In Vitro and In Vivo Biocompatibility of Natural and Synthetic Pseudomonas aeruginosa Pyomelanin for Potential Biomedical Applications
Abstract
1. Introduction
2. Results
2.1. The Efficiency of the Pyomelanin Biosynthesis and Chemical Synthesis
2.2. Identification of the Functional Groups and Linkages in Pyomelanin Molecules
2.3. The Thermal Stability and Thermal Properties of Pyomelanins
2.4. Biocompatibility
2.4.1. Bacterial Pyomelanins Show Higher Cytocompatibility Than the Synthetic Pyomelanin
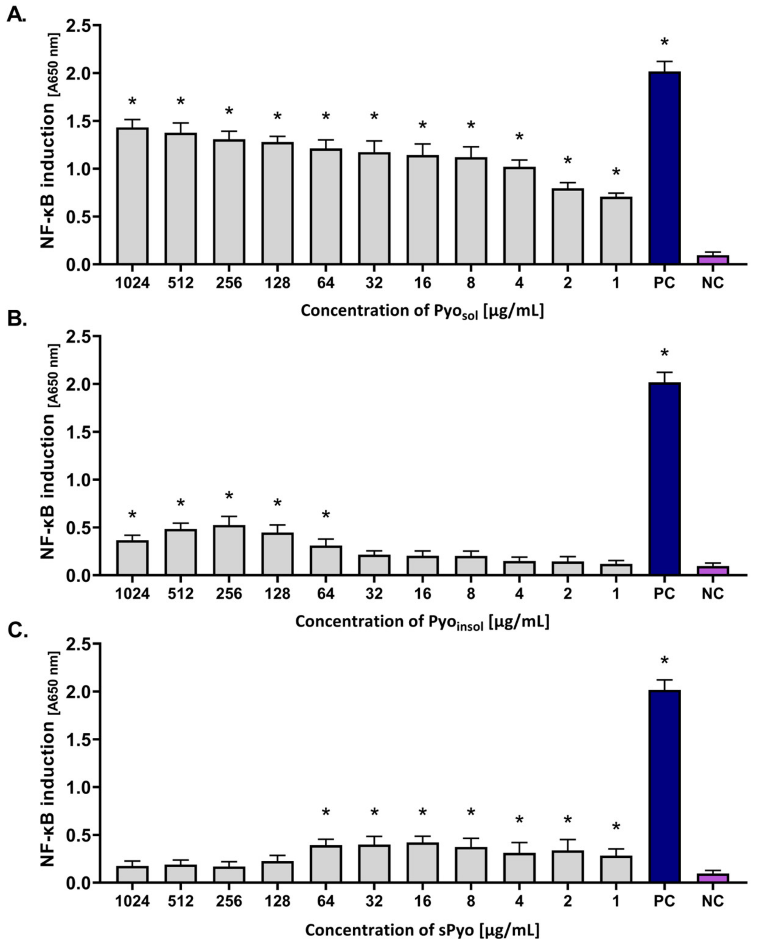
2.4.2. Water-Soluble Pyomelanin Induces NF-κB Pathway Activation
2.4.3. In Vivo Toxicity of Pyomelanin
3. Discussion
4. Materials and Methods
4.1. Culture of Pseudomonas aeruginosa
4.2. Isolation of Pyoinsol
4.3. Isolation of Pyosol
4.4. Synthesis of Pyomelanin
4.5. Purification of Bacterial Pyomelanins
4.6. Fourier Transform infrared (FTIR) Spectroscopy
4.7. Thermogravimetric Analysis (TGA)
4.8. Differential Scanning Calorimetry (DSC)
4.9. Assessment of Pyomelanin Biocompatibility
4.9.1. Cell Cultures
4.9.2. MTT Reduction Assay
4.9.3. Activation of Monocytes
4.9.4. In Vivo Toxicity Assay
4.10. Statistical Analysis
5. Conclusions
Supplementary Materials
Author Contributions
Funding
Institutional Review Board Statement
Informed Consent Statement
Data Availability Statement
Acknowledgments
Conflicts of Interest
References
- Behzadi, P.; Baráth, Z.; Gajdács, M. It’s Not Easy Being Green: A Narrative Review on the Microbiology, Virulence and Therapeutic Prospects of Multidrug-Resistant Pseudomonas aeruginosa. Antibiotics 2021, 10, 42. [Google Scholar] [CrossRef]
- Liebgott, P.P.; Labat, M.; Amouric, A.; Tholozan, J.L.; Lorquin, J. Tyrosol Degradation Via the Homogentisic Acid Pathway in a Newly Isolated Halomonas Strain from Olive Processing Effluents. J. Appl. Microbiol. 2008, 105, 2084–2095. [Google Scholar] [CrossRef]
- Ketelboeter, L.M.; Potharla, V.Y.; Bardy, S.L. NTBC Treatment of the Pyomelanogenic Pseudomonas aeruginosa Clinical Isolate PA1111 Inhibits Pigment Production and Increases Sensitivity to Oxidative Stress. Curr. Microbiol. 2014, 69, 343–348. [Google Scholar] [CrossRef]
- David, C.; Daro, A.; Szalai, E.; Atarhouch, T.; Mergeay, M. Formation of Polymeric Pigments in the Presence of Bacteria and Comparison with Chemical Oxidative Coupling—II. Catabolism of Tyrosine and Hydroxyphenylacetic Acid by Alcaligenes eutrophus CH34 and Mutants. Eur. Polym. J. 1996, 32, 669–679. [Google Scholar] [CrossRef]
- Roy, S.; Rhim, J.W. New Insight into Melanin for Food Packaging and Biotechnology Applications. Crit. Rev. Food Sci. Nutr. 2021, 62, 4629–4655. [Google Scholar] [CrossRef]
- Lorquin, F.; Ziarelli, F.; Amouric, A.; Di Giorgio, C.; Robin, M.; Piccerelle, P.; Lorquin, J. Production and Properties of Non-Cytotoxic Pyomelanin by Laccase and Comparison to Bacterial and Synthetic Pigments. Sci. Rep. 2021, 11, 8538. [Google Scholar] [CrossRef] [PubMed]
- Fonseca, É.; Freitas, F.; Caldart, R.; Morgado, S.; Vicente, A.C. Pyomelanin Biosynthetic Pathway in Pigment-Producer Strains from the Pandemic Acinetobacter baumannii IC-5. Mem. Inst. Oswaldo Cruz. 2020, 115, e200371. [Google Scholar] [CrossRef] [PubMed]
- Zeng, Z.; Cai, X.; Wang, P.; Guo, Y.; Liu, X.; Li, B.; Wang, X. Biofilm Formation and Heat Stress Induce Pyomelanin Production in Deep-Sea Pseudoalteromonas sp. SM9913. Front. Microbiol. 2017, 8, 1822. [Google Scholar] [CrossRef] [PubMed]
- Rodríguez-Rojas, A.; Mena, A.; Martín, S.; Borrell, N.; Oliver, A.; Blázquez, J. Inactivation of the hmgA Gene of Pseudomonas aeruginosa Leads to Pyomelanin Hyperproduction, Stress Resistance and Increased Persistence in Chronic Lung Infection. Microbiology 2009, 155, 1050–1057. [Google Scholar] [CrossRef]
- Baishya, J.; Wakeman, C.A. Selective Pressures during Chronic Infection Drive Microbial Competition and Cooperation. NPJ Biofilms Microbiomes 2019, 5, 16. [Google Scholar] [CrossRef]
- Langfelder, K.; Streibel, M.; Jahn, B.; Haase, G.; Brakhage, A.A. Biosynthesis of Fungal Melanins and Their Importance for Human Pathogenic Fungi. Fungal Genet. Biol. 2003, 38, 143–158. [Google Scholar] [CrossRef] [PubMed]
- Zeng, Z.; Guo, X.P.; Cai, X.; Wang, P.; Li, B.; Yang, J.L.; Wang, X. Pyomelanin from Pseudoalteromonas lipolytica Reduces Biofouling. Microb. Biotechnol. 2017, 10, 1718–1731. [Google Scholar] [CrossRef] [PubMed]
- Weidenfeld, I.; Zakian, C.; Duewell, P.; Chmyrov, A.; Klemm, U.; Aguirre, J.; Ntziachristos, V.; Stiel, A.C. Homogentisic Acid-Derived Pigment as a Biocompatible Label for Optoacoustic Imaging of Macrophages. Nat. Commun. 2019, 10, 5056. [Google Scholar] [CrossRef] [PubMed]
- Cheng, Z.; Valença, W.O.; Dias, G.G.; Scott, J.; Barth, N.D.; de Moliner, F.; Souza, G.B.P.; Mellanby, R.J.; Vendrell, M.; da Silva Júnior, E.N. Natural Product-inspired Profluorophores for Imaging NQO1 Activity in Tumour Tissues. Bioorg. Med. Chem. 2019, 27, 3938–3946. [Google Scholar] [CrossRef]
- Mavridi-Printezi, A.; Guernelli, M.; Menichetti, A.; Montalti, M. Bio-Applications of Multifunctional Melanin Nanoparticles: From Nanomedicine to Nanocosmetics. Nanomaterials 2020, 10, 2276. [Google Scholar] [CrossRef]
- Li, H.; Zhou, X.; Huang, Y.; Liao, B.; Cheng, L.; Ren, B. Corrigendum: Reactive Oxygen Species in Pathogen Clearance: The Killing Mechanisms, the Adaption Response, and the Side Effects. Front. Microbiol. 2021, 12, 685133. [Google Scholar] [CrossRef]
- Tapia, C.V.; Falconer, M.; Tempio, F.; Falcón, F.; López, M.; Fuentes, M.; Alburquenque, C.; Amaro, J.; Bucarey, S.A.; Di Nardo, A. Melanocytes and Melanin Represent a First Line of Innate Immunity against Candida albicans. Med. Mycol. 2014, 52, 445–454. [Google Scholar] [CrossRef]
- Elobeid, A.S.; Kamal-Eldin, A.; Abdelhalim, M.A.K.; Haseeb, A.M. Pharmacological Properties of Melanin and its Function in Health. Basic Clin. Pharmacol. Toxicol. 2017, 120, 515–522. [Google Scholar] [CrossRef]
- Cuzzubbo, S.; Carpentier, A.F. Applications of Melanin and Melanin-Like Nanoparticles in Cancer Therapy: A Review of Recent Advances. Cancers 2021, 13, 1463. [Google Scholar] [CrossRef] [PubMed]
- Koike, S.; Yamasaki, K. Melanogenesis Connection with Innate Immunity and Toll-like Receptors. Int. J. Mol. Sci. 2020, 21, 9769. [Google Scholar] [CrossRef]
- Bilandžija, H.; Laslo, M.; Porter, M.L. Melanization in Response to Wounding is Ancestral in Arthropods and Conserved in Albino Cave Species. Sci. Rep. 2017, 7, 17148. [Google Scholar] [CrossRef]
- Liu, S.; Youngchim, S.; Zamith-Miranda, D.; Nosanchuk, J.D. Fungal Melanin and the Mammalian Immune System. J. Fungi 2021, 7, 264. [Google Scholar] [CrossRef]
- Lee, H.S.; Choi, J.Y.; Kwon, S.J.; Park, E.S.; Oh, B.M.; Kim, J.H.; Lee, P.C. Melanin Biopolymer Synthesis Using a New Melanogenic Strain of Flavobacterium kingsejongi and a Recombinant Strain of Escherichia coli Expressing 4-Hydroxyphenylpyruvate Dioxygenase from F. kingsejongi. Microb. Cell Fact. 2022, 21, 75. [Google Scholar] [CrossRef] [PubMed]
- Coates, C.J.; Lim, J.; Harman, K.; Rowley, A.F.; Griffiths, D.J.; Emery, H.; Layton, W. The Insect, Galleria mellonella, is a Compatible Model for Evaluating the Toxicology of Okadaic Acid. Cell Biol. Toxicol. 2019, 3, 219–232. [Google Scholar] [CrossRef] [PubMed]
- Firacative, C.; Khan, A.; Duan, S.; Ferreira-Paim, K.; Leemon, D.; Meyer, W. Rearing and Maintenance of Galleria mellonella and it’s a pplication to study fungal virulence. J. Fungi 2020, 3, 130. [Google Scholar] [CrossRef] [PubMed]
- Piatek, M.; Sheehan, G.; Kavanagh, K. Galleria mellonella: The versatile host for drug discovery, In vivo toxicity testing and characterising host-pathogen interactions. Antibiotics 2021, 12, 1545. [Google Scholar] [CrossRef]
- Madhusudhan, D.N.; Mazhari, B.B.Z.; Dastager, S.G.; Agsar, D. Production and Cytotoxicity of Extracellular Insoluble and Droplets of Soluble Melanin by Streptomyces lusitanus DMZ-3. Biol. Med. Res. Int. 2014, 2014, 306895. [Google Scholar]
- Lagunas-Muñoz, V.H.; Cabrera-Valladares, N.; Bolívar, F.; Gosset, G.; Martínez, A. Optimum Melanin Production Using Recombinant Escherichia coli. J. Appl. Microbiol. 2006, 101, 1002–1008. [Google Scholar] [CrossRef]
- Guo, J.; Rao, Z.; Yang, T.; Man, Z.; Xu, M.; Zhang, X. High-Level Production of Melanin by a Novel Isolate of Streptomyces kathirae. FEMS Microbiol. Lett. 2014, 357, 85–91. [Google Scholar] [CrossRef]
- Ahn, S.Y.; Jang, S.; Sudheer, P.D.V.N.; Choi, K.Y. Microbial Production of Melanin Pigments from Caffeic Acid and L-Tyrosine Using Streptomyces glaucescens and FCS-ECH-Expressing Escherichia coli. Int. J. Mol. Sci. 2021, 22, 2413. [Google Scholar] [CrossRef]
- Kumar, C.G.; Sahu, N.; Reddy, G.N.; Prasad, R.B.N.; Nagesh, N.; Kamal, A. Production of Melanin Pigment from Pseudomonas stutzeri Isolated from Red Seaweed Hypnea musciformis. Lett. Appl. Microbiol. 2013, 57, 295–302. [Google Scholar] [CrossRef]
- Martínez, L.M.; Martinez, A.; Gosset, G. Production of Melanins with Recombinant Microorganisms. Front. Bioeng. Biotechnol. 2019, 7, 285. [Google Scholar] [CrossRef] [PubMed]
- Schmaler-Ripcke, J.; Sugareva, V.; Gebhardt, P.; Winkler, R.; Kniemeyer, O.; Heinekamp, T.; Brakhage, A.A. Production of Pyomelanin, a Second Type of Melanin, Via the Tyrosine Degradation Pathway in Aspergillus fumigatus. Appl. Environ. Microbiol. 2009, 75, 493–503. [Google Scholar] [CrossRef]
- Tahar, I.B.; Kus-Liśkiewicz, M.; Lara, Y.; Javaux, E.; Fickers, P. Characterization of a Nontoxic Pyomelanin Pigment Produced by the Yeast Yarrowia lipolytica. Biotechnol. Prog. 2020, 36, e2912. [Google Scholar] [PubMed]
- Kiran, G.S.; Jackson, S.A.; Priyadharsini, S.; Dobson, A.D.W.; Selvin, J. Synthesis of Nm-PHB (Nanomelanin-Polyhydroxy Butyrate) Nanocomposite Film and Its Protective Effect against Biofilm-Forming Multi Drug Resistant Staphylococcus aureus. Sci. Rep. 2017, 7, 9167. [Google Scholar] [CrossRef]
- Furtado, G.P.; Lourenzoni, M.R.; Fuzo, C.A.; Fonseca-Maldonado, R.; Guazzaroni, M.E.; Ribeiro, L.F.; Ward, R.J. Engineering the Affinity of a Family 11 Carbohydrate Binding Module to Improve Binding of Branched Over Unbranched Polysaccharides. Int. J. Biol. Macromol. 2018, 120, 2509–2516. [Google Scholar] [CrossRef]
- Bair, H.E. Thermal Characterization of Polymeric Materials, 2nd ed.; Turi, E.A., Ed.; Academic Press: San Diego, CA, USA, 1997; pp. 2263–2420. [Google Scholar]
- Lu, J. Characterization and Pseudopolymorphism of l-Phenylalanine Anhydrous and Monohydrate Forms. Afr. J. Pharm. Pharmacol. 2012, 6, 269–277. [Google Scholar] [CrossRef]
- Cordero, R.J.; Casadevall, A. Functions of Fungal Melanin Beyond Virulence. Fungal Biol. Rev. 2017, 31, 99–112. [Google Scholar] [CrossRef] [PubMed]
- Oh, J.J.; Kim, J.Y.; Son, S.H.; Jung, W.J.; Kim, D.H.; Seo, J.W.; Kim, G.H. Fungal Melanin as a Biocompatible Broad-Spectrum Sunscreen with High Antioxidant Activity. RSC Adv. 2021, 11, 19682–19689. [Google Scholar] [CrossRef]
- Eskandari, S.; Etemadifar, Z. Biocompatibility and Radioprotection by Newly Characterized Melanin Pigment and its Production from Dietzia schimae NM3 in Optimized Whey Medium by Response Surface Methodology. Ann. Microbiol. 2021, 71, 17. [Google Scholar] [CrossRef]
- Kurian, N.K.; Bhat, S.G. Data on the Characterization of Non-Cytotoxic Pyomelanin Produced by Marine Pseudomonas stutzeri BTCZ10 with Cosmetological Importance. Data Brief 2018, 18, 1889–1894. [Google Scholar] [CrossRef] [PubMed]
- Ferraz, A.R.; Pacheco, R.; Vaz, P.D.; Pintado, C.S.; Ascensão, L.; Serralheiro, M.L. Melanin: Production from Cheese Bacteria, Chemical Characterization, and Biological Activities. Int. J. Environ. Res. Public Health 2021, 18, 10562. [Google Scholar] [CrossRef] [PubMed]
- Ogle, M.E.; Segar, C.E.; Sridhar, S.; Botchwey, E.A. Monocytes and Macrophages in Tissue Repair: Implications for Immunoregenerative Biomaterial Design. Exp. Biol. Med. 2016, 10, 1084–1097. [Google Scholar] [CrossRef]
- Oishi, Y.; Manabe, I. Macrophages in Inflammation, Repair and Regeneration. Int. Immunol. 2018, 30, 511–528. [Google Scholar] [CrossRef] [PubMed]
- Lin, T.H.; Pajarinen, J.; Lu, L.; Nabeshima, A.; Cordova, L.A.; Yao, Z.; Goodman, S.B. NF-κB as a Therapeutic Target in Inflammatory-Associated Bone Diseases. Adv. Protein Chem. Struct. Biol. 2017, 107, 117–154. [Google Scholar] [PubMed]
- Prime, B.R.; Bair, H.E.; Vyazovkin, S.; Gallagher, P.K.; Riga, A. Thermogravimetric Analysis (TGA). In Thermal Analysis of Polymers, Fundamentals and Applications; Menczel, J.D., Prime, B.R., Eds.; John Wiley & Sons, Inc.: Hoboken, NJ, USA, 2009; pp. 241–317. [Google Scholar]
- Menczel, J.D.; Judovits, L.; Prime, B.R.; Bair, H.E.; Reading, M.; Swier, S. Differential Scanning Calorimetry (DSC). In Thermal Analysis of Polymers, Fundamentals and Applications; Menczel, J.D., Prime, B.R., Eds.; John Wiley & Sons, Inc.: Hoboken, NJ, USA, 2009; pp. 7–239. [Google Scholar]
- Allam, N.; El-Zaher, E.A.; Allam, A. Immunological Efficiency of Microbial Melanin on Bacterial Pathogenicity. Int. J. Cancer Biomed. Res. 2020, 4, 243–258. [Google Scholar] [CrossRef]
- Mnich, E.; Kowalewicz-Kulbat, M.; Sicińska, P.; Hinc, K.; Obuchowski, M.; Gajewski, A.; Moran, A.P.; Chmiela, M. Impact of Helicobacter pylori on the Healing Process of the Gastric Barrier. World J. Gastroenterol. 2016, 33, 7536–7558. [Google Scholar] [CrossRef] [PubMed]
- Biernat, M.; Szwed-Georgiou, A.; Rudnicka, K.; Płociński, P.; Pagacz, J.; Tymowicz-Grzyb, P.; Woźniak, A.; Włodarczyk, M.; Urbaniak, M.M.; Krupa, A.; et al. Dual Modification of Porous Ca-P/PLA Composites with APTES and Alendronate Improves their Mechanical Strength and Cytobiocompatibility towards Human Osteoblasts. Int. J. Mol. Sci. 2022, 23, 14315. [Google Scholar] [CrossRef]
- Liu, T.; Zhang, L.; Joo, D.; Sun, S.C. NF-κB Signaling in Inflammation. Signal Transduct. Target. Ther. 2017, 2, 17023. [Google Scholar] [CrossRef] [PubMed]
- Zinatizadeh, M.R.; Schock, B.; Chalbatani, G.M.; Zarandi, P.K.; Jalali, S.A.; Miri, S.R. The Nuclear Factor Kappa B (NF-kB) Signaling in Cancer Development and Immune Diseases. Genes Dis. 2021, 8, 287–297. [Google Scholar] [CrossRef] [PubMed]
- Wu, G.; Yi, Y. Haemocoel Injection of PirA1B1 to Galleria mellonella Larvae Leads to Disruption of the Haemocyte Immune Functions. Sci. Rep. 2016, 6, 34996. [Google Scholar] [CrossRef] [PubMed]
- Tsai, C.J.Y.; Loh, J.M.S.; Proft, T. Galleria mellonella Infection Models for the Study of Bacterial Diseases and for Antimicrobial Drug Testing. Virulence 2016, 7, 214–229. [Google Scholar] [CrossRef] [PubMed]
- Allegra, E.; Titball, R.W.; Carter, J.; Champion, O.L. Galleria mellonella Larvae Allow the Discrimination of Toxic and Non-Toxic Chemicals. Chemosphere 2018, 198, 469–472. [Google Scholar] [CrossRef] [PubMed]







| P. aeruginosa Growth Medium | Pyosol [g/L] | Pyoinsol [g/L] | sPyo [g/1 g of HGA] |
|---|---|---|---|
| PMM I | 1.13 ± 0.12 | 0.71 ± 0.04 | 0.077 ± 0.01 |
| PMM II | 1.79 ± 0.18 | 1.22 ± 0.10 |
| Form of Pyomelanin | T1st peak [°C] | Mass Loss Up to 125 °C [%] | Tdegonset [°C] | Tdegpeak [°C] | Residue at 800 °C [%] | T1 [°C] | ΔH1 [J/g] |
|---|---|---|---|---|---|---|---|
| sPyo | 64.2 | 2.90 | 158.0 | 176.3 | 39.55 | — | — |
| Pyoinsol | 72.0 | 1.60 | 196.4 | 233.3 | 38.85 | — | — |
| Pyosol | 85.6 | 7.09 | 173.0 | 193.7 | 75.91 | 78.5 | 19.8 |
| Category | Description | Score |
|---|---|---|
| Mobility | no movement | 0 |
| minimal movement on stimulation | 1 | |
| movement when stimulated | 2 | |
| movement without stimulation | 3 | |
| Cocoon formation | no cocoon | 0 |
| partial cocoon | 0.5 | |
| full cocoon | 1 | |
| Melanization | black larvae | 0 |
| black spots on brown larvae | 1 | |
| ≥3 spots on beige larvae | 2 | |
| <3 spots on beige larvae | 3 | |
| no melanization | 4 | |
| Survival | dead | 0 |
| alive | 2 |
Disclaimer/Publisher’s Note: The statements, opinions and data contained in all publications are solely those of the individual author(s) and contributor(s) and not of MDPI and/or the editor(s). MDPI and/or the editor(s) disclaim responsibility for any injury to people or property resulting from any ideas, methods, instructions or products referred to in the content. |
© 2023 by the authors. Licensee MDPI, Basel, Switzerland. This article is an open access article distributed under the terms and conditions of the Creative Commons Attribution (CC BY) license (https://creativecommons.org/licenses/by/4.0/).
Share and Cite
Urbaniak, M.M.; Gazińska, M.; Rudnicka, K.; Płociński, P.; Nowak, M.; Chmiela, M. In Vitro and In Vivo Biocompatibility of Natural and Synthetic Pseudomonas aeruginosa Pyomelanin for Potential Biomedical Applications. Int. J. Mol. Sci. 2023, 24, 7846. https://doi.org/10.3390/ijms24097846
Urbaniak MM, Gazińska M, Rudnicka K, Płociński P, Nowak M, Chmiela M. In Vitro and In Vivo Biocompatibility of Natural and Synthetic Pseudomonas aeruginosa Pyomelanin for Potential Biomedical Applications. International Journal of Molecular Sciences. 2023; 24(9):7846. https://doi.org/10.3390/ijms24097846
Chicago/Turabian StyleUrbaniak, Mateusz M., Małgorzata Gazińska, Karolina Rudnicka, Przemysław Płociński, Monika Nowak, and Magdalena Chmiela. 2023. "In Vitro and In Vivo Biocompatibility of Natural and Synthetic Pseudomonas aeruginosa Pyomelanin for Potential Biomedical Applications" International Journal of Molecular Sciences 24, no. 9: 7846. https://doi.org/10.3390/ijms24097846
APA StyleUrbaniak, M. M., Gazińska, M., Rudnicka, K., Płociński, P., Nowak, M., & Chmiela, M. (2023). In Vitro and In Vivo Biocompatibility of Natural and Synthetic Pseudomonas aeruginosa Pyomelanin for Potential Biomedical Applications. International Journal of Molecular Sciences, 24(9), 7846. https://doi.org/10.3390/ijms24097846

