Shiga Toxin, Stx2e, Influences the Activity of Porcine Lymphocytes In Vitro
Abstract
1. Introduction
2. Results
2.1. Proliferation Activity
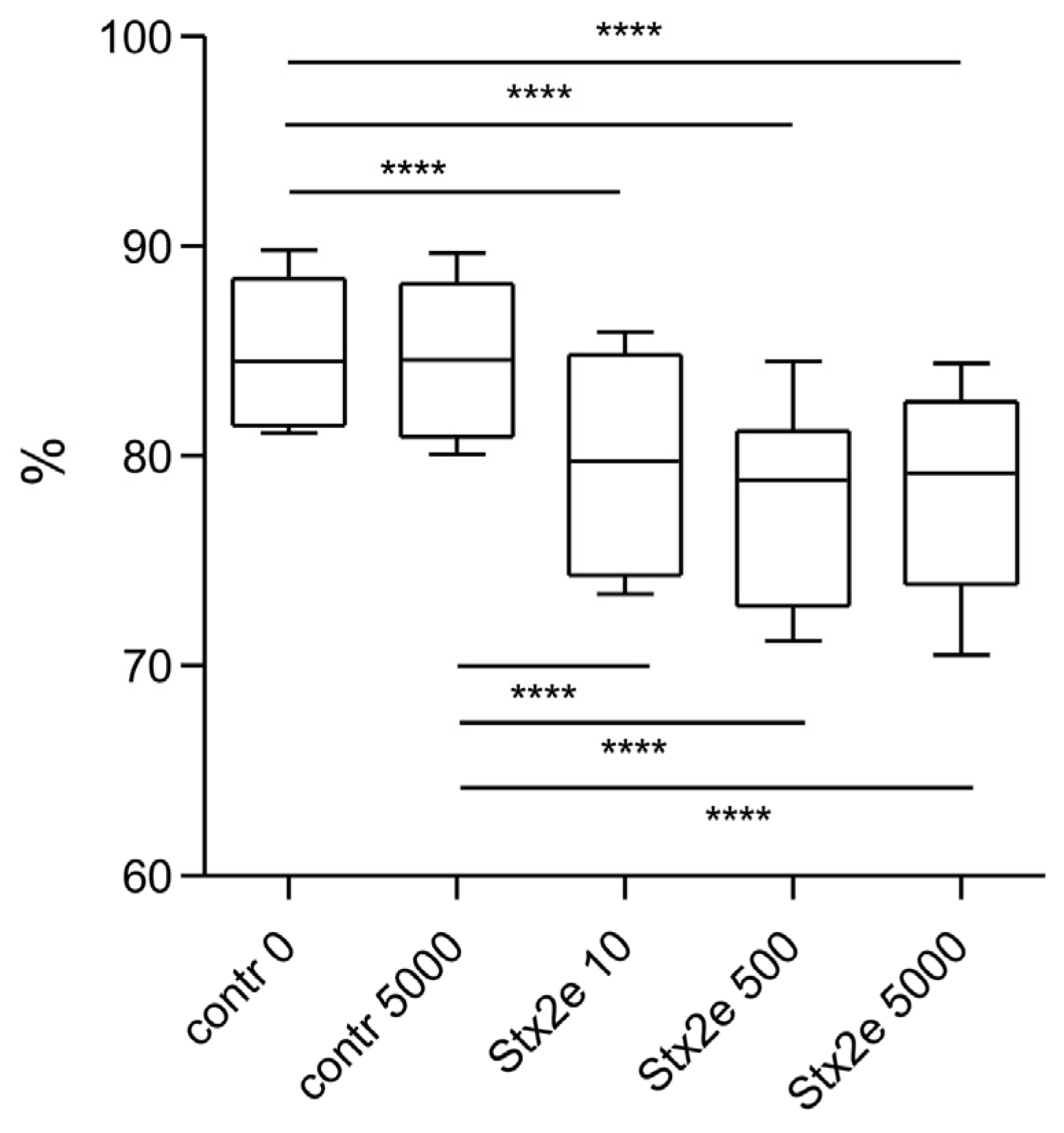
2.2. Viability of Cells after Stx2e Exposure
2.3. CD25 Expression on Lymphocyte Subpopulations
2.4. Proliferation Activity of Particular Lymphocyte Subsets
3. Discussion
4. Material and Methods
4.1. Stx2e and Control Preparation
4.2. Animals, Cell Isolation, and Culture
4.3. Proliferation Activity Assay
4.4. Flow Cytometry Analysis of Viability and CD25 Expression in Lymphocyte Subpopulations
4.5. Flow Cytometry Analysis of Proliferation Activity in Lymphocyte Subpopulations
4.6. Statistical Analysis and Data Presentation
Supplementary Materials
Author Contributions
Funding
Institutional Review Board Statement
Informed Consent Statement
Data Availability Statement
Acknowledgments
Conflicts of Interest
References
- Fricke, R.; Bastert, O.; Gotter, V.; Brons, N.; Kamp, J.; Selbitz, H.J. Implementation of a vaccine against Shiga toxin 2e in a piglet producing farm with problems of Oedema disease: Case study. Porc. Health Manag. 2015, 1, 6. [Google Scholar] [CrossRef] [PubMed]
- Bertschinger, H.; Gyles, C.L. Oedema disease of pigs. In Escherichia coli in Domestic Animals and Humans; CAB International: Wallinford, UK, 1994; pp. 193–213. [Google Scholar]
- Smith, H.W.; Halls, S. The production of odema disease and diarrhoea I weaned pigs by the oral administration of Escherichia coli: Factors that influence the course of the experimental disease. J. Med. Microbiol. 1968, 1, 15–59. [Google Scholar] [CrossRef] [PubMed]
- Kausche, F.M.; Dean, E.A.; Arp, L.H.; Samuel, J.E.; Moon, H.W. An experimental model for subclinical edema disease (Escherichia coli enterotoxemia) manifest as vascular necrosis in pigs. Am. J. Vet. Res. 1992, 53, 281–287. [Google Scholar] [PubMed]
- Sperling, D.; Isaka, N.; Karembe, H.; Vanhara, J.; Vinduska, J.; Strakova, N.; Kalova, A.; Kolackova, I.; Karpiskova, R. Effect of the vaccination against Shiga toxin 2e in a farm with history of oedema disease, caused by atypical Escherichia coli producing Shiga toxin (STEC). Vet. Med. 2022, 67, 510–518. [Google Scholar] [CrossRef]
- Linggood, M.A.; Thompson, J.M. Verotoxin production among porcine strains of Escherichia coli and its association with oedema disease. J. Med. Microbiol. 1987, 24, 359–362. [Google Scholar] [CrossRef]
- Baranzoni, G.M.; Fratamico, P.M.; Gangiredla, J.; Patel, I.; Bagi, L.K.; Delannoy, S.; Fach, P.; Boccia, F.; Anastasio, A.; Pepe, T. Characterization of shiga toxin subtypes and virulence genes in porcine shiga toxin-producing Escherichia coli. Front. Microbiol. 2016, 7, 574. [Google Scholar] [CrossRef]
- Ling, H.; Pannu, N.S.; Boodhoo, A.; Armstrong, G.D.; Clark, C.G.; Brunton, J.L.; Read, R.J. A mutant Shiga-like toxin IIe bound to its receptor Gb(3): Structure of a group II Shiga-like toxin with altered binding specificity. Structure 2000, 8, 253–264. [Google Scholar] [CrossRef]
- DeGrandis, S.; Law, H.; Brunton, J.; Gyles, C.; Lingwood, C.A. Globotetraosylceramide is recognized by the pig edema disease toxin. J. Biol. Chem. 1989, 264, 12520–12525. [Google Scholar] [CrossRef]
- Steil, D.; Bonse, R.; Meisen, I.; Pohlentz, G.; Vallejo, G.; Karch, H.; Müthing, J. A topographical atlas of shiga toxin 2e receptor distribution in the tissue of weaned piglets. Toxins 2016, 8, 357. [Google Scholar] [CrossRef]
- Winter, K.R.K.; Stoffregen, W.C.; Dean-Nystrom, E.A. Shiga toxin binding to isolated porcine tissues and peripheral blood leukocytes. Infect. Immunol. 2004, 72, 6680–6684. [Google Scholar] [CrossRef]
- Clugston, R.E.; Nielsen, N.O.; Smith, D.L.T. Experimental edema disease of swine (E. coli enterotoxemia). III. Pathology and pathogenesis. Can. J. Comp. Med. 1974, 38, 34–43. [Google Scholar] [PubMed]
- Menge, C.L.H.; Wieler, T.S.; Baljer, G. Shiga toxin 1 from Escherichia coli blocks activation and proliferation of bovine lymphocyte subpopulations in vitro. Infect. Immun. 1999, 67, 2209–2217. [Google Scholar] [CrossRef] [PubMed]
- Cohen, A.; Madrid-Marina, V.; Estrov, Z.; Freedman, M.H.; Lingwood, C.A.; Dosch, H.M. Expression of glycolipid receptors to Shiga-like toxin on human B lymphocytes: A mechanism for the failure of long-lived antibody response to dysenteric disease. Int. Immunol. 1990, 2, 1–8. [Google Scholar] [CrossRef] [PubMed]
- Ramegowda, B.; and Tesh, V.I. Differenctiation-associated toxin receptor modulation, cytokine production and sensitivity to Shiga-like toxins in human monocytes and monocytic cell lines. Infect. Immmun. 1996, 64, 1173–1180. [Google Scholar] [CrossRef]
- Van Setten, P.A.; Monnens, L.A.H.; Verstraten, R.G.G.; van den Heuvel, L.P.W.J.; van Hinsbergh, V.W.M. Effects of verocytotoxin-1 on nonadherent human monocytes: Binding characteristics, protein synthesis and induction of cytokine release. Blood 1996, 88, 174–183. [Google Scholar] [CrossRef]
- Ferrens, W.A.; Hovde, C.J. Antiviral activity of Shiga toxin 1: Suppression of bvine leukemia virus-related spontaneous lymphocyte proliferation. Infect. Immun. 2000, 68, 4462–4469. [Google Scholar] [CrossRef]
- Menge, C. The Role of Escherichia coli Shiga Toxins in STEC Colonization of Cattle. Toxins 2020, 12, 607. [Google Scholar] [CrossRef]
- Hajishengallis, G.; Nawar, H.; Tapping, R.I.; Russell, M.W.; Connell, T.D. The Type II heat-labile enterotoxins LT-IIa and LT-IIb and their respective B pentamers differentially induce and regulate cytokine production in human monocytic cells. Infect. Immun. 2004, 72, 6351–6358. [Google Scholar] [CrossRef]
- Christopher-Hennings, J.; Willgohs, J.A.; Francis, D.H.; Raman, U.A.K.; Moxley, R.A.; Hurley, D.J. Immunocompromise in gnotobiotic pigs induced by verotoxin-producing Escherichia coli (O111:NM). Infect. Immun. 1993, 61, 2304–2308. [Google Scholar] [CrossRef]
- Fairbrother, J.M.; Nadeau, E. Collibacillosis. In Diseases of Swine, 11th ed.; Zimmerman, J., Karriker, L.A., Ramirez, A., Schwartz, K.J., Stevenson, G.W., Zhang, J., Eds.; Wiley-Blackwell: Hoboken, NJ, USA, 2019; pp. 807–834. [Google Scholar]
- Lee, M.S.; Tesh, V.L. Roles of Shiga Toxins in Immunopathology. Toxins 2019, 11, 212. [Google Scholar] [CrossRef]
- Sugatani, J.; Igarashi, T.; Shimura, M.; Yamanaka, T.; Takeda, T.; Miwa, M. Disorders in the immune responses of T- and B-cells in mice administered intravenous verotoxin 2. Life Sci. 2000, 67, 1059–1072. [Google Scholar] [CrossRef] [PubMed]
- Stepanova, K.; Sinkora, M. The expression of CD25, CD11b, SWC1, SWC7, MHC-II, and family of CD45 molecules can be used to characterize different stages of γδ T lymphocytes in pigs. Develop. Comp. Immunol. 2012, 36, 728–740. [Google Scholar] [CrossRef] [PubMed]
- Pescovitz, M.D.; Sakopoulos, A.G.; Gaddy, J.A.; Husmann, R.J.; Zuckermann, F.A. Porcine peripheral blood CD4+/CD8+ dual expressing T-cells. Vet. Immunol. Immunopathol. 1994, 43, 53–62. [Google Scholar] [CrossRef] [PubMed]
- Van Hoorde, S.; Devriendt, B.; Sperling, D.; Cox, E. Comparative analysis of Stx2e secretion in Shiga toxin-producing Escherichia coli (STEC) field strains from swine. In Proceedings of the 13th European Symposium of Porcine Health Management (ESPHM), Budapest, Hungary, 11–13 May 2022; p. 233. [Google Scholar]
- Menge, C.; Stamm, I.; Blessenohl, M.; Wieler, L.H.; Baljer, G. Verotoxin 1 from Escherichia coli affects Gb3/CD77+ bovine lymphocytes independent of interleukin-2, tumor necrosis factor-alpha, and interferon-alpha. Exp. Biol. Med. 2003, 228, 377–386. [Google Scholar] [CrossRef]
- Mangeney, M.; Richard, Y.; Coulaud, D.; Tursz, T.; Wiels, J. CD77: An antigen of germinal center B cells entering apoptosis. Eur. J. Immunol. 1991, 21, 1131–1140. [Google Scholar] [CrossRef]
- Hughes, A.K.; Ergonul, Z.; Stricklett, P.K.; Kohan, D.E. Molecular basis for high renal cell sensitivity to the cytotoxic effects of Shigatoxin-1: Upregulation of globotriaosylceramide expression. J. Am. Soc. Nephrol. 2002, 13, 2239–2245. [Google Scholar] [CrossRef]
- Menge, C.; Eisenberg, T.; Stamm, I.; Baljer, G. Comparison of binding and effects of Escherichia coli Shiga toxin 1 on bovine and ovine granulocytes. Vet. Immunol. Immunopathol. 2006, 113, 392–403. [Google Scholar] [CrossRef]
- Celi, A.B.; Goldstein, J.; Rosato-Siri, M.V.; Pinto, A. Role of globotriaosylceramide in physiology and pathology. Front. Mol. Biosci. 2022, 9, 813637. [Google Scholar]
- Silberstein, C.; Lucero, M.S.; Zotta, E.; Copeland, D.P.; Lingyun, L.; Repetto, H.A.; Ibara, C. A glucosylceramide synthase inhibitor protects rats against the cytotoxic effects of Shiga toxin 2. Pediatr. Res. 2011, 69, 390–394. [Google Scholar] [CrossRef]
- Obata, F.; Tohyama, K.; Bonev, A.D.; Kolling, G.L.; Keepers, T.R.; Gross, L.K.; Nelson, M.T.; Sato, S.; Obring, T.G. Shiga Toxin 2 Affects the central nervous system through receptor globotriaosylceramide localized to neurons. J. Infect. Dis. 2008, 198, 1398–1406. [Google Scholar] [CrossRef]
- Stein, K.E.; Marcus, D.M. Glycosphingolipids of purified human lymphocytes. Biochemistry 1997, 16, 5285–5291. [Google Scholar] [CrossRef] [PubMed]
- Kiguchi, K.; Henning-Chubb, C.B.; Huberman, E. Glycosphingolipid patterns of peripheral blood lymphocytes, monocytes, and granulocytes are cell specific. J. Biochem. 1990, 107, 8–14. [Google Scholar] [CrossRef] [PubMed]
- Chakrabandhu, K.; Huault, S.; Garmy, N.; Fantini, J.; Stebe, E.; Mailfert, S.; Marguet, D.; Hueber, A.O. The extracellular glycosphingolipid-binding motif of Fas defines its internalization route, mode and outcome of signals upon activation by ligand. Cell Death Differ. 2008, 15, 1824–1837. [Google Scholar] [CrossRef] [PubMed]
- Fas, S.C.; Fritzsching, B.; Suri-Payer, E.; Krammer, P.H. Death receptor signaling and its function in the immune system. Curr. Dir. Autoimmun. 2005, 9, 1–17. [Google Scholar]
- Karlsson, K.A. Animal glycosphingolipids as membrane attachment sites for bacteria. Annu. Rev. Biochem. 1989, 58, 309–350. [Google Scholar] [CrossRef]
- Legros, N.; Dusny, S.; Humpf, H.U.; Pohlentz, G.; Karch, H.; Müthing, J. Shiga toxin glycosphingolipid receptors and their lipid membrane ensemble in primary human blood-brain barrier endothelial cells. Glycobiology 2017, 27, 99–109. [Google Scholar] [CrossRef]
- Schüller, S. Shiga toxin interaction with human intestinal epithelium. Toxins 2011, 3, 626–639. [Google Scholar] [CrossRef]
- Ewers, H.; Helenius, A. Lipid-mediated endocytosis. Cold Spring Harb. Perspect. Biol. 2011, 3, a004721. [Google Scholar] [CrossRef]
- Lingwood, C. Verotoxin Receptor-Based Pathology and Therapies. Front. Cell Infect Microbiol. 2020, 31, 123. [Google Scholar] [CrossRef]
- Endo, Y.; Tsurugi, K. RNA N-glycosidase activity of ricin A-chain. Mechanism of action of the toxic lectin ricin on eukaryotic ribosomes. J. Biol. Chem. 1987, 262, 8128–8130. [Google Scholar] [CrossRef]
- Mesonero-Escuredo, S.; Morales, J.; Mainar-Jaime, R.C.; Díaz, G.; Arnal, J.L.; Casanovas, C.; Barrabés, S.; Segalés, J. Effect of Edema Disease Vaccination on Mortality and Growth Parameters in Nursery Pigs in a Shiga Toxin 2e Positive Commercial Farm. Vaccines 2021, 9, 567. [Google Scholar] [CrossRef] [PubMed]




Disclaimer/Publisher’s Note: The statements, opinions and data contained in all publications are solely those of the individual author(s) and contributor(s) and not of MDPI and/or the editor(s). MDPI and/or the editor(s) disclaim responsibility for any injury to people or property resulting from any ideas, methods, instructions or products referred to in the content. |
© 2023 by the authors. Licensee MDPI, Basel, Switzerland. This article is an open access article distributed under the terms and conditions of the Creative Commons Attribution (CC BY) license (https://creativecommons.org/licenses/by/4.0/).
Share and Cite
Sperling, D.; Stepanova, H.; Smits, H.; Diesing, A.-K.; Faldyna, M. Shiga Toxin, Stx2e, Influences the Activity of Porcine Lymphocytes In Vitro. Int. J. Mol. Sci. 2023, 24, 8009. https://doi.org/10.3390/ijms24098009
Sperling D, Stepanova H, Smits H, Diesing A-K, Faldyna M. Shiga Toxin, Stx2e, Influences the Activity of Porcine Lymphocytes In Vitro. International Journal of Molecular Sciences. 2023; 24(9):8009. https://doi.org/10.3390/ijms24098009
Chicago/Turabian StyleSperling, Daniel, Hana Stepanova, Han Smits, Anne-Kathrin Diesing, and Martin Faldyna. 2023. "Shiga Toxin, Stx2e, Influences the Activity of Porcine Lymphocytes In Vitro" International Journal of Molecular Sciences 24, no. 9: 8009. https://doi.org/10.3390/ijms24098009
APA StyleSperling, D., Stepanova, H., Smits, H., Diesing, A.-K., & Faldyna, M. (2023). Shiga Toxin, Stx2e, Influences the Activity of Porcine Lymphocytes In Vitro. International Journal of Molecular Sciences, 24(9), 8009. https://doi.org/10.3390/ijms24098009

