Genome-Wide Identification and Characterization of Effector Candidates with Conserved Motif in Falciphora oryzae
Abstract
1. Introduction
2. Results
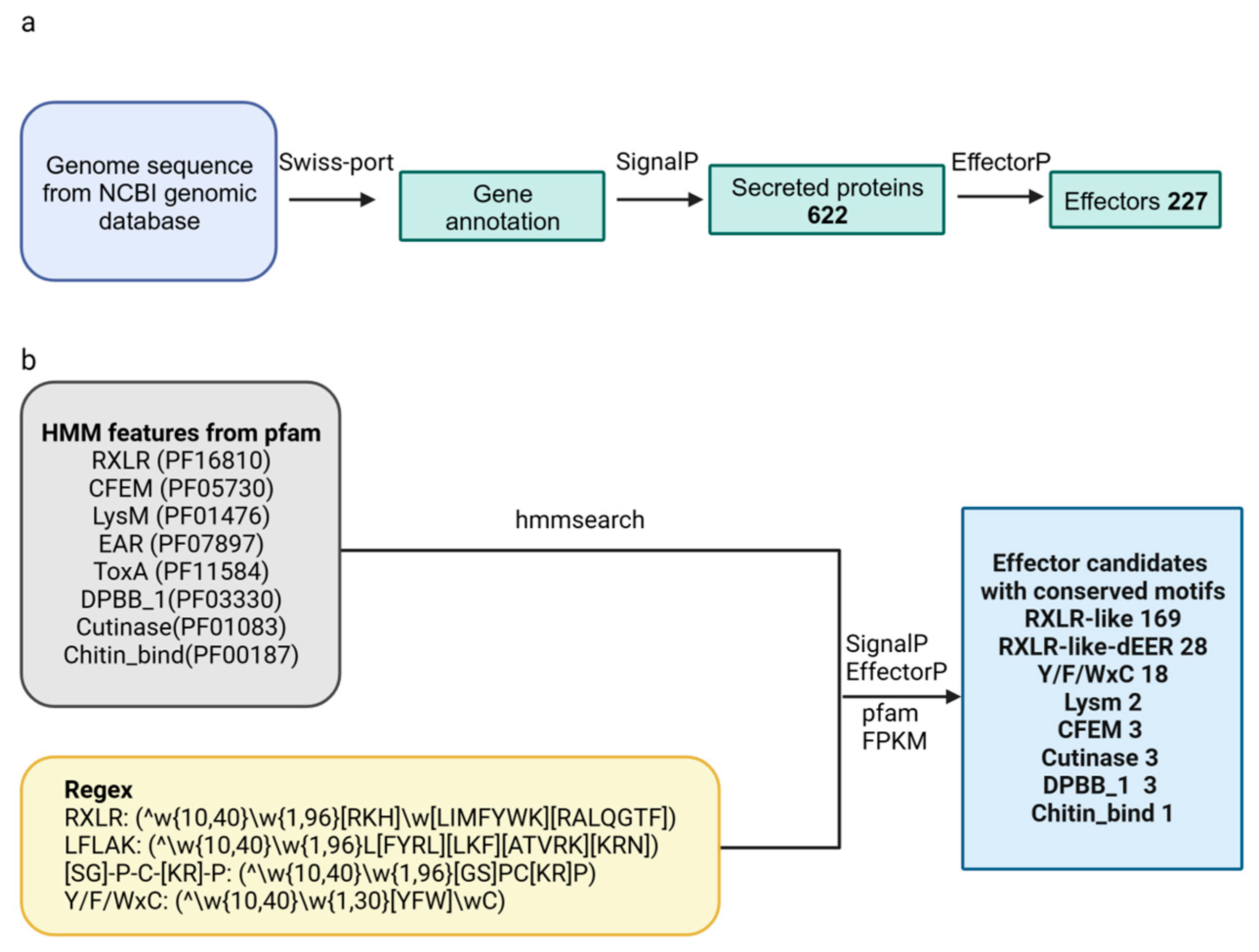
2.1. Genome-Wide Identification of Effector Candidates
2.2. Characterization of Effector Candidates Containing RXLR-like, CRN-like, and Y/F/WxC Motifs
2.3. Characterization of Effector Candidates Containing LysM, CFEM, Cutinase, DPBB_1, and Chitin_bind Domains
2.4. Effector Candidates Induced/Suppressed Cell Death in N. benthamiana Leaves
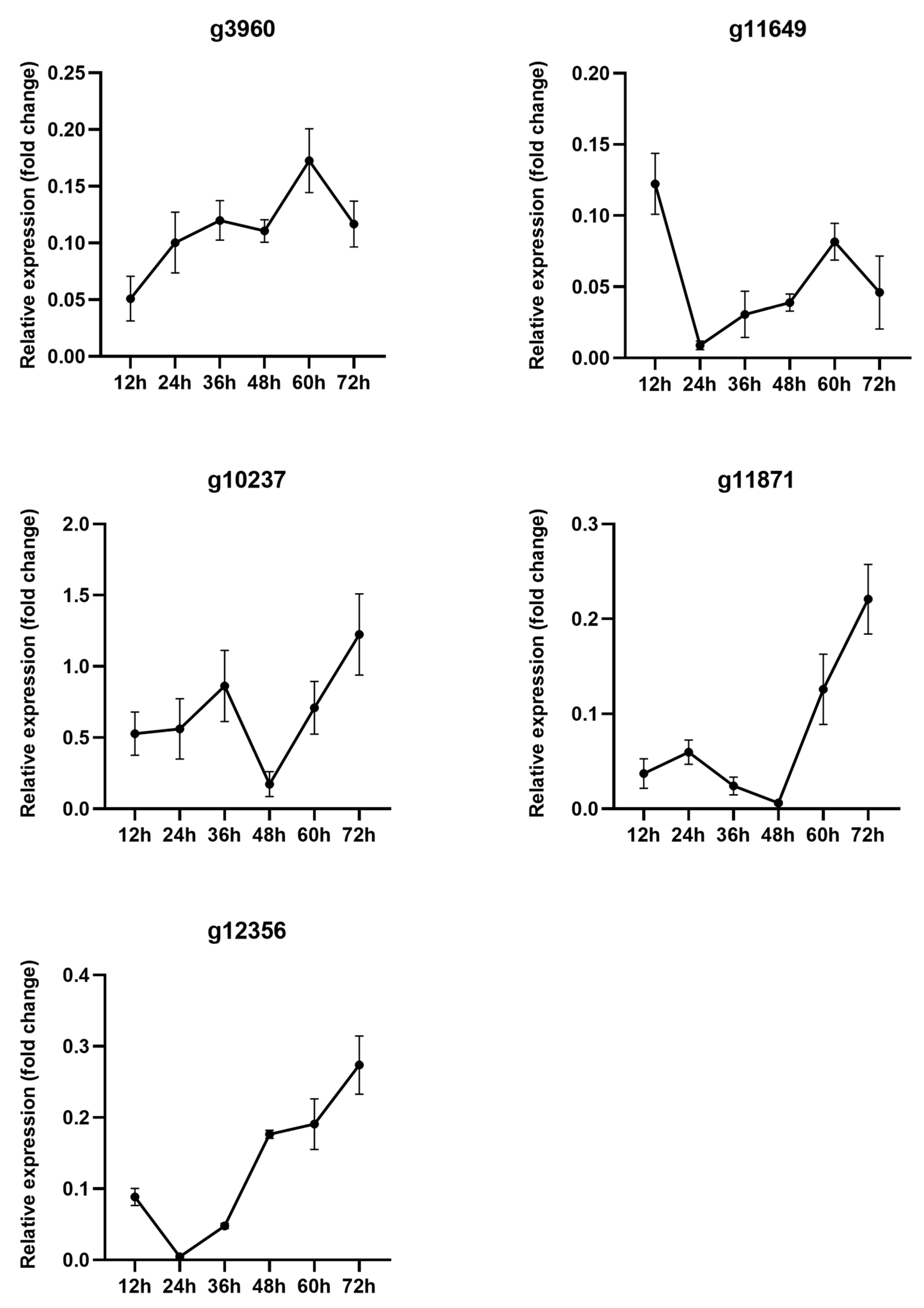
2.5. The Expression Characteristics of Effector Candidates
3. Discussion
4. Materials and Methods
4.1. Plant Materials and Fungal Strains
4.2. Genome-Wide Identification of Effector Candidates in F. oryzae
4.3. Structural Analysis of Effector Candidates
4.4. Transient Expression in N. benthamiana
4.5. Isolation of RNA and Gene Expression Level Assay by qRT-PCR
5. Conclusions
Supplementary Materials
Author Contributions
Funding
Institutional Review Board Statement
Informed Consent Statement
Data Availability Statement
Conflicts of Interest
References
- Delaux, P.M.; Schornack, S. Plant evolution driven by interactions with symbiotic and pathogenic microbes. Science 2021, 371, eaba6605. [Google Scholar] [CrossRef]
- Rodriguez, P.A.; Rothballer, M.; Chowdhury, S.P.; Nussbaumer, T.; Gutjahr, C.; Falter-Braun, P. Systems biology of plant-microbiome interactions. Mol. Plant 2019, 12, 804–821. [Google Scholar] [CrossRef] [PubMed]
- Yuan, Z.L.; Lin, F.C.; Zhang, C.L.; Kubicek, C.P. A new species of Harpophora (Magnaporthaceae) recovered from healthy wild rice (Oryza granulata) roots, representing a novel member of a beneficial dark septate endophyte. FEMS Microbiol. Lett. 2010, 307, 94–101. [Google Scholar] [CrossRef] [PubMed]
- Su, Z.Z.; Mao, L.J.; Li, N.; Feng, X.X.; Yuan, Z.L.; Wang, L.W.; Lin, F.C.; Zhang, C.L. Evidence for biotrophic lifestyle and biocontrol potential of dark septate endophyte Harpophora oryzae to rice blast disease. PLoS ONE 2013, 8, e61332. [Google Scholar] [CrossRef] [PubMed]
- Remick, B.C.; Gaidt, M.M.; Vance, R.E. Effector-Triggered Immunity. Annu. Rev. Immunol. 2023, 41, 453–481. [Google Scholar] [CrossRef]
- Collinge, D.B.; Jensen, B.; Jørgensen, H.J. Fungal endophytes in plants and their relationship to plant disease. Curr. Opin. Microbiol. 2022, 69, 102177. [Google Scholar] [CrossRef]
- Anderson, R.G.; Deb, D.; Fedkenheuer, K.; McDowell, J.M. Recent Progress in RXLR Effector Research. Mol. Plant Microbe Interact. 2015, 28, 1063–1072. [Google Scholar] [CrossRef] [PubMed]
- Qiu, X.; Kong, L.; Chen, H.; Lin, Y.; Tu, S.; Wang, L.; Chen, Z.; Zeng, M.; Xiao, J.; Yuan, P.; et al. The Phytophthora sojae nuclear effector PsAvh110 targets a host transcriptional complex to modulate plant immunity. Plant Cell 2023, 35, 574–597. [Google Scholar] [CrossRef] [PubMed]
- Chepsergon, J.; Motaung, T.E.; Bellieny-Rabelo, D.; Moleleki, L.N. Organize, don’t agonize: Strategic success of Phytophthora species. Microorganisms 2020, 8, 917. [Google Scholar] [CrossRef]
- Zuccaro, A.; Lahrmann, U.; Güldener, U.; Langen, G.; Pfiffi, S.; Biedenkopf, D.; Wong, P.; Samans, B.; Grimm, C.; Basiewicz, M.; et al. Endophytic life strategies decoded by genome and transcriptome analyses of the mutualistic root symbiont Piriformospora indica. PLoS Pathog. 2011, 7, e1002290. [Google Scholar] [CrossRef]
- Tian, H.; Fiorin, G.L.; Kombrink, A.; Mesters, J.R.; Thomma, B.P.H.J. Fungal dual-domain LysM effectors undergo chitin-induced intermolecular, and not intramolecular, dimerization. Plant Physiol. 2022, 190, 2033–2044. [Google Scholar] [CrossRef] [PubMed]
- Huang, Z.; Zhou, Y.; Li, H.; Bao, Y.; Duan, Z.; Wang, C.; Powell, C.A.; Wang, K.; Hu, Q.; Chen, B.; et al. Identification of common fungal extracellular membrane (CFEM) proteins in Fusarium sacchari that inhibit plant immunity and contribute to virulence. Microbiol. Spectr. 2023, 11, e0145223. [Google Scholar] [CrossRef] [PubMed]
- Kou, Y.J.; Tan, Y.H.; Ramanujam, R.; Naqvi, N.I. Structure-function analyses of the Pth11 receptor reveal an important role for CFEM motif and redox regulation in rice blast. New Phytol. 2017, 214, 330–342. [Google Scholar] [CrossRef]
- Kulkarni, R.D.; Dean, R.A. Identification of proteins that interact with two regulators of appressorium development, adenylate cyclase and cAMP-dependent protein kinase A, in the rice blast fungus Magnaporthe grisea. Mol. Genet. Genomics. 2004, 270, 497–508. [Google Scholar] [CrossRef]
- Kost, G.; Rexer, K.H. Morphology and Ultrastructure of Piriformospora indica. In Piriformospora Indica; Varma, A., Kost, G., Oelmüller, R., Eds.; Springer: Berlin/Heidelberg, Germany, 2013; p. 33. [Google Scholar]
- Que, Y.; Xu, L.; Wu, Q.; Liu, Y.F.; Liu, H.; Liu, Y.H.; Zhang, Y.Y.; Guo, J.L.; Su, Y.C.; Chen, J.B.; et al. Genome sequencing of Sporisorium scitamineum provides insights into the pathogenic mechanisms of sugarcane smut. BMC Genomics 2014, 15, 996. [Google Scholar] [CrossRef] [PubMed]
- Kobayashi, M.; Hiraka, Y.; Abe, A.; Yaegashi, H.; Natsume, S.; Kikuchi, H.; Takagi, H.; Saitoh, H.; Win, J.; Kamoun, S.; et al. Genome analysis of the foxtail millet pathogen Sclerospora graminicola reveals the complex effector repertoire of graminicolous downy mildews. BMC Genomics 2017, 18, 897. [Google Scholar] [CrossRef]
- Lovelace, A.H.; Dorhmi, S.; Hulin, M.T.; Li, Y.; Mansfield, J.W.; Ma, W. Effector identification in plant pathogens. Phytopathology 2023, 113, 637–650. [Google Scholar] [CrossRef]
- Sonah, H.; Deshmukh, R.K.; Bélanger, R.R. Computational prediction of effector proteins in fungi: Opportunities and challenges. Front. Plant Sci. 2016, 7, 126. [Google Scholar] [CrossRef]
- Sperschneider, J.; Gardiner, D.M.; Dodds, P.N.; Tini, F.; Covarelli, L.; Singh, K.B.; Manners, J.M.; Taylor, J.F. EffectorP: Predicting fungal effector proteins from secretomes using machine learning. New Phytol. 2016, 210, 743–761. [Google Scholar] [CrossRef]
- Liu, L.P.; Xu, L.; Jia, Q.; Pan, R.; Oelmüller, R.; Zhang, W.Y.; Wu, W. Arms race: Diverse effector proteins with conserved motifs. Plant Signal. Behav. 2019, 14, 1557008. [Google Scholar] [CrossRef]
- Raffaele, S.; Kamoun, S. Genome evolution in filamentous plant pathogens: Why bigger can be better. Nat. Rev. Microbiol. 2012, 10, 417–430. [Google Scholar] [CrossRef] [PubMed]
- Anupriya, C.; Shradha, N.; Prasun, B.; Abha, A.; Pankaj, S.; Abdin, M.Z.; Neeraj, S. Genomic and molecular perspectives of host-pathogen interaction and resistance strategies against white rust in oilseed mustard. Curr. Genomics 2020, 21, 179–193. [Google Scholar] [CrossRef] [PubMed]
- Ai, G.; Yang, K.; Ye, W.; Tian, Y.E.; Du, Y.X.; Zhu, H.; Li, T.L.; Xia, Q.Y.; Shen, D.Y.; Peng, H.; et al. Prediction and characterization of RXLR effectors in Pythium species. Mol. Plant Microbe Interact. 2020, 33, 1046–1058. [Google Scholar] [CrossRef] [PubMed]
- Kiselev, A.; San Clemente, H.; Camborde, L.; Dumas, B.; Gaulin, E. A comprehensive assessment of the secretome responsible for host adaptation of the legume root pathogen Aphanomyces euteiches. J. Fungi 2022, 8, 88. [Google Scholar] [CrossRef] [PubMed]
- Seong, K.; Krasileva, K.V. Prediction of effector protein structures from fungal phytopathogens enables evolutionary analyses. Nat. Microbiol. 2023, 8, 174–187. [Google Scholar] [CrossRef] [PubMed]
- Zhao, S.Q.; Shang, X.F.; Bi, W.S.; Yu, X.M.; Liu, D.Q.; Kang, Z.S.; Wang, X.J.; Wang, X.D. Genome-wide identification of effector candidates with conserved motifs from the wheat leaf rust fungus Puccinia triticina. Front. Microbiol. 2020, 11, 1188. [Google Scholar] [CrossRef]
- Ahmed, A.A.; Pedersen, C.; Thordal-Christensen, H. The barley powdery mildew effector candidates CSEP0081 and CSEP0254 promote fungal infection success. PLoS ONE 2016, 11, e0157586. [Google Scholar] [CrossRef]
- Zhang, Z.N.; Wu, Q.Y.; Zhang, G.Z.; Zhu, Y.Y.; Murphy, R.W.; Liu, Z.; Zou, C.G. Systematic analyses reveal uniqueness and origin of the CFEM domain in fungi. Sci. Rep. 2015, 5, 13032. [Google Scholar] [CrossRef]
- Zhu, W.J.; Wei, W.; Wu, Y.Y.; Zhou, Y.; Peng, F.; Zhang, S.P.; Chen, P.; Xu, X.W. BcCFEM1, a CFEM domain-containing protein with putative GPI-anchored site, is involved in pathogenicity, conidial production, and stress tolerance in Botrytis cinerea. Front Microbio. 2017, 8, 1807. [Google Scholar] [CrossRef]
- Akcapinar, G.B.; Kappel, L.; Sezerman, O.U.; Seidl-Seiboth, V. Molecular diversity of LysM carbohydrate-binding motifs in fungi. Curr. Genet. 2015, 61, 103–113. [Google Scholar] [CrossRef]
- Kombrink, A.; Rovenich, H.; Shi-Kunne, X.; Rojas-Padilla, E.; van Den Berg, G.C.M.; Domazakis, E.; de Jonge, R.; Valkenburg, D.J.; Sánchez-Vallet, A.; Seidl, M.F.; et al. Verticillium dahliae LysM effectors differentially contribute to virulence on plant hosts. Mol. Plant Pathol. 2017, 18, 596–608. [Google Scholar] [CrossRef] [PubMed]
- Lopez-Moya, F.; Suarez-Fernandez, M.; Lopez-Llorca, L.V. Molecular mechanisms of chitosan interactions with fungi and plants. Int. J. Mol. Sci. 2019, 20, 332. [Google Scholar] [CrossRef] [PubMed]
- Gong, B.Q.; Wang, F.Z.; Li, J.F. Hide-and-seek: Chitin-triggered plant immunity and fungal counterstrategies. Trends Plant Sci. 2020, 25, 805–816. [Google Scholar] [CrossRef] [PubMed]
- Suarez-Fernandez, M.; Aragon-Perez, A.; Lopez-Llorca, L.V.; Lopez-Moya, F. Putative LysM effectors contribute to fungal lifestyle. Int. J. Mol. Sci. 2021, 22, 3147. [Google Scholar] [CrossRef] [PubMed]
- Nielsen, H.B. Predicting secretory proteins with SignalP. Methods Mol. Biol. 2017, 1611, 59–73. [Google Scholar] [PubMed]
- Sperschneider, J.; Dodds, P.N.; Gardiner, D.M.; Singh, K.B.; Taylor, J.M. Improved prediction of fungal effector proteins from secretomes with EffectorP 2.0. Mol. Plant Pathol. 2018, 19, 2094–2110. [Google Scholar] [CrossRef] [PubMed]
- Kumar, S.; Stecher, G.; Li, M.; Knyaz, C.; Tamura, K. MEGA X: Molecular evolutionary genetics analysis across computing platforms. Mol. Biol. Evol. 2018, 35, 1547–1549. [Google Scholar] [CrossRef]
- Haas, B.J.; Kamoun, S.; Zody, M.C.; Jiang, R.H.; Handsaker, R.E.; Cano, L.M.; Grabherr, M.; Kodira, C.D.; Raffaele, S.; Torto-Alalibo, T.; et al. Genome sequence and analysis of the Irish potato famine pathogen Phytophthora infestans. Nature 2009, 461, 393–398. [Google Scholar] [CrossRef]
- Wise, A.A.; Liu, Z.; Binns, A.N. Three methods for the introduction of foreign DNA into agrobacterium. Methods Mol. Biol. 2006, 343, 43–53. [Google Scholar]
- Thomas, S.; Kenneth, D.; Livak, J. Analyzing real-time PCR data by comparative C(T) method. Nat. Protoc. 2008, 3, 1101–1108. [Google Scholar]








| Gene Accession | Conserved Domain (Pfam) | EffectorP Prediction | Effector Probability | WT FPKM | 2 dpi FPKM | 6 dpi FPKM | 15dpi FPKM |
|---|---|---|---|---|---|---|---|
| g10237 | CFEM domain (PF05730) | Apoplastic effector | 0.829 | 12.1 | 1128.3 | 2355.9 | 1165.4 |
| g11649 | CFEM domain (PF05730) | Apoplastic effector | 0.651 | 0.5 | 21.5 | 104.5 | 42.2 |
| g11871 | CFEM domain (PF05730) | Apoplastic effector | 0.672 | 1.1 | 2.3 | 3.6 | 2.3 |
| g3444 | Cutinase (PF01083) | Apoplastic effector | 0.826 | 3.8 | 18.5 | 139.2 | 53.9 |
| g6886 | Cutinase (PF01083) | Apoplastic effector | 0.629 | 4.4 | 42.9 | 183.4 | 76.9 |
| g1968 | Cutinase (PF01083) | Apoplastic effector | 0.667 | 1.7 | 182.6 | 474.5 | 219.6 |
| g12356 | Chitin_bind_1 (PF00187) | Cytoplasmic effector | 0.843 | 0.9 | 4.6 | 5.4 | 3.6 |
| g3110 | DPBB_1 (PF03330) | Apoplastic effector | 0.501 | 1.1 | 2.9 | 3.2 | 2.4 |
| g5502 | DPBB_1 (PF03330) | Apoplastic effector | 0.789 | 1.2 | 8.5 | 12.5 | 7.4 |
| g2511 | DPBB_1 (PF03330) | Apoplastic effector | 0.852 | 0.4 | 0.9 | 9.6 | 3.6 |
| g3960 | LysM domain (PF01476) | Apoplastic effector | 0.896 | 1.9 | 143.2 | 99.3 | 81.4 |
| g7501 | LysM domain (PF01476) | Apoplastic effector | 0.803 | 9.6 | 20.3 | 24.3 | 18.1 |
Disclaimer/Publisher’s Note: The statements, opinions and data contained in all publications are solely those of the individual author(s) and contributor(s) and not of MDPI and/or the editor(s). MDPI and/or the editor(s) disclaim responsibility for any injury to people or property resulting from any ideas, methods, instructions or products referred to in the content. |
© 2024 by the authors. Licensee MDPI, Basel, Switzerland. This article is an open access article distributed under the terms and conditions of the Creative Commons Attribution (CC BY) license (https://creativecommons.org/licenses/by/4.0/).
Share and Cite
Dai, M.; Su, Z.; Zhu, X.; Li, L.; Ye, Z.; Tan, X.; Kong, D.; Liu, X.; Lin, F. Genome-Wide Identification and Characterization of Effector Candidates with Conserved Motif in Falciphora oryzae. Int. J. Mol. Sci. 2024, 25, 650. https://doi.org/10.3390/ijms25010650
Dai M, Su Z, Zhu X, Li L, Ye Z, Tan X, Kong D, Liu X, Lin F. Genome-Wide Identification and Characterization of Effector Candidates with Conserved Motif in Falciphora oryzae. International Journal of Molecular Sciences. 2024; 25(1):650. https://doi.org/10.3390/ijms25010650
Chicago/Turabian StyleDai, Mengdi, Zhenzhu Su, Xueming Zhu, Lin Li, Ziran Ye, Xiangfeng Tan, Dedong Kong, Xiaohong Liu, and Fucheng Lin. 2024. "Genome-Wide Identification and Characterization of Effector Candidates with Conserved Motif in Falciphora oryzae" International Journal of Molecular Sciences 25, no. 1: 650. https://doi.org/10.3390/ijms25010650
APA StyleDai, M., Su, Z., Zhu, X., Li, L., Ye, Z., Tan, X., Kong, D., Liu, X., & Lin, F. (2024). Genome-Wide Identification and Characterization of Effector Candidates with Conserved Motif in Falciphora oryzae. International Journal of Molecular Sciences, 25(1), 650. https://doi.org/10.3390/ijms25010650

