Analysis of the Methylation Level of the DAT1 Dopamine Transporter Gene in Patients Addicted to Stimulants, Taking into Account an Analysis of Personality Traits
Abstract
:1. Introduction
2. Results
3. Discussion
4. Materials and Methods
4.1. Participants
4.2. Assessment of the Methylation Status of the Dopamine Gene Transporter (DAT1) Promoter
4.3. Statistical Analysis
5. Conclusions
Author Contributions
Funding
Institutional Review Board Statement
Informed Consent Statement
Data Availability Statement
Conflicts of Interest
References
- Nwonu, C.N.S.; Nwonu, P.C.; Ude, R.A. Neurobiological Underpinnings in Drug Addiction. West. Afr. J. Med. 2022, 39, 874–884. [Google Scholar] [PubMed]
- Liu, J.; Wu, R.; Li, J.-X. TAAR1 and Psychostimulant Addiction. Cell. Mol. Neurobiol. 2020, 40, 229–238. [Google Scholar] [CrossRef] [PubMed]
- Lappin, J.M.; Sara, G.E. Psychostimulant Use and the Brain. Addiction 2019, 114, 2065–2077. [Google Scholar] [CrossRef] [PubMed]
- Moriyama, T.S.; Polanczyk, G.V.; Terzi, F.S.; Faria, K.M.; Rohde, L.A. Psychopharmacology and Psychotherapy for the Treatment of Adults with ADHD—A Systematic Review of Available Meta-Analyses. CNS Spectr. 2013, 18, 296–306. [Google Scholar] [CrossRef] [PubMed]
- Kreek, M.J.; Nielsen, D.A.; LaForge, K.S. Genes Associated with Addiction: Alcoholism, Opiate, and Cocaine Addiction. Neuromolecular Med. 2004, 5, 85–108. [Google Scholar] [CrossRef] [PubMed]
- Blanco-Gandia, M.C.; Montagud-Romero, S.; Rodríguez-Arias, M. Binge Eating and Psychostimulant Addiction. World J. Psychiatry 2021, 11, 517. [Google Scholar] [CrossRef]
- Nestler, E.J. Molecular Basis of Long-Term Plasticity Underlying Addiction. Nat. Rev. Neurosci. 2001, 2, 119–128. [Google Scholar] [CrossRef]
- Robison, A.J.; Nestler, E.J. Transcriptional and Epigenetic Mechanisms of Addiction. Nat. Rev. Neurosci. 2011, 12, 623–637. [Google Scholar] [CrossRef]
- Vassoler, F.M.; Sadri-Vakili, G. Mechanisms of Transgenerational Inheritance of Addictive-like Behaviors. Neuroscience 2014, 264, 198–206. [Google Scholar] [CrossRef]
- Waddington, C.H. The Epigenotype. 1942. Int. J. Epidemiol. 2012, 41, 10–13. [Google Scholar] [CrossRef]
- Lüscher, C. The Emergence of a Circuit Model for Addiction. Annu. Rev. Neurosci. 2016, 39, 257–276. [Google Scholar] [CrossRef] [PubMed]
- Baik, J.H. Dopamine Signaling in Reward-Related Behaviors. Front. Neural Circuits 2013, 7, 152. [Google Scholar] [CrossRef] [PubMed]
- Sullivan, D.; Pinsonneault, J.K.; Papp, A.C.; Zhu, H.; Lemeshow, S.; Mash, D.C.; Sadee, W. Dopamine Transporter DAT and Receptor DRD2 Variants Affect Risk of Lethal Cocaine Abuse: A Gene-Gene-Environment Interaction. Transl. Psychiatry 2013, 3, e222. [Google Scholar] [CrossRef] [PubMed]
- Merchant, B.A.; Madura, J.D. Insights from Molecular Dynamics: The Binding Site of Cocaine in the Dopamine Transporter and Permeation Pathways of Substrates in the Leucine and Dopamine Transporters. J. Mol. Graph. Model. 2012, 38, 1–12. [Google Scholar] [CrossRef] [PubMed]
- Norregaard, L.; Gether, U. The Monoamine Neurotransmitter Transporters: Structure, Conformational Changes and Molecular Gating. Curr. Opin. Drug Discov. Devel 2001, 4, 591–601. [Google Scholar] [PubMed]
- Khodayari, N.; Garshasbi, M.; Fadai, F.; Rahimi, A.; Hafizi, L.; Ebrahimi, A.; Najmabadi, H.; Ohadi, M. Association of the Dopamine Transporter Gene (DAT1) Core Promoter Polymorphism -67T Variant with Schizophrenia. Am. J. Med. Genet. B Neuropsychiatr. Genet. 2004, 129, 10–12. [Google Scholar] [CrossRef] [PubMed]
- Zhang, H.; Li, S.; Wang, M.; Vukusic, B.; Pristupa, Z.B.; Liu, F. Regulation of Dopamine Transporter Activity by Carboxypeptidase E. Mol. Brain 2009, 2, 10. [Google Scholar] [CrossRef]
- De Nardi, L.; Carpentieri, V.; Pascale, E.; Pucci, M.; D’addario, C.; Cerniglia, L.; Adriani, W.; Cimino, S. Involvement of DAT1 Gene on Internet Addiction: Cross-Correlations of Methylation Levels in 5′-UTR and 3′-UTR Genotypes, Interact with Impulsivity and Attachment-Driven Quality of Relationships. Int. J. Environ. Res. Public. Health 2020, 17, 7956. [Google Scholar] [CrossRef]
- Garris, P.A.; Ciolkowski, E.L.; Pastore, P.; Wightman, R.M. Efflux of Dopamine from the Synaptic Cleft in the Nucleus Accumbens of the Rat Brain. J. Neurosci. 1994, 14, 6084–6093. [Google Scholar] [CrossRef]
- Hersch, S.M.; Yi, H.; Heilman, C.J.; Edwards, R.H.; Levey, A.I. Subcellular Localization and Molecular Topology of the Dopamine Transporter in the Striatum and Substantia Nigra. J. Comp. Neurol. 1997, 388, 211–217. [Google Scholar] [CrossRef]
- Mohamed Jaber Monoamine Transporters. In Psychopharmacogenetics; Springer: Boston, MA, USA, 2006; pp. 333–355.
- Ducci, F.; Goldman, D. The Genetic Basis of Addictive Disorders. Psychiatr. Clin. North. Am. 2012, 35, 495–519. [Google Scholar] [CrossRef] [PubMed]
- Walker, D.M.; Nestler, E.J. Neuroepigenetics and Addiction. Handb. Clin. Neurol. 2018, 148, 747. [Google Scholar] [CrossRef] [PubMed]
- Smith, A.C.W.; Kenny, P.J. MicroRNAs Regulate Synaptic Plasticity Underlying Drug Addiction. Genes. Brain Behav. 2018, 17, e12424. [Google Scholar] [CrossRef] [PubMed]
- Jia, X.; Wang, F.; Han, Y.; Geng, X.; Li, M.; Shi, Y.; Lu, L.; Chen, Y. MiR-137 and MiR-491 Negatively Regulate Dopamine Transporter Expression and Function in Neural Cells. Neurosci. Bull. 2016, 32, 512. [Google Scholar] [CrossRef] [PubMed]
- Cimino, S.; Cerniglia, L.; Ballarotto, G.; Marzilli, E.; Pascale, E.; D’Addario, C.; Adriani, W.; Icro Maremmani, A.G.; Tambelli, R. Children’s DAT1 Polymorphism Moderates the Relationship Between Parents’ Psychological Profiles, Children’s DAT Methylation, and Their Emotional/Behavioral Functioning in a Normative Sample. Int. J. Environ. Res. Public. Health 2019, 16, 2567. [Google Scholar] [CrossRef] [PubMed]
- Rhodes, J.S.; Crabbe, J.C. Gene Expression Induced by Drugs of Abuse. Curr. Opin. Pharmacol. 2005, 5, 26–33. [Google Scholar] [CrossRef] [PubMed]
- Laplant, Q.; Vialou, V.; Covington, H.E.; Dumitriu, D.; Feng, J.; Warren, B.L.; Maze, I.; Dietz, D.M.; Watts, E.L.; Iñiguez, S.D.; et al. Dnmt3a Regulates Emotional Behavior and Spine Plasticity in the Nucleus Accumbens. Nat. Neurosci. 2010, 13, 1137–1143. [Google Scholar] [CrossRef]
- Han, J.; Li, Y.; Wang, D.; Wei, C.; Yang, X.; Sui, N. Effect of 5-Aza-2-Deoxycytidine Microinjecting into Hippocampus and Prelimbic Cortex on Acquisition and Retrieval of Cocaine-Induced Place Preference in C57BL/6 Mice. Eur. J. Pharmacol. 2010, 642, 93–98. [Google Scholar] [CrossRef]
- Barros, M.; Dempster, E.L.; Illott, N.; Chabrawi, S.; Maior, R.S.; Tomaz, C.; De Souza Silva, M.A.; Huston, J.P.; Mill, J.; Müller, C.P. Decreased Methylation of the NK3 Receptor Coding Gene (TACR3) after Cocaine-Induced Place Preference in Marmoset Monkeys. Addict. Biol. 2013, 18, 452–454. [Google Scholar] [CrossRef]
- Anier, K.; Malinovskaja, K.; Aonurm-Helm, A.; Zharkovsky, A.; Kalda, A. DNA Methylation Regulates Cocaine-Induced Behavioral Sensitization in Mice. Neuropsychopharmacology 2010, 35, 2450–2461. [Google Scholar] [CrossRef]
- Waterland, R.A. Assessing the Effects of High Methionine Intake on DNA Methylation. J. Nutr. 2006, 136, 1706S–1710S. [Google Scholar] [CrossRef] [PubMed]
- Weaver, I.C.G.; Champagne, F.A.; Brown, S.E.; Dymov, S.; Sharma, S.; Meaney, M.J.; Szyf, M. Reversal of Maternal Programming of Stress Responses in Adult Offspring through Methyl Supplementation: Altering Epigenetic Marking Later in Life. J. Neurosci. 2005, 25, 11045–11054. [Google Scholar] [CrossRef] [PubMed]
- Roth, T.L.; Lubin, F.D.; Funk, A.J.; Sweatt, J.D. Lasting Epigenetic Influence of Early-Life Adversity on the BDNF Gene. Biol. Psychiatry 2009, 65, 760–769. [Google Scholar] [CrossRef] [PubMed]
- Anier, K.; Zharkovsky, A.; Kalda, A. S-Adenosylmethionine Modifies Cocaine-Induced DNA Methylation and Increases Locomotor Sensitization in Mice. Int. J. Neuropsychopharmacol. 2013, 16, 2053–2066. [Google Scholar] [CrossRef]
- Kalda, A.; Zharkovsky, A. Epigenetic Mechanisms of Psychostimulant-Induced Addiction. Int. Rev. Neurobiol. 2015, 120, 85–105. [Google Scholar] [CrossRef]
- Jasiewicz, A.; Rubiś, B.; Samochowiec, J.; Małecka, I.; Suchanecka, A.; Jabłoński, M.; Grzywacz, A. DAT1 Methylation Changes in Alcohol-Dependent Individuals vs. Controls. J. Psychiatr. Res. 2015, 64, 130–133. [Google Scholar] [CrossRef]



| CpG Site | Study Groups Methylation Level n (%) | Test χ2 | p Value | OR | CL −95; +95 | |
|---|---|---|---|---|---|---|
| Stimulant Dependence | Controls | |||||
| n = 226 | n = 290 | |||||
| 1 | 98 | 175 | 14.702 | 0.0001 | 1.99 * | 1.40; 2.83 |
| 43.36% | 60.34% | |||||
| 2 | 160 | 225 | 3.091 | 0.0787 | 1.43 | 0.96; 2.13 |
| 70.80% | 77.59% | |||||
| 3 | 208 | 252 | 3.467 | 0.0626 | 0.57 | 0.31; 1.04 |
| 92.04% | 86.90% | |||||
| 4 | 51 | 75 | 0.747 | 0.3873 | 1.20 | 0.80; 1.80 |
| 22.57% | 25.86% | |||||
| 5 | 65 | 97 | 1.295 | 0.2550 | 1.24 | 0.85; 1.82 |
| 28.76% | 33.45% | |||||
| 6 | 25 | 36 | 0.222 | 0.6370 | 1.14 | 0.66; 1.96 |
| 11.06% | 12.41% | |||||
| 7 | 28 | 45 | 1.023 | 0.3117 | 1.30 | 0.78; 2.16 |
| 12.39% | 15.52% | |||||
| 8 | 10 | 12 | 0.023 | 0.8794 | 0.93 | 0.40; 2.21 |
| 4.42% | 4.15% | |||||
| 9 | 73 | 120 | 4.471 | 0.0344 | 1.48 * | 1.03; 2.13 |
| 32.30% | 41.38% | |||||
| 10 | 80 | 106 | 0.054 | 0.8154 | 1.04 | 0.73; 1.50 |
| 35.56% | 36.55% | |||||
| 11 | 7 | 13 | 0.654 | 0.4185 | 1.47 | 0.58; 3.74 |
| 3.10% | 4.48% | |||||
| 12 | 62 | 86 | 0.306 | 0.5799 | 1.11 | 0.76; 1.64 |
| 27.43% | 29.66% | |||||
| 13 | 13 | 15 | 0.083 | 0.7730 | 0.89 | 0.42; 1.91 |
| 5.75% | 5.17% | |||||
| 14 | 181 | 256 | 6.566 | 0.0104 | 1.87 * | 1.15; 3.04 |
| 80.09% | 88.28% | |||||
| 15 | 182 | 237 | 0.118 | 0.7307 | 1.08 | 0.69; 1.69 |
| 80.53% | 81.72% | |||||
| 16 | 138 | 185 | 0.40 | 0.5246 | 1.12 | 0.78; 1.61 |
| 61.06% | 63.79% | |||||
| 17 | 69 | 84 | 0.149 | 0.6993 | 0.92 | 0.63; 1.36 |
| 30.53% | 28.97% | |||||
| 18 | 12 | 24 | 1.722 | 0.1895 | 1.61 | 0.79; 3.29 |
| 5.31% | 8.28% | |||||
| 19 | 214 | 276 | 0.062 | 0.8038 | 1.10 | 0.50; 2.44 |
| 94.69% | 95.17% | |||||
| 20 | 98 | 125 | 0.003 | 0.9529 | 0.99 | 0.70; 1.41 |
| 43.36% | 43.10% | |||||
| 21 | 158 | 191 | 0.951 | 0.3293 | 0.83 | 0.57; 1.21 |
| 69.91% | 65.86% | |||||
| 22 | 206 | 265 | 0.008 | 0.9272 | 1.03 | 0.56; 1.90 |
| 91.15% | 91.38% | |||||
| 23 | 41 | 55 | 0.057 | 0.8114 | 1.06 | 0.67; 1.65 |
| 18.14% | 18.97% | |||||
| 24 | 153 | 205 | 0.535 | 0.4646 | 1.15 | 0.78; 1.68 |
| 67.70% | 70.69% | |||||
| 25 | 63 | 93 | 1.059 | 0.3035 | 1.22 | 0.83; 1.79 |
| 27.88% | 32.07% | |||||
| 26 | 95 | 116 | 0.219 | 0.6408 | 0.92 | 0.65; 1.31 |
| 42.04% | 40.00% | |||||
| 27 | 41 | 51 | 0.027 | 0.8701 | 0.96 | 0.61; 1.52 |
| 18.14% | 17.59% | |||||
| 28 | 150 | 198 | 0.210 | 0.6470 | 1.09 | 0.75; 1.58 |
| 66.37% | 68.28% | |||||
| 29 | 52 | 64 | 0.064 | 0.7997 | 0.95 | 0.63; 1.44 |
| 23.01% | 22.07% | |||||
| 30 | 27 | 29 | 0.498 | 0.4805 | 0.81 | 0.47; 1.43 |
| 11.95% | 10.00% | |||||
| 31 | 14 | 16 | 0.106 | 0.7442 | 0.88 | 0.42; 1.85 |
| 6.19% | 5.52% | |||||
| 32 | 164 | 182 | 5.531 | 0.0186 | 0.64 * | 0.44; 0.93 |
| 72.57% | 62.76% | |||||
| 33 | 187 | 201 | 12.287 | 0.0005 | 0.47 * | 0.31; 0.72 |
| 82.74% | 69.31% | |||||
| Z | p-Value | |||||
| Total Methylation Level (%) * | 41.02 ± 15.22 | 42.36 ± 15.70 | −1.172 | 0.2411 | ||
| Number of Methylation Islands * | 13.54 ± 5.02 | 13.98 ± 5.18 | −1.172 | 0.2411 | ||
| NEO FFI | Stimulant Dependence | Control | Z |
|---|---|---|---|
| n = 226 | n = 290 | (p-Value) | |
| Neuroticism/scale * | 6.58 ± 2.17 | 4.61 ± 1.96 | 9.632 (<0.00001) |
| Extraversion/scale * | 5.84 ± 2.15 | 6.36 ± 1.99 | −2.668 (0.0076) |
| Openness/scale * | 5.01 ± 2.01 | 4.50 ± 1.60 | 2.841 (0.0045) |
| Agreeability/scale * | 4.28 ± 1.91 | 5.59 ± 2.09 | −7.001 (<0.00001) |
| Conscientiousness/scale * | 5.60 ± 2.30 | 6.10 ± 2.14 | −2.380 (0.0173) |
| Neuroticism Scale | Extraversion Scale | Openness Scale | Agreeability Scale | Conscientiousness Scale | |
|---|---|---|---|---|---|
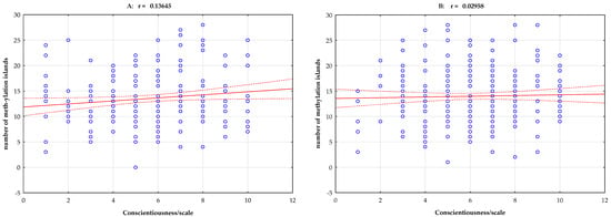
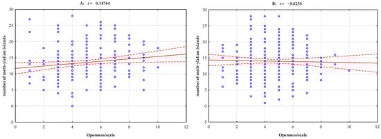
| Number of methylation islands | r = −0.154 * | r = −0.021 | r = 0.148 * | r = 0.060 | r = 0.137 * |
| Stimulant dependence | (p = 0.020) | (p = 0.753) | (p = 0.026) | (p = 0.371) | (p = 0.040) |
| Number of methylation islands | r = 0.001 | r = −0.069 | r = −0.025 | r = 0.084 | r = 0.030 |
| Controls | (p = 0.983) | (p = 0.238) | (p = 0.665) | (p = 0.155) | (p = 0.616) |
| Stimulant Dependence | Controls | |
|---|---|---|
| n | 226 | 290 |
| Age M (SD) | 27.61 (5.84) | 22.17 (4.61) |
| Number of Cycles | PCR Step | Temperature | Time |
|---|---|---|---|
| 1 | Initial Denaturation | 94 °C | 5:00 |
| Denaturation | 94 °C | 0:25 | |
| 35 | Annealing | 61 °C | 0:25 |
| Elongation | 72 °C | 0:25 | |
| 1 | Final elongation | 72 °C | 5:00 |
Disclaimer/Publisher’s Note: The statements, opinions and data contained in all publications are solely those of the individual author(s) and contributor(s) and not of MDPI and/or the editor(s). MDPI and/or the editor(s) disclaim responsibility for any injury to people or property resulting from any ideas, methods, instructions or products referred to in the content. |
© 2023 by the authors. Licensee MDPI, Basel, Switzerland. This article is an open access article distributed under the terms and conditions of the Creative Commons Attribution (CC BY) license (https://creativecommons.org/licenses/by/4.0/).
Share and Cite
Recław, R.; Lachowicz, M.; Chmielowiec, K.; Chmielowiec, J.; Strońska-Pluta, A.; Kowalski, M.T.; Kudliński, B.; Grzywacz, A. Analysis of the Methylation Level of the DAT1 Dopamine Transporter Gene in Patients Addicted to Stimulants, Taking into Account an Analysis of Personality Traits. Int. J. Mol. Sci. 2024, 25, 532. https://doi.org/10.3390/ijms25010532
Recław R, Lachowicz M, Chmielowiec K, Chmielowiec J, Strońska-Pluta A, Kowalski MT, Kudliński B, Grzywacz A. Analysis of the Methylation Level of the DAT1 Dopamine Transporter Gene in Patients Addicted to Stimulants, Taking into Account an Analysis of Personality Traits. International Journal of Molecular Sciences. 2024; 25(1):532. https://doi.org/10.3390/ijms25010532
Chicago/Turabian StyleRecław, Remigiusz, Milena Lachowicz, Krzysztof Chmielowiec, Jolanta Chmielowiec, Aleksandra Strońska-Pluta, Michał Tomasz Kowalski, Bartosz Kudliński, and Anna Grzywacz. 2024. "Analysis of the Methylation Level of the DAT1 Dopamine Transporter Gene in Patients Addicted to Stimulants, Taking into Account an Analysis of Personality Traits" International Journal of Molecular Sciences 25, no. 1: 532. https://doi.org/10.3390/ijms25010532
APA StyleRecław, R., Lachowicz, M., Chmielowiec, K., Chmielowiec, J., Strońska-Pluta, A., Kowalski, M. T., Kudliński, B., & Grzywacz, A. (2024). Analysis of the Methylation Level of the DAT1 Dopamine Transporter Gene in Patients Addicted to Stimulants, Taking into Account an Analysis of Personality Traits. International Journal of Molecular Sciences, 25(1), 532. https://doi.org/10.3390/ijms25010532

