Universal Evolution of Fickian Non-Gaussian Diffusion in Two- and Three-Dimensional Glass-Forming Liquids
Abstract
1. Introduction
2. Materials and Methods
2.1. Investigated Systems
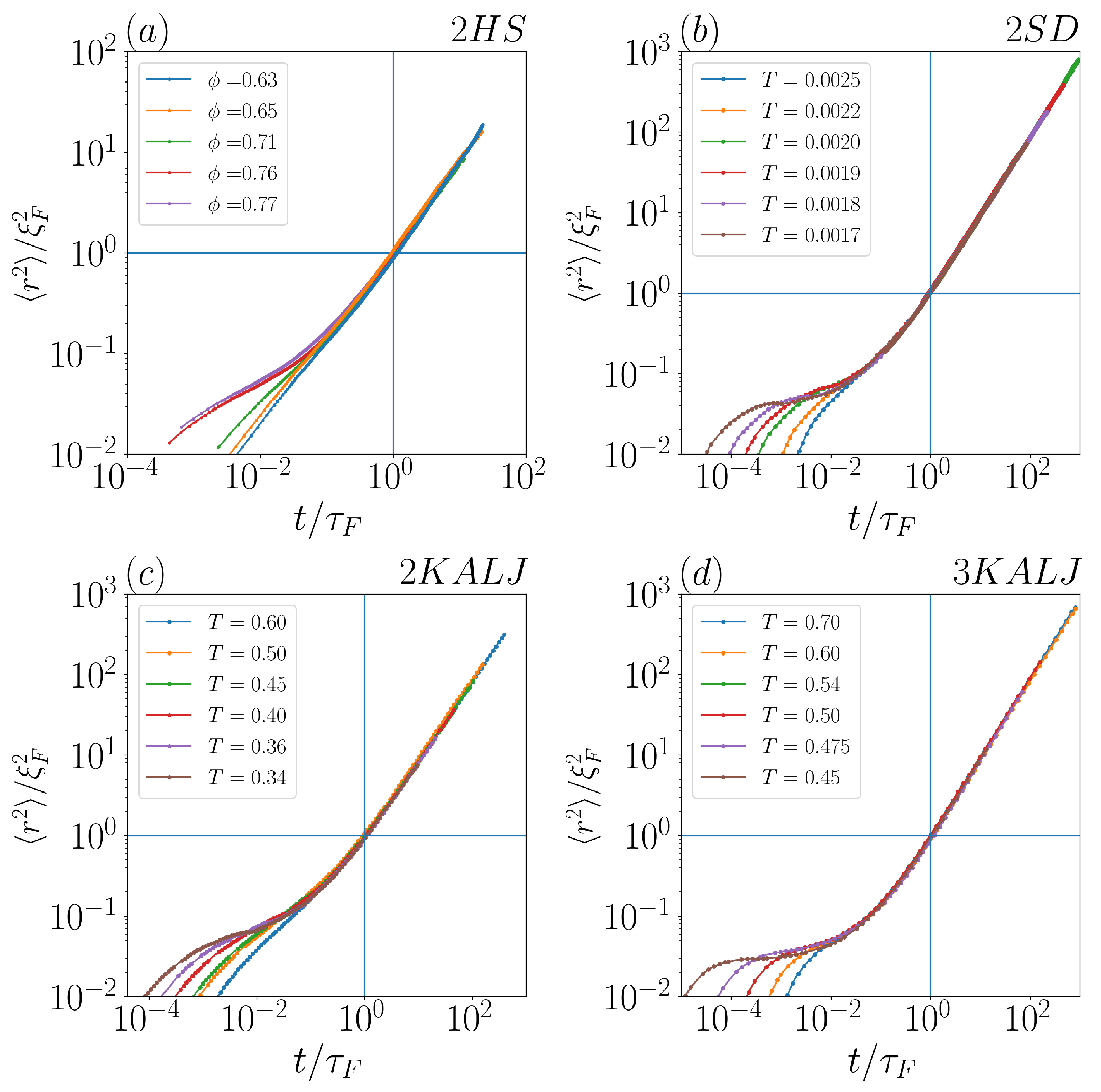
2.2. Time-Boundaries of FnGD Regime
3. Results and Discussion
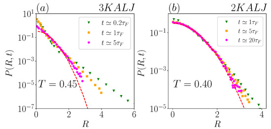
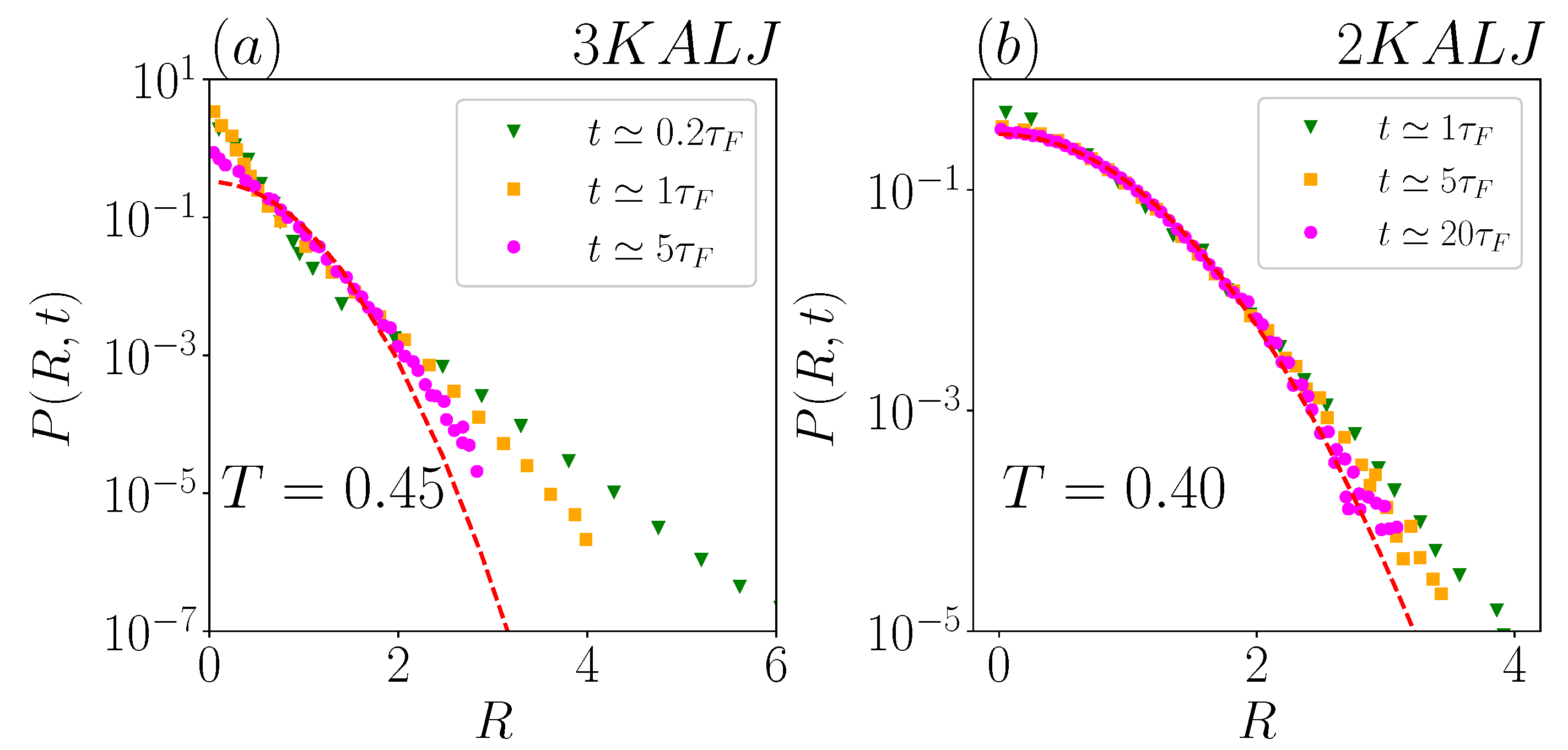
3.1. Displacement Distribution and Its Evolution in Two- and Three-Dimensions
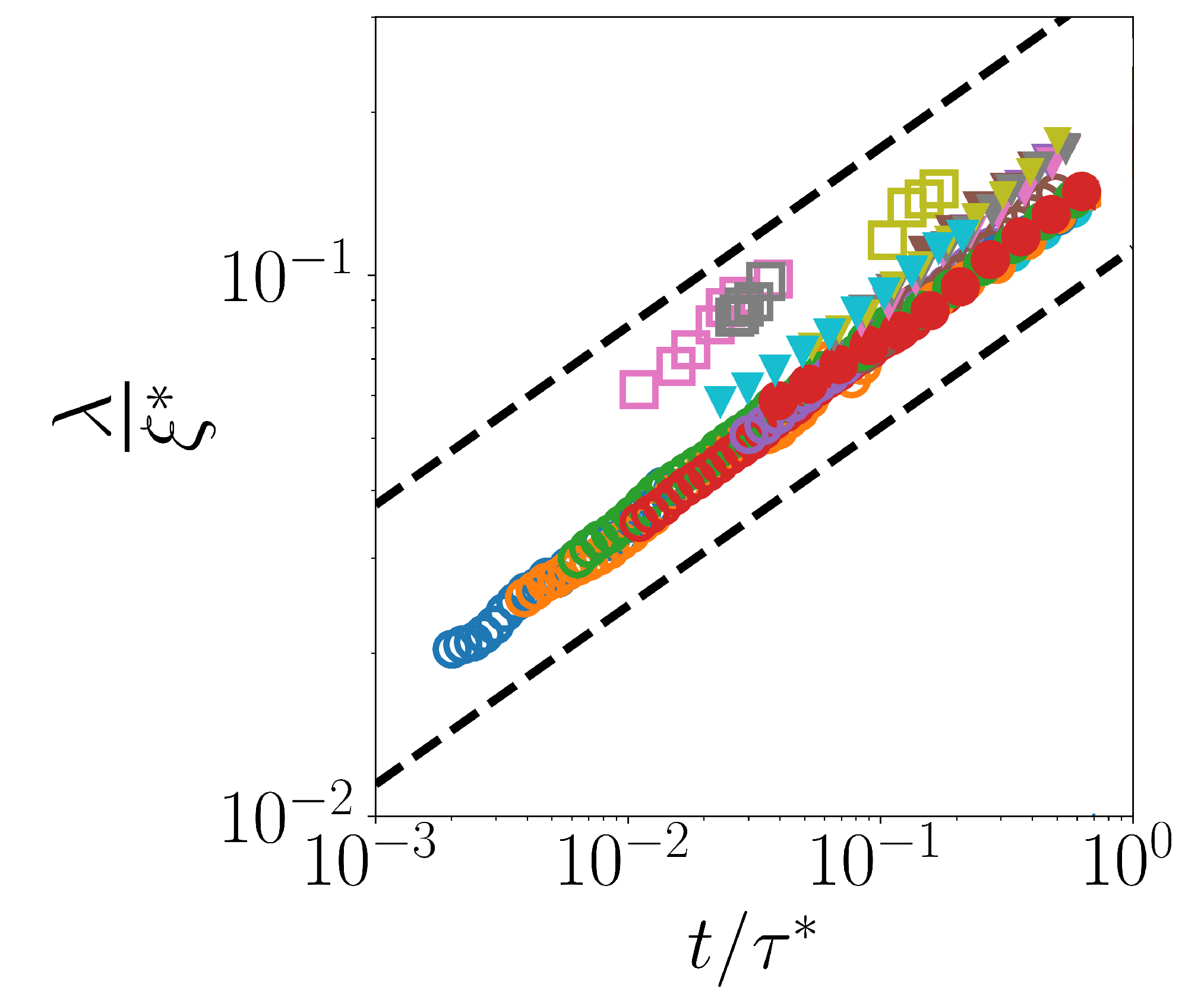
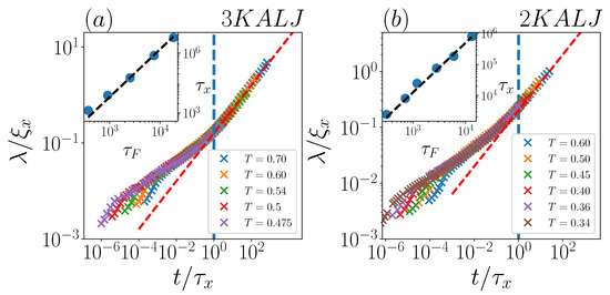
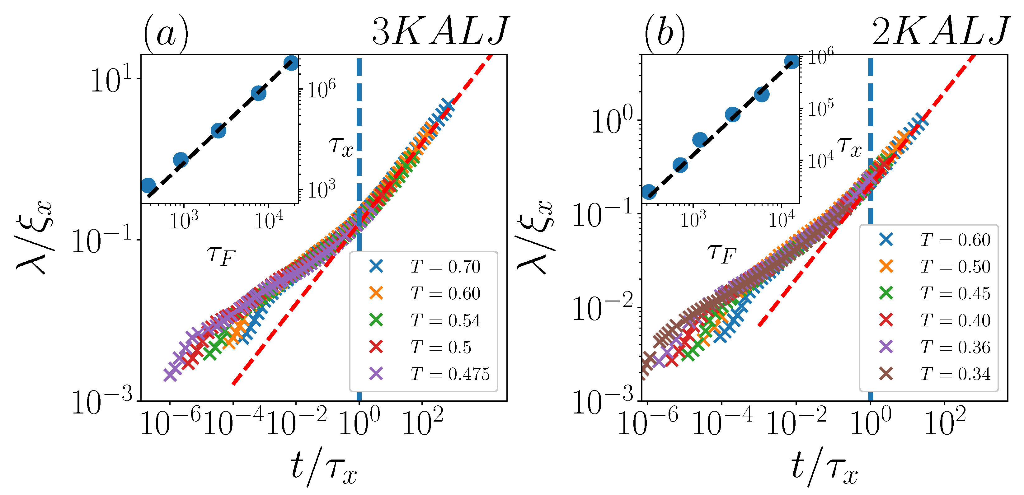
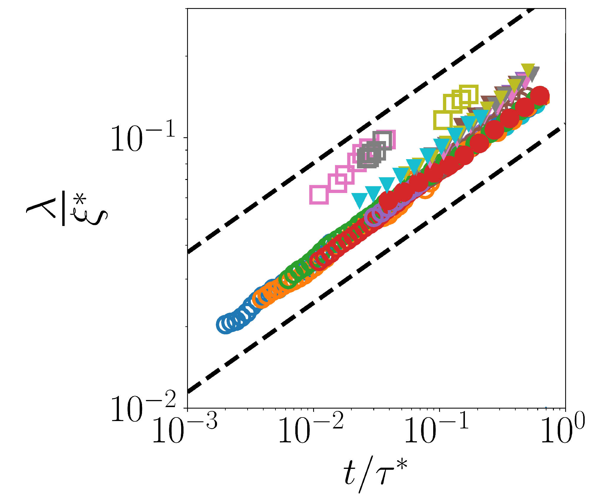
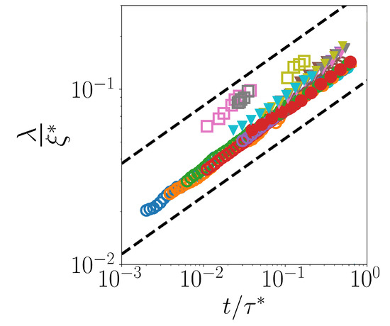
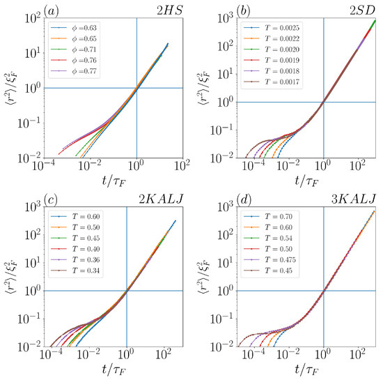
3.2. Master-Curves and Emerging Timescales
4. Conclusions
Author Contributions
Funding
Institutional Review Board Statement
Informed Consent Statement
Data Availability Statement
Conflicts of Interest
Abbreviations
| FnGD | Fickian non-Gaussian Diffusion |
| MSD | Mean Square Displacement |
| 3KALJ | Three-dimensional Kob and Andersen Lennard–Jones system |
| 2KALJ | Two-dimensional Kob and Andersen Lennard–Jones system |
| 2HS | Two-dimensional hard-sphere system |
| 2SD | Two-dimensional soft disk system |
| MD | Molecular Dynamics |
References
- Bouchaud, J.P.; Georges, A. Anomalous diffusion in disordered media: Statistical mechanisms, models and physical applications. Phys. Rep. 1990, 195, 127–293. [Google Scholar] [CrossRef]
- Metzler, R.; Klafter, J. The random walk’s guide to anomalous diffusion: A fractional dynamics approach. Phys. Rep. 2000, 339, 1–77. [Google Scholar] [CrossRef]
- Meroz, Y.; Sokolov, I.M. A toolbox for determining subdiffusive mechanisms. Phys. Rep. 2015, 573, 1–29. [Google Scholar] [CrossRef]
- Wang, B.; Anthony, S.M.; Bae, S.C.; Granick, S. Anomalous yet brownian. Proc. Natl. Acad. Sci. USA 2009, 106, 15160–15164. [Google Scholar] [CrossRef]
- Wang, B.; Kuo, J.; Bae, S.C.; Granick, S. When Brownian diffusion is not Gaussian. Nat. Mater. 2012, 11, 481–485. [Google Scholar] [CrossRef] [PubMed]
- Yu, C.; Guan, J.; Chen, K.; Bae, S.C.; Granick, S. Single-molecule observation of long jumps in polymer adsorption. ACS Nano 2013, 7, 9735–9742. [Google Scholar] [CrossRef]
- Kim, J.; Kim, C.; Sung, B.J. Simulation study of seemingly Fickian but heterogeneous dynamics of two dimensional colloids. Phys. Rev. Lett. 2013, 110, 047801. [Google Scholar] [CrossRef]
- Leptos, K.C.; Guasto, J.S.; Gollub, J.P.; Pesci, A.I.; Goldstein, R.E. Dynamics of enhanced tracer diffusion in suspensions of swimming eukaryotic microorganisms. Phys. Rev. Lett. 2009, 103, 198103. [Google Scholar] [CrossRef] [PubMed]
- Wagner, C.E.; Turner, B.S.; Rubinstein, M.; McKinley, G.H.; Ribbeck, K. A rheological study of the association and dynamics of MUC5AC gels. Biomacromolecules 2017, 18, 3654–3664. [Google Scholar] [CrossRef]
- Babayekhorasani, F.; Hosseini, M.; Spicer, P.T. Molecular and Colloidal Transport in Bacterial Cellulose Hydrogels. Biomacromolecules 2022, 23, 2404–2414. [Google Scholar] [CrossRef]
- Kwon, T.; Kwon, O.S.; Cha, H.J.; Sung, B.J. Stochastic and Heterogeneous cancer cell Migration: Experiment and theory. Sci. Rep. 2019, 9, 1–13. [Google Scholar]
- He, K.; Babaye Khorasani, F.; Retterer, S.T.; Thomas, D.K.; Conrad, J.C.; Krishnamoorti, R. Diffusive dynamics of nanoparticles in arrays of nanoposts. ACS Nano 2013, 7, 5122–5130. [Google Scholar] [CrossRef] [PubMed]
- Jeanneret, R.; Pushkin, D.O.; Kantsler, V.; Polin, M. Entrainment dominates the interaction of microalgae with micron-sized objects. Nat. Commun. 2016, 7, 1–7. [Google Scholar] [CrossRef] [PubMed]
- Pastore, R.; Raos, G. Glassy dynamics of a polymer monolayer on a heterogeneous disordered substrate. Soft Matter 2015, 11, 8083–8091. [Google Scholar] [CrossRef]
- Chakraborty, I.; Roichman, Y. Disorder-induced Fickian, yet non-Gaussian diffusion in heterogeneous media. Phys. Rev. Res. 2020, 2, 022020. [Google Scholar] [CrossRef]
- He, K.; Retterer, S.T.; Srijanto, B.R.; Conrad, J.C.; Krishnamoorti, R. Transport and dispersion of nanoparticles in periodic nanopost arrays. ACS Nano 2014, 8, 4221–4227. [Google Scholar] [CrossRef]
- He, W.; Song, H.; Su, Y.; Geng, L.; Ackerson, B.J.; Peng, H.; Tong, P. Dynamic heterogeneity and non-Gaussian statistics for acetylcholine receptors on live cell membrane. Nat. Commun. 2016, 7, 11701. [Google Scholar] [CrossRef]
- Perego, A.; Lazarenko, D.; Cloitre, M.; Khabaz, F. Microscopic dynamics and viscoelasticity of vitrimers. Macromolecules 2022, 55, 7605–7613. [Google Scholar] [CrossRef]
- Postnikov, E.B.; Lavrova, A.I.; Postnov, D.E. Transport in the brain extracellular space: Diffusion, but which kind? Int. J. Mol. Sci. 2022, 23, 12401. [Google Scholar] [CrossRef]
- Chubynsky, M.V.; Slater, G.W. Diffusing diffusivity: A model for anomalous, yet Brownian, diffusion. Phys. Rev. Lett. 2014, 113, 098302. [Google Scholar] [CrossRef] [PubMed]
- Chechkin, A.V.; Seno, F.; Metzler, R.; Sokolov, I.M. Brownian yet non-Gaussian diffusion: From superstatistics to subordination of diffusing diffusivities. Phys. Rev. X 2017, 7, 021002. [Google Scholar] [CrossRef]
- Slezak, J.; Metzler, R.; Magdziarz, M. Superstatistical generalised Langevin equation: Non-Gaussian viscoelastic anomalous diffusion. New J. Phys. 2018, 20, 023026. [Google Scholar] [CrossRef]
- Jain, R.; Sebastian, K. Diffusing diffusivity: A new derivation and comparison with simulations. J. Chem. Sci. 2017, 129, 929–937. [Google Scholar] [CrossRef]
- Sposini, V.; Chechkin, A.V.; Seno, F.; Pagnini, G.; Metzler, R. Random diffusivity from stochastic equations: Comparison of two models for Brownian yet non-Gaussian diffusion. New J. Phys. 2018, 20, 043044. [Google Scholar] [CrossRef]
- Lanoiselée, Y.; Grebenkov, D.S. A model of non-Gaussian diffusion in heterogeneous media. J. Phys. A Math. Theor. 2018, 51, 145602. [Google Scholar] [CrossRef]
- Barkai, E.; Burov, S. Packets of diffusing particles exhibit universal exponential tails. Phys. Rev. Lett. 2020, 124, 060603. [Google Scholar] [CrossRef]
- Mora, S.; Pomeau, Y. Brownian diffusion in a dilute field of traps is Fickean but non-Gaussian. Phys. Rev. E 2018, 98, 040101. [Google Scholar] [CrossRef]
- Song, S.; Park, S.J.; Kim, M.; Kim, J.S.; Sung, B.J.; Lee, S.; Kim, J.H.; Sung, J. Transport dynamics of complex fluids. Proc. Natl. Acad. Sci. USA 2019, 116, 12733–12742. [Google Scholar] [CrossRef]
- Miotto, J.M.; Pigolotti, S.; Chechkin, A.V.; Roldán-Vargas, S. Length scales in Brownian yet non-Gaussian dynamics. Phys. Rev. X 2021, 11, 031002. [Google Scholar] [CrossRef]
- Rusciano, F.; Pastore, R.; Greco, F. Fickian Non–Gaussian Diffusion in Glass-Forming Liquids. Phys. Rev. Lett. 2022, 128, 168001. [Google Scholar] [CrossRef]
- Weeks, E.R.; Crocker, J.C.; Levitt, A.C.; Schofield, A.; Weitz, D.A. Three-dimensional direct imaging of structural relaxation near the colloidal glass transition. Science 2000, 287, 627–631. [Google Scholar] [CrossRef] [PubMed]
- Chaudhuri, P.; Berthier, L.; Kob, W. Universal nature of particle displacements close to glass and jamming transitions. Phys. Rev. Lett. 2007, 99, 060604. [Google Scholar] [CrossRef] [PubMed]
- Guan, J.; Wang, B.; Granick, S. Even hard-sphere colloidal suspensions display Fickian yet non-Gaussian diffusion. ACS Nano 2014, 8, 3331–3336. [Google Scholar] [CrossRef]
- Hapca, S.; Crawford, J.W.; Young, I.M. Anomalous diffusion of heterogeneous populations characterized by normal diffusion at the individual level. J. R. Soc. Interface 2008, 6, 111–122. [Google Scholar] [CrossRef] [PubMed]
- Pastore, R.; Ciarlo, A.; Pesce, G.; Greco, F.; Sasso, A. Rapid Fickian yet non-Gaussian diffusion after subdiffusion. Phys. Rev. Lett. 2021, 126, 158003. [Google Scholar] [CrossRef]
- Pastore, R.; Ciarlo, A.; Pesce, G.; Sasso, A.; Greco, F. A model-system of Fickian yet non-Gaussian Diffusion: Light patterns in place of complex matter. Soft Matter 2022, 18, 351–364. [Google Scholar] [CrossRef]
- Kob, W.; Andersen, H.C. Scaling behavior in the β-relaxation regime of a supercooled Lennard-Jones mixture. Phys. Rev. Lett. 1994, 73, 1376. [Google Scholar] [CrossRef]
- Pastore, R.; Coniglio, A.; Ciamarra, M.P. From cage-jump motion to macroscopic diffusion in supercooled liquids. Soft Matter 2014, 10, 5724–5728. [Google Scholar] [CrossRef]
- Pastore, R.; Pesce, G.; Sasso, A.; Ciamarra, M.P. Many facets of intermittent dynamics in colloidal and molecular glasses. Colloids Surfaces Physicochem. Eng. Asp. 2017, 532, 87–96. [Google Scholar] [CrossRef]
- Nagamanasa, K.H.; Gokhale, S.; Sood, A.; Ganapathy, R. Direct measurements of growing amorphous order and non-monotonic dynamic correlations in a colloidal glass-former. Nat. Phys. 2015, 11, 403–408. [Google Scholar] [CrossRef]
- Gokhale, S.; Nagamanasa, K.H.; Ganapathy, R.; Sood, A. Growing dynamical facilitation on approaching the random pinning colloidal glass transition. Nat. Commun. 2014, 5, 1–7. [Google Scholar] [CrossRef] [PubMed]
- Pastore, R.; Ciamarra, M.P.; Pesce, G.; Sasso, A. Connecting short and long time dynamics in hard-sphere-like colloidal glasses. Soft Matter 2015, 11, 622–626. [Google Scholar] [CrossRef] [PubMed]
- Kob, W.; Andersen, H.C. Testing mode-coupling theory for a supercooled binary Lennard-Jones mixture I: The van Hove correlation function. Phys. Rev. E 1995, 51, 4626. [Google Scholar] [CrossRef]
- Cavagna, A. Supercooled liquids for pedestrians. Phys. Rep. 2009, 476, 51–124. [Google Scholar] [CrossRef]
- Brüning, R.; St-Onge, D.A.; Patterson, S.; Kob, W. Glass transitions in one-, two-, three-, and four-dimensional binary Lennard-Jones systems. J. Physics: Condens. Matter 2008, 21, 035117. [Google Scholar] [CrossRef]
- Porpora, G.; Rusciano, F.; Pastore, R.; Greco, F. Comparing Microscopic and Macroscopic Dynamics in a Paradigmatic Model of Glass-Forming Molecular Liquid. Int. J. Mol. Sci. 2022, 23, 3556. [Google Scholar] [CrossRef]
- Das, P.; Sastry, S. Crossover in dynamics in the Kob-Andersen binary mixture glass-forming liquid. J. -Non-Cryst. Solids X 2022, 14, 100098. [Google Scholar] [CrossRef]
- Flenner, E.; Szamel, G. Fundamental differences between glassy dynamics in two and three dimensions. Nat. Commun. 2015, 6, 1–6. [Google Scholar] [CrossRef]
- Shiba, H.; Yamada, Y.; Kawasaki, T.; Kim, K. Unveiling dimensionality dependence of glassy dynamics: 2D infinite fluctuation eclipses inherent structural relaxation. Phys. Rev. Lett. 2016, 117, 245701. [Google Scholar] [CrossRef]
- Illing, B.; Fritschi, S.; Kaiser, H.; Klix, C.L.; Maret, G.; Keim, P. Mermin–Wagner fluctuations in 2D amorphous solids. Proc. Natl. Acad. Sci. USA 2017, 114, 1856–1861. [Google Scholar] [CrossRef]
- Vivek, S.; Kelleher, C.P.; Chaikin, P.M.; Weeks, E.R. Long-wavelength fluctuations and the glass transition in two dimensions and three dimensions. Proc. Natl. Acad. Sci. USA 2017, 114, 1850–1855. [Google Scholar] [CrossRef] [PubMed]
- Tarjus, G. Glass transitions may be similar in two and three dimensions, after all. Proc. Natl. Acad. Sci. USA 2017, 114, 2440–2442. [Google Scholar] [CrossRef] [PubMed]
- Arya, R.K.; Thapliyal, D.; Sharma, J.; Verros, G.D. Glassy polymers—Diffusion, sorption, ageing and applications. Coatings 2021, 11, 1049. [Google Scholar] [CrossRef]
- Pocius, A.V. Adhesion and Adhesives Technology: An Introduction, 3rd ed.; Hanser: Munich, Germany, 2012. [Google Scholar]
- Gao, J.; Luedtke, W.; Gourdon, D.; Ruths, M.; Israelachvili, J.; Landman, U. Frictional forces and Amontons’ law: From the molecular to the macroscopic scale. J. Phys. Chem. B 2004, 108, 3410–3425. [Google Scholar] [CrossRef]







Disclaimer/Publisher’s Note: The statements, opinions and data contained in all publications are solely those of the individual author(s) and contributor(s) and not of MDPI and/or the editor(s). MDPI and/or the editor(s) disclaim responsibility for any injury to people or property resulting from any ideas, methods, instructions or products referred to in the content. |
© 2023 by the authors. Licensee MDPI, Basel, Switzerland. This article is an open access article distributed under the terms and conditions of the Creative Commons Attribution (CC BY) license (https://creativecommons.org/licenses/by/4.0/).
Share and Cite
Rusciano, F.; Pastore, R.; Greco, F. Universal Evolution of Fickian Non-Gaussian Diffusion in Two- and Three-Dimensional Glass-Forming Liquids. Int. J. Mol. Sci. 2023, 24, 7871. https://doi.org/10.3390/ijms24097871
Rusciano F, Pastore R, Greco F. Universal Evolution of Fickian Non-Gaussian Diffusion in Two- and Three-Dimensional Glass-Forming Liquids. International Journal of Molecular Sciences. 2023; 24(9):7871. https://doi.org/10.3390/ijms24097871
Chicago/Turabian StyleRusciano, Francesco, Raffaele Pastore, and Francesco Greco. 2023. "Universal Evolution of Fickian Non-Gaussian Diffusion in Two- and Three-Dimensional Glass-Forming Liquids" International Journal of Molecular Sciences 24, no. 9: 7871. https://doi.org/10.3390/ijms24097871
APA StyleRusciano, F., Pastore, R., & Greco, F. (2023). Universal Evolution of Fickian Non-Gaussian Diffusion in Two- and Three-Dimensional Glass-Forming Liquids. International Journal of Molecular Sciences, 24(9), 7871. https://doi.org/10.3390/ijms24097871

