Association between Disgust Sensitivity during Pregnancy and Endogenous Steroids: A Longitudinal Study
Abstract
1. Introduction
2. Results
2.1. Descriptive Statistics
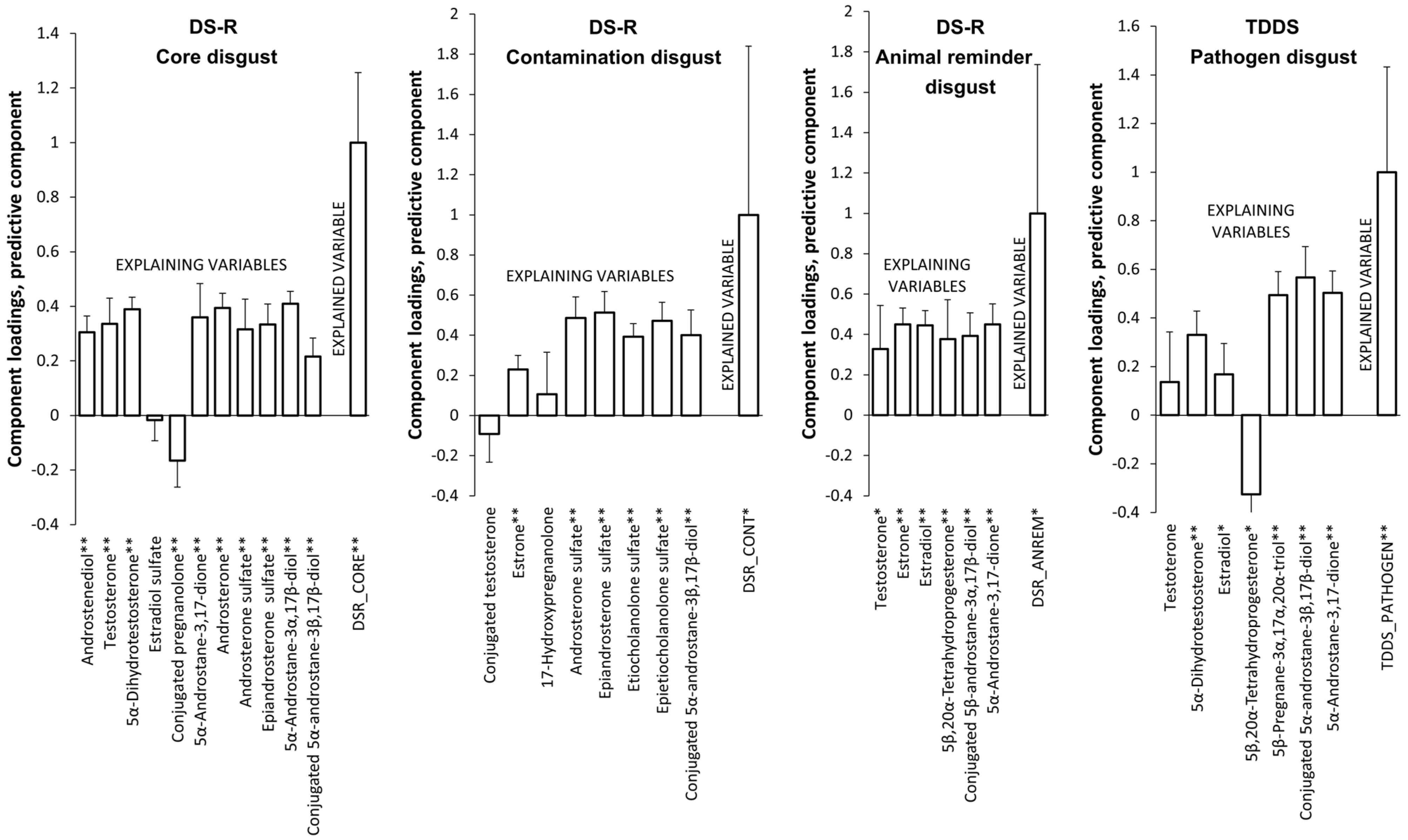
2.2. Association between Disgust Sensitivity and Steroid Levels in the First Trimester
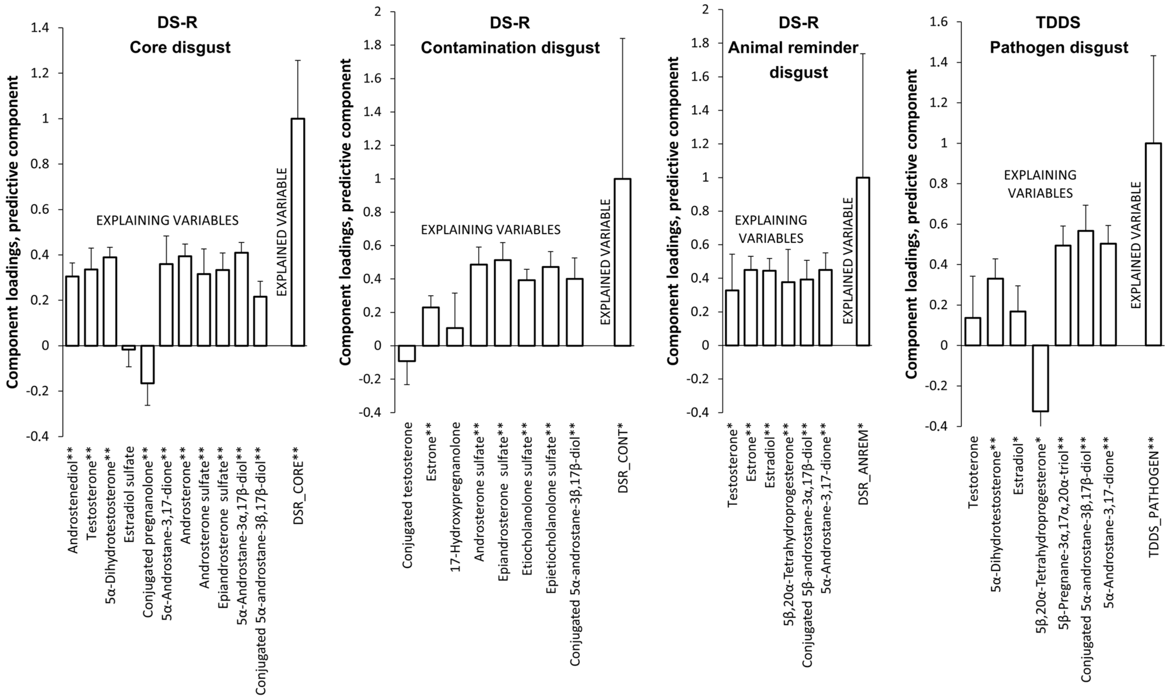
2.3. Association between Disgust Sensitivity and Steroid Levels in the Third Trimester
2.4. The Effect of Changes in Steroid Levels during Pregnancy on Changes in Disgust Sensitivity
3. Discussion
3.1. Immunomodulatory Steroids and Disgust Sensitivity in the First Trimester
3.2. Immunomodulatory Steroids and Disgust Sensitivity in the Third Trimester
3.3. Estrogens and Disgust Sensitivity
3.4. Testosterone and Disgust Sensitivity
3.5. Steroids, Anxiety-Related Disorders, and Disgust Sensitivity in the Third Trimester
3.6. The Effect of Changes in Steroid Levels during Pregnancy on Changes in Disgust Sensitivity
3.7. A Comparison of Questionnaires Measuring Disgust
3.8. Strengths and Limitations
4. Materials and Methods
4.1. Procedure—Data Collection
4.2. Questionnaires
4.3. Laboratory Measurement of Steroid Hormones
4.4. Statistics
5. Conclusions
Author Contributions
Funding
Institutional Review Board Statement
Informed Consent Statement
Data Availability Statement
Acknowledgments
Conflicts of Interest
References
- Schaller, M.; Duncan, L.A. The behavioral immune system: Its evolution and social psychological implications. In Evolution and the Social Mind: Evolutionary Psychology and Social Cognition; Forgas, J.P., Haselton, M.G., von Hippel, W., Eds.; Routledge/Taylor & Francis Group: Abingdon, UK, 2007; pp. 293–307. [Google Scholar] [CrossRef]
- Curtis, V.; Aunger, R.; Rabie, T. Evidence that disgust evolved to protect from risk of disease. Proc. Biol. Sci. 2004, 271 (Suppl. S4), S131–S133. [Google Scholar] [CrossRef] [PubMed]
- Rozin, P.; Fallon, A.E. A perspective on disgust. Psychol. Rev. 1987, 94, 23–41. [Google Scholar] [CrossRef] [PubMed]
- Stevenson, R.J.; Oaten, M.J.; Case, T.I.; Repacholi, B.M.; Wagland, P. Children’s response to adult disgust elicitors: Development and acquisition. Dev. Psychol. 2010, 46, 165–177. [Google Scholar] [CrossRef] [PubMed]
- Al-Shawaf, L.; Lewis, D.M.G.; Buss, D.M. Sex Differences in Disgust: Why Are Women More Easily Disgusted Than Men? Emot. Rev. 2018, 10, 149–160. [Google Scholar] [CrossRef]
- Stevenson, R.J.; Case, T.I.; Oaten, M.J. Frequency and recency of infection and their relationship with disgust and contamination sensitivity. Evol. Hum. Behav. 2009, 30, 363–368. [Google Scholar] [CrossRef]
- Kankova, S.; Takács, L.; Krulova, M.; Hlavacova, J.; Nouzova, K.; Hill, M.; Vcelak, J.; Monk, C. Disgust sensitivity is negatively associated with immune system activity in early pregnancy: Direct support for the Compensatory Prophylaxis Hypothesis. Evol. Hum. Behav. 2022, 43, 234–241. [Google Scholar] [CrossRef]
- Kankova, S.; Takacs, L.; Hlavacova, J.; Calda, P.; Monk, C.; Havlicek, J. Disgust sensitivity in early pregnancy as a response to high pathogen risk. Front. Psychol. 2023, 14, 1015927. [Google Scholar] [CrossRef]
- Fessler, D.M.; Navarrete, C.D. Elevated disgust sensitivity in the first trimester of pregnancy-Evidence supporting prophylaxis the compensatory hypothesis. Evol. Hum. Behav. 2005, 26, 344–351. [Google Scholar] [CrossRef]
- Dlouha, D.; Roberts, S.C.; Hlavacova, J.; Nouzova, K.; Kankova, S. Longitudinal changes in disgust sensitivity during pregnancy and the early postpartum period, and the role of recent health problems. Sci. Rep. 2023, 13, 4752. [Google Scholar] [CrossRef]
- Ille, R.; Schoggl, H.; Kapfhammer, H.P.; Arendasy, M.; Sommer, M.; Schienle, A. Self-disgust in mental disorders–symptom-related or disorder-specific? Compr. Psychiatry 2014, 55, 938–943. [Google Scholar] [CrossRef]
- Olatunji, B.O. Changes in disgust correspond with changes in symptoms of contamination-based OCD: A prospective examination of specificity. J. Anxiety Disord. 2010, 24, 313–317. [Google Scholar] [CrossRef] [PubMed]
- Fessler, D.M.; Navarrete, C.D. Domain-specific variation in disgust sensitivity across the menstrual cycle. Evol. Hum. Behav. 2003, 24, 406–417. [Google Scholar] [CrossRef]
- Miyaura, H.; Iwata, M. Direct and indirect inhibition of Th1 development by progesterone and glucocorticoids. J. Immunol. 2002, 168, 1087–1094. [Google Scholar] [CrossRef] [PubMed]
- Olatunji, B.O.; Cox, R.C.; Li, I. Disgust regulation between menstrual cycle phases: Differential effects of emotional suppression and reappraisal. J. Behav. Ther. Exp. Psychiatry 2020, 68, 101543. [Google Scholar] [CrossRef]
- Dlouha, D.; Ullman, J.; Takacs, L.; Nouzova, K.; Hrbackova, H.; Seda, J.; Kankova, S. Comparing disgust sensitivity in women in early pregnancy and non-pregnant women in the follicular and luteal phases of the menstrual cycle. Evol. Hum. Behav. 2024, 45, 164–174. [Google Scholar] [CrossRef]
- Timmers, A.D.; Bossio, J.A.; Chivers, M.L. Disgust, sexual cues, and the prophylaxis hypothesis. Evol. Psychol. Sci. 2018, 4, 179–190. [Google Scholar] [CrossRef]
- Stern, J.; Shiramizu, V. Hormones, ovulatory cycle phase and pathogen disgust: A longitudinal investigation of the Compensatory Prophylaxis Hypothesis. Horm. Behav. 2022, 138, 105103. [Google Scholar] [CrossRef] [PubMed]
- Rafiee, Y.; Jones, B.C.; Shiramizu, V. Is pathogen disgust increased on days of the menstrual cycle when progesterone is high? Evidence from a between-subjects study using estimated progesterone levels. Adapt. Hum. Behav. Physiol. 2023, 9, 26–36. [Google Scholar] [CrossRef]
- Zelazniewicz, A.; Borkowska, B.; Nowak, J.; Pawlowski, B. The progesterone level, leukocyte count and disgust sensitivity across the menstrual cycle. Physiol. Behav. 2016, 161, 60–65. [Google Scholar] [CrossRef]
- Milkowska, K.; Galbarczyk, A.; Klimek, M.; Zablocka-Slowińska, K.; Jasienska, G. Pathogen disgust, but not moral disgust, changes across the menstrual cycle. Evol. Hum. Behav. 2021, 42, 402–408. [Google Scholar] [CrossRef]
- Milkowska, K.; Galbarczyk, A.; Jasienska, G. Disgust sensitivity in relation to menstrual cycle phase in women with and without an infection. Am. J. Hum. Biol. 2019, 31, e23233. [Google Scholar] [CrossRef]
- Liu, M.; Zhang, X.; He, Z.; Liang, Y.; Zou, B.; Ma, X.; Gu, S.; Wang, F. Opposite effects of estradiol and progesterone on woman’s disgust processing. Front. Psychiatry 2023, 14, 1161488. [Google Scholar] [CrossRef]
- Fleischman, D.S.; Fessler, D.M. Progesterone’s effects on the psychology of disease avoidance: Support for the compensatory behavioral prophylaxis hypothesis. Horm. Behav. 2011, 59, 271–275. [Google Scholar] [CrossRef] [PubMed]
- Conway, C.A.; Jones, B.C.; DeBruine, L.M.; Welling, L.L.; Law Smith, M.J.; Perrett, D.I.; Sharp, M.A.; Al-Dujaili, E.A. Salience of emotional displays of danger and contagion in faces is enhanced when progesterone levels are raised. Horm. Behav. 2007, 51, 202–206. [Google Scholar] [CrossRef] [PubMed]
- Kamboj, S.K.; Krol, K.M.; Curran, H.V. A specific association between facial disgust recognition and estradiol levels in naturally cycling women. PLoS ONE 2015, 10, e0122311. [Google Scholar] [CrossRef] [PubMed]
- Kavaliers, M.; Bishnoi, I.R.; Ossenkopp, K.P.; Choleris, E. Differential effects of progesterone on social recognition and the avoidance of pathogen threat by female mice. Horm. Behav. 2021, 127, 104873. [Google Scholar] [CrossRef]
- Bressan, P.; Kramer, P. Progesterone does raise disgust. Horm. Behav. 2022, 137, 104937. [Google Scholar] [CrossRef] [PubMed]
- Jones, B.; Hahn, A.; Fisher, C.; Wang, H.; Kandrik, M.; Lee, A.; Tybur, J.; DeBruine, L. Hormonal correlates of pathogen disgust: Testing the compensatory prophylaxis hypothesis. Evol. Hum. Behav. 2018, 39, 166–169. [Google Scholar] [CrossRef]
- Zelazniewicz, A.; Pawlowski, B. Disgust in pregnancy and fetus sex–longitudinal study. Physiol. Behav. 2015, 139, 177–181. [Google Scholar] [CrossRef]
- Racicot, K.; Kwon, J.Y.; Aldo, P.; Silasi, M.; Mor, G. Understanding the complexity of the immune system during pregnancy. Am. J. Reprod. Immunol. 2014, 72, 107–116. [Google Scholar] [CrossRef]
- Hove, C.; Trumble, B.C.; Anderson, A.S.; Stieglitz, J.; Kaplan, H.; Gurven, M.D.; Blackwell, A.D. Immune function during pregnancy varies between ecologically distinct populations. Evol. Med. Public Health 2020, 2020, 114–128. [Google Scholar] [CrossRef]
- Abu-Raya, B.; Michalski, C.; Sadarangani, M.; Lavoie, P.M. Maternal Immunological Adaptation During Normal Pregnancy. Front. Immunol. 2020, 11, 575197. [Google Scholar] [CrossRef] [PubMed]
- Kankova, S.; Hlavacova, J.; Roberts, K.; Benesova, J.; Havlicek, J.; Calda, P.; Dlouha, D.; Roberts, S.C. Associations between nausea and vomiting in pregnancy, disgust sensitivity, and first-trimester maternal serum free beta-hCG and PAPP-A. Horm. Behav. 2023, 152, 105360. [Google Scholar] [CrossRef] [PubMed]
- Gerdes, A.B.; Uhl, G.; Alpers, G.W. Spiders are special: Fear and disgust evoked by pictures of arthropods. Evol. Hum. Behav. 2009, 30, 66–73. [Google Scholar] [CrossRef]
- Cisler, J.M.; Olatunji, B.O.; Lohr, J.M. Disgust sensitivity and emotion regulation potentiate the effect of disgust propensity on spider fear, blood-injection-injury fear, and contamination fear. J. Behav. Ther. Exp. Psychiatry 2009, 40, 219–229. [Google Scholar] [CrossRef] [PubMed]
- Marzillier, S.; Davey, G. Anxiety and disgust: Evidence for a unidirectional relationship. Cogn. Emot. 2005, 19, 729–750. [Google Scholar] [CrossRef]
- Silva, M.M.J.; Nogueira, D.A.; Clapis, M.J.; Leite, E. Anxiety in pregnancy: Prevalence and associated factors. Rev. Esc. Enferm. USP 2017, 51, e03253. [Google Scholar] [CrossRef] [PubMed]
- Fava, G.A.; Grandi, S.; Michelacci, L.; Saviotti, F.; Conti, S.; Bovicelli, L.; Trombini, G.; Orlandi, C. Hypochondriacal fears and beliefs in pregnancy. Acta Psychiatr. Scand. 1990, 82, 70–72. [Google Scholar] [CrossRef] [PubMed]
- Odent, M. Fear of death during labour. Midwifery Today Int. Midwife 2003, 67, 20–22. [Google Scholar] [CrossRef]
- Shlomi Polachek, I.; Huller Harari, L.; Baum, M.; Strous, R.D. Postpartum anxiety in a cohort of women from the general population: Risk factors and association with depression during last week of pregnancy, postpartum depression and postpartum PTSD. Isr. J. Psychiatry Relat. Sci. 2014, 51, 128–134. [Google Scholar]
- Sterzl, I.; Hill, M.; Starka, L.; Velikova, M.; Kanceva, R.; Jemelkova, J.; Czernekova, L.; Kosztyu, P.; ZadraZil, J.; Matousovic, K.; et al. Patients with IgA nephropathy have altered levels of immunomodulatory C19 steroids. Glucocorticoid therapy with addition of adrenal androgens may be the choice. Physiol. Res. 2017, 66, S433–S442. [Google Scholar] [CrossRef] [PubMed]
- Honcu, P.; Hill, M.; Bicikova, M.; Jandova, D.; Velikova, M.; Kajzar, J.; Kolatorova, L.; Bestak, J.; Macova, L.; Kancheva, R.; et al. Activation of Adrenal Steroidogenesis and an Improvement of Mood Balance in Postmenopausal Females after Spa Treatment Based on Physical Activity. Int. J. Mol. Sci. 2019, 20, 3687. [Google Scholar] [CrossRef] [PubMed]
- Olatunji, B.O.; Williams, N.L.; Tolin, D.F.; Abramowitz, J.S.; Sawchuk, C.N.; Lohr, J.M.; Elwood, L.S. The Disgust Scale: Item analysis, factor structure, and suggestions for refinement. Psychol. Assess. 2007, 19, 281–297. [Google Scholar] [CrossRef] [PubMed]
- Tybur, J.; Lieberman, D.; Griskevicius, V. Microbes, Mating, and Morality: Individual Differences in Three Functional Domains of Disgust. Psychiatry Investig. 2009, 12, 538–544. [Google Scholar] [CrossRef] [PubMed]
- Erbay, L.G.; Kartalci, S. Neurosteroid Levels in Patients with Obsessive-Compulsive Disorder. Psychiatry Investig. 2015, 12, 538–544. [Google Scholar] [CrossRef]
- Luu-The, V. Assessment of steroidogenesis and steroidogenic enzyme functions. J. Steroid Biochem. Mol. Biol. 2013, 137, 176–182. [Google Scholar] [CrossRef]
- Lephart, E.D. Brain 5alpha-reductase: Cellular, enzymatic, and molecular perspectives and implications for biological function. Mol. Cell Neurosci. 1993, 4, 473–484. [Google Scholar] [CrossRef]
- Celotti, F.; Melcangi, R.C.; Martini, L. The 5 alpha-reductase in the brain: Molecular aspects and relation to brain function. Front. Neuroendocrinol. 1992, 13, 163–215. [Google Scholar]
- Coutinho, A.E.; Chapman, K.E. The anti-inflammatory and immunosuppressive effects of glucocorticoids, recent developments and mechanistic insights. Mol. Cell Endocrinol. 2011, 335, 2–13. [Google Scholar] [CrossRef]
- Bottasso, O.; Bay, M.L.; Besedovsky, H.; del Rey, A. The immuno-endocrine component in the pathogenesis of tuberculosis. Scand. J. Immunol. 2007, 66, 166–175. [Google Scholar] [CrossRef]
- Du, C.; Khalil, M.W.; Sriram, S. Administration of dehydroepiandrosterone suppresses experimental allergic encephalomyelitis in SJL/J mice. J. Immunol. 2001, 167, 7094–7101. [Google Scholar] [CrossRef] [PubMed]
- Rontzsch, A.; Thoss, K.; Petrow, P.K.; Henzgen, S.; Brauer, R. Amelioration of murine antigen-induced arthritis by dehydroepiandrosterone (DHEA). Inflamm. Res. 2004, 53, 189–198. [Google Scholar] [CrossRef] [PubMed]
- Tan, X.D.; Dou, Y.C.; Shi, C.W.; Duan, R.S.; Sun, R.P. Administration of dehydroepiandrosterone ameliorates experimental autoimmune neuritis in Lewis rats. J. Neuroimmunol. 2009, 207, 39–44. [Google Scholar] [CrossRef] [PubMed]
- Choi, I.S.; Cui, Y.; Koh, Y.A.; Lee, H.C.; Cho, Y.B.; Won, Y.H. Effects of dehydroepiandrosterone on Th2 cytokine production in peripheral blood mononuclear cells from asthmatics. Korean J. Intern. Med. 2008, 23, 176–181. [Google Scholar] [CrossRef] [PubMed]
- Sudo, N.; Yu, X.N.; Kubo, C. Dehydroepiandrosterone attenuates the spontaneous elevation of serum IgE level in NC/Nga mice. Immunol. Lett. 2001, 79, 177–179. [Google Scholar] [CrossRef] [PubMed]
- Kasperska-Zajac, A.; Brzoza, Z.; Rogala, B. Dehydroepiandrosterone and dehydroepiandrosterone sulphate in atopic allergy and chronic urticaria. Inflammation 2008, 31, 141–145. [Google Scholar] [CrossRef] [PubMed]
- Sterzl, I.; Hampl, R.; Sterzl, J.; Votruba, J.; Starka, L. 7 β-OH-DHEA counteracts dexamethasone induced suppression of primary immune response in murine spleenocytes. J. Steroid Biochem. Mol. Biol. 1999, 71, 133–137. [Google Scholar] [CrossRef] [PubMed]
- Romagnani, S.; Kapsenberg, M.; Radbruch, A.; Adorini, L. Th1 and Th2 cells. Res. Immunol. 1998, 149, 871–873. [Google Scholar] [CrossRef] [PubMed]
- Pratschke, S.; von Dossow-Hanfstingl, V.; Dietz, J.; Schneider, C.P.; Tufman, A.; Albertsmeier, M.; Winter, H.; Angele, M.K. Dehydroepiandrosterone modulates T-cell response after major abdominal surgery. J. Surg. Res. 2014, 189, 117–125. [Google Scholar] [CrossRef]
- Pettersson, H.; Lundqvist, J.; Norlin, M. Effects of CYP7B1-mediated catalysis on estrogen receptor activation. Biochim. Biophys. Acta 2010, 1801, 1090–1097. [Google Scholar] [CrossRef]
- Tang, W.; Eggertsen, G.; Chiang, J.Y.; Norlin, M. Estrogen-mediated regulation of CYP7B1: A possible role for controlling DHEA levels in human tissues. J. Steroid Biochem. Mol. Biol. 2006, 100, 42–51. [Google Scholar] [CrossRef] [PubMed]
- Ahlem, C.N.; Page, T.M.; Auci, D.L.; Kennedy, M.R.; Mangano, K.; Nicoletti, F.; Ge, Y.; Huang, Y.; White, S.K.; Villegas, S.; et al. Novel components of the human metabolome: The identification, characterization and anti-inflammatory activity of two 5-androstene tetrols. Steroids 2011, 76, 145–155. [Google Scholar] [CrossRef]
- Reading, C.L.; Frincke, J.M.; White, S.K. Molecular targets for 17alpha-ethynyl-5-androstene-3beta,7beta,17beta-triol, an anti-inflammatory agent derived from the human metabolome. PLoS ONE 2012, 7, e32147. [Google Scholar] [CrossRef]
- Hill, M.; Parizek, A.; Cibula, D.; Kancheva, R.; Jirasek, J.E.; Jirkovska, M.; Velikova, M.; Kubatova, J.; Klimkova, M.; Paskova, A.; et al. Steroid metabolome in fetal and maternal body fluids in human late pregnancy. J. Steroid Biochem. Mol. Biol. 2010, 122, 114–132. [Google Scholar] [CrossRef] [PubMed]
- AbdulHussain, G.; Azizieh, F.; Makhseed, M.; Raghupathy, R. Effects of Progesterone, Dydrogesterone and Estrogen on the Production of Th1/Th2/Th17 Cytokines by Lymphocytes from Women with Recurrent Spontaneous Miscarriage. J. Reprod. Immunol. 2020, 140, 103132. [Google Scholar] [CrossRef] [PubMed]
- Folstad, I.; Karter, A.J. Parasites, bright males, and the immunocompetence handicap. Am. Nat. 1992, 139, 603–622. [Google Scholar] [CrossRef]
- Meulenberg, P.M.; Hofman, J.A. Maternal testosterone and fetal sex. J. Steroid Biochem. Mol. Biol. 1991, 39, 51–54. [Google Scholar] [CrossRef] [PubMed]
- Cisler, J.M.; Olatunji, B.O.; Lohr, J.M. Disgust, fear, and the anxiety disorders: A critical review. Clin. Psychol. Rev. 2009, 29, 34–46. [Google Scholar] [CrossRef]
- Olatunji, B.O.; Armstrong, T.; Elwood, L. Is Disgust Proneness Associated With Anxiety and Related Disorders? A Qualitative Review and Meta-Analysis of Group Comparison and Correlational Studies. Perspect. Psychol. Sci. 2017, 12, 613–648. [Google Scholar] [CrossRef]
- Giltay, E.J.; Enter, D.; Zitman, F.G.; Penninx, B.W.; van Pelt, J.; Spinhoven, P.; Roelofs, K. Salivary testosterone: Associations with depression, anxiety disorders, and antidepressant use in a large cohort study. J. Psychosom. Res. 2012, 72, 205–213. [Google Scholar] [CrossRef]
- Soto-Balbuena, C.; Rodriguez, M.F.; Escudero Gomis, A.I.; Ferrer Barriendos, F.J.; Le, H.N.; Pmb-Huca, G. Incidence, prevalence and risk factors related to anxiety symptoms during pregnancy. Psicothema 2018, 30, 257–263. [Google Scholar] [CrossRef] [PubMed]
- Hill, M.; Hana, V., Jr.; Velikova, M.; Parizek, A.; Kolatorova, L.; Vitku, J.; Skodova, T.; Simkova, M.; Simjak, P.; Kancheva, R.; et al. A method for determination of one hundred endogenous steroids in human serum by gas chromatography-tandem mass spectrometry. Physiol. Res. 2019, 68, 179–207. [Google Scholar] [CrossRef] [PubMed]
- Trygg, J.; Wold, S. Orthogonal projections to latent structures (O-PLS). J. Chemom. 2002, 16, 119–128. [Google Scholar] [CrossRef]


| Steroids (nM) | Trimester 1 Median (Quartiles) | Trimester 3 Median (Quartiles) | Trimester 3 − Trimester 1 Median (Quartiles) | p-Value |
|---|---|---|---|---|
| C21 Δ5 Steroids | ||||
| Pregnenolone | 4.28 (2.86, 6.22) | 4.84 (3.46, 7.32) | 0.563 (−0.812, 2.99) | <0.001 |
| Pregnenolone sulfate | 180 (124, 259) | 212 (161, 295) | 32.6 (−14.1, 84.4) | <0.001 |
| 20α-Dihydropregnenolone | 4.78 (3.55, 6.09) | 3.29 (2.66, 4.32) | −1.23 (−2.44, −0.327) | <0.001 |
| 20α-Dihydropregnenolone sulfate | 954 (639, 1390) | 849 (620, 1100) | −125 (−378, 92.5) | <0.001 |
| 17-Hydroxypregnenolone sulfate | 4.6 (3.07, 7.9) | 2.69 (2.01, 3.98) | −2.04 (−4.86, −0.636) | <0.001 |
| 17-Hydroxypregnenolone | 7.29 (4.63, 12) | 7.39 (5.05, 11.5) | 0.144 (−3.54, 3.08) | 0.704 |
| 16α-Hydroxypregnenolone | 0.462 (0.298, 0.68) | 0.806 (0.589, 1.13) | 0.344 (0.0694, 0.593) | <0.001 |
| C19 Δ5 Steroids | ||||
| Dehydroepiandrosterone (DHEA) | 9.25 (6.01, 12.9) | 4.63 (3.29, 6.87) | −4.12 (−6.63, −1.66) | <0.001 |
| DHEA sulfate | 2900 (1800, 4360) | 1150 (666, 1810) | −1670 (−2560, −910) | <0.001 |
| 7α-Hydroxy-DHEA | 0.909 (0.539, 1.43) | 0.344 (0.228, 0.526) | −0.533 (−0.973, −0.233) | <0.001 |
| 7-oxo-DHEA | 0.503 (0.306, 0.842) | 0.519 (0.41, 0.71) | 0.0141 (−0.307, 0.235) | 0.647 |
| 7β-Hydroxy-DHEA | 0.598 (0.342, 0.885) | 0.285 (0.175, 0.382) | −0.334 (−0.565, −0.124) | <0.001 |
| Androstenediol | 2.72 (1.85, 4.1) | 1.13 (0.741, 2.15) | −1.24 (−2.16, −0.51) | <0.001 |
| Androstenediol sulfate | 322 (194, 512) | 174 (112, 261) | −130 (−307, −25.3) | <0.001 |
| 5-Androstene-3β,7α,17β-triol | 0.459 (0.281, 0.729) | 0.123 (0.084, 0.233) | −0.305 (−0.571, −0.165) | <0.001 |
| 5-Androstene-3β,7β,17β-triol | 0.509 (0.319, 0.873) | 0.231 (0.144, 0.319) | −0.312 (−0.572, −0.134) | <0.001 |
| 5-Androstene-3β,16α,17β-triol | 0.206 (0.131, 0.319) | 0.496 (0.337, 0.788) | 0.266 (0.107, 0.536) | <0.001 |
| 5-Androstene-3β,16α,17β-triol sulfate | 32.6 (18.9, 61.6) | 78.2 (46.9, 139) | 34 (10.5, 78.2) | <0.001 |
| C21 Δ4 Steroids | ||||
| Progesterone | 104 (76.5, 135) | 382 (281, 489) | 277 (183, 390) | <0.001 |
| 20α-Dihydroprogesterone | 22.5 (17.2, 29.2) | 49.2 (36.3, 67.7) | 26.3 (15.6, 43) | <0.001 |
| 17-Hydroxyprogesterone | 11 (8.47, 14.1) | 17.4 (13.8, 21.3) | 5.7 (1.69, 10.9) | <0.001 |
| 16α-Hydroxyprogesterone | 2.14 (1.57, 2.79) | 10.2 (7.62, 14.3) | 8.07 (5.31, 12.2) | <0.001 |
| 17α,20α-Dihydroxy-4-pregnene-3-one | 3.08 (2.18, 4.12) | 4.44 (3.34, 5.85) | 1.25 (0.332, 2.54) | <0.001 |
| C19 Δ4 Steroids | ||||
| Androstenedione | 7.22 (5.44, 9.79) | 6.62 (4.8, 9.26) | −0.966 (−2.54, 0.667) | <0.001 |
| Testosterone | 2.9 (2.1, 3.9) | 2.54 (1.69, 4.17) | −0.245 (−0.805, 0.784) | 0.308 |
| Conjugated testosterone | 1.08 (0.407, 2.39) | 4.2 (2.12, 7.29) | 2.1 (0.335, 5.67) | <0.001 |
| 5α-Dihydrotestosterone | 0.903 (0.596, 1.45) | 0.443 (0.27, 0.682) | −0.446 (−0.761, −0.167) | <0.001 |
| Conjugated 5α-dihydrotestosterone | 1.42 (0.854, 2.09) | 1 (0.677, 1.58) | −0.288 (−1.09, 0.364) | <0.001 |
| Estrogens | ||||
| Estrone | 3.57 (1.99, 6.85) | 17 (10.4, 31.4) | 13.4 (5.26, 29.9) | <0.001 |
| Estrone sulfate | 5.67 (3, 11.7) | 27.3 (16.8, 47.6) | 21.7 (9.41, 38.2) | <0.001 |
| Estradiol | 3.31 (1.55, 5.77) | 31 (18.4, 48.5) | 27 (16.2, 44.4) | <0.001 |
| Estradiol sulfate | 3.98 (2.18, 6.83) | 19.8 (10.3, 35.2) | 15.8 (4.91, 29.6) | <0.001 |
| Estriol | 1.89 (0.726, 4.44) | 74.8 (40.8, 119) | 74.3 (40.9, 116) | <0.001 |
| C21 5α/β-reduced Steroids | ||||
| 5α-Dihydroprogesterone | 10.4 (7.09, 13.7) | 65.1 (42.8, 92.5) | 54.3 (30.7, 80.6) | <0.001 |
| Allopregnanolone | 6.71 (5.05, 9.09) | 31.1 (21.1, 42.7) | 23.8 (14.8, 34) | <0.001 |
| Allopregnanolone sulfate | 128 (82.7, 227) | 1220 (739, 1870) | 1080 (534, 1690) | <0.001 |
| Isopregnanolone | 2.05 (1.38, 2.86) | 7.96 (4.44, 11.9) | 5.28 (2.73, 9.51) | <0.001 |
| Isopregnanolone sulfate | 92.3 (59, 143) | 605 (344, 958) | 477 (263, 837) | <0.001 |
| 5β-Dihydroprogesterone | 0.123 (0.043, 0.235) | 2.02 (1.1, 3.26) | 1.89 (0.978, 3.01) | <0.001 |
| Pregnanolone | 1.91 (1.06, 3.06) | 22.8 (14.5, 29.9) | 20 (13.5, 27.1) | <0.001 |
| Conjugated pregnanolone | 76 (54, 131) | 696 (480, 950) | 549 (361, 806) | <0.001 |
| Epipregnanolone | 0.267 (0.137, 0.538) | 1.36 (0.823, 1.97) | 0.935 (0.596, 1.53) | <0.001 |
| Conjugated epipregnanolone | 23.7 (14.7, 37.3) | 154 (95.4, 255) | 117 (67.8, 207) | <0.001 |
| 17-Hydroxyallopregnanolone | 0.11 (0.04, 0.197) | 0.279 (0.124, 0.511) | 0.149 (0.019, 0.314) | <0.001 |
| 17-Hydroxyallopregnanolone sulfate | 6.6 (3.82, 11) | 11.1 (6.83, 19.5) | 3.48 (0.727, 9.93) | <0.001 |
| 17-Hydroxypregnanolone | 0.195 (0.103, 0.36) | 0.882 (0.595, 1.19) | 0.623 (0.388, 0.899) | <0.001 |
| Conjugated 17α-hydroxypregnanolone | 24.1 (16.8, 39.6) | 46.4 (31, 70.6) | 19.4 (8.95, 35.1) | <0.001 |
| 5α,20α-Tetrahydroprogesterone | 6.04 (4.42, 8.2) | 21.7 (15.1, 31.1) | 15.3 (9.37, 22.2) | <0.001 |
| Conjugated 5α,20α-tetrahydroprogesterone | 5.35 (3.3, 8.59) | 15.5 (10.7, 25.2) | 10.1 (4.74, 18.5) | <0.001 |
| 5α-Pregnane-3α,20α-diol | 7.23 (4.83, 9.68) | 23.1 (16, 32.4) | 14.2 (8.53, 23.9) | <0.001 |
| Conjugated 5α-pregnane-3α,20α-diol | 1650 (1100, 2580) | 6550 (4220, 9420) | 4440 (2660, 7260) | <0.001 |
| 5α-Pregnane-3β,20α-diol | 2.24 (1.57, 3.27) | 6.59 (4.35, 10.5) | 3.65 (2.33, 7.26) | <0.001 |
| Conjugated 5α-pregnane-3β,20α-diol | 3720 (2150, 6210) | 10,900 (7600, 17,000) | 6550 (3540, 11,500) | <0.001 |
| 5β,20α-Tetrahydroprogesterone | 0.096 (0.062, 0.171) | 1.96 (1.4, 2.66) | 1.8 (1.28, 2.47) | <0.001 |
| Conjugated 5β,20α-tetrahydroprogesterone | 2.65 (1.68, 4.06) | 7.48 (5.02, 9.64) | 4.22 (2.05, 6.78) | <0.001 |
| 5β-Pregnane-3α,20α-diol | 0.829 (0.584, 1.21) | 6.61 (5.06, 8.53) | 5.53 (4.19, 7.16) | <0.001 |
| Conjugated 5β-pregnane-3α,20α-diol | 297 (229, 427) | 1070 (794, 1460) | 750 (498, 998) | <0.001 |
| 5β-Pregnane-3β,20α-diol | 0.18 (0.113, 0.313) | 0.593 (0.396, 0.927) | 0.393 (0.209, 0.665) | <0.001 |
| Conjugated 5β-pregnane-3β,20α-diol | 189 (127, 286) | 644 (461, 920) | 430 (253, 624) | <0.001 |
| 5α-Pregnane-3α,17α,20α-triol | 0.276 (0.146, 0.474) | 0.179 (0.104, 0.321) | −0.082 (−0.199, 0.006) | <0.001 |
| Conjugated 5α-pregnane-3α,17α,20α-triol | 28.5 (10.5, 58) | 35.5 (11.8, 87.5) | 3.2 (−5.57, 23.6) | 0.001 |
| 5β-Pregnane-3α,17α,20α-triol | 2.8 (1.88, 3.94) | 4.79 (3.16, 6.17) | 1.52 (0.35, 2.82) | <0.001 |
| Conjugated 5β-pregnane-3α,17α,20α-triol | 116 (82.2, 216) | 162 (117, 269) | 34.8 (−21.4, 102) | <0.001 |
| 5α-Androstane-3,17-dione | 0.521 (0.34, 0.744) | 0.425 (0.297, 0.625) | −0.0559 (−0.197, 0.0546) | <0.001 |
| C19 5α/β-reduced Steroids | ||||
| Androsterone | 0.897 (0.705, 1.21) | 0.568 (0.427, 0.815) | −0.336 (−0.549, −0.12) | <0.001 |
| Androsterone sulfate | 1290 (718, 2100) | 594 (333, 986) | −540 (−1250, −258) | <0.001 |
| Epiandrosterone | 0.333 (0.205, 0.497) | 0.158 (0.102, 0.251) | −0.16 (−0.288, −0.062) | <0.001 |
| Epiandrosterone sulfate | 348 (214, 496) | 129 (76.8, 187) | −199 (−312, −116) | <0.001 |
| Etiocholanolone | 0.265 (0.164, 0.421) | 0.233 (0.148, 0.396) | −0.025 (−0.103, 0.062) | 0.103 |
| Etiocholanolone sulfate | 53.5 (34.2, 84.6) | 36.6 (20, 56.2) | −15.6 (−36.2, −4.48) | <0.001 |
| Epietiocholanolone sulfate | 17 (10.4, 35.5) | 9.45 (6.06, 17.8) | −7.24 (−18.5, −2.09) | <0.001 |
| 5α-Androstane-3α,17β-diol | 0.174 (0.118, 0.245) | 0.079 (0.061, 0.11) | −0.09 (−0.145, −0.05) | <0.001 |
| Conjugated 5α-androstane-3α,17β-diol | 19.7 (14.2, 28.7) | 13.2 (8.46, 18) | −7.12 (−14.7, −1.3) | <0.001 |
| 5α-Androstane-3β,17β-diol | 0.064 (0.024, 0.141) | 0.032 (0.01, 0.075 | −0.022 (−0.081, −0.002) | <0.001 |
| Conjugated 5α-androstane-3β,17β-diol | 26.6 (16.1, 56.5) | 12.5 (7.12, 23.6) | −14.8 (−35.1, −4.69) | <0.001 |
| 5β-Androstane-3α,17β-diol | 0.011 (0.006, 0.018) | 0.007 (0.003, 0.013) | −0.004 (−0.009, 0.002) | <0.001 |
| Conjugated 5β-androstane-3α,17β-diol | 3.98 (2.5, 6.59) | 2.85 (1.78, 4.9) | −0.916 (−2.09, 0.272) | <0.001 |
| Corticoids and 11β-hydroxy-androstanes | ||||
| Cortisol | 389 (308, 473) | 632 (537, 824) | 231 (148, 386) | <0.001 |
| Cortisone | 106 (77.1, 148) | 170 (128, 252) | 52.8 (22.8, 111) | <0.001 |
| Corticosterone | 12.5 (7.38, 18.6) | 19.5 (14.6, 27.2) | 6.96 (−0.918, 14.7) | <0.001 |
| 11-Deoxycortisol | 0.74 (0.168, 1.87) | 3.49 (1.06, 7.02) | 2.57 (0.423, 5.22) | <0.001 |
| 21-Deoxycortisol | 0.081 (0.029, 0.243) | 0.117 (0.0656, 0.259) | 0.029 (−0.025, 0.098) | <0.001 |
| 3α,5α-Tetrahydrocorticosterone | 0.039 (0.0173, 0.087) | 0.028 (0.010, 0.056) | −0.009 (−0.043, 0.003) | <0.001 |
| 3α,5β-Tetrahydrocorticosterone | 0.124 (0.0409, 0.328) | 0.06 (0.022, 0.127) | −0.052 (−0.228, 0.0112) | <0.001 |
| 11β-Hydroxyandrostenedione | 48.3 (29.9, 74.9) | 60 (39.5, 102) | 8.58 (−1.77, 30) | <0.001 |
| 11β-Hydroxyandrosterone | 1.2 (0.702, 2.14) | 0.316 (0.188, 0.528) | −0.897 (−1.73, −0.432) | <0.001 |
| 11β-Hydroxyandrosterone sulfate | 12.2 (8.5, 18.3) | 7.45 (4.59, 11.6) | −4.56 (−9.27, −0.811) | <0.001 |
| 11β-Hydroxyepiandrosterone | 0.048 (0.023, 0.101) | 0.012 (0.005, 0.025) | −0.031 (−0.074, −0.009) | <0.001 |
| 11β-Hydroxyepiandrosterone sulfate | 0.783 (0.413, 1.25) | 1.81 (0.938, 3.18) | 0.974 (0.203, 1.94) | <0.001 |
| 11β-Hydroxyetiocholanolone | 0.927 (0.576, 1.39) | 0.422 (0.241, 0.673) | −0.44 (−0.799, −0.213) | <0.001 |
| 11β-Hydroxyetiocholanolone sulfate | 3.01 (1.82, 4.85) | 1.77 (1.05, 2.93) | −1.06 (−2.17, −0.174) | <0.001 |
| Questionnaire | n | Mean | Median (Quartiles) | SD | Min. | Max. | Cronbach’s Alpha |
|---|---|---|---|---|---|---|---|
| Overall DS-R T1 | 169 | 56.2 | 55 (45, 66) | 14.3 | 21 | 93 | 0.843 |
| Overall DS-R T3 | 176 | 55.1 | 56 (44.8, 66) | 15.3 | 15 | 91 | 0.874 |
| Core T1 | 169 | 29.4 | 30 (25, 35) | 6.96 | 11 | 48 | 0.676 |
| Core T3 | 176 | 28.4 | 28 (23, 34) | 7.56 | 8 | 47 | 0.763 |
| Contamination T1 | 169 | 8.53 | 8 (6, 11) | 3.62 | 2 | 19 | 0.562 |
| Contamination T3 | 176 | 8.53 | 9 (6,11) | 3.70 | 0 | 19 | 0.622 |
| Animal reminder T1 | 169 | 18.3 | 18 (14, 23) | 6.37 | 3 | 32 | 0.760 |
| Animal reminder T3 | 176 | 18.2 | 19 (13, 23) | 6.66 | 0 | 32 | 0.792 |
| Pathogen TDDS T1 | 174 | 23.3 | 24 (17, 28) | 7.35 | 4 | 40 | 0.734 |
| Pathogen TDDS T3 | 176 | 23.4 | 23 (18, 29) | 7.70 | 7 | 41 | 0.798 |
| OPLS (Predictive Component) | Multiple Regression | |||||||||
|---|---|---|---|---|---|---|---|---|---|---|
| Variable | Variable Importance | t-Statistics | Component Loading | t-Statistics | R a | Regression Coefficient | t-Statistics | |||
| DS-R, Overall score | ||||||||||
| Androstenediol | 0.988 | 2.91 | * | 0.289 | 8.96 | 0.559 | ** | 0.045 | 3.32 | ** |
| Estrone | 0.939 | 3.24 | ** | −0.062 | −2.43 | −0.114 | * | −0.042 | −2.15 | * |
| 17-Hydroxypregnanolone | 1.245 | 2.88 | * | 0.225 | 3.18 | 0.434 | ** | 0.056 | 2.72 | * |
| 5β-Pregnane-3α,17α,20α-triol | 0.789 | 2.04 | * | 0.228 | 4.58 | 0.441 | ** | 0.036 | 2.60 | * |
| 5α-Androstane-3,17-dione | 1.025 | 4.26 | ** | 0.361 | 11.28 | 0.697 | ** | 0.046 | 3.35 | ** |
| Androsterone | 1.096 | 3.30 | ** | 0.388 | 9.55 | 0.750 | ** | 0.049 | 3.13 | ** |
| Androsterone sulfate | 0.981 | 3.68 | ** | 0.310 | 11.08 | 0.595 | ** | 0.044 | 2.21 | * |
| Epiandrosterone | 1.010 | 2.81 | * | 0.389 | 7.71 | 0.752 | ** | 0.046 | 1.95 | * |
| Epiandrosterone sulfate | 1.092 | 5.81 | ** | 0.332 | 7.09 | 0.640 | ** | 0.049 | 3.21 | ** |
| 5α-Androstane-3α,17β-diol | 0.822 | 2.76 | * | 0.354 | 8.29 | 0.686 | ** | 0.037 | 4.73 | ** |
| 5α-Androstane-3β,17β-diol | 1.007 | 2.34 | * | 0.308 | 10.12 | 0.595 | ** | 0.045 | 2.08 | * |
| 5β-Androstane-3α,17β-diol | 1.082 | 2.35 | * | 0.194 | 4.04 | 0.369 | ** | 0.049 | 2.09 | * |
| 3α,5β-Tetrahydrocorticosterone | 0.825 | 2.57 | * | 0.165 | 3.05 | 0.320 | ** | 0.037 | 1.66 | |
| DS-R, Overall score, trimester 1 | 1.000 | 2.91 | 0.313 | * | ||||||
| Explained variability | 9.8% (6.8% after cross−validation) | |||||||||
| DS-R, Core disgust | ||||||||||
| Androstenediol | 0.998 | 2.34 | * | 0.305 | 9.63 | 0.610 | ** | 0.051 | 2.14 | * |
| Testosterone | 1.199 | 4.01 | ** | 0.336 | 6.80 | 0.672 | ** | 0.061 | 3.96 | ** |
| 5α-Dihydrotestosterone | 0.974 | 3.16 | ** | 0.389 | 16.63 | 0.780 | ** | 0.050 | 2.78 | * |
| Estradiol sulfate | 0.709 | 2.36 | * | −0.017 | −0.41 | −0.028 | −0.036 | −2.56 | * | |
| Conjugated pregnanolone | 0.598 | 1.94 | * | −0.166 | −3.24 | −0.327 | ** | −0.031 | −2.06 | * |
| 5α-Androstane-3,17-dione | 1.110 | 3.52 | ** | 0.359 | 5.49 | 0.719 | ** | 0.057 | 3.46 | ** |
| Androsterone | 0.923 | 8.32 | ** | 0.394 | 13.88 | 0.788 | ** | 0.047 | 7.34 | ** |
| Androsterone sulfate | 0.988 | 3.28 | ** | 0.315 | 5.40 | 0.632 | ** | 0.051 | 3.18 | ** |
| Epiandrosterone sulfate | 0.944 | 3.92 | ** | 0.334 | 8.53 | 0.670 | ** | 0.048 | 3.79 | ** |
| 5α-Androstane-3α,17β-diol | 1.139 | 4.40 | ** | 0.409 | 16.91 | 0.820 | ** | 0.058 | 4.31 | ** |
| Conjugated 5α-androstane-3β,17β-diol | 1.230 | 6.41 | ** | 0.216 | 6.00 | 0.423 | ** | 0.063 | 6.28 | ** |
| DS-R, Core disgust, trimester 1 | 1.000 | 7.40 | 0.338 | ** | ||||||
| Explained variability | 11.4% (9.7% after cross−validation) | |||||||||
| DS-R, Contamination disgust | ||||||||||
| Conjugated testosterone | 0.820 | 2.78 | * | −0.091 | −1.22 | −0.145 | −0.051 | −2.06 | * | |
| Estrone | 0.810 | 6.88 | ** | 0.230 | 6.33 | 0.373 | ** | 0.051 | 3.54 | ** |
| 17-Hydroxypregnanolone | 0.856 | 2.34 | * | 0.106 | 0.96 | 0.170 | 0.053 | 3.10 | ** | |
| Androsterone sulfate | 1.214 | 2.76 | * | 0.487 | 8.88 | 0.789 | ** | 0.076 | 2.31 | * |
| Epiandrosterone sulfate | 1.221 | 3.39 | ** | 0.513 | 9.21 | 0.832 | ** | 0.076 | 2.55 | * |
| Etiocholanolone sulfate | 0.788 | 2.31 | * | 0.393 | 11.47 | 0.640 | ** | 0.049 | 1.99 | * |
| Epietiocholanolone sulfate | 1.202 | 2.91 | * | 0.472 | 9.85 | 0.751 | ** | 0.075 | 2.60 | * |
| Conjugated 5α-androstane-3β,17β-diol | 0.953 | 2.40 | * | 0.401 | 6.13 | 0.654 | ** | 0.060 | 1.75 | |
| DS-R, Contamination disgust, trimester 1 | 1.000 | 2.25 | 0.286 | * | ||||||
| Explained variability | 8.2% (5.2% after cross−validation) | |||||||||
| DS-R, Animal reminder disgust | ||||||||||
| estosterone | 0.752 | 2.24 | * | 0.328 | 2.90 | 0.505 | * | 0.061 | 1.89 | |
| Estrone | 1.072 | 4.66 | ** | 0.450 | 10.64 | 0.723 | ** | 0.087 | 5.98 | ** |
| Estradiol | 1.243 | 6.54 | ** | 0.444 | 11.46 | 0.676 | ** | 0.100 | 4.63 | ** |
| 5β,20α-Tetrahydroprogesterone | 0.833 | 2.02 | * | 0.376 | 3.65 | 0.576 | ** | 0.067 | 2.14 | * |
| Conjugated 5β-androstane-3α,17β-diol | 0.940 | 3.08 | ** | 0.393 | 6.55 | 0.605 | ** | 0.076 | 2.89 | * |
| 5α-Androstane-3,17-dione | 1.078 | 3.89 | ** | 0.449 | 8.42 | 0.690 | ** | 0.087 | 3.03 | ** |
| DS-R, Animal reminder disgust, trimester 1 | 1.000 | 2.57 | 0.303 | * | ||||||
| Explained variability | 9.2% (7.4% after cross-validation) | |||||||||
| OPLS (Predictive Component) | Multiple Regression | |||||||||
|---|---|---|---|---|---|---|---|---|---|---|
| Variable | Variable Importance | t-Statistics | Component Loading | t-Statistics | R a | Regression Coefficient | t-Statistics | |||
| Testosterone | 0.521 | 1.94 | * | 0.137 | 1.27 | 0.195 | 0.056 | 1.71 | ||
| 5α-Dihydrotestosterone | 0.896 | 3.30 | ** | 0.331 | 6.40 | 0.468 | ** | 0.097 | 2.45 | * |
| Estradiol | 0.766 | 2.72 | * | 0.168 | 2.53 | 0.231 | * | 0.083 | 2.66 | * |
| 5β,20α-Tetrahydroprogesterone | 1.127 | 3.50 | ** | −0.326 | −2.76 | −0.462 | * | −0.122 | −3.41 | ** |
| 5β-Pregnane-3α,17α,20α-triol | 0.792 | 2.11 | * | 0.494 | 9.74 | 0.698 | ** | 0.086 | 1.98 | * |
| Conjugated 5α-androstane-3β,17β-diol | 1.565 | 5.93 | ** | 0.567 | 8.51 | 0.800 | ** | 0.169 | 6.74 | ** |
| 5α-Androstane-3,17-dione | 0.996 | 6.58 | ** | 0.504 | 10.66 | 0.712 | ** | 0.108 | 4.69 | ** |
| TDDS, Pathogen disgust, trimester 1 | 1.000 | 4.38 | 0.407 | ** | ||||||
| Explained variability | 16.6% (13.5% after cross-validation) | |||||||||
| OPLS (Predictive Component) | Multiple Regression | |||||||||
|---|---|---|---|---|---|---|---|---|---|---|
| Variable | Variable Importance | t-Statistics | Component Loading | t-Statistics | R a | Regression Coefficient | t-Statistics | |||
| DS-R, Overall score | ||||||||||
| 7α-Hydroxy-DHEA | 0.757 | 1.96 | * | 0.390 | 8.96 | 0.626 | ** | 0.091 | 2.18 | * |
| Androstenediol | 0.856 | 3.01 | ** | 0.356 | 6.13 | 0.572 | ** | 0.152 | 2.69 | * |
| 5β-Androstane-3α,17β-diol | 1.213 | 8.34 | ** | 0.401 | 12.35 | 0.641 | ** | 0.164 | 2.37 | * |
| Cortisol | 0.961 | 4.38 | ** | 0.364 | 7.18 | 0.584 | ** | 0.137 | 3.89 | ** |
| DS-R, Overall score, trimester 3 | 1.000 | 4.30 | 0.415 | ** | ||||||
| Explained variability | 11.7% (8.8% after cross-validation) | |||||||||
| DS-R, Core disgust | ||||||||||
| Pregnenolone | 0.785 | 2.65 | * | 0.202 | 4.88 | 0.419 | ** | 0.041 | 1.85 | |
| 17-Hydroxypregnenolone | 1.361 | 4.82 | ** | 0.377 | 10.59 | 0.782 | ** | 0.071 | 5.51 | ** |
| DHEA | 0.924 | 3.14 | ** | 0.386 | 9.49 | 0.801 | ** | 0.048 | 2.66 | * |
| 7α-Hydroxy-DHEA | 1.153 | 5.17 | ** | 0.407 | 16.53 | 0.844 | ** | 0.060 | 3.29 | ** |
| 7β-Hydroxy-DHEA | 1.030 | 4.15 | ** | 0.374 | 10.36 | 0.775 | ** | 0.054 | 2.56 | * |
| Androstenediol | 1.125 | 5.00 | ** | 0.275 | 8.36 | 0.569 | ** | 0.059 | 3.68 | ** |
| 5-Androstene-3 β,7α,17β-triol | 0.984 | 2.89 | * | 0.336 | 11.14 | 0.696 | ** | 0.051 | 1.97 | * |
| 5α-Dihydrotestosterone | 0.566 | 2.21 | * | 0.210 | 6.00 | 0.434 | ** | 0.029 | 2.20 | * |
| Epiandrosterone | 1.053 | 3.40 | ** | 0.345 | 6.85 | 0.716 | ** | 0.055 | 6.77 | ** |
| 5α-Androstane-3β,17β-diol | 0.792 | 2.45 | * | 0.200 | 5.18 | 0.415 | ** | 0.041 | 1.76 | |
| DS-R, Core disgust, trimester 3 | 1.000 | 3.01 | 0.342 | ** | ||||||
| Explained variability | 11.7% (8.8% after cross-validation) | |||||||||
| DS-R, Contamination disgust | ||||||||||
| Pregnenolone | 0.690 | 3.19 | ** | 0.158 | 2.33 | 0.222 | * | 0.105 | 2.24 | * |
| Testosterone | 1.048 | 4.14 | ** | −0.376 | −5.44 | −0.546 | ** | −0.151 | −4.06 | ** |
| Estradiol sulfate | 0.950 | 2.59 | * | −0.269 | −2.70 | −0.393 | * | −0.158 | −2.06 | * |
| Estriol sulfate | 0.636 | 2.53 | * | −0.167 | −1.85 | −0.255 | −0.134 | −2.69 | * | |
| Conjugated pregnanolone | 1.032 | 5.42 | ** | 0.318 | 6.55 | 0.445 | ** | 0.035 | 0.90 | |
| Conjugated epipregnanolone | 1.026 | 2.79 | * | 0.310 | 2.92 | 0.431 | * | 0.052 | 1.08 | |
| Conjugated 5α,20α-tetrahydroprogesterone | 1.140 | 5.96 | ** | 0.301 | 4.73 | 0.410 | ** | 0.095 | 3.07 | ** |
| Conjugated 5α-pregnane-3α,20α-diol | 1.131 | 3.01 | ** | 0.270 | 3.00 | 0.368 | ** | 0.103 | 1.32 | |
| Conjugated 5β,20α-tetrahydroprogesterone | 0.978 | 2.60 | * | 0.265 | 2.62 | 0.362 | * | 0.080 | 0.95 | |
| Conjugated 5β-pregnane-3β,20α-diol | 0.877 | 4.29 | ** | 0.282 | 3.94 | 0.386 | ** | 0.025 | 0.73 | |
| Maternal age | 1.357 | 3.74 | ** | 0.390 | 3.65 | 0.569 | ** | 0.237 | 3.60 | ** |
| Multipara (1: yes/0: no) | 0.925 | 3.14 | ** | 0.292 | 2.89 | 0.428 | * | 0.185 | 5.37 | ** |
| DS-R, Contamination disgust, trimester 3 | 1.000 | 13.56 | 0.570 | ** | ||||||
| Explained variability | 32.5% (23.1% after cross-validation) | |||||||||
| DS-R, Animal reminder disgust | ||||||||||
| Epiandrosterone | 1.080 | 4.83 | ** | 0.532 | 7.50 | 0.676 | ** | 0.135 | 4.59 | ** |
| 5α-Androstane-3β,17β-diol | 0.894 | 2.93 | * | 0.505 | 6.19 | 0.641 | ** | 0.112 | 2.34 | * |
| 5β-Androstane-3α,17β-diol | 0.951 | 4.60 | ** | 0.477 | 7.10 | 0.605 | ** | 0.119 | 3.54 | ** |
| Conjugated 5β-androstane-3α,17β-diol | 1.063 | 2.98 | * | 0.489 | 3.08 | 0.613 | ** | 0.133 | 2.50 | * |
| DS-R, Animal reminder disgust, trimester 3 | 1.000 | 2.09 | 0.317 | * | ||||||
| Explained variability | 10% (7.8% after cross-validation) | |||||||||
| OPLS (Predictive Component) | Multiple Regression | |||||||||
|---|---|---|---|---|---|---|---|---|---|---|
| Variable | Variable Importance | t-Statistics | Component Loading | t-Statistics | R a | Regression Coefficient | t-Statistics | |||
| DHEA | 0.737 | 3.04 | ** | 0.368 | 5.37 | 0.667 | ** | 0.056 | 2.72 | * |
| DHEA sulfate | 0.907 | 3.42 | ** | 0.431 | 14.40 | 0.783 | ** | 0.068 | 3.21 | ** |
| Androstenediol | 0.533 | 1.93 | * | 0.283 | 4.15 | 0.513 | ** | 0.040 | 2.46 | * |
| Androsterone sulfate | 1.116 | 6.79 | ** | 0.428 | 12.16 | 0.778 | ** | 0.084 | 5.63 | ** |
| Epiandrosterone | 1.383 | 5.35 | ** | 0.426 | 10.60 | 0.773 | ** | 0.104 | 5.53 | ** |
| Epiandrosterone sulfate | 1.129 | 5.90 | ** | 0.465 | 17.83 | 0.845 | ** | 0.085 | 3.84 | ** |
| 5β-Androstane-3α,17β-diol | 0.957 | 2.90 | * | 0.250 | 2.87 | 0.453 | * | 0.072 | 2.17 | * |
| TDDS, Pathogen disgust, trimester 3 | 1.000 | 6.00 | 0.361 | ** | ||||||
| Explained variability | 13% (11.1% after cross-validation) | |||||||||
| OPLS (Predictive Component) | Multiple Regression | |||||||||
|---|---|---|---|---|---|---|---|---|---|---|
| Variable | Variable Importance | t-Statistics | Component Loading | t-Statistics | R a | Regression Coefficient | t-Statistics | |||
| ΔDS-R, Overall score | ||||||||||
| Pregnenolone sulfate | 0.771 | 2.97 | * | −0.180 | −8.45 | −0.527 | ** | −0.021 | −3.14 | ** |
| 17-Hydroxypregnenolone sulfate | 0.617 | 2.77 | * | −0.162 | −5.63 | −0.470 | ** | −0.017 | −2.69 | * |
| 16α-Hydroxypregnenolone | 0.764 | 3.25 | ** | −0.194 | −6.32 | −0.569 | ** | −0.021 | −3.56 | ** |
| DHEA sulfate | 1.080 | 2.44 | * | −0.207 | −5.54 | −0.605 | ** | −0.030 | −2.85 | * |
| 7α-Hydroxy-DHEA | 0.793 | 2.73 | * | −0.237 | −5.40 | −0.693 | ** | −0.022 | −3.93 | ** |
| 7α-oxo-DHEA | 0.642 | 2.71 | * | −0.152 | −10.42 | −0.444 | ** | −0.018 | −2.29 | * |
| Androstenediol | 0.641 | 3.62 | ** | −0.185 | −6.52 | −0.541 | ** | −0.018 | −3.16 | ** |
| Androstenediol sulfate | 0.852 | 4.59 | ** | −0.122 | −3.62 | −0.355 | ** | −0.023 | −4.11 | ** |
| 20α-Dihydroprogesterone | 0.664 | 1.98 | * | −0.092 | −2.22 | −0.268 | * | −0.018 | −1.53 | |
| 17-Hydroxyprogesterone | 0.955 | 4.46 | ** | −0.146 | −4.67 | −0.428 | ** | −0.026 | −3.39 | ** |
| 16α-Hydroxyprogesterone | 1.179 | 6.49 | ** | −0.144 | −4.17 | −0.420 | ** | −0.032 | −3.91 | ** |
| 17,20α-Dihydroxy-4-pregnen-3-one | 0.919 | 3.25 | ** | −0.179 | −6.10 | −0.527 | ** | −0.025 | −2.61 | * |
| Androstenedione | 1.266 | 6.07 | ** | −0.227 | −9.73 | −0.663 | ** | −0.035 | −3.75 | ** |
| Testosterone | 1.416 | 9.51 | ** | −0.232 | −8.69 | −0.680 | ** | −0.039 | −4.74 | ** |
| 5α-Dihydrotestosterone | 1.164 | 5.27 | ** | −0.244 | −17.51 | −0.712 | ** | −0.032 | −4.52 | ** |
| Estrone | 0.718 | 3.21 | ** | −0.094 | −4.67 | −0.265 | ** | −0.020 | −4.78 | ** |
| Estradiol | 0.779 | 2.92 | * | −0.105 | −4.24 | −0.304 | ** | −0.021 | −2.62 | * |
| 17α-Hydroxyallopregnanolone | 1.242 | 3.34 | ** | −0.167 | −4.75 | −0.490 | ** | −0.034 | −2.33 | * |
| 17α-Hydroxypregnanolone | 1.305 | 3.71 | ** | −0.125 | −2.41 | −0.366 | * | −0.036 | −2.35 | * |
| 5β-Pregnane-3α,17,20α-triol | 0.970 | 3.31 | ** | −0.140 | −4.81 | −0.412 | ** | −0.027 | −2.44 | * |
| 5α-Androstane-3,17-dione | 1.437 | 4.69 | ** | −0.233 | −6.53 | −0.682 | ** | −0.039 | −3.48 | ** |
| Androsterone | 1.552 | 12.86 | ** | −0.275 | −15.44 | −0.804 | ** | −0.042 | −4.75 | ** |
| Androsterone sulfate | 0.799 | 2.57 | * | −0.134 | −4.14 | −0.391 | ** | −0.022 | −2.89 | * |
| Epiandrosterone | 1.295 | 6.09 | ** | −0.260 | −9.38 | −0.761 | ** | −0.035 | −4.87 | ** |
| Epiandrosterone sulfate | 0.808 | 1.93 | * | −0.151 | −5.84 | −0.441 | ** | −0.022 | −2.19 | * |
| 5α-Androstane-3α,17β-diol | 1.619 | 12.04 | ** | −0.260 | −14.96 | −0.762 | ** | −0.044 | −6.40 | ** |
| 5α-Androstane-3β,17β-diol | 1.184 | 5.87 | ** | −0.192 | −10.04 | −0.561 | ** | −0.032 | −7.80 | ** |
| Maternal age | 0.692 | 2.67 | * | 0.125 | 3.89 | 0.364 | ** | 0.019 | 2.08 | * |
| Male sex of the fetus | 0.790 | 2.16 | * | −0.035 | −1.26 | −0.103 | −0.022 | −2.45 | * | |
| DS-R Overall score | 0.851 | 3.18 | ** | −0.066 | −2.62 | −0.194 | * | −0.023 | −2.64 | * |
| Pregnancy length | 0.564 | 2.04 | * | 0.051 | 2.65 | 0.148 | * | 0.015 | 2.27 | * |
| ΔDHEA sulfate | 1.128 | 2.11 | * | 0.194 | 5.72 | 0.566 | ** | 0.031 | 2.27 | * |
| ΔAndrostenediol | 0.857 | 2.49 | * | 0.156 | 4.55 | 0.458 | ** | 0.023 | 2.07 | * |
| Δ5α-Dihydrotestosterone | 0.980 | 4.69 | ** | 0.149 | 5.41 | 0.437 | ** | 0.027 | 5.27 | ** |
| ΔAndrosterone | 0.754 | 3.00 | * | 0.142 | 8.92 | 0.418 | ** | 0.021 | 2.54 | * |
| Δ5α-Androstane-3β,17β-diol | 0.848 | 2.06 | * | 0.104 | 5.15 | 0.303 | ** | 0.023 | 2.39 | * |
| ΔAndrostenediol sulfate | 0.608 | 2.34 | * | 0.010 | 0.31 | 0.029 | 0.017 | 2.31 | * | |
| ΔDS-R, Overall score | 1.000 | 11.93 | 0.486 | ** | ||||||
| Explained variability | 23.7% (19.3% after cross-validation) | |||||||||
| ΔDS-R, Core disgust | ||||||||||
| 17-Hydroxyprogesterone | 0.914 | 2.49 | * | −0.257 | −2.99 | −0.519 | * | −0.044 | −1.82 | |
| 16α-Hydroxyprogesterone | 0.771 | 3.95 | ** | −0.203 | −2.47 | −0.410 | * | −0.037 | −2.45 | * |
| Androstenedione | 0.929 | 2.58 | * | −0.361 | −7.89 | −0.729 | ** | −0.045 | −2.12 | * |
| Testosterone | 0.886 | 11.65 | ** | −0.349 | −14.24 | −0.702 | ** | −0.043 | −4.23 | ** |
| 17-Hydroxypregnanolone | 1.238 | 2.91 | * | −0.220 | −2.24 | −0.446 | * | −0.060 | −2.07 | * |
| 5α-Androstane-3,17-dione | 0.793 | 4.33 | ** | −0.359 | −16.89 | −0.724 | ** | −0.038 | −2.82 | * |
| Androsterone | 0.862 | 4.60 | ** | −0.373 | −7.41 | −0.752 | ** | −0.042 | −3.36 | ** |
| Androsterone sulfate | 1.379 | 5.09 | ** | −0.288 | −3.92 | −0.573 | ** | −0.067 | −7.75 | ** |
| Epiandrosterone sulfate | 1.194 | 4.75 | ** | −0.295 | −3.48 | −0.587 | ** | −0.058 | −10.59 | ** |
| Epietiocholanolone sulfate | 0.769 | 2.34 | * | −0.227 | −2.75 | −0.450 | * | −0.037 | −2.89 | * |
| 5α-Androstane-3α,17β-diol | 1.068 | 2.74 | * | −0.342 | −6.91 | −0.689 | ** | −0.052 | −2.78 | * |
| 5α-Androstane-3β,17β-diol | 0.839 | 4.42 | ** | −0.273 | −4.22 | −0.550 | ** | −0.041 | −6.07 | ** |
| DS-R, Overall score | 1.121 | 3.30 | ** | −0.154 | −2.42 | −0.312 | * | −0.054 | −3.09 | ** |
| ΔDS-R, Core disgust | 1.000 | 2.80 | 0.352 | * | ||||||
| Explained variability | 12.4% (9.9% after cross-validation) | |||||||||
| ΔDS-R, Contamination disgust | ||||||||||
| Pregnenolone sulfate | 0.695 | 2.53 | * | −0.190 | −10.55 | −0.427 | ** | −0.031 | −2.05 | * |
| 20α-Dihydropregnenolone | 0.868 | 4.04 | ** | −0.145 | −5.26 | −0.325 | ** | −0.038 | −4.67 | ** |
| DHEA sulfate | 0.730 | 2.68 | * | −0.205 | −5.05 | −0.460 | ** | −0.032 | −3.03 | ** |
| Androstenediol | 0.872 | 4.48 | ** | −0.207 | −8.62 | −0.468 | ** | −0.039 | −5.64 | ** |
| Androstenediol sulfate | 0.912 | 3.64 | ** | −0.141 | −3.66 | −0.316 | ** | −0.040 | −2.66 | * |
| Androstenedione | 1.171 | 2.79 | * | −0.280 | −7.71 | −0.633 | ** | −0.052 | −3.31 | ** |
| Testosterone | 1.041 | 2.11 | * | −0.278 | −4.95 | −0.628 | ** | −0.046 | −2.26 | * |
| Estrone | 0.935 | 2.73 | * | −0.186 | −5.90 | −0.399 | ** | −0.041 | −2.63 | * |
| Allopregnanolone | 0.942 | 4.42 | ** | −0.172 | −4.80 | −0.389 | ** | −0.042 | −4.26 | ** |
| Allopregnanolone sulfate | 0.709 | 2.18 | * | −0.073 | −1.89 | −0.164 | −0.031 | −1.85 | ||
| Isopregnanolone sulfate | 0.785 | 1.90 | * | −0.104 | −2.76 | −0.233 | * | −0.035 | −1.59 | |
| 17α-Hydroxypregnanolone | 1.275 | 2.97 | * | −0.199 | −5.27 | −0.448 | ** | −0.056 | −3.48 | ** |
| 5α,20α-Tetrahydroprogesterone | 0.914 | 4.62 | ** | −0.164 | −3.81 | −0.372 | ** | −0.040 | −3.60 | ** |
| 5α-Pregnane-3α,20α-diol | 0.632 | 4.27 | ** | −0.150 | −4.82 | −0.338 | ** | −0.028 | −5.52 | ** |
| 5β-Pregnane-3α,20α-diol | 0.733 | 2.60 | * | −0.150 | −4.56 | −0.340 | ** | −0.032 | −2.89 | * |
| 5β-Pregnane-3β,20α-diol | 0.900 | 4.13 | ** | −0.130 | −3.59 | −0.279 | ** | −0.040 | −4.20 | ** |
| 5β-Pregnane-3α,17α,20α-triol | 0.967 | 2.73 | * | −0.203 | −5.01 | −0.457 | ** | −0.043 | −2.90 | * |
| 5α-Androstane-3,17-dione | 1.274 | 5.03 | ** | −0.318 | −13.20 | −0.720 | ** | −0.056 | −3.40 | ** |
| Androsterone | 1.222 | 5.01 | ** | −0.319 | −9.19 | −0.720 | ** | −0.054 | −5.36 | ** |
| Androsterone sulfate | 1.384 | 6.74 | ** | −0.246 | −6.37 | −0.553 | ** | −0.061 | −5.98 | ** |
| Epiandrosterone | 0.761 | 3.80 | ** | −0.269 | −17.69 | −0.609 | ** | −0.034 | −2.80 | * |
| Epiandrosterone sulfate | 1.181 | 4.83 | ** | −0.246 | −8.24 | −0.551 | ** | −0.052 | −3.88 | ** |
| Etiocholanolone | 0.818 | 2.29 | * | −0.131 | −2.69 | −0.296 | * | −0.036 | −2.56 | * |
| Conjugated 5α-androstane-3α,17β-diol | 0.870 | 3.59 | ** | −0.151 | −3.41 | −0.336 | ** | −0.039 | −3.15 | ** |
| Conjugated 5α-androstane-3β,17β-diol | 0.874 | 2.10 | * | −0.136 | −3.15 | −0.301 | ** | −0.039 | −1.84 | |
| Cortisone | 1.256 | 3.77 | ** | −0.202 | −4.02 | −0.456 | ** | −0.056 | −2.65 | * |
| Maternal age | 0.965 | 3.43 | ** | 0.153 | 5.17 | 0.344 | ** | 0.043 | 3.14 | ** |
| Pregnancy length | 1.142 | 3.74 | ** | −0.077 | −1.15 | −0.172 | −0.051 | −3.04 | ** | |
| ΔAndrostenediol sulfate | 1.477 | 18.03 | ** | −0.133 | −6.36 | −0.298 | ** | −0.065 | −7.19 | ** |
| ΔPregnancy length | 0.982 | 3.15 | ** | 0.081 | 2.37 | 0.182 | * | 0.043 | 2.69 | * |
| ΔDS-R, Contamination disgust | 1.000 | 11.03 | 0.545 | ** | ||||||
| Explained variability | 29.7% (24.9% after cross-validation) | |||||||||
| ΔDS-R, Animal reminder disgust | ||||||||||
| 7-oxo-DHEA | 0.837 | 2.81 | * | −0.165 | −4.43 | −0.423 | ** | −0.029 | −3.41 | ** |
| 20α-Dihydroprogesterone | 1.210 | 3.93 | ** | −0.238 | −4.74 | −0.608 | ** | −0.042 | −4.37 | ** |
| 16α-Hydroxyprogesterone | 1.150 | 5.03 | ** | −0.248 | −6.41 | −0.634 | ** | −0.040 | −5.40 | ** |
| 17α,20α-Dihydroxy-4-pregnene-3-one | 0.851 | 2.17 | * | −0.239 | −6.31 | −0.612 | ** | −0.030 | −2.95 | * |
| Testosterone | 0.990 | 3.34 | ** | −0.271 | −13.71 | −0.692 | ** | −0.035 | −3.99 | ** |
| 5α-Dihydrotestosterone | 0.979 | 4.33 | ** | −0.258 | −5.93 | −0.660 | ** | −0.034 | −3.38 | ** |
| Estradiol | 0.844 | 2.62 | * | −0.164 | −3.95 | −0.414 | ** | −0.030 | −2.50 | * |
| 17α-Hydroxyallopregnanolone | 0.898 | 4.74 | ** | −0.263 | −11.02 | −0.674 | ** | −0.031 | −3.03 | ** |
| 17α-Hydroxypregnanolone | 0.981 | 3.14 | ** | −0.210 | −5.96 | −0.539 | ** | −0.034 | −2.82 | * |
| 3α,5α-Tetrahydroprogsterone | 1.042 | 2.61 | * | −0.250 | −8.76 | −0.639 | ** | −0.036 | −2.59 | * |
| 5α-Pregnane-3α,20α-diol | 0.840 | 2.34 | * | −0.248 | −5.20 | −0.635 | ** | −0.029 | −2.52 | * |
| 3α,5β-Tetrahydroprogsterone | 1.446 | 3.89 | ** | −0.204 | −7.26 | −0.521 | ** | −0.051 | −2.67 | * |
| 5β-Pregnane-3α,20α-diol | 1.146 | 3.78 | ** | −0.204 | −12.24 | −0.521 | ** | −0.040 | −2.69 | * |
| 5β-Pregnane-3α,17α,20α-triol | 0.774 | 4.00 | ** | −0.212 | −8.23 | −0.545 | ** | −0.027 | −3.78 | ** |
| Androsterone | 0.972 | 11.39 | ** | −0.273 | −7.07 | −0.699 | ** | −0.034 | −6.20 | ** |
| Epiandrosterone | 1.023 | 3.51 | ** | −0.215 | −4.07 | −0.550 | ** | −0.036 | −2.94 | * |
| 5α-Androstane-3α,17β-diol | 1.231 | 3.52 | ** | −0.262 | −6.79 | −0.670 | ** | −0.043 | −2.91 | * |
| 5α-Androstane-3β,17β-diol | 1.148 | 1.93 | * | −0.217 | −3.69 | −0.554 | ** | −0.040 | −1.79 | |
| Parity | 0.908 | 3.68 | ** | 0.081 | 1.60 | 0.206 | 0.032 | 2.84 | * | |
| DS-R, Animal reminder disgust | 0.944 | 3.23 | ** | −0.080 | −2.67 | −0.205 | * | −0.033 | −2.36 | * |
| Pregnancy length | 0.716 | 2.65 | * | 0.114 | 3.14 | 0.292 | ** | 0.025 | 3.18 | ** |
| Δ5α-Dihydrotestosterone | 0.714 | 3.04 | ** | 0.204 | 5.83 | 0.523 | ** | 0.025 | 2.76 | * |
| Δ5α-Androstane-3α,17β-diol | 1.013 | 3.00 | ** | 0.186 | 9.32 | 0.477 | ** | 0.035 | 2.32 | * |
| ΔPregnancy length | 0.993 | 2.67 | * | 0.102 | 2.13 | 0.261 | * | 0.035 | 3.09 | ** |
| ΔDS-R, Animal reminder disgust | 1.000 | 20.08 | 0.438 | ** | ||||||
| Explained variability | 19.2% (15.3% after cross-validation) | |||||||||
| OPLS, Predictive Component | Multiple Regression | |||||||||
|---|---|---|---|---|---|---|---|---|---|---|
| Variable | Variable Importance | t-Statistics | Component Loading | t-Statistics | R a | Regression Coefficient | t-Statistics | |||
| Pregnenolone | 0.642 | 2.83 | * | 0.183 | 1.98 | 0.259 | * | 0.075 | 1.98 | * |
| TDDS_PATHOGEN | 1.001 | 4.05 | ** | −0.333 | −4.28 | −0.474 | ** | −0.118 | −4.83 | ** |
| ΔEstrone sulfate | 1.140 | 3.91 | ** | 0.517 | 10.61 | 0.740 | ** | 0.134 | 2.92 | * |
| ΔEstradiol sulfate | 1.061 | 3.80 | ** | 0.566 | 16.62 | 0.804 | ** | 0.125 | 2.67 | * |
| ΔEstriol sulfate | 1.077 | 9.86 | ** | 0.553 | 14.69 | 0.804 | ** | 0.127 | 6.58 | ** |
| ΔTDDS, Pathogen disgust | 1.000 | 2.72 | 0.375 | * | ||||||
| Explained variability | 14% (11.2% after cross-validation) | |||||||||
Disclaimer/Publisher’s Note: The statements, opinions and data contained in all publications are solely those of the individual author(s) and contributor(s) and not of MDPI and/or the editor(s). MDPI and/or the editor(s) disclaim responsibility for any injury to people or property resulting from any ideas, methods, instructions or products referred to in the content. |
© 2024 by the authors. Licensee MDPI, Basel, Switzerland. This article is an open access article distributed under the terms and conditions of the Creative Commons Attribution (CC BY) license (https://creativecommons.org/licenses/by/4.0/).
Share and Cite
Kaňková, Š.; Dlouhá, D.; Ullmann, J.; Velíková, M.; Včelák, J.; Hill, M. Association between Disgust Sensitivity during Pregnancy and Endogenous Steroids: A Longitudinal Study. Int. J. Mol. Sci. 2024, 25, 6857. https://doi.org/10.3390/ijms25136857
Kaňková Š, Dlouhá D, Ullmann J, Velíková M, Včelák J, Hill M. Association between Disgust Sensitivity during Pregnancy and Endogenous Steroids: A Longitudinal Study. International Journal of Molecular Sciences. 2024; 25(13):6857. https://doi.org/10.3390/ijms25136857
Chicago/Turabian StyleKaňková, Šárka, Daniela Dlouhá, Jana Ullmann, Marta Velíková, Josef Včelák, and Martin Hill. 2024. "Association between Disgust Sensitivity during Pregnancy and Endogenous Steroids: A Longitudinal Study" International Journal of Molecular Sciences 25, no. 13: 6857. https://doi.org/10.3390/ijms25136857
APA StyleKaňková, Š., Dlouhá, D., Ullmann, J., Velíková, M., Včelák, J., & Hill, M. (2024). Association between Disgust Sensitivity during Pregnancy and Endogenous Steroids: A Longitudinal Study. International Journal of Molecular Sciences, 25(13), 6857. https://doi.org/10.3390/ijms25136857

