Green Synthesis of Soluble Polysilsesquioxane with Phthalimide Groups
Abstract
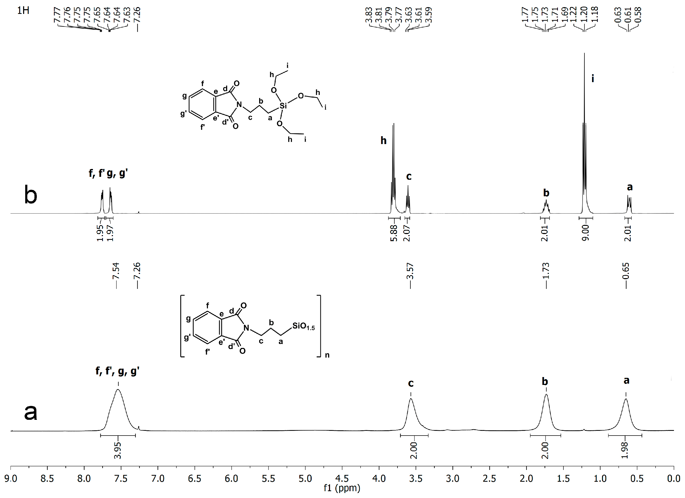
:1. Introduction
2. Results
3. Materials and Methods
3.1. Materials
3.2. Synthesis of 2-[3-(triethoxysilyl)propyl]-1H-isoindole-1,3(2H)-dione monomer
3.3. Synthesis of 2-[3-(silsesquioxanyl)propyl]-1H-isoindole-1,3(2H)-dione (PSQ-PhI)
3.4. Characterization
4. Conclusions
Author Contributions
Funding
Institutional Review Board Statement
Informed Consent Statement
Data Availability Statement
Acknowledgments
Conflicts of Interest
References
- Brook, M. Silicon in Organic, Organometallic, and Polymer Chemistry; John Wiley and Sons, Inc.: Hoboken, NJ, USA, 2000. [Google Scholar]
- Kireev, V.V.; D’yachenko, B.I.; Rybalko, V.P. The structure and thermooxidative transformations of polymethylsilsesquioxanes. Polym. Sci. Ser. A 2008, 50, 394–402. [Google Scholar] [CrossRef]
- Tereshchenko, T.A.; Shevchuk, A.V.; Shevchenko, V.V.; Snegir, S.V.; Pokrovskii, V.A. Alkoxysilyl derivatives of polyhedral oligosilsesquioxanes containing amino and hydroxyl groups and sol-gel hybrid materials on their basis. Polym. Sci. Ser. A 2006, 48, 1248–1256. [Google Scholar] [CrossRef]
- Bauer, F.; Gläsel, H.-J.; Decker, U.; Ernst, H.; Freyer, A.; Hartmann, E.; Sauerland, V.; Mehnert, R. Trialkoxysilane grafting onto nanoparticles for the preparation of clear coat polyacrylate systems with excellent scratch performance. Prog. Org. Coat. 2003, 47, 147–153. [Google Scholar] [CrossRef]
- Feher, F.J.; Blanski, R.L. Olefin polymerization by vanadium-containing silsesquioxanes: Synthesis of a dialkyl-oxo-vanadium(V) complex that initiates ethylene polymerization. J. Am. Chem. Soc. 1992, 114, 5886–5887. [Google Scholar] [CrossRef]
- Feher, F.J.; Budzichowski, T.A.; Ziller, J.W. Synthesis, reactivity, and dynamic behavior of a boron-containing silsesquioxane. Inorg. Chem. 1992, 31, 5100–5105. [Google Scholar] [CrossRef]
- Feher, F.J.; Schwab, J.J.; Phillips, S.H.; Eklund, A.; Martinez, E. Phosphine-Substituted Silsesquioxanes as Building Blocks for Organometallic Gels. Organometallics 1995, 14, 4452–4453. [Google Scholar] [CrossRef]
- Baney, R.H.; Itoh, M.; Sakakibara, A.; Suzuki, T. Silsesquioxanes. Chem. Rev. 1995, 95, 1409–1430. [Google Scholar] [CrossRef]
- Liu, J.-C. A bimetallic siloxane cage model catalyst. Synthesis, characterization and polymerization behaviour of [(c-C6H11)7(Si7O12)MgTiCl3] n (n= 1,2). Chem. Commun. 1996, 1109–1110. [Google Scholar] [CrossRef]
- Corriu, R.J.P.; Leclercq, D. Recent Developments of Molecular Chemistry for Sol–Gel Processes. Angew. Chem. Int. Ed. Engl. 1996, 35, 1420–1436. [Google Scholar] [CrossRef]
- Corriu, R.; Jutzi, P. Tailor-Made Silicon-Oxygen Compounds: From Molecules to Materials; Vieweg+Teubner Verlag: Berlin/Heidelberg, Germany, 1996. [Google Scholar]
- Tanaka, K.; Chujo, Y. Advanced functional materials based on polyhedral oligomeric silsesquioxane (POSS). J. Mater. Chem. 2012, 22, 1733–1746. [Google Scholar] [CrossRef]
- Tosheva, L.; Valtchev, V.P. Nanozeolites: Synthesis, Crystallization Mechanism, and Applications. Chem. Mater. 2005, 17, 2494–2513. [Google Scholar] [CrossRef]
- Kanamori, K. Monolithic silsesquioxane materials with well-defined pore structure. J. Mater. Res. 2014, 29, 2773–2786. [Google Scholar] [CrossRef]
- Sanchez, C.; Belleville, P.; Popall, M.; Nicole, L. Applications of advanced hybrid organic–inorganic nanomaterials: From laboratory to market. Chem. Soc. Rev. 2011, 40, 696. [Google Scholar] [CrossRef] [PubMed]
- Sanchez, C.; Boissiere, C.; Cassaignon, S.; Chaneac, C.; Durupthy, O.; Faustini, M.; Grosso, D.; Laberty-Robert, C.; Nicole, L.; Portehault, D.; et al. Molecular Engineering of Functional Inorganic and Hybrid Materials. Chem. Mater. 2014, 26, 221–238. [Google Scholar] [CrossRef]
- Valtchev, V.; Tosheva, L. Porous Nanosized Particles: Preparation, Properties, and Applications. Chem. Rev. 2013, 113, 6734–6760. [Google Scholar] [CrossRef] [PubMed]
- Kuroda, K.; Shimojima, A.; Kawahara, K.; Wakabayashi, R.; Tamura, Y.; Asakura, Y.; Kitahara, M. Utilization of Alkoxysilyl Groups for the Creation of Structurally Controlled Siloxane-Based Nanomaterials. Chem. Mater. 2014, 26, 211–220. [Google Scholar] [CrossRef]
- Kaneko, Y. Ionic silsesquioxanes: Preparation, structure control, characterization, and applications. Polymer 2018, 144, 205–224. [Google Scholar] [CrossRef]
- Wu, J.; Mather, P.T. POSS Polymers: Physical Properties and Biomaterials Applications. Polym. Rev. 2009, 49, 25–63. [Google Scholar] [CrossRef]
- Kim, S.K.; Heo, S.J.; Koak, J.Y.; Lee, J.H.; Lee, Y.M.; Chung, D.J.; Lee, J.I.; Hong, S.D. A biocompatibility study of a reinforced acrylic-based hybrid denture composite resin with polyhedraloligosilsesquioxane. J. Oral Rehabil. 2007, 34, 389–395. [Google Scholar] [CrossRef]
- Punshon, G.; Vara, D.; Sales, K.; Kidane, A.; Salacinski, H.; Seifalian, A. Interactions between endothelial cells and a poly(carbonate-silsesquioxane-bridge-urea)urethane. Biomaterials 2005, 26, 6271–6279. [Google Scholar] [CrossRef]
- Kannan, R.Y.; Salacinski, H.J.; Ghanavi, J.; Narula, A.; Odlyha, M.; Peirovi, H.; Butler, P.E.; Seifalian, A.M. Silsesquioxane Nanocomposites as Tissue Implants. Plast. Reconstr. Surg. 2007, 119, 1653–1662. [Google Scholar] [CrossRef] [PubMed]
- Kannan, R.; Salacinski, H.; Edirisinghe, M.; Hamilton, G.; Seifalian, A. Polyhedral oligomeric silsequioxane–polyurethane nanocomposite microvessels for an artificial capillary bed. Biomaterials 2006, 27, 4618–4626. [Google Scholar] [CrossRef] [PubMed]
- Kannan, R.Y.; Salacinski, H.J.; De Groot, J.; Clatworthy, I.; Bozec, L.; Horton, M.; Butler, P.E.; Seifalian, A.M. The Antithrombogenic Potential of a Polyhedral Oligomeric Silsesquioxane (POSS) Nanocomposite. Biomacromolecules 2006, 7, 215–223. [Google Scholar] [CrossRef] [PubMed]
- Kannan, R.Y.; Salacinski, H.J.; Sales, K.M.; Butler, P.E.; Seifalian, A.M. The Endothelialization of Polyhedral Oligomeric Silsesquioxane Nanocomposites: An In Vitro Study. Cell Biochem. Biophys. 2006, 45, 129–136. [Google Scholar] [CrossRef] [PubMed]
- Kannan, R.Y.; Salacinski, H.J.; Odlyha, M.; Butler, P.E.; Seifalian, A.M. The degradative resistance of polyhedral oligomeric silsesquioxane nanocore integrated polyurethanes: An in vitro study. Biomaterials 2006, 27, 1971–1979. [Google Scholar] [CrossRef]
- Bredov, N.S.; Shporta, E.Y.; Liu, Y.; Kireev, V.V.; Borisov, R.S.; Gorlov, M.V.; Posokhova, V.F.; Chuev, V.P. Synthesis of oligoorganosilsesquioxanes via acidohydrolytic polycondensation. Polym. Sci. Ser. B 2013, 55, 472–477. [Google Scholar] [CrossRef]
- Olivero, F.; Renò, F.; Carniato, F.; Rizzi, M.; Cannas, M.; Marchese, L. A novel luminescent bifunctional POSS as a molecular platform for biomedical applications. Dalt. Trans. 2012, 41, 7467–7473. [Google Scholar] [CrossRef]
- McCusker, C.; Carroll, J.B.; Rotello, V.M. Cationic polyhedral oligomeric silsesquioxane (POSS) units as carriers for drug delivery processes. Chem. Commun. 2005, 996–998. [Google Scholar] [CrossRef]
- Zou, Q.-C.; Yan, Q.-J.; Song, G.-W.; Zhang, S.-L.; Wu, L.-M. Detection of DNA using cationic polyhedral oligomeric silsesquioxane nanoparticles as the probe by resonance light scattering technique. Biosens. Bioelectron. 2007, 22, 1461–1465. [Google Scholar] [CrossRef]
- Ghanbari, H.; Cousins, B.G.; Seifalian, A.M. A Nanocage for Nanomedicine: Polyhedral Oligomeric Silsesquioxane (POSS). Macromol. Rapid Commun. 2011, 32, 1032–1046. [Google Scholar] [CrossRef]
- Pu, K.; Li, K.; Zhang, X.; Liu, B. Conjugated Oligoelectrolyte Harnessed Polyhedral Oligomeric Silsesquioxane as Light-Up Hybrid Nanodot for Two-Photon Fluorescence Imaging of Cellular Nucleus. Adv. Mater. 2010, 22, 4186–4189. [Google Scholar] [CrossRef] [PubMed]
- Kuksa, V.A.; Pavlov, V.A.; Lin, P.K.T. The synthesis and in vitro cytotoxic studies of novel oxa-spermidine derivatives and homologues. Bioorg. Med. Chem. Lett. 2000, 10, 1265–1267. [Google Scholar] [CrossRef] [PubMed]
- Huang, J.-D.; Liu, E.-S.; Yang, S.-L.; Xue, J.-P.; Chen, N.-S.; Huang, J.-L. Existence States and Activities of ZnPcSP as Photosensitizer Against Cancer in Solutions. Chem. J. Chin. Univ. 2002, 23, 2287–2291. [Google Scholar]
- Panek, D.; Więckowska, A.; Pasieka, A.; Godyń, J.; Jończyk, J.; Bajda, M.; Knez, D.; Gobec, S.; Malawska, B. Design, Synthesis, and Biological Evaluation of 2-(Benzylamino-2-Hydroxyalkyl)Isoindoline-1,3-Diones Derivatives as Potential Disease-Modifying Multifunctional Anti-Alzheimer Agents. Molecules 2018, 23, 347. [Google Scholar] [CrossRef]
- Guzior, N.; Bajda, M.; Skrok, M.; Kurpiewska, K.; Lewiński, K.; Brus, B.; Pišlar, A.; Kos, J.; Gobec, S.; Malawska, B. Development of multifunctional, heterodimeric isoindoline-1,3-dione derivatives as cholinesterase and β-amyloid aggregation inhibitors with neuroprotective properties. Eur. J. Med. Chem. 2015, 92, 738–749. [Google Scholar] [CrossRef]
- Szkatuła, D.; Krzyżak, E.; Stanowska, P.; Duda, M.; Wiatrak, B. A New N-Substituted 1H-Isoindole-1,3(2H)-Dione Derivative—Synthesis, Structure and Affinity for Cyclooxygenase Based on In Vitro Studies and Molecular Docking. Int. J. Mol. Sci. 2021, 22, 7678. [Google Scholar] [CrossRef]
- Jaroentomeechai, T.; Yingsukkamol, P.; Phurat, C.; Somsook, E.; Osotchan, T.; Ervithayasuporn, V. Synthesis and Reactivity of Nitrogen Nucleophiles-Induced Cage-Rearrangement Silsesquioxanes. Inorg. Chem. 2012, 51, 12266–12272. [Google Scholar] [CrossRef]
- Cai, H.; Zhang, L.; Xiong, Y.; Qu, Q.; Tang, H. Synthesis and Characterization of High Refractive Index MT Siloxane Oligomers. J. Inorg. Organomet. Polym. Mater. 2014, 24, 780–785. [Google Scholar] [CrossRef]
- Miyauchi, S.; Sugioka, T.; Sumida, Y.; Kaneko, Y. Preparation of soluble polysilsesquioxane containing phthalimido side-chain groups and its optical and thermal properties. Polymer 2015, 66, 122–126. [Google Scholar] [CrossRef]
- Anastas, P.T.; Warner, J.C. Green Chemistry: Theory and Practice; Oxford University Press: Oxford, UK, 1998. [Google Scholar]
- Seki, H.; Kajiwara, T.; Abe, Y.; Gunji, T. Synthesis and structure of ladder polymethylsilsesquioxanes from sila-functionalized cyclotetrasiloxanes. J. Organomet. Chem. 2010, 695, 1363–1369. [Google Scholar] [CrossRef]
- Mori, H.; Sada, C.; Konno, T.; Yonetake, K. Synthesis and characterization of low-refractive-index fluorinated silsesquioxane-based hybrids. Polymer 2011, 52, 5452–5463. [Google Scholar] [CrossRef]
- Ferreira, P.; Alves, P.; Coimbra, P.; Gil, M.H. Improving polymeric surfaces for biomedical applications: A review. J. Coat. Technol. Res. 2015, 12, 463–475. [Google Scholar] [CrossRef]
- Dragostin, O.; Profire, L. Molecular weight of polymers used in biomedical applications. In Characterization of Polymeric Biomaterials; Elsevier: Amsterdam, The Netherlands, 2017; pp. 101–121. [Google Scholar]
- Nam, K.-H.; Lee, T.-H.; Bae, B.-S.; Popall, M. Condensation reaction of 3-(methacryloxypropyl)-trimethoxysilane and diisobutylsilanediol in non-hydrolytic sol-gel process. J. Sol-Gel Sci. Technol. 2006, 39, 255–260. [Google Scholar] [CrossRef]
- Sato, Y.; Hayami, R.; Gunji, T. Characterization of NMR, IR, and Raman spectra for siloxanes and silsesquioxanes: A mini review. J. Sol-Gel Sci. Technol. 2022, 104, 36–52. [Google Scholar] [CrossRef]
- Sakuragi, A.; Igarashi, Y.; Kajihara, K.; Kanamura, K. Synthesis of silanol-rich long-life polysilsesquioxane liquids by cosolvent-free hydrolytic polycondensation of organotrimethoxysilanes followed by aging. Dalt. Trans. 2016, 45, 3151–3157. [Google Scholar] [CrossRef]
- Unno, M.; Suto, A.; Matsumoto, T. Laddersiloxanes—Silsesquioxanes with defined ladder structure. Russ. Chem. Rev. 2013, 82, 289–302. [Google Scholar] [CrossRef]
- Chen, X.; Eldred, D.; Liu, J.; Chiang, H.; Wang, X.; Rickard, M.A.; Tu, S.; Cui, L.; LaBeaume, P.; Skinner, K. Simultaneous In Situ Monitoring of Trimethoxysilane Hydrolysis Reactions Using Raman, Infrared, and Nuclear Magnetic Resonance (NMR) Spectroscopy Aided by Chemometrics and Ab Initio Calculations. Appl. Spectrosc. 2018, 72, 1404–1415. [Google Scholar] [CrossRef]
- Dirè, S.; Borovin, E.; Ribot, F. Architecture of Silsesquioxanes. In Handbook of Sol-Gel Science and Technology; Springer International Publishing: Cham, Switzerland, 2018; pp. 3119–3151. [Google Scholar]
- Pohl, S.; Janka, O.; Füglein, E.; Kickelbick, G. Thermoplastic Silsesquioxane Hybrid Polymers with a Local Ladder-Type Structure. Macromolecules 2021, 54, 3873–3885. [Google Scholar] [CrossRef]
- Han, X.; Zhang, X.; Guo, Y.; Liu, X.; Zhao, X.; Zhou, H.; Zhang, S.; Zhao, T. Synergistic Effects of Ladder and Cage Structured Phosphorus-Containing POSS with Tetrabutyl Titanate on Flame Retardancy of Vinyl Epoxy Resins. Polymers 2021, 13, 1363. [Google Scholar] [CrossRef] [PubMed]
- Andrianov, K.A.; Slonimsky, G.L.; Zhdanov, A.A.; Tsvankin, D.Y.; Levin, V.Y.; Papkov, V.S.; Kvachev, Y.P.; Belavtseva, E.M. Morphology of organosilicon ladder polymers. J. Polym. Sci. Polym. Chem. Ed. 1976, 14, 1205–1212. [Google Scholar] [CrossRef]
- Liu, C.; Liu, Y.; Shen, Z.; Xie, P.; Dai, D.; Zhang, R.; He, C.; Chung, T. Synthesis and Characterization of Novel Alcohol-Soluble Ladderlike Poly(silsesquioxane)s Containing Side-Chain Hydroxy Groups. Macromol. Chem. Phys. 2001, 202, 1576–1580. [Google Scholar] [CrossRef]
- Sun, J.; Tang, H.; Jiang, J.; Xie, P.; Zhang, R.; Fu, P.-F.; Wu, Q. H-bonding assisted template synthesis of a novel ladder-like organo-bridged polymethylsiloxane. Polymer 2003, 44, 2867–2874. [Google Scholar] [CrossRef]
- Klug, H.P.; Alexander, L.E. X-ray Diffraction Procedures: For Polycrystalline and Amorphous Materials, 2nd ed.; Wiley: New York, NY, USA, 1974. [Google Scholar]
- Gel’man, N.E.; Terent’eva, E.A.; Shanina, G.M.; Kiparenko, L.M.; Rezl, V. Methods of Quantitative Organic Elemental Microanalysis; Khimiya: Moscow, Russia, 1987. [Google Scholar]













Disclaimer/Publisher’s Note: The statements, opinions and data contained in all publications are solely those of the individual author(s) and contributor(s) and not of MDPI and/or the editor(s). MDPI and/or the editor(s) disclaim responsibility for any injury to people or property resulting from any ideas, methods, instructions or products referred to in the content. |
© 2023 by the authors. Licensee MDPI, Basel, Switzerland. This article is an open access article distributed under the terms and conditions of the Creative Commons Attribution (CC BY) license (https://creativecommons.org/licenses/by/4.0/).
Share and Cite
Emel’yanov, A.I.; Bolgova, Y.I.; Trofimova, O.M.; Pozdnyakov, A.S. Green Synthesis of Soluble Polysilsesquioxane with Phthalimide Groups. Int. J. Mol. Sci. 2024, 25, 57. https://doi.org/10.3390/ijms25010057
Emel’yanov AI, Bolgova YI, Trofimova OM, Pozdnyakov AS. Green Synthesis of Soluble Polysilsesquioxane with Phthalimide Groups. International Journal of Molecular Sciences. 2024; 25(1):57. https://doi.org/10.3390/ijms25010057
Chicago/Turabian StyleEmel’yanov, Artem I., Yuliya I. Bolgova, Olga M. Trofimova, and Alexander S. Pozdnyakov. 2024. "Green Synthesis of Soluble Polysilsesquioxane with Phthalimide Groups" International Journal of Molecular Sciences 25, no. 1: 57. https://doi.org/10.3390/ijms25010057
APA StyleEmel’yanov, A. I., Bolgova, Y. I., Trofimova, O. M., & Pozdnyakov, A. S. (2024). Green Synthesis of Soluble Polysilsesquioxane with Phthalimide Groups. International Journal of Molecular Sciences, 25(1), 57. https://doi.org/10.3390/ijms25010057

