 1281–1290. [Google Scholar] [CrossRef]
- Castro, M.; Lu, J.; Bruzaud, S.; Kumar, B.; Feller, J.-F. Carbon nanotubes/poly(ε-caprolactone) composite vapour sensors. Carbon 2009, 47, 1930–1942. [Google Scholar] [CrossRef]
- Jiang, S.; Ji, X.; An, L.; Jiang, B. Crystallization behavior of PCL in hybrid confined environment. Polymer 2001, 42, 3901–3907. [Google Scholar] [CrossRef]
- McCreath, S.; Boinard, P.; Boinard, E.; Gritter, P.; Liggat, J.J. High clarity poly(caprolactone diol)-based polyurethane adhesives for polycarbonate lamination: Effect of isocyanate and chain-extender. Int. J. Adhes. Adhes. 2018, 86, 84–97. [Google Scholar] [CrossRef]










| Analysis | Sunflower Oil | Glyceride Mixture (GM) |
|---|---|---|
| Density (g/cm3) | 0.87 | 0.95 |
| Mn (g/mol) | 1319.4 | mono: 990.5 |
| di: 558.1 | ||
| Acid value (mg KOH/g) | 0.56 | 15.9 |
| Iodine value (g I2/100 g) | 131.5 | 59.5 |
| Hydroxyl value (mg KOH/g) | 2.8 | 222 |
| Protons | σ (ppm)/CDCl3/ |
|---|---|
| Fatty acid -CH=CH- | 5.39–5.29 |
| CH2 glyceride | 4.17–4.11 |
| CH glyceride | 3.97–3.93 |
| CH glyceride | 3.84–3.80 |
| OH | 3.73–3.69 |
| CH2 in fatty acid chain attached to CH=CH- | 2.79–2.75 |
| CH2 of fatty acid chain in β position to COO- | 2.33–2.29 |
| CH2 of fatty acid chain in β position to COO- | 2.04–2.00 |
| Terminal CH2 of fatty acid chain | 1.63–1.25 |
| Terminal CH3 of fatty acid chain | 0.91–0.88 |
| Sample Name | Density (g/cm3) | Q | G (%) | νe (mol/cm3) |
|---|---|---|---|---|
| SO-PU1 | 1.09 | 8.9 | 91.8 | 4.5 × 10−5 |
| SO-PU2 | 1.10 | 1.5 | 97.1 | 3.2 × 10−3 |
| SO-PU3 | 1.11 | 15.7 | 93.4 | 2.1 × 10−4 |
| SO-PU4 | 1.01 | 2.6 | 89.6 | 9.2 × 10−4 |
| Sample Name | E (MPa) | εR (%) | σR (MPa) |
|---|---|---|---|
| SO-PU1 | 12.3 ± 1 | 718.7 ± 63 | 15.9 ± 1 |
| SO-PU2 | 8.4 ± 0.5 | 358.5 ± 36 | 18.1 ± 1.5 |
| SO-PU3 | 81.5 ± 25 | 461.3 ± 36 | 7.7 ± 0.7 |
| SO-PU4 | 160.8 ± 7 | 386.7 ± 38 | 11.5 ± 1.6 |
| Sample | ||||
|---|---|---|---|---|
| Parameter | SO-PU1 | SO-PU2 | SO-PU3 | SO-PU4 |
| C1 * | 270.1 | 65.48 | 34.06 | 336.8 |
| n1 | 1 | 1 | 0.7 | 0.9 |
| εa1 | 0 | 0 | 0 | 0 |
| ε01 | 0.00359 | 0.00205 | 0.140690 | 0.02259 |
| m1 | 0.27076 | 0.16619 | 0.635541 | 0.40360 |
| C2 * | 4.5785 | 0.84026 | 7.6754 | 12.619 |
| n2 | 1.152 | 2.600 | 0.678074 | 0.65273 |
| εa2 | 0 | 0 | 0.001853 | 0.00049 |
| ε02 | 0.6949 | 0.69494 | 0.34652 | 0.69565 |
| m2 | 0 | 0 | 0.01437 | 0 |
| Sample Name | Tg (°C) | Tm PCLD (°C) | ΔHm (J/g) | DCr (%) |
|---|---|---|---|---|
| PCLD2000 | - | 47 | 85.3 | 60 |
| SO-PU1 | −43 | 42 | 1.3 | 2 |
| SO-PU2 | −50 | 32 | 6.0 | 8 |
| SO-PU3 | −50 | 52 | 21.6 | 28 |
| SO-PU4 | - | 64 | 23.4 | 29 |
| Sample Name | T5% (°C) | T10% (°C) | T50% (°C) | Tendset (°C) |
|---|---|---|---|---|
| PCLD2000 | 302 | 318 | 367 | 463 |
| SO-PU1 | 275 | 287 | 309 | 463 |
| SO-PU2 | 275 | 284 | 308 | 473 |
| SO-PU3 | 267 | 278 | 302 | 460 |
| SO-PU4 | 253 | 267 | 300 | 449 |
| Sample Name | T1,max (°C) | T2,max (°C) | T3,max (°C) |
|---|---|---|---|
| SO-PU1 | 307 | 435 | n.a. |
| SO-PU2 | 306 | 441 | n.a |
| SO-PU3 | 308 | 448 | 301 |
| SO-PU4 | 300 | 429 | 292 |
| Sample Name | SO-PU3 Scaffold |
|---|---|
| Count | 68 |
| Major diameter (µm) | 230 ± 80 |
| Minor diameter (µm) | 140 ± 50 |
| Ellipse angle | 87 ± 56 |
| Feret max (µm) | 240 ± 90 |
| Feret min (µm) | 150 ± 60 |
| Feret angle | 96 ± 55 |
| Sample Name | PCLD2000 (g) | GM (g) | MDI (g) | HDI (g) | Crosslinker | SS (%) | HS (%) | |
|---|---|---|---|---|---|---|---|---|
| MDI (g) | HDI (g) | |||||||
| SO-PU1 | 4 | 1 | 1.8 | 73.5 | 26.5 | |||
| SO-PU2 | 4 | 1 | 1.8 | 0.5 | 68.5 | 31.5 | ||
| SO-PU3 | 4 | 1 | 1.8 | 0.3 | 70.4 | 29.6 | ||
| SO-PU4 | 4 | 1 | 1.3 | 0.5 | 74.5 | 25.5 | ||
Disclaimer/Publisher’s Note: The statements, opinions and data contained in all publications are solely those of the individual author(s) and contributor(s) and not of MDPI and/or the editor(s). MDPI and/or the editor(s) disclaim responsibility for any injury to people or property resulting from any ideas, methods, instructions or products referred to in the content. |
© 2024 by the authors. Licensee MDPI, Basel, Switzerland. This article is an open access article distributed under the terms and conditions of the Creative Commons Attribution (CC BY) license (https://creativecommons.org/licenses/by/4.0/).
Share and Cite
Czifrák, K.; Lakatos, C.; Cserháti, C.; Vecsei, G.; Zsuga, M.; Kéki, S. Bio-Based Polyurethane Networks Containing Sunflower Oil Based Polyols. Int. J. Mol. Sci. 2024, 25, 7300. https://doi.org/10.3390/ijms25137300
Czifrák K, Lakatos C, Cserháti C, Vecsei G, Zsuga M, Kéki S. Bio-Based Polyurethane Networks Containing Sunflower Oil Based Polyols. International Journal of Molecular Sciences. 2024; 25(13):7300. https://doi.org/10.3390/ijms25137300
Chicago/Turabian StyleCzifrák, Katalin, Csilla Lakatos, Csaba Cserháti, Gergő Vecsei, Miklós Zsuga, and Sándor Kéki. 2024. "Bio-Based Polyurethane Networks Containing Sunflower Oil Based Polyols" International Journal of Molecular Sciences 25, no. 13: 7300. https://doi.org/10.3390/ijms25137300
APA StyleCzifrák, K., Lakatos, C., Cserháti, C., Vecsei, G., Zsuga, M., & Kéki, S. (2024). Bio-Based Polyurethane Networks Containing Sunflower Oil Based Polyols. International Journal of Molecular Sciences, 25(13), 7300. https://doi.org/10.3390/ijms25137300

