The Puzzle of Aspirin and Iron Deficiency: The Vital Missing Link of the Iron-Chelating Metabolites
Abstract
1. Introduction
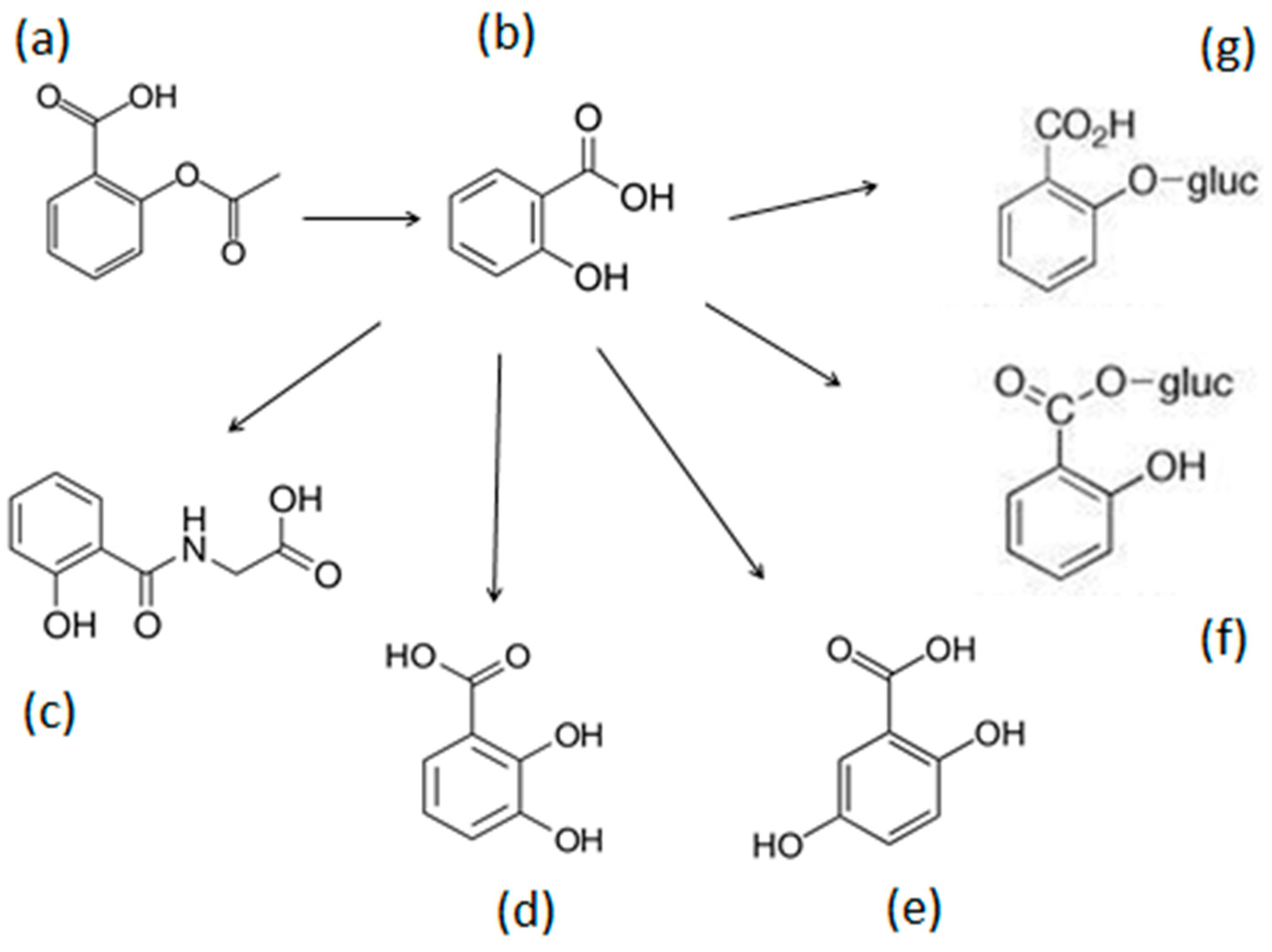
2. Metabolites of Aspirin with Iron Chelating Properties
3. In Vitro, In Vivo and Clinical Iron Studies of Aspirin and the Aspirin Metabolites
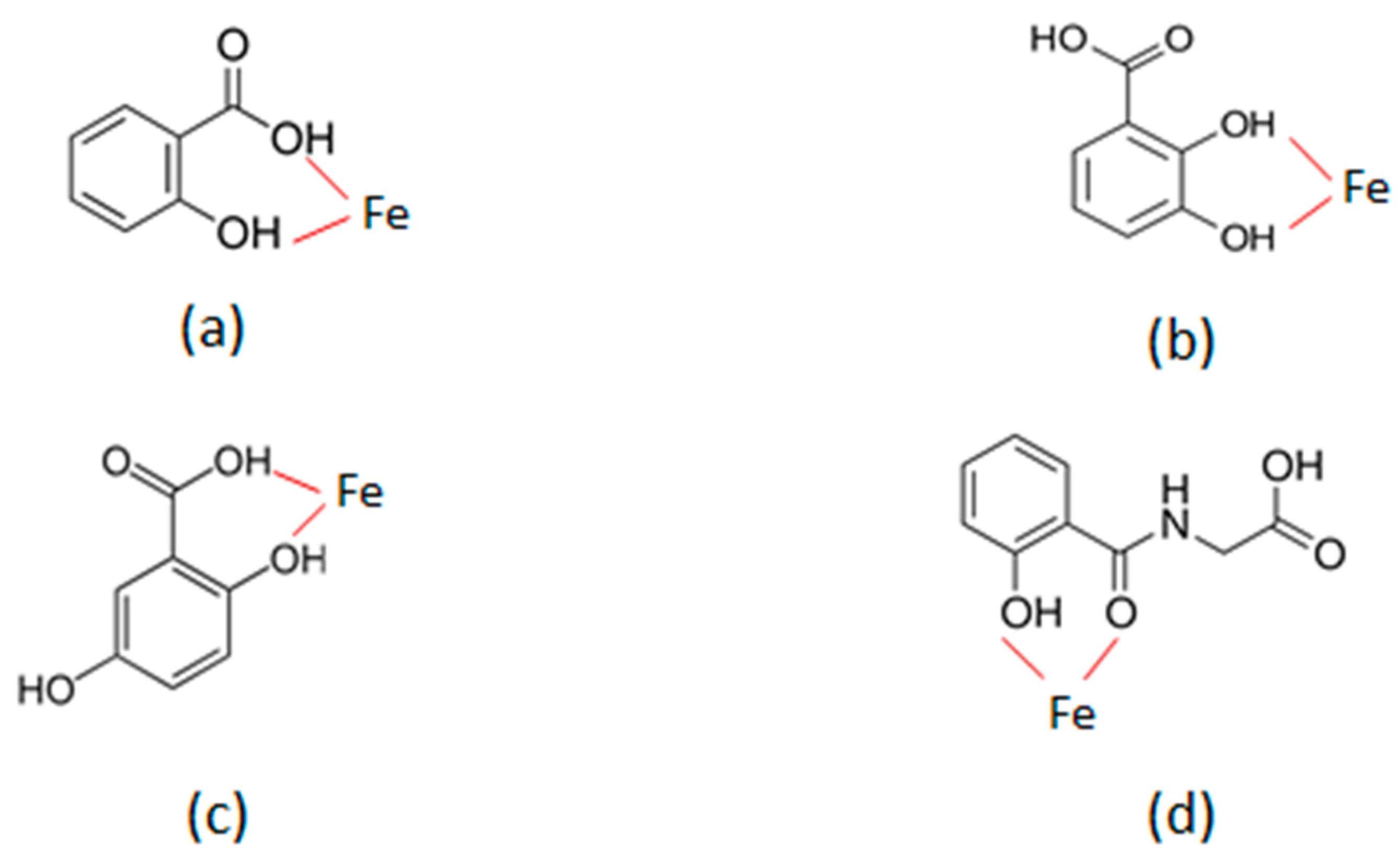
3.1. Interactions of 2,3-Dihydroxybenzoic Acid with Iron
3.2. Interactions of Salicylic Acid with Iron
3.3. Interactions of 2,5-Dihydroxybenzoic Acid (Gentisic Acid) with Iron
3.4. Salicyluric Acid as the Major Metabolite of Aspirin in Urine and Interactions with Iron
3.5. Interactions of Aspirin (Acetylsalicylic Acid) and Its Glucuronide Metabolites with Iron
4. Factors Causing Iron Deficiency in Otherwise Normal Individuals Treated Long-Term with Aspirin
5. Future Studies and Limitations on the Role of Aspirin in Iron Deficiency and Other Clinical Conditions
6. Conclusions
Funding
Acknowledgments
Conflicts of Interest
Abbreviations
| ACM | chelating metabolite |
| ADMET | absorption, distribution, metabolic, elimination, toxicity |
| Aspirin | acetylsalicylic acid |
| COX | cyclo-oxygenase |
| 2,3-DHB | 2,3-dihydroxybenzoic acid |
| DO2A | 1,4,7,10-tetraazacyclododecane-1,7-bisacetate |
| DTPA | diethylenetriaminepentaacetic acid |
| EDTA | ethylenediaminetriacetic acid |
| GIT | gastrointestinal tract |
| HPLC | high-performance liquid chromatography |
| IDA | iron deficiency anaemia |
References
- Cairo, G.; Bernuzzi, F.; Recalcati, S.A. A precious metal: Iron, an essential nutrient for all cells. Genes Nutr. 2006, 1, 25–39. [Google Scholar] [CrossRef]
- Gozzelino, R.; Arosio, P. Iron Homeostasis in Health and Disease. Int. J. Mol. Sci. 2016, 17, E130. [Google Scholar] [CrossRef] [PubMed]
- Anderson, G.J.; Frazer, D.M. Current understanding of iron homeostasis. Am. J. Clin. Nutr. 2017, 106 (Suppl. 6), 1559S–1566S. [Google Scholar] [CrossRef] [PubMed]
- Kim, A.; Nemeth, E. New insights into iron regulation and erythropoiesis. Curr. Opin. Hematol. 2015, 22, 199–205. [Google Scholar] [CrossRef]
- Galaris, D.; Pantopoulos, K. Oxidative stress and iron homeostasis: Mechanistic and health aspects. Crit. Rev. Clin. Lab. Sci. 2008, 45, 1–23. [Google Scholar] [CrossRef]
- Nakamura, T.; Naguro, I.; Ichijo, H. Iron homeostasis and iron-regulated ROS in cell death, senescence and human diseases. Biochim. Biophys. Acta Gen. Subj. 2019, 1863, 1398–1409. [Google Scholar] [CrossRef] [PubMed]
- Kontoghiorghes, G.J.; Kontoghiorghe, C.N. Iron and Chelation in Biochemistry and Medicine: New Approaches to Controlling Iron Metabolism and Treating Related Diseases. Cells 2020, 9, 1456. [Google Scholar] [CrossRef]
- Sargent, P.J.; Farnaud, S.; Evans, R.W. Structure/function overview of proteins involved in iron storage and transport. Curr. Med. Chem. 2005, 12, 2683–2693. [Google Scholar] [CrossRef] [PubMed]
- Worwood, M. Inborn errors of metabolism: Iron. Br. Med. Bull. 1999, 55, 556–567. [Google Scholar] [CrossRef][Green Version]
- McLean, E.; Cogswell, M.; Egli, I.; Wojdyla, D.; de Benoist, B. Worldwide prevalence of anaemia, WHO Vitamin and Mineral Nutrition Information System 1993–2005. Public Health Nutr. 2009, 12, 444–454. [Google Scholar] [CrossRef]
- Pasricha, S.R.; Tye-Din, J.; Muckenthaler, M.U.; Swinkels, D.W. Iron deficiency. Lancet 2021, 397, 233–248. [Google Scholar] [CrossRef] [PubMed]
- Community control of hereditary anaemias: Memorandum from a WHO meeting. Bull. World Health Org. 1983, 61, 63–80.
- Tardy, A.L.; Pouteau, E.; Marquez, D.; Yilmaz, C.; Scholey, A. Vitamins and Minerals for Energy, Fatigue and Cognition: A Narrative Review of the Biochemical and Clinical Evidence. Nutrients 2020, 12, 228. [Google Scholar] [CrossRef] [PubMed]
- Kontoghiorghes, G.J.; Kolnagou, A. Molecular factors and mechanisms affecting iron and other metal excretion or absorption in health and disease. The role of natural and synthetic chelators. Curr. Med. Chem. 2005, 12, 2695–2709. [Google Scholar] [CrossRef] [PubMed]
- Moustarah, F.; Daley, S.F. Dietary Iron. In StatPearls; StatPearls Publishing: Treasure Island, FL, USA, 2024. [Google Scholar] [PubMed]
- Barton, J.C.; Edwards, C.Q. (Eds.) Hemochromatosis: Genetics, Pathophysiology, Diagnosis and Treatment; Cambridge University Press: Cambridge, UK, 2000. [Google Scholar]
- Adams, P.C. Epidemiology and diagnostic testing for hemochromatosis and iron overload. Int. J. Lab. Hematol. 2015, 37, 25–30. [Google Scholar] [CrossRef] [PubMed]
- Pietrangelo, A. Hereditary hemochromatosis—A new look at an old disease. N. Engl. J. Med. 2004, 350, 2383–2397. [Google Scholar] [CrossRef] [PubMed]
- Feder, J.N.; Gnirke, A.; Thomas, W.; Tsuchihashi, Z.; Ruddy, D.A.; Basava, A.; Dormishian, F.; Domingo, R., Jr.; Ellis, M.C.; Fullan, A.; et al. A novel MHC class I-like gene is mutated in patients with hereditary haemochromatosis. Nat. Genet. 1996, 13, 399–408. [Google Scholar] [CrossRef]
- Dubois, S.; Kowdley, K.V. Targeted screening for hereditary haemochromatosis in high-risk groups. Aliment. Pharmacol. Ther. 2004, 20, 1–14. [Google Scholar] [CrossRef] [PubMed]
- Kolnagou, A.; Kontoghiorghe, C.N.; Kontoghiorghes, G.J. Transition of Thalassaemia and Friedreich ataxia from fatal to chronic diseases. World J. Methodol. 2014, 4, 197–218. [Google Scholar] [CrossRef]
- Modell, B.; Berdoukas, V. The Clinical Approach to Thalassaemia; Grune and Stratton: New York, NY, USA, 1984; pp. 165–169. [Google Scholar]
- Weatherall, D.; Clegg, J.B. Inherited haemoglobin disorders: An increasing global health problem. Bull. World Health Organ. 2001, 79, 704–712. [Google Scholar]
- Hokland, P.; Daar, S.; Khair, W.; Sheth, S.; Taher, A.T.; Torti, L.; Hantaweepant, C.; Rund, D. Thalassaemia—A global view. Br. J. Haematol. 2023, 201, 199–214. [Google Scholar] [CrossRef]
- Zurlo, M.G.; De Stefano, P.; Borgna-Pignatti, C.; Di Palma, A.; Piga, A.; Melevendi, C.; Di Gregorio, F.; Burattini, M.G.; Terzoli, S. Survival and causes of death in thalassaemia major. Lancet 1989, 2, 27–30. [Google Scholar] [CrossRef] [PubMed]
- Sim, M.; Garvican-Lewis, L.A.; Cox, G.R.; Govus, A.; McKay, A.K.A.; Stellingwerff, T.; Peeling, P. Iron considerations for the athlete: A narrative review. Eur. J. Appl. Physiol. 2019, 119, 1463–1478. [Google Scholar] [CrossRef] [PubMed]
- Salvin, H.E.; Pasricha, S.R.; Marks, D.C.; Speedy, J. Iron deficiency in blood donors: A national cross-sectional study. Transfusion 2014, 54, 2434–2444. [Google Scholar] [CrossRef] [PubMed]
- Savva, S.C.; Kafatos, A. Is red meat required for the prevention of iron deficiency among children and adolescents? Curr. Pediatr. Rev. 2014, 10, 177–183. [Google Scholar] [CrossRef]
- Mantadakis, E.; Chatzimichael, E.; Zikidou, P. Iron Deficiency Anemia in Children Residing in High and Low-Income Countries: Risk Factors, Prevention, Diagnosis and Therapy. Mediterr. J. Hematol. Infect. Dis. 2020, 12, e2020041. [Google Scholar] [CrossRef] [PubMed Central]
- Wessells, K.R.; Young, R.R.; Ferguson, E.L.; Ouédraogo, C.T.; Faye, M.T.; Hess, S.Y. Assessment of Dietary Intake and Nutrient Gaps, and Development of Food-Based Recommendations, Among Pregnant and Lactating Women in Zinder, Niger: An Optifood Linear Programming Analysis. Nutrients 2019, 11, 72. [Google Scholar] [CrossRef] [PubMed]
- Grover, K.; Kumar, T.; Doda, A.; Bhutani, R.; Yadav, S.; Kaushal, P.; Kapoor, R.; Sharma, S. Prevalence of anaemia and its association with dietary habits among pregnant women in the urban area of Haryana. J. Fam. Med. Prim. Care 2020, 9, 783–787. [Google Scholar] [PubMed Central]
- Kobayashi, M.; Suhara, T.; Baba, Y.; Kawasaki, N.K.; Higa, J.K.; Matsui, T. Pathological Roles of Iron in Cardiovascular Disease. Curr. Drug Targets 2018, 19, 1068–1076. [Google Scholar] [CrossRef]
- Man, C.D.; Maideen, S.F.K.; Rashid, A. Knowledge, Attitude and Practice towards Dietary Iron among Patients with Thalassemia and Their Caregivers in Peninsular Malaysia. Med. J. Malays 2019, 74, 365–371. [Google Scholar]
- Zhang, C.; Rawal, S. Dietary Iron Intake, Iron Status, and Gestational Diabetes. Am. J. Clin. Nutr. 2017, 106, 1672–1680. [Google Scholar] [CrossRef] [PubMed]
- Milman, N.T. A Review of Nutrients and Compounds, Which Promote or Inhibit Intestinal Iron Absorption: Making a Platform for Dietary Measures That Can Reduce Iron Uptake in Patients with Genetic Haemochromatosis. J. Nutr. Metab. 2020, 2020, 7373498. [Google Scholar] [CrossRef] [PubMed]
- Fiesel, A.; Ehrmann, M.; Geßner, D.K.; Most, E.; Eder, K. Effects of polyphenol-rich plant products from grape or hop as feed supplements on iron, zinc and copper status in piglets. Arch. Anim. Nutr. 2015, 69, 276–284. [Google Scholar] [CrossRef] [PubMed]
- Jaramillo, Á.; Briones, L.; Andrews, M.; Arredondo, M.; Olivares, M.; Brito, A.; Pizarro, F. Effect of phytic acid, tannic acid and pectin on fasting iron bioavailability both in the presence and absence of calcium. J. Trace Elem. Med. Biol. 2015, 30, 112–117. [Google Scholar] [CrossRef]
- Sotelo, A.; González-Osnaya, L.; Sánchez-Chinchillas, A.; Trejo, A. Role of oxate, phytate, tannins and cooking on iron bioavailability from foods commonly consumed in Mexico. Int. J. Food Sci. Nutr. 2010, 61, 29–39. [Google Scholar] [CrossRef] [PubMed]
- Djaldetti, M.; Fishman, P.; Notti, I.; Bessler, H. The effect of tetracycline administration on iron absorption in mice. Biomedicine 1981, 35, 150–152. [Google Scholar]
- Lu, P.; Sui, M.; Zhang, M.; Wang, M.; Kamiya, T.; Okamoto, K.; Itoh, H.; Okuda, S.; Suzuki, M.; Asakura, T.; et al. Rosmarinic Acid and Sodium Citrate Have a Synergistic Bacteriostatic Effect against Vibrio Species by Inhibiting Iron Uptake. Int. J. Mol. Sci. 2021, 22, 13010. [Google Scholar] [CrossRef]
- Duda-Chodak, A.; Tarko, T. Possible Side Effects of Polyphenols and Their Interactions with Medicines. Molecules 2023, 28, 2536. [Google Scholar] [CrossRef]
- Paulson, S.K.; Martinez, J.; Sawant, R.; Burke, S.K.; Chavan, A. Effect of Phosphate Binders and a Dietary Iron Supplement on the Pharmacokinetics of a Single Dose of Vadadustat in Healthy Adults. Clin. Pharmacol. Drug Dev. 2022, 11, 475–485. [Google Scholar] [CrossRef]
- Kontoghiorghe, C.N.; Kolnagou, A.; Kontoghiorghes, G.J. Phytochelators Intended for Clinical Use in Iron Overload, Other Diseases of Iron Imbalance and Free Radical Pathology. Molecules 2015, 20, 20841–20872. [Google Scholar] [CrossRef]
- Cui, S.; Liu, Z.; Nagy, T.; Agboluaje, E.O.; Xiong, M.P. Oral Non-absorbable Polymer-Deferoxamine Conjugates for Reducing Dietary Iron Absorption. Mol. Pharm. 2023, 20, 1285–1295. [Google Scholar] [CrossRef]
- Gomez, H.F.; McClafferty, H.H.; Flory, D.; Brent, J.; Dart, R.C. Prevention of gastrointestinal iron absorption by chelation from an orally administered premixed deferoxamine/charcoal slurry. Ann. Emerg. Med. 1997, 30, 587–592. [Google Scholar] [CrossRef]
- Kontoghiorghes, G.J. Chelators affecting iron absorption in mice. Arzneimittelforschung 1990, 40, 1332–1335. [Google Scholar] [PubMed]
- Kontoghiorghes, G.J.; Kolnagou, A.; Demetriou, T.; Neocleous, M.; Kontoghiorghe, C.N. New Era in the Treatment of Iron Deficiency Anaemia Using Trimaltol Iron and Other Lipophilic Iron Chelator Complexes: Historical Perspectives of Discovery and Future Applications. Int. J. Mol. Sci. 2021, 22, 5546. [Google Scholar] [CrossRef] [PubMed]
- Kontoghiorghes, G.J. Advances on Chelation and Chelator Metal Complexes in Medicine. Int. J. Mol. Sci. 2020, 21, 2499. [Google Scholar] [CrossRef] [PubMed]
- Konstantinou, E.; Pashalidis, I.; Kolnagou, A.; Kontoghiorghes, G.J. Interactions of hydroxycarbamide (hydroxyurea) with iron and copper: Implications on toxicity and therapeutic strategies. Hemoglobin 2011, 35, 237–246. [Google Scholar] [CrossRef] [PubMed]
- Kontoghiorghes, G.J.; Barr, J.; Nortey, P.; Sheppard, L. Selection of a new generation of orally active alpha-ketohydroxypyridine iron chelators intended for use in the treatment of iron overload. Am. J. Hematol. 1993, 42, 340–349. [Google Scholar] [CrossRef] [PubMed]
- Kontoghiorghe, C.N.; Kontoghiorghes, G.J. Efficacy and safety of iron-chelation therapy with deferoxamine, deferiprone, and deferasirox for the treatment of iron-loaded patients with non-transfusion-dependent thalassemia syndromes. Drug Des. Devel Ther. 2016, 10, 465–481. [Google Scholar] [CrossRef]
- Kontoghiorghes, G.J.; Kolnagou, A.; Peng, C.T.; Shah, S.V.; Aessopos, A. Safety issues of iron chelation therapy in patients with normal range iron stores including thalassaemia, neurodegenerative, renal and infectious diseases. Expert Opin. Drug Saf. 2010, 9, 201–206. [Google Scholar] [CrossRef]
- Pandolfo, M.; Hausmann, L. Deferiprone for the treatment of Friedreich’s ataxia. J. Neurochem. 2013, 126 (Suppl. 1), 142–146. [Google Scholar] [CrossRef] [PubMed]
- Elincx-Benizri, S.; Glik, A.; Merkel, D.; Arad, M.; Freimark, D.; Kozlova, E.; Cabantchik, I.; Hassin-Baer, S. Clinical Experience With Deferiprone Treatment for Friedreich Ataxia. J. Child Neurol. 2016, 31, 1036–1040. [Google Scholar] [CrossRef]
- Kolnagou, A.; Kleanthous, M.; Kontoghiorghes, G.J. Reduction of body iron stores to normal range levels in thalassaemia by using a deferiprone/deferoxamine combination and their maintenance thereafter by deferiprone monotherapy. Eur. J. Haematol. 2010, 85, 430–438. [Google Scholar] [CrossRef] [PubMed]
- Aessopos, A.; Kati, M.; Farmakis, D.; Polonifi, E.; Deftereos, S.; Tsironi, M. Intensive chelation therapy in beta-thalassemia and possible adverse cardiac effects of desferrioxamine. Int. J. Hematol. 2007, 86, 212–215. [Google Scholar] [CrossRef] [PubMed]
- Kolnagou, A.; Kontoghiorghe, C.N.; Kontoghiorghes, G.J. Prevention of Iron Overload and Long Term Maintenance of Normal Iron Stores in Thalassaemia Major Patients using Deferiprone or Deferiprone Deferoxamine Combination. Drug Res. 2017, 67, 404–411. [Google Scholar] [CrossRef] [PubMed]
- Kolnagou, A.; Kontoghiorghes, G.J. Maintenance of normal range body iron store levels for up to 4.5 years in thalassemia major patients using deferiprone monotherapy. Hemoglobin 2010, 34, 204–209. [Google Scholar] [CrossRef] [PubMed]
- Kolnagou, A.; Kontoghiorghes, G.J. New golden era of chelation therapy in thalassaemia: The achievement and maintenance of normal range body iron stores. Br. J. Haematol. 2010, 150, 489–490. [Google Scholar] [CrossRef] [PubMed]
- Kolnagou, A.; Kleanthous, M.; Kontoghiorghes, G.J. Benefits and Risks in Polypathology and Polypharmacotherapy Challenges in the Era of the Transition of Thalassaemia from a Fatal to a Chronic or Curable Disease. Front. Biosci. (Elite Ed.) 2022, 14, 18. [Google Scholar] [CrossRef] [PubMed]
- Montinari, M.R.; Minelli, S.; De Caterina, R. The first 3500 years of aspirin history from its roots—A concise summary. Vascul. Pharmacol. 2019, 113, 1–8. [Google Scholar] [CrossRef] [PubMed]
- Desborough, M.J.R.; Keeling, D.M. The aspirin story—From willow to wonder drug. Br. J. Haematol. 2017, 177, 674–683. [Google Scholar] [CrossRef]
- Vane, J.R.; Botting, R.M. The mechanism of action of aspirin. Thromb. Res. 2003, 110, 255–258. [Google Scholar] [CrossRef]
- Uvodich, M.E.; Siljander, M.P.; Taunton, M.J.; Mabry, T.M.; Perry, K.I.; Abdel, M.P. Low-Dose vs. Regular-Dose Aspirin for Venous Thromboembolism Prophylaxis in Primary Total Joint Arthroplasty. J. Arthroplast. 2021, 36, 2359–2363. [Google Scholar] [CrossRef] [PubMed]
- Merkow, D.B.; Tang, A.; Iorio, R.; Slover, J.D.; Bosco, J.A.; Schwarzkopf, R. Low dose aspirin is effective in preventing venous thromboembolism in patients undergoing primary total knee arthroplasty. J. Orthop. 2021, 24, 26–28. [Google Scholar] [CrossRef] [PubMed]
- Chen, Y.; Chen, F.; Liao, J.; Han, H.; Li, G.; Zhou, L. Low- or high-dose preventive aspirin use and risk of death from all-cause, cardiovascular disease, and cancer: A nationally representative cohort study. Front. Pharmacol. 2023, 14, 1099810. [Google Scholar] [CrossRef] [PubMed]
- Voelker, M.; Schachtel, B.P.; Cooper, S.A.; Gatoulis, S.C. Efficacy of disintegrating aspirin in two different models for acute mild-to-moderate pain: Sore throat pain and dental pain. Inflammopharmacology 2016, 24, 43–51. [Google Scholar] [CrossRef] [PubMed]
- Jones, W.S.; Mulder, H.; Wruck, L.M.; Pencina, M.J.; Kripalani, S.; Muñoz, D.; Crenshaw, D.L.; Effron, M.B.; Re, R.N.; Gupta, K.; et al. ADAPTABLE Team. Comparative Effectiveness of Aspirin Dosing in Cardiovascular Disease. N. Engl. J. Med. 2021, 384, 1981–1990. [Google Scholar] [CrossRef] [PubMed]
- Dovizio, M.; Bruno, A.; Tacconelli, S.; Patrignani, P. Mode of action of aspirin as a chemopreventive agent. Recent Results Cancer Res. 2013, 191, 39–65. [Google Scholar] [CrossRef]
- Patrono, C. Fifty years with aspirin and platelets. Br. J. Pharmacol. 2023, 180, 25–43. [Google Scholar] [CrossRef] [PubMed]
- Mekaj, Y.H.; Daci, F.T.; Mekaj, A.Y. New insights into the mechanisms of action of aspirin and its use in the prevention and treatment of arterial and venous thromboembolism. Ther. Clin. Risk Manag. 2015, 11, 1449–1456. [Google Scholar] [CrossRef]
- Boelig, R.C.; Kaushal, G.; Rochani, A.; McKenzie, S.E.; Kraft, W.K. Aspirin pharmacokinetics and pharmacodynamics through gestation. Am. J. Obstet. Gynecol. 2023. [Google Scholar] [CrossRef]
- Keche, Y.; Gaikwad, N.R.; Wasnik, P.N.; Nagpure, K.; Siddiqui, M.S.; Joshi, A.; Dhaneria, S.; Dewangan, G.; Meher, J.; Das, P. Analysis of Drugs Prescribed to Elderly Patients in a Tertiary Health Care Center in Raipur, Central India: An Observational Study. Cureus 2024, 16, e52770. [Google Scholar] [CrossRef]
- Cong, D.; Qi, W.; Liu, X.; Xu, X.; Dong, L.; Xue, W.; Li, K. Pharmacokinetic Study of Enteric-Coated Sustained-Release Aspirin Tablets in Healthy Chinese Participants. Drug Des. Devel Ther. 2023, 17, 2421–2429. [Google Scholar] [CrossRef]
- Hofling, U.; Tacconelli, S.; Contursi, A.; Bruno, A.; Mucci, M.; Ballerini, P.; Cohen, S.; Patrignani, P. Characterization of the acetylation of cyclooxygenase-isozymes and targeted lipidomics of eicosanoids in serum and colon cancer cells by the new aspirin formulation IP1867B versus aspirin in vitro. Front. Pharmacol. 2022, 13, 1070277. [Google Scholar] [CrossRef]
- Pacławski, A.; Politis, S.; Balafas, E.; Mina, E.; Papakyriakopoulou, P.; Christodoulou, E.; Kostomitsopoulos, N.; Rekkas, D.M.; Valsami, G.; Giovagnoli, S. Development and Pharmacokinetics of a Novel Acetylsalicylic Acid Dry Powder for Pulmonary Administration. Pharmaceutics 2022, 14, 2819. [Google Scholar] [CrossRef]
- Atar, D.; Sarkar, S.; Kolev, E.; Mura, C.; Brosstad, F.; Theodorsen, L.; Westen, G.I.; Stribolt-Halvorsen, P.E. Randomized, open-label, crossover trial comparing the pharmacokinetic profile of a novel oral aspirin solution and a chewed aspirin tablet. Int. J. Clin. Pharmacol. Ther. 2022, 60, 430–438. [Google Scholar] [CrossRef] [PubMed]
- Del Bianco-Rondeau, M.; Robert-Halabi, M.; Bloom, S.; Rabasa-Lhoret, R.; Tardif, J.C.; Lordkipanidzé, M.; Marquis-Gravel, G. Aspirin for Primary Cardiovascular Prevention in Patients with Diabetes: Uncertainties and Opportunities. Thromb. Haemost. 2022, 122, 1443–1453. [Google Scholar] [CrossRef]
- Ray, K. Microbiota modulates aspirin chemoprevention in CRC. Nat. Rev. Gastroenterol. Hepatol. 2020, 17, 383. [Google Scholar] [CrossRef]
- Rocca, B.; Tosetto, A.; Betti, S.; Soldati, D.; Petrucci, G.; Rossi, E.; Timillero, A.; Cavalca, V.; Porro, B.; Iurlo, A.; et al. A randomized double-blind trial of 3 aspirin regimens to optimize antiplatelet therapy in essential thrombocythemia. Blood 2020, 136, 171–182. [Google Scholar] [CrossRef]
- Hutt, A.J.; Caldwell, J.; Smith, R.L. The metabolism of aspirin in man: A population study. Xenobiotica 1986, 16, 239–249. [Google Scholar] [CrossRef]
- Patel, D.K.; Notarianni, L.J.; Bennett, P.N. Comparative metabolism of high doses of aspirin in man and rat. Xenobiotica 1990, 20, 847–854. [Google Scholar] [CrossRef]
- McQuilten, Z.K.; Thao, L.T.P.; Pasricha, S.R.; Artz, A.S.; Bailey, M.; Chan, A.T.; Cohen, H.J.; Lockery, J.E.; Murray, A.M.; Nelson, M.R.; et al. Effect of Low-Dose Aspirin Versus Placebo on Incidence of Anemia in the Elderly: A Secondary Analysis of the Aspirin in Reducing Events in the Elderly Trial. Ann. Intern. Med. 2023, 176, 913–921. [Google Scholar] [CrossRef]
- Vetrano, D.L.; Zucchelli, A.; Marconi, E.; Levi, M.; Pegoraro, V.; Cataldo, N.; Heiman, F.; Cricelli, C.; Lapi, F. Predictors of iron-deficiency anemia in primary care older adults: A real-world European multi-country longitudinal study. Aging Clin. Exp. Res. 2020, 32, 2211–2216. [Google Scholar] [CrossRef]
- Milman, N.; Ovesen, L.; Byg, K.; Graudal, N. Iron status in Danes updated 1994. I: Prevalence of iron deficiency and iron overload in 1332 men aged 40-70 years. Influence Of blood donation, alcohol intake, and iron supplementation. Ann. Hematol. 1999, 78, 393–400. [Google Scholar] [CrossRef]
- Kontoghiorghes, G.J. Drug Selection and Posology, Optimal Therapies and Risk/Benefit Assessment in Medicine: The Paradigm of Iron-Chelating Drugs. Int. J. Mol. Sci. 2023, 24, 16749. [Google Scholar] [CrossRef]
- Levy, G. Clinical pharmacokinetics of salicylates: A re-assessment. Br. J. Clin. Pharmacol. 1980, 10 (Suppl. 2), 285S–290S. [Google Scholar] [CrossRef]
- Navarro, S.L.; Saracino, M.R.; Makar, K.W.; Thomas, S.S.; Li, L.; Zheng, Y.; Levy, L.; Schwarz, Y.; Bigler, J.; Potter, J.D.; et al. Determinants of aspirin metabolism in healthy men and women: Effects of dietary inducers of UDP-glucuronosyltransferases. Lifestyle Genom. 2011, 4, 110–118. [Google Scholar] [CrossRef]
- Hansen, S.H.; Jensen, M.E.; Bjørnsdottir, I. Assay of acetylsalicylic acid and three of its metabolites in human plasma and urine using non-aqueous capillary electrophoresis with reversed electroosmotic flow. J. Pharm. Biomed. Anal. 1998, 17, 1155–1160. [Google Scholar] [CrossRef]
- Lares-Asseff, I.; Flores-Pérez, J.; Juárez-Olguín, H.; Ramírez-Lacayo, M.; Loredo-Abdalá, A.; Carbajal-Rodríguez, L. Influence of nutritional status on the pharmacokinetics of acetylsalicylic acid and its metabolites in children with autoimmune disease. Am. J. Clin. Nutr. 1999, 69, 318–324. [Google Scholar] [CrossRef][Green Version]
- Krivosíková, Z.; Spustová, V.; Dzúrik, R. A highly sensitive HPLC method for the simultaneous determination of acetylsalicylic, salicylic and salicyluric acids in biologic fluids: Pharmacokinetic, metabolic and monitoring implications. Methods Find. Exp. Clin. Pharmacol. 1996, 18, 527–532. [Google Scholar]
- Li, J.P.; Guo, J.M.; Shang, E.X.; Zhu, Z.H.; Liu, Y.; Zhao, B.C.; Zhao, J.; Tang, Z.S.; Duan, J.A. Quantitative determination of five metabolites of aspirin by UHPLC-MS/MS coupled with enzymatic reaction and its application to evaluate the effects of aspirin dosage on the metabolic profile. J. Pharm. Biomed. Anal. 2017, 138, 109–117. [Google Scholar] [CrossRef]
- Bojić, M.; Sedgeman, C.A.; Nagy, L.D.; Guengerich, F.P. Aromatic hydroxylation of salicylic acid and aspirin by human cytochromes P450. Eur. J. Pharm. Sci. 2015, 73, 49–56. [Google Scholar] [CrossRef]
- Nagelschmitz, J.; Blunck, M.; Kraetzschmar, J.; Ludwig, M.; Wensing, G.; Hohlfeld, T. Pharmacokinetics and pharmacodynamics of acetylsalicylic acid after intravenous and oral administration to healthy volunteers. Clin. Pharmacol. 2014, 6, 51–59. [Google Scholar] [CrossRef]
- Sankaranarayanan, R.; Kumar, D.R.; Altinoz, M.A.; Bhat, G.J. Mechanisms of Colorectal Cancer Prevention by Aspirin—A Literature Review and Perspective on the Role of COX-Dependent and -Independent Pathways. Int. J. Mol. Sci. 2020, 21, 9018. [Google Scholar] [CrossRef]
- Pan, P.; Huang, Y.W.; Oshima, K.; Yearsley, M.; Zhang, J.; Yu, J.; Arnold, M.; Wang, L.S. Could Aspirin and Diets High in Fiber Act Synergistically to Reduce the Risk of Colon Cancer in Humans? Int. J. Mol. Sci. 2018, 19, 166. [Google Scholar] [CrossRef]
- Kontoghiorghes, G.J.; Goddard, J.G.; Bartlett, A.N.; Sheppard, L. Pharmacokinetic studies in humans with the oral iron chelator 1,2-dimethyl-3-hydroxypyrid-4-one. Clin. Pharmacol. Ther. 1990, 48, 255–261. [Google Scholar] [CrossRef]
- Kontoghiorghes, G.J.; Bartlett, A.N.; Sheppard, L.; Barr, J.; Nortey, P. Oral iron chelation therapy with deferiprone. Monitoring of biochemical, drug and iron excretion changes. Arzneimittelforschung 1995, 45, 65–69. [Google Scholar] [PubMed]
- Abergel, R.J.; Warner, J.A.; Shuh, D.K.; Raymond, K.N. Enterobactin protonation and iron release: Structural characterization of the salicylate coordination shift in ferric enterobactin. J. Am. Chem. Soc. 2006, 128, 8920–8931. [Google Scholar] [CrossRef]
- Kontoghiorghes, G.J. The Design of Orally Active Iron Chelators for the Treatment of Thalassaemia. Ph.D. Thesis, University of Essex, Colchester, UK, 1982. British Library Microfilm No D66194/86. pp. 1–243. Available online: https://www.pri.ac.cy/files/KGJ_thesis_1982.pdf (accessed on 8 May 2024).
- Lawrence, J.R.; Peter, R.; Baxter, G.J.; Robson, J.; Graham, A.B.; Paterson, J.R. Urinary excretion of salicyluric and salicylic acids by non-vegetarians, vegetarians, and patients taking low dose aspirin. J. Clin. Pathol. 2003, 56, 651–653. [Google Scholar] [CrossRef]
- Fernández, I.S.; Cuevas, P.; Angulo, J.; López-Navajas, P.; Canales-Mayordomo, A.; González-Corrochano, R.; Lozano, R.M.; Valverde, S.; Jiménez-Barbero, J.; Romero, A.; et al. Gentisic acid, a compound associated with plant defense and a metabolite of aspirin, heads a new class of in vivo fibroblast growth factor inhibitors. J. Biol. Chem. 2010, 285, 11714–11729. [Google Scholar] [CrossRef]
- Muljono, R.A.; Darsono, F.L.; Scheffer, J.J.; Verpoorte, R. Assay of 2,3-dihydroxybenzoic acid and related compounds in plant materials by high-performance liquid chromatography. J. Chromatogr. A 2001, 927, 39–45. [Google Scholar] [CrossRef]
- Grady, R.W.; Graziano, J.H.; Akers, H.A.; Cerami, A. The development of new iron-chelating drugs. J. Pharmacol. Exp. Ther. 1976, 196, 478–485. [Google Scholar]
- Peterson, C.M.; Graziano, J.H.; Grady, R.W.; Jones, R.L.; Vlassara, H.V.; Canale, V.C.; Miller, D.R.; Cerami, A. Chelation studies with 2,3-dihydroxybenzoic acid in patients with beta-thalassaemia major. Br. J. Haematol. 1976, 33, 477–485. [Google Scholar] [CrossRef]
- Peterson, C.M.; Graziano, J.H.; Grady, R.W.; Jones, R.L.; Markenson, A.; Lavi, U.; Canale, V.; Gray, G.F.; Cerami, A.; Miller, D.R. Chelation therapy in beta-thalassemia major: A one-year double blind study of 2,3-dihydroxybenzoic acid. Exp. Hematol. 1979, 7, 74–80. [Google Scholar] [PubMed]
- Cerami, A.; Grady, R.W.; Peterson, C.M.; Bhargava, K.K. Clinical management of thalassemia. The status of new iron chelators. Ann. N. Y. Acad. Sci. 1980, 344, 425–435. [Google Scholar] [CrossRef] [PubMed]
- Kontoghiorghes, G.J. Advances in oral iron chelation in man. Int. J. Hematol. 1992, 55, 27–38. [Google Scholar] [PubMed]
- Graziano, J.H.; Grady, R.W.; Cerami, A. The identification of 2, 3-dihydroxybenzoic acid as a potentially useful iron-chelating drug. J. Pharmacol. Exp. Ther. 1974, 190, 570–575. [Google Scholar] [PubMed]
- De, M.; Basu, M.; Chakrabartty, P.K. Increased synthesis of dihydroxybenzoic acid in the presence of aluminum by Rhizobium MO1. Acta Microbiol. Pol. 2003, 52, 195–199. [Google Scholar] [PubMed]
- Bellaire, B.H.; Elzer, P.H.; Baldwin, C.L. Roop RM 2nd. Production of the siderophore 2,3-dihydroxybenzoic acid is required for wild-type growth of Brucella abortus in the presence of erythritol under low-iron conditions in vitro. Infect. Immun. 2003, 71, 2927–2932. [Google Scholar] [CrossRef] [PubMed][Green Version]
- Crichton, R.R.; Roman, F.; Roland, F. Iron mobilization from ferritin by chelating agents. J. Inorg. Biochem. 1980, 13, 305–316. [Google Scholar] [CrossRef]
- Schneider, D.J.; Roe, A.L.; Mayer, R.J.; Que, L., Jr. Evidence for synergistic anion binding to iron in ovotransferrin complexes from resonance Raman and extended X-ray absorption fine structure analysis. J. Biol. Chem. 1984, 259, 9699–9703. [Google Scholar] [CrossRef] [PubMed]
- Blatt, J.; Taylor, S.R.; Kontoghiorghes, G.J. Comparison of activity of deferoxamine with that of oral iron chelators against human neuroblastoma cell lines. Cancer Res. 1989, 49, 2925–2927. [Google Scholar] [PubMed]
- Kontoghiorghes, G.J. Structure/red blood cell permeability. Activity of iron(III) chelator complexes. Inorg. Chim. Acta 1988, 151, 101–106. [Google Scholar] [CrossRef]
- Graziano, J.H.; Miller, D.R.; Grady, R.W.; Cerami, A. Inhibition of membrane peroxidation in thalassaemic erythrocytes by 2,3-dihydroxybenzoic acid. Br. J. Haematol. 1976, 32, 351–356. [Google Scholar] [CrossRef] [PubMed]
- Sinswat, P.; Wu, W.J.; Sha, S.H.; Schacht, J. Protection from ototoxicity of intraperitoneal gentamicin in guinea pig. Kidney Int. 2000, 58, 2525–2532. [Google Scholar] [CrossRef]
- Kontoghiorghes, G.J.; Jackson, M.J.; Lunec, J. In vitro screening of iron chelators using models of free radical damage. Free Radic. Res. Commun. 1986, 2, 115–124. [Google Scholar] [CrossRef] [PubMed]
- Grootveld, M.; Halliwell, B. Aromatic hydroxylation as a potential measure of hydroxyl-radical formation in vivo. Identification of hydroxylated derivatives of salicylate in human body fluids. Biochem. J. 1986, 237, 499–504. [Google Scholar] [CrossRef]
- Grinberg, L.N.; Rachmilewitz, E.A.; Kitrossky, N.; Chevion, M. Hydroxyl radical generation in beta-thalassemic red blood cells. Free. Radic. Biol. Med. 1995, 18, 611–615. [Google Scholar] [CrossRef] [PubMed]
- Aghabeigi, B.; Haque, M.; Wasil, M.; Hodges, S.J.; Henderson, B.; Harris, M. The role of oxygen free radicals in idiopathic facial pain. Br. J. Oral. Maxillofac. Surg. 1997, 35, 161–165. [Google Scholar] [CrossRef] [PubMed]
- Paterson, J.; Baxter, G.; Lawrence, J.; Duthie, G. Is there a role for dietary salicylates in health? Proc. Nutr. Soc. 2006, 65, 93–96. [Google Scholar] [CrossRef]
- Blacklock, C.J.; Lawrence, J.R.; Wiles, D.; Malcolm, E.A.; Gibson, I.H.; Kelly, C.J.; Paterson, J.R. Salicylic acid in the serum of subjects not taking aspirin. Comparison of salicylic acid concentrations in the serum of vegetarians, non-vegetarians, and patients taking low dose aspirin. J. Clin. Pathol. 2001, 54, 553–555. [Google Scholar] [CrossRef]
- Dotto, C.; Lombarte Serrat, A.; Cattelan, N.; Barbagelata, M.S.; Yantorno, O.M.; Sordelli, D.O.; Ehling-Schulz, M.; Grunert, T.; Buzzola, F.R. The Active Component of Aspirin, Salicylic Acid, Promotes Staphylococcus aureus Biofilm Formation in a PIA-dependent Manner. Front. Microbiol. 2017, 8, 4. [Google Scholar] [CrossRef]
- Herrmann, M. Salicylic acid: An old dog, new tricks, and staphylococcal disease. J. Clin. Investig. 2003, 112, 149–151. [Google Scholar] [CrossRef]
- Dal Belo, S.E.; Kanoun-Copy, L.; Lambert, C.; Cornillon, C.; Muller, B.; Jouni, H.; Moreau, M.; Palamarchuk, I.; Kerob, D.; Aguilar, L. Efficacy of a multitargeted, salicylic acid-based dermocosmetic cream compared to benzoyl peroxide 5% in Acne vulgaris: Results from a randomized study. J. Cosmet. Dermatol. 2024, 23, 891–897. [Google Scholar] [CrossRef]
- Swain, A.R.; Dutton, S.P.; Truswell, A.S. Salicylates in foods. J. Am. Diet Assoc. 1985, 85, 950–960. [Google Scholar] [CrossRef] [PubMed]
- Pitt, C.G.; Gupta, G. The design and synthesis of chelating agents for the treatment of iron overload in Cooley’s anemia. In Development of Iron Chelators for Clinical Use; DHEW Publication No. (NIH) 77-994; Anderson, F.W., Hiller, M.C., Eds.; DHEW: Bethesda, MD, USA, 1975; pp. 137–168. [Google Scholar]
- McBryde, W.A.E.; Rohr, J.A.; Penciner, J.S.; Page, J.A. Stability constants of three iron(II1) salicylates. Can. J. Chem. 1970, 48, 2574–2586. [Google Scholar] [CrossRef]
- Oktavia, B.; Lim, L.W.; Takeuchi, T. Simultaneous determination of Fe(III) and Fe(II) ions via complexation with salicylic acid and 1,10-phenanthroline in microcolumn ion chromatography. Anal. Sci. 2008, 24, 1487–1492. [Google Scholar] [CrossRef]
- Pozdnyakov, I.P.; Plyusnin, V.F.; Grivin, V.P.; Oliveros, E. Photochemistry of Fe(III) complexes with salicylic acid derivatives in aqueous solutions. J. Photochem. Photob. A Chem. 2015, 307, 9–15. [Google Scholar] [CrossRef]
- Chyka, P.A.; Erdman, A.R.; Christianson, G.; Wax, P.M.; Booze, L.L.; Manoguerra, A.S.; Caravati, E.M.; Nelson, L.S.; Olson, K.R.; Cobaugh, D.J.; et al. Americal Association of Poison Control Centers; Healthcare Systems Bureau, Health Resources and Sevices Administration, Department of Health and Human Services. Salicylate poisoning: An evidence-based consensus guideline for out-of-hospital management. Clin. Toxicol. 2007, 45, 95–131. [Google Scholar] [CrossRef]
- Prescott, L.F.; Balali-Mood, M.; Critchley, J.A.; Johnstone, A.F.; Proudfoot, A.T. Diuresis or urinary alkalinisation for salicylate poisoning? Br. Med. J. (Clin. Res. Ed.) 1982, 285, 1383–1386. [Google Scholar] [CrossRef]
- Cha, K.W.; Park, K.W. Determination of iron(III) with salicylic acid by the fluorescence quenching method. Talanta 1998, 46, 1567–1571. [Google Scholar] [CrossRef]
- Sha, S.H.; Schacht, J. Salicylate attenuates gentamicin-induced ototoxicity. Lab Investig. 1999, 79, 807–813. [Google Scholar] [PubMed]
- Brunet, S.; Guertin, F.; Thibault, L.; Gavino, V.; Delvin, E.; Levy, E. Iron-salicylate complex induces peroxidation, alters hepatic lipid profile and affects plasma lipoprotein composition. Atherosclerosis 1997, 129, 159–168. [Google Scholar] [CrossRef]
- Yin, M.-J.; Yamamoto, Y.; Gaynor, R.B. The anti-inflammatory agents aspirin and salicylate inhibit the activity of IκB kinase-β. Nature 1998, 396, 77. [Google Scholar] [CrossRef]
- Shaukat, A.; Grau, M.V.; Church, T.R.; Baxter, G.; Barry, E.L.; Summers, R.; Sandler, R.S.; Baron, J.A. Serum salicylate levels and risk of recurrent colorectal adenomas. Cancer Epidemiol. Biomark. Prev. 2011, 20, 679–682. [Google Scholar] [CrossRef]
- Dachineni, R.; Kumar, D.R.; Callegari, E.; Kesharwani, S.S.; Sankaranarayanan, R.; Seefeldt, T.; Tummala, H.; Bhat, G.J. Salicylic acid metabolites and derivatives inhibit CDK activity: Novel insights into aspirin’s chemopreventive effects against colorectal cancer. Int. J. Oncol. 2017, 51, 1661–1673. [Google Scholar] [CrossRef]
- Paterson, J.R.; Lawrence, J.R. Salicylic acid: A link between aspirin, diet and the prevention of colorectal cancer. QJM 2001, 94, 445–448. [Google Scholar] [CrossRef]
- Abedi, F.; Razavi, B.M.; Hosseinzadeh, H. A review on gentisic acid as a plant derived phenolic acid and metabolite of aspirin: Comprehensive pharmacology, toxicology, and some pharmaceutical aspects. Phytother. Res. 2020, 34, 729–741. [Google Scholar] [CrossRef]
- Devireddy, L.R.; Hart, D.O.; Goetz, D.H.; Green, M.R. A mammalian siderophore synthesized by an enzyme with a bacterial homolog involved in enterobactin production. Cell 2010, 141, 1006–1017. [Google Scholar] [CrossRef]
- Liu, Z.; Reba, S.; Chen, W.D.; Porwal, S.K.; Boom, W.H.; Petersen, R.B.; Rojas, R.; Viswanathan, R.; Devireddy, L. Regulation of mammalian siderophore 2,5-DHBA in the innate immune response to infection. J. Exp. Med. 2014, 211, 1197–1213. [Google Scholar] [CrossRef]
- Weiss, G. Microbial hijacking of mammalian iron shuttling. J. Exp. Med. 2014, 211, 1009. [Google Scholar] [CrossRef]
- Porwal, S.K.; Furia, E.; Harris, M.E.; Viswanathan, R.; Devireddy, L. Synthetic, potentiometric and spectroscopic studies of chelation between Fe(III) and 2,5-DHBA supports salicylate-mode of siderophore binding interactions. J. Inorg. Biochem. 2015, 145, 1–10. [Google Scholar] [CrossRef]
- Trindade, V.; Balter, H. Oxidant and Antioxidant Effects of Gentisic Acid in a 177Lu-Labelled Methionine-Containing Minigastrin Analogue. Curr. Radiopharm. 2020, 13, 107–119. [Google Scholar] [CrossRef]
- Rubira, L.; Donzé, C.; Fouillet, J.; Algudo, B.; Kotzki, P.O.; Deshayes, E.; Fersing, C. [68Ga]Ga-FAPI-46 synthesis on a GAIA® module system: Thorough study of the automated radiolabeling reaction conditions. Appl. Radiat. Isot. 2024, 206, 111211. [Google Scholar] [CrossRef]
- Ingelman-Sundberg, M.; Kaur, H.; Terelius, Y.; Persson, J.O.; Halliwell, B. Hydroxylation of salicylate by microsomal fractions and cytochrome P-450. Lack of production of 2,3-dihydroxybenzoate unless hydroxyl radical formation is permitted. Biochem. J. 1991, 276, 753–757. [Google Scholar] [CrossRef]
- Arreguin MLGonzález, A.G.; Pérez-Almeida, N.; Arnone, V.; González-Dávila, M.; Santana-Casiano, J.M. The role of gentisic acid on the Fe(III) redox chemistry in marine environments. Mar. Chem. 2021, 234, 104003. [Google Scholar] [CrossRef]
- Cass, M.; Wagner, J.G. A comparison of the determination of gentisic acid in blood by means of the ferric ion-gentisate complex with and without the presence of ferrous ions. J. Am. Pharm. Assoc. 1954, 43, 50–52. [Google Scholar] [CrossRef] [PubMed]
- Shingai, Y.; Fujimoto, A.; Nakamura, M.; Masuda, T. Structure and function of the oxidation products of polyphenols and identification of potent lipoxygenase inhibitors from Fe-catalyzed oxidation of resveratrol. J. Agric. Food Chem. 2011, 59, 8180–8186. [Google Scholar] [CrossRef]
- Exner, M.; Hermann, M.; Hofbauer, R.; Kapiotis, S.; Speiser, W.; Held, I.; Seelos, C.; Gmeiner, B.M. The salicylate metabolite gentisic acid, but not the parent drug, inhibits glucose autoxidation-mediated atherogenic modification of low density lipoprotein. FEBS Lett. 2000, 470, 47–50. [Google Scholar] [CrossRef]
- López, A.; Rico, M.; Santana-Casiano, J.M.; González, A.G.; González-Dávila, M. Phenolic profile of Dunaliella tertiolecta growing under high levels of copper and iron. Environ. Sci. Pollut. Res. Int. 2015, 22, 14820–14828. [Google Scholar] [CrossRef]
- Saeedavi, M.; Goudarzi, M.; Fatemi, I.; Basir, Z.; Noori, S.M.A.; Mehrzadi, S. Gentisic acid mitigates gentamicin-induced nephrotoxicity in rats. Tissue Cell 2023, 84, 102191. [Google Scholar] [CrossRef]
- Noei Razliqi, R.; Harooni, E.; Neisi, N.; Jafar Sameri, M.; Ahangarpour, A. Hepatoprotective effects of gentisic acid through its anti-oxidant properties in nicotinamide-streptozotocin induced diabetic mice. Iran. J. Basic Med. Sci. 2023, 26, 1409–1415. [Google Scholar] [CrossRef]
- Joshi, R.; Gangabhagirathi, R.; Venu, S.; Adhikari, S.; Mukherjee, T. Antioxidant activity and free radical scavenging reactions of gentisic acid: In-vitro and pulse radiolysis studies. Free Radic. Res. 2012, 46, 11–20. [Google Scholar] [CrossRef] [PubMed]
- Hang, D.T.N.; Hoa, N.T.; Bich, H.N.; Mechler, A.; Vo, Q.V. The hydroperoxyl radical scavenging activity of natural hydroxybenzoic acids in oil and aqueous environments: Insights into the mechanism and kinetics. Phytochemistry 2022, 201, 113281. [Google Scholar] [CrossRef] [PubMed]
- Liu, G.; Zhu, W.; Li, S.; Zhou, W.; Zhang, H.; Wang, J.; Liu, X.; Zhang, J.; Liang, L.; Xu, X. Antioxidant capacity and interaction of endogenous phenolic compounds from tea seed oil. Food Chem. 2021, 376, 131940. [Google Scholar] [CrossRef] [PubMed]
- Altinoz, M.A.; Elmaci, I.; Cengiz, S.; Emekli-Alturfan, E.; Ozpinar, A. From epidemiology to treatment: Aspirin’s prevention of brain and breast-cancer and cardioprotection may associate with its metabolite gentisic acid. Chem. Biol. Interact. 2018, 291, 29–39. [Google Scholar] [CrossRef]
- Sharma, S.; Khan, N.; Sultana, S. Modulatory effect of gentisic acid on the augmentation of biochemical events of tumor promotion stage by benzoyl peroxide and ultraviolet radiation in Swiss albino mice. Toxicol. Lett. 2004, 153, 293–302. [Google Scholar] [CrossRef]
- Sharma, S.; Khan, N.; Sultana, S. Study on prevention of two-stage skin carcinogenesis by Hibiscus rosa sinensis extract and the role of its chemical constituent, gentisic acid, in the inhibition of tumour promotion response and oxidative stress in mice. Eur. J. Cancer Prev. 2004, 13, 53–63. [Google Scholar] [CrossRef] [PubMed]
- Owen, S.G.; Roberts, M.S.; Friesen, W.T.; Francis, H.W. Salicylate pharmacokinetics in patients with rheumatoid arthritis. Br. J. Clin. Pharmacol. 1989, 28, 449–461. [Google Scholar] [CrossRef] [PubMed]
- Bochner, F.; Graham, G.G.; Polverino, A.; Imhoff, D.M.; Tregenza, R.A.; Rolan, P.E.; Cleland, L.G. Salicyl phenolic glucuronide pharmacokinetics in patients with rheumatoid arthritis. Eur. J. Clin. Pharmacol. 1987, 32, 153–158. [Google Scholar] [CrossRef] [PubMed]
- Baxter, G.J.; Lawrence, J.R.; Graham, A.B.; Wiles, D.; Paterson, J.R. Identification and determination of salicylic acid and salicyluric acid in urine of people not taking salicylate drugs. Ann. Clin. Biochem. 2002, 39, 50–55. [Google Scholar] [CrossRef]
- Park, M.V. Complex formation between iron (III) and some substituted salicylic acids. Chem. Soc. A 1966, 816–820. [Google Scholar] [CrossRef]
- Gonzalez, E.B.; Daeid, N.N.; Nolan, K.B. Complex formation between transition metal ions and salicylglycine, a metabolite of aspirin. Polyhedron 1994, 13, 1495–1499. [Google Scholar] [CrossRef]
- Pecci, J.; Foye, W.O. The avidity of salicylic, gentisic, and salicyluric acids for heavy metal cations. J. Am. Pharm. Assoc. Am. Pharm. Assoc. (Sci. Ed.) 1960, 49, 411–414. [Google Scholar] [CrossRef] [PubMed]
- Bavoso, A.; Menabue, L.; Saladini, M.; Sola, M. Coordination of 2-hydroxyhippuric acid to the copper(II) ion: A solution and solid state study. Inorg. Chim. Acta 1996, 244, 207–212. [Google Scholar] [CrossRef]
- Ferrer, E.G.; González Baró, A.C.; Castellano, E.E.; Piro, O.E.; Williams, P.A. Model complexes with naturally occurring ligands (salicylglycine and imidazol) and the biometals copper and cobalt. J. Inorg. Biochem. 2004, 98, 413–421. [Google Scholar] [CrossRef] [PubMed]
- Jancsó, A.; Gajda, T.; Szorcsik, A.; Kiss, T.; Henry, B.; Vankó, G.; Rubini, P. Potentiometric and spectroscopic studies on the dimethyltin(IV) complexes of 2-hydroxyhippuric acid. J. Inorg. Biochem. 2001, 83, 187–192. [Google Scholar] [CrossRef]
- Esplin, T.L.; Cable, M.L.; Gray, H.B.; Ponce, A. Terbium-macrocycle complexes as chemical sensors: Detection of an aspirin metabolite in urine using a salicylurate-specific receptor site. Inorg. Chem. 2010, 49, 4643–4647. [Google Scholar] [CrossRef]
- Zhang, J. A Reaction of Aspirin with Ferrous Gluconate. AAPS PharmSciTech. 2015, 16, 1495–1499. [Google Scholar] [CrossRef][Green Version]
- Podhaisky, H.P.; Abate, A.; Polte, T.; Oberle, S.; Schröder, H. Aspirin protects endothelial cells from oxidative stress—Possible synergism with vitamin E. FEBS Lett. 1997, 417, 349–351. [Google Scholar] [CrossRef] [PubMed]
- Schwarz, K.B.; Arey, B.J.; Tolman, K.; Mahanty, S. Iron chelation as a possible mechanism for aspirin-induced malondialdehyde production by mouse liver microsomes and mitochondria. J. Clin. Investig. 1988, 81, 165–170. [Google Scholar] [CrossRef]
- Woollard, A.C.; Wolff, S.P.; Bascal, Z.A. Antioxidant characteristics of some potential anticataract agents. Studies of aspirin, paracetamol, and bendazac provide support for an oxidative component of cataract. Free Radic. Biol. Med. 1990, 9, 299–305. [Google Scholar] [CrossRef]
- Aruoma, O.I.; Halliwell, B. The iron-binding and hydroxyl radical scavenging action of anti-inflammatory drugs. Xenobiotica 1988, 18, 459–470. [Google Scholar] [CrossRef] [PubMed]
- Xu, Y.X.; Du, F.; Jiang, L.R.; Gong, J.; Zhou, Y.F.; Luo, Q.Q.; Qian, Z.M.; Ke, Y. Effects of aspirin on expression of iron transport and storage proteins in BV-2 microglial cells. Neurochem. Int. 2015, 91, 72–77. [Google Scholar] [CrossRef]
- Oberle, S.; Polte, T.; Abate, A.; Podhaisky, H.P.; Schröder, H. Aspirin increases ferritin synthesis in endothelial cells: A novel antioxidant pathway. Circ. Res. 1998, 82, 1016–1020. [Google Scholar] [CrossRef] [PubMed]
- Dixon, S.J.; Lemberg, K.M.; Lamprecht, M.R.; Skouta, R.; Zaitsev, E.M.; Gleason, C.E.; Patel, D.N.; Bauer, A.J.; Cantley, A.M.; Yang, W.S.; et al. Ferroptosis: An iron-dependent form of nonapoptotic cell death. Cell 2012, 149, 1060–1072. [Google Scholar] [CrossRef] [PubMed]
- Xie, Y.; Hou, W.; Song, X.; Yu, Y.; Huang, J.; Sun, X.; Kang, R.; Tang, D. Ferroptosis: Process and function. Cell Death Differ. 2016, 23, 369–379. [Google Scholar] [CrossRef] [PubMed]
- Cao, J.Y.; Dixon, S.J. Mechanisms of ferroptosis. Cell Mol. Life Sci. 2016, 73, 2195–2209. [Google Scholar] [CrossRef] [PubMed]
- Liu, L.; Li, L.; Li, M.; Luo, Z. Autophagy-Dependent Ferroptosis as a Therapeutic Target in Cancer. Chemmedchem 2021, 16, 2942–2950. [Google Scholar] [CrossRef] [PubMed]
- Mou, Y.; Wang, J.; Wu, J.; He, D.; Zhang, C.; Duan, C.; Li, B. Ferroptosis, a new form of cell death: Opportunities and challenges in cancer. J. Hematol. Oncol. 2019, 12, 34. [Google Scholar] [CrossRef]
- Kontoghiorghes, G.J. New Iron Metabolic Pathways and Chelation Targeting Strategies Affecting the Treatment of All Types and Stages of Cancer. Int. J. Mol. Sci. 2022, 23, 13990. [Google Scholar] [CrossRef]
- Wu, Z.; Li, D.; Tian, D.; Liu, X.; Wu, Z. Aspirin mediates protection from diabetic kidney disease by inducing ferroptosis inhibition. PLoS ONE 2022, 17, e0279010. [Google Scholar] [CrossRef]
- Li, J.; Zheng, S.; Fan, Y.; Tan, K. Emerging significance and therapeutic targets of ferroptosis: A potential avenue for human kidney diseases. Cell Death Dis. 2023, 14, 628. [Google Scholar] [CrossRef]
- Jiang, Y.; Yu, Y.; Pan, Z.; Glandorff, C.; Sun, M. Ferroptosis: A new hunter of hepatocellular carcinoma. Cell Death Discov. 2024, 10, 136. [Google Scholar] [CrossRef]
- Cheng, X.; Zhao, F.; Ke, B.; Chen, D.; Liu, F. Harnessing Ferroptosis to Overcome Drug Resistance in Colorectal Cancer: Promising Therapeutic Approaches. Cancers 2023, 15, 5209. [Google Scholar] [CrossRef] [PubMed]
- Li, B.; Yang, L.; Peng, X.; Fan, Q.; Wei, S.; Yang, S.; Li, X.; Jin, H.; Wu, B.; Huang, M.; et al. Emerging mechanisms and applications of ferroptosis in the treatment of resistant cancers. Biomed. Pharmacother. 2020, 130, 110710. [Google Scholar] [CrossRef] [PubMed]
- Zhu, X.; Li, S. Ferroptosis, Necroptosis, and Pyroptosis in Gastrointestinal Cancers: The Chief Culprits of Tumor Progression and Drug Resistance. Adv. Sci. 2023, 10, e2300824. [Google Scholar] [CrossRef]
- Grancher, A.; Michel, P.; Di Fiore, F.; Sefrioui, D. Colorectal cancer chemoprevention: Is aspirin still in the game? Cancer Biol. Ther. 2022, 23, 446–461. [Google Scholar] [CrossRef]
- Chen, H.; Qi, Q.; Wu, N.; Wang, Y.; Feng, Q.; Jin, R.; Jiang, L. Aspirin promotes RSL3-induced ferroptosis by suppressing mTOR/SREBP-1/SCD1-mediated lipogenesis in PIK3CA-mutant colorectal cancer. Redox Biol. 2022, 55, 102426. [Google Scholar] [CrossRef]
- Zhao, L.; Zhou, X.; Xie, F.; Zhang, L.; Yan, H.; Huang, J.; Zhang, C.; Zhou, F.; Chen, J.; Zhang, L. Ferroptosis in cancer and cancer immunotherapy. Cancer Commun. 2022, 42, 88–116. [Google Scholar] [CrossRef]
- Wang, Y.F.; Feng, J.Y.; Zhao, L.N.; Zhao, M.; Wei, X.F.; Geng, Y.; Yuan, H.F.; Hou, C.Y.; Zhang, H.H.; Wang, G.W.; et al. Aspirin triggers ferroptosis in hepatocellular carcinoma cells through restricting NF-κB p65-activated SLC7A11 transcription. Acta Pharmacol. Sin. 2023, 44, 1712–1724. [Google Scholar] [CrossRef]
- Rubner, G.; Bensdorf, K.; Wellner, A.; Kircher, B.; Bergemann, S.; Ott, I.; Gust, R. Synthesis and biological activities of transition metal complexes based on acetylsalicylic acid as neo-anticancer agents. J. Med. Chem. 2010, 53, 6889–6898. [Google Scholar] [CrossRef]
- Campbell, N.R.; Hasinoff, B. Ferrous sulfate reduces levodopa bioavailability: Chelation as a possible mechanism. Clin. Pharmacol. Ther. 1989, 45, 220–225. [Google Scholar] [CrossRef] [PubMed]
- Campbell, N.R.; Kara, M.; Hasinoff, B.B.; Haddara, W.M.; McKay, D.W. Norfloxacin interaction with antacids and minerals. Br. J. Clin. Pharmacol. 1992, 33, 115–116. [Google Scholar] [CrossRef] [PubMed]
- Schaefer, J.P.; Tam, Y.; Hasinoff, B.B.; Tawfik, S.; Peng, Y.; Reimche, L.; Campbell, N.R. Ferrous sulphate interacts with captopril. Br. J. Clin. Pharmacol. 1998, 46, 377–381. [Google Scholar] [CrossRef] [PubMed]
- Geisser, P. In vitro studies on interactions of iron salts and complexes with food-stuffs and medicaments. Arzneimittelforschung 1990, 40, 754–760. [Google Scholar] [PubMed]
- Davies, N.M. Clinical pharmacokinetics of oxaprozin. Clin. Pharmacokinet. 1998, 35, 425–436. [Google Scholar] [CrossRef]
- Davies, N.M. Clinical pharmacokinetics of ibuprofen. The first 30 years. Clin. Pharmacokinet. 1998, 34, 101–154. [Google Scholar] [CrossRef] [PubMed]
- Koomanan, N.; Ko, Y.; Yong, W.P.; Ng, R.; Wong, Y.P.; Lim, S.W.; Salim, A.; Chan, A. Clinical impact of drug-drug interaction between aspirin and prednisolone at a cancer center. Clin. Ther. 2012, 34, 2259–2267. [Google Scholar] [CrossRef]
- Johansson, U.; Akesson, B. Interaction between ascorbic acid and acetylsalicylic acid and their effects on nutritional status in man. Int. J. Vitam. Nutr. Res. 1985, 55, 197–204. [Google Scholar] [PubMed]
- Sher, M.; Hussain, M.A.; Khan, S.H.; Naeem-Ul-Hassan, M.; Amin, M.; Khan, H. Determination of Copper at Extended Dose Levels of Copper (II)-acetylsalicylate and Pharmacokinetics Applications. Acta Chim. Slov. 2023, 70, 86–90. [Google Scholar] [CrossRef] [PubMed]
- Li, T.; Ding, N.; Guo, H.; Hua, R.; Lin, Z.; Tian, H.; Yu, Y.; Fan, D.; Yuan, Z.; Gonzalez, F.J.; et al. A gut microbiota-bile acid axis promotes intestinal homeostasis upon aspirin-mediated damage. Cell Host Microbe 2024, 32, 191–208.e9. [Google Scholar] [CrossRef]
- Jobbé-Duval, A.; Bézard, M.; Moutereau, S.; Kharoubi, M.; Oghina, S.; Zaroui, A.; Galat, A.; Chalard, C.; Hugon-Vallet, E.; Lemonnier, F.; et al. Prevalence and determinants of iron deficiency in cardiac amyloidosis. ESC Heart Fail. 2022, 9, 1314–1327. [Google Scholar] [CrossRef]
- Fairweather-Tait, S.J.; Wawer, A.A.; Gillings, R.; Jennings, A.; Myint, P.K. Iron status in the elderly. Mech. Ageing Dev. 2014, 136–137, 22–28. [Google Scholar] [CrossRef]
- Zacharski, L.R.; Chow, B.K.; Howes, P.S.; Shamayeva, G.; Baron, J.A.; Dalman, R.L.; Malenka, D.J.; Ozaki, C.K.; Lavori, P.W. Decreased cancer risk after iron reduction in patients with peripheral arterial disease: Results from a randomized trial. J. Natl. Cancer Inst. 2008, 100, 996–1002. [Google Scholar] [CrossRef]
- Rothwell, P.M.; Fowkes, F.G.; Belch, J.F.; Ogawa, H.; Warlow, C.P.; Meade, T.W. Effect of daily aspirin on long-term risk of death due to cancer:analysis of individual patient data from randomised trials. Lancet 2011, 377, 31–41. [Google Scholar] [CrossRef]
- Mascitelli, L.; Goldstein, M.R. Aspirin in the prevention of cancer. Lancet 2011, 377, 1650, author reply 1651–1652. [Google Scholar] [CrossRef] [PubMed]
- Michel, P.; Boige, V.; Andre, T.; Aparicio, T.; Bachet, J.B.; Dahan, L.; Guimbaud, R.; Lepage, C.; Manfredi, S.; Tougeron, D.; et al. Aspirin versus placebo in stage III or high-risk stage II colon cancer with PIK3CA mutation: A French randomised double-blind phase III trial (PRODIGE 50-ASPIK). Dig. Liver Dis. 2018, 50, 305–307. [Google Scholar] [CrossRef] [PubMed]
- Patrono, C. Cyclooxygenase Inhibitors and Cancer: The Missing Pieces. J. Pharmacol. Exp. Ther. 2023, 386, 181–189. [Google Scholar] [CrossRef] [PubMed]
- Tao, D.L.; Tassi Yunga, S.; Williams, C.D.; McCarty, O.J.T. Aspirin and antiplatelet treatments in cancer. Blood 2021, 137, 3201–3211. [Google Scholar] [CrossRef] [PubMed]
- Jacobs, A. An intracellular transit iron pool. Ciba Found. Symp. 1976, 51, 91–106. [Google Scholar]
- Binding, A.; Ward, R.; Tomlinson, G.; Kuo, K.H.M. Deferiprone exerts a dose-dependent reduction of liver iron in adults with iron overload. Eur. J. Haematol. 2019, 103, 80–87. [Google Scholar] [CrossRef] [PubMed]
- Olivieri, N.F.; Koren, G.; Matsui, D.; Liu, P.P.; Blendis, L.; Cameron, R.; McClelland, R.A.; Templeton, D.M. Reduction of tissue iron stores and normalization of serum ferritin during treatment with the oral iron chelator L1 in thalassemia intermedia. Blood 1992, 79, 2741–2748. [Google Scholar] [CrossRef]
- Kontoghiorghes, G.J.; Sheppard, L.; Aldouri, M.A.; Hoffbrand, A.V. 1,2-Dimethyl-3-Hydroxypyrid-4-One, an Orally Active Chelator for Treatment of Iron Overload. Lancet 1987, 329, 1294–1295. [Google Scholar] [CrossRef]
- Kontoghiorghes, G.J.; Aldouri, M.A.; Hoffbrand, A.V.; Barr, J.; Wonke, B.; Kourouclaris, T.; Sheppard, L. Effective chelation of iron in beta thalassaemia with the oral chelator 1,2-dimethyl-3-hydroxypyrid-4-one. BMJ 1987, 295, 1509–1512. [Google Scholar] [CrossRef] [PubMed]
- Rothwell, P.M.; Cook, N.R.; Gaziano, J.M.; Price, J.F.; Belch, J.F.F.; Roncaglioni, M.C.; Morimoto, T.; Mehta, Z. Effects of aspirin on risks of vascular events and cancer according to bodyweight and dose: Analysis of individual patient data from randomised trials. Lancet 2018, 392, 387–399. [Google Scholar] [CrossRef] [PubMed]
- Ardeshna, D.; Khare, S.; Jagadish, P.S.; Bhattad, V.; Cave, B.; Khouzam, R.N. The dilemma of aspirin resistance in obese patients. Ann. Transl. Med. 2019, 7, 404. [Google Scholar] [CrossRef] [PubMed]
- Cuzick, J.; Thorat, M.A.; Bosetti, C.; Brown, P.H.; Burn, J.; Cook, N.R.; Ford, L.G.; Jacobs, E.J.; Jankowski, J.A.; La Vecchia, C.; et al. Estimates of benefits and harms of prophylactic use of aspirin in the general population. Ann. Oncol. 2015, 26, 47–57. [Google Scholar] [CrossRef]
- Kontoghiorghes, G.J. Deferiprone and Iron-Maltol: Forty Years since Their Discovery and Insights into Their Drug Design, Development, Clinical Use and Future Prospects. Int. J. Mol. Sci. 2023, 24, 4970. [Google Scholar] [CrossRef] [PubMed]
- Sheppard, L.N.; Kontoghiorghes, G.J. Competition between deferiprone, desferrioxamine and other chelators for iron and the effect of other metals. Arzneimittelforschung 1993, 43, 659–663. [Google Scholar] [PubMed]
- Wang, X. A chelate theory for the mechanism of action of aspirin-like drugs. Med. Hypotheses 1998, 50, 239–251. [Google Scholar] [CrossRef] [PubMed]
- Pippard, M.J.; Jackson, M.J.; Hoffman, K.; Petrou, M.; Modell, C.B. Iron chelation using subcutaneous infusions of diethylene triamine penta-acetic acid (DTPA). Scand. J. Haematol. 1986, 36, 466–472. [Google Scholar] [CrossRef] [PubMed]
- Kontoghiorghes, G.J. Prospects for introducing deferiprone as potent pharmaceutical antioxidant. Front. Biosci. (Elite Ed.) 2009, 1, 161–178. [Google Scholar] [CrossRef] [PubMed]
- Barradas, M.A.; Jeremy, J.Y.; Kontoghiorghes, G.J.; Mikhailidis, D.P.; Hoffbrand, A.V.; Dandona, P. Iron chelators inhibit human platelet aggregation, thromboxane A2 synthesis and lipoxygenase activity. FEBS Lett. 1989, 245, 105–109. [Google Scholar] [CrossRef]
- Jeremy, J.Y.; Kontoghiorghes, G.J.; Hoffbrand, A.V.; Dandona, P. The iron chelators desferrioxamine and 1-alkyl-2-methyl-3-hydroxypyrid-4-ones inhibit vascular prostacyclin synthesis in vitro. Biochem. J. 1988, 254, 239–244. [Google Scholar] [CrossRef]
- Pirmohamed, M.; James, S.; Meakin, S.; Green, C.; Scott, A.K.; Walley, T.J.; Farrar, K.; Park, B.K.; Breckenridge, A.M. Adverse drug reactions as cause of admission to hospital: Prospective analysis of 18 820 patients. BMJ 2004, 329, 15–19. [Google Scholar] [CrossRef] [PubMed]
- Derry, S.; Loke, Y.K. Risk of gastrointestinal haemorrhage with long term use of aspirin: Meta-analysis. BMJ 2000, 321, 1183. [Google Scholar] [CrossRef]
- Migally, K.; Braunlin, E.A.; Zhang, L.; Binstadt, B.A. Duration of high-dose aspirin therapy does not affect long-term coronary artery outcomes in Kawasaki disease. Pediatr. Res. 2018, 83, 1136–1145. [Google Scholar] [CrossRef] [PubMed]
- Gan, R.; Teleg, R.A.; Florento, L.; Bitanga, E.S. Effect of increasing doses of aspirin on platelet aggregation among stroke patients. Cerebrovasc. Dis. 2002, 14, 252–255. [Google Scholar] [CrossRef] [PubMed]
- Adams, H.P., Jr.; Bendixen, B.H. Low- versus high-dose aspirin in prevention of ischemic stroke. Clin. Neuropharmacol. 1993, 16, 485–500. [Google Scholar] [CrossRef] [PubMed]
- Born, T.; Kontoghiorghe, C.N.; Spyrou, A.; Kolnagou, A.; Kontoghiorghes, G.J. EDTA chelation reappraisal following new clinical trials and regular use in millions of patients: Review of preliminary findings and risk/benefit assessment. Toxicol. Mech. Methods 2013, 23, 11–17. [Google Scholar] [CrossRef]


| A. The properties and iron binding effects of the aspirin-chelating metabolites |
| Molecular properties of the aspirin-chelating metabolites All aspirin metabolites are of low molecular weight, with the smallest being salicylic acid. The ACMs are negatively charged at physiological pH due to the presence of a carboxylate group. All the aspirin metabolites are cleared through the kidneys and eliminated through the urinary route. |
| Achievement of high concentration of the aspirin-chelating metabolites with high iron capacity Almost 70% of aspirin is metabolized to ACM, with salicyluric acid predominating (>65%) over the other metabolites. The ACMs have sufficiently long half-lives and can reach optimal concentrations for the mobilization of iron. The combined concentration of the ACM has a high iron binding capacity equivalent to that of iron-chelating drugs. |
| Evidence of the high affinity for iron by the aspirin-chelating metabolites The iron complex formation of the ACM, with specific physicochemical characteristics in each case, indicates a high affinity for iron, with high stability constants and the ability to mobilize iron. For example, the iron stability constant of salicylic acid (log β3 = 36) is similar to that of the iron-chelating drug deferiprone. |
| Iron mobilizing efficacy of the aspirin-chelating metabolites in preclinical studies The ACMs have been shown to mobilize iron from aqueous solutions, ferritin, cells, and different animal species. |
| Iron mobilizing efficacy of the aspirin-chelating metabolites in clinical studies The ACM 2,3-dihydroxybenoic acid has been shown in several clinical trials to be effective in increasing substantially iron excretion in iron-loaded thalassaemia patients. Smaller amounts of iron excretion are expected in aspirin users with normal iron stores. |
| Cumulative effects on iron mobilization by the aspirin-chelating metabolites The combinatory effect of the ACM in increasing iron mobilization and iron excretion resembles the combination chelation therapy, which is more effective than monotherapy. Despite the small incremental increases in daily iron excretion caused by ACM, total iron loss over months and years could lead to iron deficiency. |
| B. Other factors influencing iron deficiency in low-dose daily aspirin users |
| The influence of dietary iron on iron balance in elderly individuals using low-dose aspirin daily In the majority of cases of low-dose daily aspirin users, in the absence of major gastric bleeding, iron balance is restored gradually from dietary iron, similarly to blood donors. Iron deficiency is observed only in a minority of cases of low-dose daily aspirin users in the absence of major gastric bleeding. It is likely that such individuals are vegetarians or receive mostly vegetarian meals with insufficient absorbable content. |
| Additional factors to dietary iron contributing to iron deficiency in daily low-dose aspirin users There are additional factors involved in insufficient dietary iron body intake which can contribute to iron deficiency in daily low-dose aspirin users. These include individuals who are blood donors or engaged in heavy sport activities, as well as malabsorption of iron due to complications in the GIT. Minor undetected blood loss may also contribute to iron deficiency. |
| Cumulative effects contributing to iron deficiency in daily low dose aspirin users One or more of the aforementioned factors, i.e., low dietary iron intake, blood donation, heavy sports, or minor bleeding, may contribute to the overall increases in body iron loss. The contributory effect of each of these factors is different for each individual. |
Disclaimer/Publisher’s Note: The statements, opinions and data contained in all publications are solely those of the individual author(s) and contributor(s) and not of MDPI and/or the editor(s). MDPI and/or the editor(s) disclaim responsibility for any injury to people or property resulting from any ideas, methods, instructions or products referred to in the content. |
© 2024 by the author. Licensee MDPI, Basel, Switzerland. This article is an open access article distributed under the terms and conditions of the Creative Commons Attribution (CC BY) license (https://creativecommons.org/licenses/by/4.0/).
Share and Cite
Kontoghiorghes, G.J. The Puzzle of Aspirin and Iron Deficiency: The Vital Missing Link of the Iron-Chelating Metabolites. Int. J. Mol. Sci. 2024, 25, 5150. https://doi.org/10.3390/ijms25105150
Kontoghiorghes GJ. The Puzzle of Aspirin and Iron Deficiency: The Vital Missing Link of the Iron-Chelating Metabolites. International Journal of Molecular Sciences. 2024; 25(10):5150. https://doi.org/10.3390/ijms25105150
Chicago/Turabian StyleKontoghiorghes, George J. 2024. "The Puzzle of Aspirin and Iron Deficiency: The Vital Missing Link of the Iron-Chelating Metabolites" International Journal of Molecular Sciences 25, no. 10: 5150. https://doi.org/10.3390/ijms25105150
APA StyleKontoghiorghes, G. J. (2024). The Puzzle of Aspirin and Iron Deficiency: The Vital Missing Link of the Iron-Chelating Metabolites. International Journal of Molecular Sciences, 25(10), 5150. https://doi.org/10.3390/ijms25105150
