Blood Neurofilament Light Chain and Glial Fibrillary Acidic Protein as Promising Screening Biomarkers for Brain Metastases in Patients with Lung Cancer
Abstract
1. Introduction
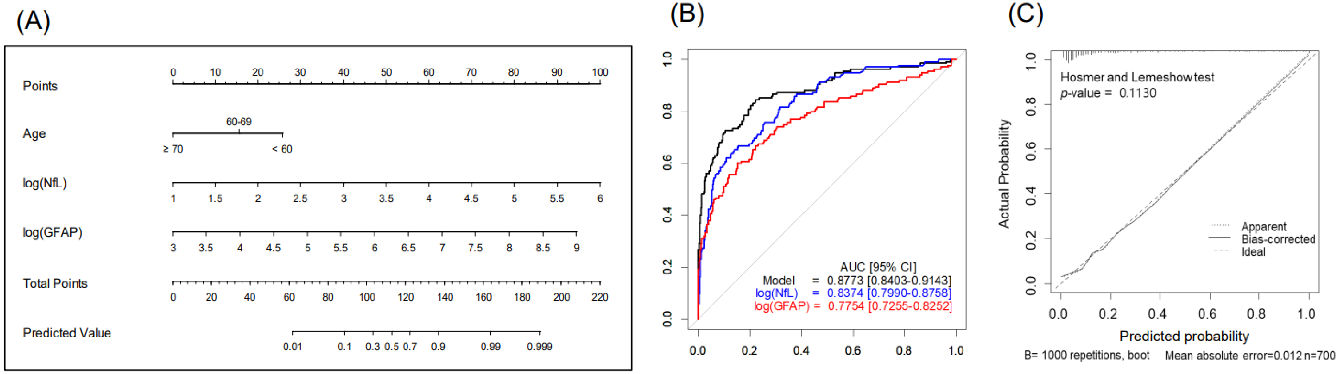
2. Results
3. Discussion
4. Materials and Methods
4.1. Patients and Study Design
4.1.1. Cohort 1: Retrospective Cross-Sectional Analysis
4.1.2. Cohort 2: Prospective Observational Analysis
4.2. Blood NfL and GFAP Level Assessment
4.3. Statistical Analysis
Supplementary Materials
Author Contributions
Funding
Institutional Review Board Statement
Informed Consent Statement
Data Availability Statement
Conflicts of Interest
References
- Naresh, G.; Malik, P.S.; Khurana, S.; Pushpam, D.; Sharma, V.; Yadav, M.; Jain, D.; Pathy, S. Assessment of brain metastasis at diagnosis in non-small-cell lung cancer: A prospective observational study from North India. JCO Glob. Oncol. 2021, 7, 593–601. [Google Scholar] [CrossRef] [PubMed]
- Moro-Sibilot, D.; Smit, E.; de Castro Carpeno, J.; Lesniewski-Kmak, K.; Aerts, J.G.; Villatoro, R.; Kraaij, K.; Nacerddine, K.; Dyachkova, Y.; Smith, K.T.; et al. Non-small cell lung cancer patients with brain metastases treated with first-line platinum-doublet chemotherapy: Analysis from the European FRAME study. Lung Cancer 2015, 90, 427–432. [Google Scholar] [CrossRef] [PubMed]
- Hou, R.; Li, H.; Cao, J.; Song, X.; Zhang, X.; Wang, W. Validation of a novel prognostic index: BMS-Score for patients with brain metastases of small cell lung cancer. Ann. Palliat. Med. 2021, 10, 29–36. [Google Scholar] [CrossRef] [PubMed]
- Sperduto, P.W.; Kased, N.; Roberge, D.; Xu, Z.; Shanley, R.; Luo, X.; Sneed, P.K.; Chao, S.T.; Weil, R.J.; Suh, J.; et al. Summary report on the graded prognostic assessment: An accurate and facile diagnosis-specific tool to estimate survival for patients with brain metastases. J. Clin. Oncol. 2012, 30, 419–425. [Google Scholar] [CrossRef] [PubMed]
- Magnuson, W.J.; Lester-Coll, N.H.; Wu, A.J.; Yang, T.J.; Lockney, N.A.; Gerber, N.K.; Beal, K.; Amini, A.; Patil, T.; Kavanagh, B.D.; et al. Management of brain metastases in tyrosine kinase inhibitor-naive epidermal growth factor receptor-mutant non-small-cell lung cancer: A retrospective multi-institutional analysis. J. Clin. Oncol. 2017, 35, 1070–1077. [Google Scholar] [CrossRef] [PubMed]
- Ahmed, K.A.; Kim, S.; Arrington, J.; Naghavi, A.O.; Dilling, T.J.; Creelan, B.C.; Antonia, S.J.; Caudell, J.J.; Harrison, L.B.; Sahebjam, S.; et al. Outcomes targeting the PD-1/PD-L1 axis in conjunction with stereotactic radiation for patients with non-small cell lung cancer brain metastases. J. Neurooncol. 2017, 133, 331–338. [Google Scholar] [CrossRef] [PubMed]
- Silvestri, G.A.; Gonzalez, A.V.; Jantz, M.A.; Margolis, M.L.; Gould, M.K.; Tanoue, L.T.; Harris, L.J.; Detterbeck, F.C. Methods for staging non-small cell lung cancer: Diagnosis and management of lung cancer, 3rd ed: American College of Chest Physicians evidence-based clinical practice guidelines. Chest 2013, 143, e211S–e250S. [Google Scholar] [CrossRef] [PubMed]
- Ettinger, D.S.; Wood, D.E.; Aisner, D.L.; Akerly, W.; Bauman, J.R.; Bharat, A.; Bruno, D.S.; Chang, J.Y.; Chirieac, L.R.; D’Amico, T.A.; et al. Non-Small Cell Lung Cancer, Version 3.2022, NCCN Clinical Practice Guidelines in Oncology. J. Natl. Compr. Cancer Netw. 2022, 20, 497–530. [Google Scholar] [CrossRef]
- Brockelsby, C.; Maconachie, R.; Navani, N.; Prendecki, R.; Randles, V.; King, J.; Dildar, B.; Lee, X.; Nagarajan, T.; Rice, M.; et al. Brain imaging in lung cancer staging: A real-world, multi-centre study of prevalence of brain metastases, impact on treatment and re-modeling of the NICE health economic analysis. Lung Cancer 2023, 178, 145–150. [Google Scholar] [CrossRef]
- Gaetani, L.; Blennow, K.; Calabresi, P.; Di Filippo, M.; Parnetti, L.; Zetterberg, H. Neurofilament light chain as a biomarker in neurological disorders. J. Neurol. Neurosurg. Psychiatry 2019, 90, 870–881. [Google Scholar] [CrossRef]
- Abdelhak, A.; Foschi, M.; Abu-Rumeileh, S.; Yue, J.K.; D’Anna, L.; Huss, A.; Oeckl, P.; Ludolph, A.C.; Kuhle, J.; Petzold, A.; et al. Blood GFAP as an emerging biomarker in brain and spinal cord disorders. Nat. Rev. Neurol. 2022, 18, 158–172. [Google Scholar] [CrossRef] [PubMed]
- Hepner, A.; Porter, J.; Hare, F.; Nasir, S.S.; Zetterberg, H.; Blennow, K.; Martin, M.G. Serum neurofilament light, glial fibrillary acidic protein and tau are possible serum biomarkers for activity of brain metastases and gliomas. World J. Oncol. 2019, 10, 169–175. [Google Scholar] [CrossRef] [PubMed]
- Lin, X.; Lu, T.; Deng, H.; Liu, C.; Yang, Y.; Chen, T.; Qin, Y.; Xie, X.; Xie, Z.; Liu, M.; et al. Serum neurofilament light chain or glial fibrillary acidic protein in the diagnosis and prognosis of brain metastases. J. Neurol. 2022, 269, 815–823. [Google Scholar] [CrossRef] [PubMed]
- Darlix, A.; Hirtz, C.; Mollevi, C.; Ginestet, N.; Tiers, L.; Jacot, W.; Lehmann, S. Serum glial fibrillary acidic protein is a predictor of brain metastases in patients with metastatic breast cancer. Int. J. Cancer 2021, 149, 1605–1618. [Google Scholar] [CrossRef] [PubMed]
- Kim, S.H.; Gwak, H.S.; Lee, Y.; Park, N.Y.; Han, M.; Kim, Y.; Kim, S.Y.; Kim, H.J. Evaluation of serum neurofilament light chain and glial fibrillary acidic protein as screening and monitoring biomarkers for brain metastases. Cancers 2021, 13, 2227. [Google Scholar] [CrossRef] [PubMed]
- Goncalves, P.H.; Peterson, S.L.; Vigneau, F.D.; Shore, R.D.; Quarshie, W.O.; Islam, K.; Schwartz, A.G.; Wozniak, A.J.; Gadgeel, S.M. Risk of brain metastases in patients with nonmetastatic lung cancer: Analysis of the Metropolitan Detroit Surveillance, Epidemiology, and End Results (SEER) data. Cancer 2016, 122, 1921–1927. [Google Scholar] [CrossRef] [PubMed]
- Wasilewski, D.; Priego, N.; Fustero-Torre, C.; Valiente, M. Reactive astrocytes in brain metastasis. Front. Oncol. 2017, 7, 298. [Google Scholar] [CrossRef] [PubMed]
- Priego, N.; Zhu, L.; Monteiro, C.; Mulders, M.; Wasilewski, D.; Bindeman, W.; Doglio, L.; Martinez, L.; Martinez-Saez, E.; Ramon, Y.C.S.; et al. STAT3 labels a subpopulation of reactive astrocytes required for brain metastasis. Nat. Med. 2018, 24, 1024–1035. [Google Scholar] [CrossRef] [PubMed]
- Catalano, M.; Limatola, C.; Trettel, F. Non-neoplastic astrocytes: Key players for brain tumor progression. Front. Cell. Neurosci. 2024, 17, 1352130. [Google Scholar] [CrossRef]
- Amalia, L. Glial Fibrillary Acidic Protein (GFAP): Neuroinflammation biomarker in acute ischemic stroke. J. Inflamm. Res. 2021, 14, 7501–7506. [Google Scholar] [CrossRef]
- Choi, H.; Puvenna, V.; Brennan, C.; Mahmoud, S.; Wang, X.F.; Phillips, M.; Janigro, D.; Mazzone, P. S100B and S100B autoantibody as biomarkers for early detection of brain metastases in lung cancer. Transl. Lung Cancer Res. 2016, 5, 413–419. [Google Scholar] [CrossRef] [PubMed]
- Pang, X.; Min, J.; Liu, L.; Liu, Y.; Ma, N.; Zhang, H. S100B protein as a possible participant in the brain metastasis of NSCLC. Med. Oncol. 2012, 29, 2626–2632. [Google Scholar] [CrossRef] [PubMed]
- Kondrup, M.; Nygaard, A.D.; Madsen, J.S.; Bechmann, T. S100B as a biomarker for brain metastases in patients with non-small cell lung cancer. Biomed. Rep. 2020, 12, 204–208. [Google Scholar] [CrossRef] [PubMed]
- Wei, S.; Liu, W.; Xu, M.; Qin, H.; Liu, C.; Zhang, R.; Zhou, S.; Li, E.; Liu, Z.; Wang, Q. Cathepsin F and Fibulin-1 as novel diagnostic biomarkers for brain metastasis of non-small cell lung cancer. Br. J. Cancer 2022, 126, 1795–1805. [Google Scholar] [CrossRef] [PubMed]
- Deng, Q.; Wang, F.; Song, L.; Chen, L.; Huang, Y.; Guo, Z.; Yang, H. Proteomics-based Model for Predicting the Risk of Brain Metastasis in Patients with Resected Lung Adenocarcinoma carrying the EGFR Mutation. Int. J. Med. Sci. 2024, 21, 765–774. [Google Scholar] [CrossRef] [PubMed]
- Fu, F.; Zhang, Y.; Go, Z.; Zhao, Y.; Wen, Z.; Han, H.; Li, Y.; Chen, H. Development and validation of a five-gene model to predict postoperative brain metastasis in operable lung adenocarcinoma. Int. J. Cancer 2020, 147, 584–592. [Google Scholar] [CrossRef] [PubMed]
- Wen, J.; Yu, J.-Z.; Liu, C.; Ould Ismail, A.A.; Ma, W. Exploring the molecular tumor microenvironment and translational biomarkers in brain metastases of non-small-cell lung cancer. Int. J. Mol. Sci. 2024, 25, 2044. [Google Scholar] [CrossRef] [PubMed]
- Ashton, N.J.; Janelidze, S.; Al Khleifat, A.; Leuzy, A.; van der Ende, E.L.; Karikari, T.K.; Benedet, A.L.; Pascoal, T.A.; Lleo, A.; Parnetti, L.; et al. A multicentre validation study of the diagnostic value of plasma neurofilament light. Nat. Commun. 2021, 12, 3400. [Google Scholar] [CrossRef] [PubMed]
- Vinod, S.K. Should we screen for brain metastases in non-small cell lung cancer? J. Med. Imaging Radiat. Oncol. 2018, 62, 380–382. [Google Scholar] [CrossRef]
- Diaz, M.E.; Debowski, M.; Hukins, C.; Fielding, D.; Fong, K.M.; Bettington, C.S. Non-small cell lung cancer brain metastasis screening in the era of positron emission tomography-CT staging: Current practice and outcomes. J. Med. Imaging Radiat. Oncol. 2018, 62, 383–388. [Google Scholar] [CrossRef]
- Ceresoli, G.L.; Reni, M.; Chiesa, G.; Carretta, A.; Schipani, S.; Passoni, P.; Bolognesi, A.; Zannini, P.; Villa, E. Brain metastases in locally advanced nonsmall cell lung carcinoma after multimodality treatment: Risk factors analysis. Cancer 2002, 95, 605–612. [Google Scholar] [CrossRef] [PubMed]
- Robnett, T.J.; Machtay, M.; Stevenson, J.P.; Algazy, K.M.; Hahn, S.M. Factors affecting the risk of brain metastases after definitive chemoradiation for locally advanced non-small-cell lung carcinoma. J. Clin. Oncol. 2001, 19, 1344–1349. [Google Scholar] [CrossRef] [PubMed]
- Wang, S.Y.; Ye, X.; Ou, W.; Lin, Y.B.; Zhang, B.B.; Yang, H. Risk of cerebral metastases for postoperative locally advanced non-small-cell lung cancer. Lung Cancer 2009, 64, 238–243. [Google Scholar] [CrossRef] [PubMed]



| Parameters | Values | |
|---|---|---|
| Age | ||
| Mean ± SD | 63.7 ± 9.3 | |
| Sex | ||
| Male | 405 (57.9%) | |
| Female | 295 (42.1%) | |
| BMI | ||
| Mean ± SD | 23.9 ± 3.4 | |
| Smoking | ||
| Current smoking | 148 (21.1%) | |
| Previous smoking | 196 (28%) | |
| Never smoked | 356 (50.9%) | |
| HTN | ||
| HTN | 130 (18.6%) | |
| Non-HTN | 570 (81.4%) | |
| DM | ||
| DM | 113 (16.1%) | |
| Non-DM | 587 (83.9%) | |
| Histology | ||
| ADC | 626 (89.4%) | |
| SCC | 74 (10.6%) | |
| Staging prior to brain MRI evaluation | ||
| 1 | 246 (35.1%) | |
| 2 | 75 (10.7%) | |
| 3 | 93 (13.3%) | |
| 4 | 286 (40.9%) | |
| Brain metastasis | ||
| Yes | 135 (19.3%) | |
| No | 565 (80.7%) | |
| Brain metastasis Symptoms (N = 135) | ||
| No = 0 | 110 (81.5%) | |
| Yes = 1 | 25 (18.5%) | |
| sNfL | ||
| Median (Min–Max) | 20.4 (2.9–369) | |
| sGFAP | ||
| Median (Min–Max) | 151.4 (27.6–6738) | |
| Univariable | Multivariable | ||||
|---|---|---|---|---|---|
| OR (95% CI) | p-Value | OR (95% CI) | p-Value | ||
| Age | <60 years | 1 (ref) | (0.0030) | 1 (ref) | (<0.0001) |
| 60–69 years | 0.590 (0.381–0.914) | 0.0182 | 0.402 (0.224–0.722) | 0.0023 | |
| ≥70 years | 0.450 (0.277–0.730) | 0.0012 | 0.098 (0.049–0.198) | <0.0001 | |
| Sex | |||||
| Male | 1 (ref) | ||||
| Female | 0.739 (0.501–1.089) | 0.1265 | |||
| BMI | |||||
| ≤25 kg/m2 | 1 (ref) | ||||
| >25 kg/m2 | 0.490 (0.316–0.762) | 0.0015 | |||
| Smoking | |||||
| Current smoking | 1 (ref) | (0.5584) | |||
| Previous smoking | 0.758 (0.445–1.290) | 0.3067 | |||
| Never smoked | 0.808 (0.505–1.292) | 0.3732 | |||
| HTN | |||||
| Non-HTN | 1 (ref) | ||||
| HTN | 0.448 (0.248–0.808) | 0.0076 | |||
| DM | |||||
| Non-DM | 1 (ref) | ||||
| DM | 0.761 (0.442–1.310) | 0.3245 | |||
| Histology | |||||
| ADC | 1 (ref) | ||||
| SCC | 2.070 (1.215–3.527) | 0.0075 | |||
| log(sNfL) | |||||
| 6.771 (4.823–9.506) | <0.0001 | 6.111 (4.059–9.199) | <0.0001 | ||
| log(sGFAP) | |||||
| 7.790 (5.069–11.972) | <0.0001 | 4.164 (2.472–7.012) | <0.0001 | ||
| Age | Points | log(GFAP) | Points | Total Points | Predicted Value |
| <60 | 20 | 1 | 0 | ||
| 60–69 | 12 | 1.2 | 2 | ||
| ≥70 | 0 | 1.4 | 5 | ||
| log(NfL) | Points | 1.6 | 8 | 74 | 0.01 |
| 1 | 0 | 1.8 | 10 | 89 | 0.05 |
| 1.2 | 3 | 2 | 13 | 95 | 0.1 |
| 1.4 | 6 | 2.2 | 15 | 99 | 0.15 |
| 1.6 | 10 | 2.4 | 18 | 102 | 0.2 |
| 1.8 | 13 | 2.6 | 20 | 105 | 0.25 |
| 2 | 16 | 2.8 | 23 | 107 | 0.3 |
| 2.2 | 19 | 3 | 25 | 109 | 0.35 |
| 2.4 | 22 | 3.2 | 28 | 111 | 0.4 |
| 2.6 | 25 | 3.4 | 30 | 113 | 0.45 |
| 2.8 | 29 | 3.6 | 32 | 114 | 0.5 |
| 3 | 32 | 3.8 | 35 | 116 | 0.55 |
| 3.2 | 35 | 4 | 38 | 118 | 0.6 |
| 3.4 | 38 | 4.2 | 40 | 120 | 0.65 |
| 3.6 | 41 | 4.4 | 43 | 122 | 0.7 |
| 3.8 | 44 | 4.6 | 45 | 124 | 0.75 |
| 4 | 48 | 4.8 | 48 | 127 | 0.8 |
| 4.2 | 51 | 5 | 50 | 130 | 0.85 |
| 4.4 | 54 | 5.2 | 53 | 134 | 0.9 |
| 4.6 | 57 | 5.4 | 55 | 140 | 0.95 |
| 4.8 | 60 | 5.6 | 58 | 155 | 0.99 |
| 5 | 63 | 5.8 | 60 | 175 | 0.999 |
| 5.2 | 67 | 6 | 62 | ||
| 5.4 | 70 | 6.2 | 65 | ||
| 5.6 | 73 | 6.4 | 68 | ||
| 5.8 | 76 | 6.6 | 70 | ||
| 6 | 79 | 6.8 | 73 | ||
| 7 | 75 | ||||
| 7.2 | 78 | ||||
| 7.4 | 80 | ||||
| 7.6 | 83 | ||||
| 7.8 | 85 | ||||
| 8 | 88 | ||||
| 8.2 | 90 | ||||
| 8.4 | 93 | ||||
| 8.6 | 95 | ||||
| 8.8 | 98 | ||||
| 9 | 100 | ||||
Disclaimer/Publisher’s Note: The statements, opinions and data contained in all publications are solely those of the individual author(s) and contributor(s) and not of MDPI and/or the editor(s). MDPI and/or the editor(s) disclaim responsibility for any injury to people or property resulting from any ideas, methods, instructions or products referred to in the content. |
© 2024 by the authors. Licensee MDPI, Basel, Switzerland. This article is an open access article distributed under the terms and conditions of the Creative Commons Attribution (CC BY) license (https://creativecommons.org/licenses/by/4.0/).
Share and Cite
Kim, S.-H.; Ahn, B.-C.; Lee, D.-E.; Kim, K.H.; Hyun, J.-W.; Kim, M.J.; Park, N.Y.; Kim, H.J.; Lee, Y. Blood Neurofilament Light Chain and Glial Fibrillary Acidic Protein as Promising Screening Biomarkers for Brain Metastases in Patients with Lung Cancer. Int. J. Mol. Sci. 2024, 25, 6397. https://doi.org/10.3390/ijms25126397
Kim S-H, Ahn B-C, Lee D-E, Kim KH, Hyun J-W, Kim MJ, Park NY, Kim HJ, Lee Y. Blood Neurofilament Light Chain and Glial Fibrillary Acidic Protein as Promising Screening Biomarkers for Brain Metastases in Patients with Lung Cancer. International Journal of Molecular Sciences. 2024; 25(12):6397. https://doi.org/10.3390/ijms25126397
Chicago/Turabian StyleKim, Su-Hyun, Beung-Chul Ahn, Dong-Eun Lee, Ki Hoon Kim, Jae-Won Hyun, Min Jeong Kim, Na Young Park, Ho Jin Kim, and Youngjoo Lee. 2024. "Blood Neurofilament Light Chain and Glial Fibrillary Acidic Protein as Promising Screening Biomarkers for Brain Metastases in Patients with Lung Cancer" International Journal of Molecular Sciences 25, no. 12: 6397. https://doi.org/10.3390/ijms25126397
APA StyleKim, S.-H., Ahn, B.-C., Lee, D.-E., Kim, K. H., Hyun, J.-W., Kim, M. J., Park, N. Y., Kim, H. J., & Lee, Y. (2024). Blood Neurofilament Light Chain and Glial Fibrillary Acidic Protein as Promising Screening Biomarkers for Brain Metastases in Patients with Lung Cancer. International Journal of Molecular Sciences, 25(12), 6397. https://doi.org/10.3390/ijms25126397

