Synthesis of Bis(amino acids) Containing the Styryl-cyclobutane Core by Photosensitized [2+2]-Cross-cycloaddition of Allylidene-5(4H)-oxazolones
Abstract
1. Introduction
2. Results and Discussion
2.1. Synthesis of the 2-Aryl-4-(E-3′-aryl-allylidene)-5(4H)-oxazolones 1a–1h
2.2. Synthesis of the Cyclobutane-bis(oxazolones) 2 and 1,2-Diaminotruxinic Bis-amino Acids 3 by [2+2]-Photocycloaddition of Oxazolones 1
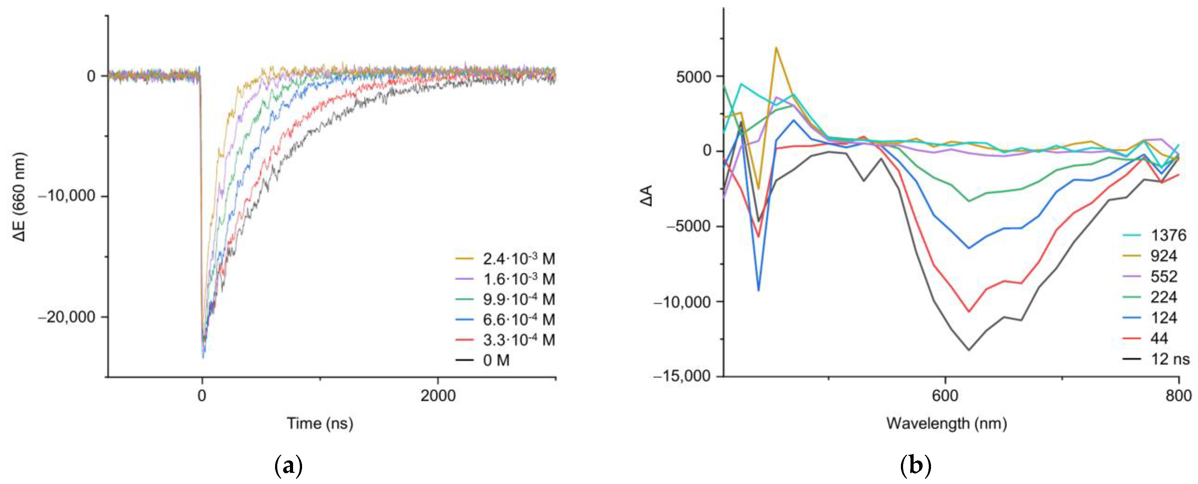
2.3. Characterization of the Oxazolone Reactive Excited State by Transient Absorption Spectroscopy
2.4. Characterization of the Reactive Excited State by DFT Methods

3. Materials and Methods
3.1. General Procedures
3.2. Irradiation Setup
3.3. X-ray Crystallography
3.4. Photophysical Experiments
3.5. General Procedure for the Synthesis of 2-Aryl-4-(E-3′-aryl-allylidene)-5(4H)-oxazolones 1a–1h
3.5.1. Synthesis of 2-Phenyl-4-(E-3′-phenylallylidene)-5(4H)-oxazolone 1a (EZ and EE Isomers)
3.5.2. Synthesis of 2-Phenyl-4-(E-3′-(4-chlorophenyl)allylidene)-5(4H)-oxazolone 1b (EZ and EE Isomers)
3.5.3. Synthesis of 2-Phenyl-4-(E-3′-(2-nitrophenyl)allylidene)-5(4H)-oxazolone 1c (EZ and EE Isomers)
3.5.4. Synthesis of (Z)-2-Phenyl-4-(E-2′-methyl-3′-phenylallyliden)-5(4H)-oxazolone 1d
3.5.5. Synthesis of (Z)-2-Phenyl-4-(Z-2′-bromo-3′-phenylallylidene)-5(4H)-oxazolone 1e
3.5.6. Synthesis of 2-(4-Cyanophenyl)-4-(E-3′-phenylallylidene)-5(4H)-oxazolone 1f (EZ and EE Isomers)
3.5.7. Synthesis of 2-(E-Styryl)-4-(E-3′-phenylallylidene)-5(4H)-oxazolone 1g (EZ and EE Isomers)
3.5.8. Synthesis of (Z)-2-Phenyl-4-(3’,3′-diphenylallylidene)-5(4H)-oxazolone 1h
3.6. Synthesis and Characterization of Cyclobutane-bis(oxazolone) Intermediates 2a, 2b, 2d and 2f
3.6.1. Synthesis of Cyclobutane 2a
3.6.2. Synthesis of Cyclobutane 2b
3.6.3. Synthesis of Cyclobutane 2d
3.6.4. Synthesis of Cyclobutane 2f
3.7. Synthesis and Characterization of Cyclobutanes 3a and 3b
3.7.1. Synthesis of Methyl-1-benzamido-2-((E)-2-benzamido-2-methoxycarbonylprop-1-en-1-yl)-3-phenyl-4-((E)-styryl)cyclobutane-1-carboxylate 3a
3.7.2. Synthesis of Methyl-1-benzamido-2-((E)-2-benzamido-2-methoxycarbonylprop-1-en-1-yl)-3-(4-chlorophenyl)-4-((E)-chlorostyryl)cyclobutane-1-carboxylate 3b
4. Conclusions
Supplementary Materials
Author Contributions
Funding
Institutional Review Board Statement
Informed Consent Statement
Data Availability Statement
Acknowledgments
Conflicts of Interest
References
- Amino Acids, Peptides and Proteins; Ryadnov, M., Hudecz, F., Eds.; Royal Society of Chemistry: London, UK, 2021; Volume 44. [Google Scholar]
- Wu, G. Amino acids: Metabolism, functions and nutrition. Amino Acids 2009, 37, 1. [Google Scholar] [CrossRef] [PubMed]
- Faraggi, T.M.; Rouget-Virbel, C.; Rincón, J.A.; Barberis, M.; Mateos, C.; García-Cerrada, S.; Agejas, J.; de Frutos, O.; MacMillan, D.W.C. Synthesis of Enantiopure Unnatural Amino Acids by Metallaphotoredox Catalysis. Org. Process Res. Dev. 2021, 25, 1966–1973. [Google Scholar] [CrossRef] [PubMed]
- Yang, Z.-P.; Freas, D.J.; Fu, G.C. Asymmetric Synthesis of Protected Unnatural α-Amino Acids via Enantioconvergent Nickel-Catalyzed Cross-Coupling. J. Am. Chem. Soc. 2021, 143, 8614. [Google Scholar] [CrossRef] [PubMed]
- Narancic, T.; Almahboub, S.A.; O’Connor, K.E. Unnatural amino acids: Production and biotechnological potential. World J. Microbiol. Biotechnol. 2019, 35, 67. [Google Scholar] [CrossRef]
- Merkens, K.; Aguilar Troyano, F.J.; Djossou, J.; Gómez-Suárez, A. Synthesis of Unnatural α-Amino Acid Derivatives via Light-Mediated Radical Decarboxylative Processes. Adv. Synth. Catal. 2020, 362, 2354. [Google Scholar] [CrossRef]
- Fosgerau, K.; Hoffmann, T. Peptide therapeutics: Current status and future directions. Drug Discov. Today 2015, 20, 122. [Google Scholar] [CrossRef]
- Adhikari, A.; Bhattarai, B.R.; Aryal, A.; Thapa, N.; Puja, K.C.; Adhikari, A.; Maharjan, S.; Chanda, P.B.; Regmi, B.P.; Parajuli, N. Reprogramming natural proteins using unnatural amino acids. RSC Adv. 2021, 11, 38126. [Google Scholar] [CrossRef]
- Pollegioni, L.; Servi, S. Unnatural Amino Acids; Springer: New York, NY, USA, 2012. [Google Scholar]
- Perdih, A.; Sollner Dolenc, M. Recent Advances in the Synthesis of Unnatural a-Amino Acids. Curr. Org. Chem. 2007, 11, 801. [Google Scholar]
- Krauze-Baranowska, M. Truxillic and truxinic acids occurrence in plant kingdom. Acta Pol. Pharm. 2002, 59, 403–410. [Google Scholar]
- Sergeiko, A.; Poroikov, V.V.; Hanus, L.O.; Dembitsky, V.M. Cyclobutane-Containing Alkaloids: Origin, Synthesis, and Biological Activities. Open Med. Chem. J. 2008, 2, 26. [Google Scholar] [CrossRef]
- Yan, S.; Elmes, M.W.; Tong, S.; Hu, K.; Awwa, M.; Teng, G.Y.H.; Jing, Y.; Freitag, M.; Gan, Q.; Clement, T.; et al. SAR studies on truxillic acid mono esters as a new class of antinociceptive agents targeting fatty acid binding proteins. Eur. J. Med. Chem. 2018, 154, 233. [Google Scholar] [CrossRef] [PubMed]
- Sokolova, A.; Pavlova, A.; Komarova, N.; Ardashov, O.; Shernyukov, A.; Gatilov, Y.; Yarovaya, O.; Tolstikova, T.; Salakhutdinov, N. Synthesis and analgesic activity of new α-truxillic acid derivatives with monoterpenoid fragments. Med. Chem. Res. 2016, 25, 1608. [Google Scholar] [CrossRef]
- Berger, W.T.; Ralph, B.P.; Kaczocha, M.; Sun, J.; Balius, T.E.; Rizzo, R.C.; Haj-Dahmane, S.; Ojima, I.; Deutsch, D.G. Targeting Fatty Acid Binding Protein (FABP) Anandamide Transporters—A Novel Strategy for Development of Anti-Inflammatory and Anti-Nociceptive Drugs. PLoS ONE 2012, 7, e50968. [Google Scholar] [CrossRef]
- Kaczocha, M.; Rebecchi, M.J.; Ralph, B.P.; Teng, Y.H.G.; Berger, W.T.; Galbavy, W.; Elmes, M.W.; Glaser, S.T.; Wang, L.; Rizzo, R.C.; et al. Inhibition of Fatty Acid Binding Proteins Elevates Brain Anandamide Levels and Produces Analgesia. PLoS ONE 2014, 9, e94200. [Google Scholar] [CrossRef] [PubMed]
- Chi, Y.-M.; Nakamura, M.; Zhao, X.-Y.; Yoshizawa, T.; Yan, W.-M.; Hashimoto, F.; Kinjo, J.; Nohara, T.; Sakurada, S. Antinociceptive Activities of α-Truxillic Acid and β-Truxinic Acid Derivatives. Biol. Pharm. Bull. 2006, 29, 580–584. [Google Scholar] [CrossRef] [PubMed]
- Ban, N.K.; Truong, L.H.; Tiep, T.V.; Yen, D.T.H.; Doan, V.V.; Nhiem, N.X.; Seo, Y.; Namkung, W.; Kim, S.Y.; Tai, B.H.; et al. Four new sucrose diesters of substituted truxinic acids from Trigonostemon honbaensis with their anoctamin-1 inhibitory activity. Bioorg. Chem. 2020, 102, 104058. [Google Scholar] [CrossRef] [PubMed]
- Liu, S.X.; Jin, H.Z.; Shan, L.; Zeng, H.W.; Chen, B.Y.; Sun, Q.Y.; Zhang, W.D. Inhibitory effect of 4,4′-dihydroxy-α-truxillic acid derivatives on NO production in lipopolysaccharide-induced RAW 264.7 macrophages and exploration of structure–activity relationships. Bioorg. Med. Chem. Lett. 2013, 23, 2207–2211. [Google Scholar] [CrossRef]
- Ning, D.-S.; Li, G.; Li, L.-C.; Fu, Y.-X.; Zou, Z.-Q.; Pan, Z.-H. A new ε-truxillic acid derivative from the leaves of Polygala fallax. Chem. Nat. Comp. 2021, 57, 459–461. [Google Scholar] [CrossRef]
- Ablikim, G.; Bobakulov, K.; Li, J.; Yadikar, N.; Aisa, H.A. Two new glucoside derivatives of truxinic and cinnamic acids from Lavandula angustifolia mill. Nat. Prod. Res. 2021, 35, 2526–2534. [Google Scholar] [CrossRef]
- Sommerwerk, S.; Kluge, R.; Ströhl, D.; Heller, L.; Kramell, A.E.; Ogiolda, S.; Liebing, P.; Csuk, R. Synthesis, characterization and cytotoxicity of new piplartine dimers. Tetrahedron 2016, 72, 1447. [Google Scholar] [CrossRef]
- Rupp, M.; Schroeter, T.; Steri, R.; Zettl, H.; Proschak, E.; Hansen, K.; Rau, O.; Schwarz, O.; Müller-Kuhrt, L.; Schubert-Zsilavecz, M.; et al. From Machine Learning to Natural Product Derivatives that Selectively Activate Transcription Factor PPARγ. ChemMedChem 2010, 5, 191–194. [Google Scholar] [CrossRef]
- Steri, R.; Rupp, M.; Proschak, E.; Schroeter, T.; Zettl, H.; Hansen, K.; Schwarz, O.; Müller-Kuhrt, L.; Müller, K.-R.; Schneider, G.; et al. Truxillic acid derivatives act as peroxisome proliferator-activated receptor γ activators. Bioorg. Med. Chem. Lett. 2010, 20, 2920–2923. [Google Scholar] [CrossRef] [PubMed]
- Matta, A.; Chammingkwan, P.; Singh, B.K.; Terano, M.; Kaneko, T.; Taniike, T. Truxillic and truxinic acid-based, bio-derived diesters as potent internal donor in Ziegler-Natta catalyst for propylene polymerization. Appl. Catal. A Gen. 2018, 554, 80–87. [Google Scholar] [CrossRef]
- Liu, Q.; Li, N.; Yuan, Y.; Lu, H.; Wu, X.; Zhou, C.; He, M.; Su, H.; Zhang, M.; Wang, J.; et al. Cyclobutane Derivatives As Novel Nonpeptidic Small Molecule Agonists of Glucagon-Like Peptide-1 Receptor. J. Med. Chem. 2012, 55, 250. [Google Scholar] [CrossRef] [PubMed]
- He, M.; Guan, N.; Gao, W.-W.; Liu, Q.; Wu, X.-Y.; Ma, D.-W.; Zhong, D.-F.; Ge, G.-B.; Li, C.; Chen, X.-Y.; et al. A continued saga of Boc5, the first non-peptidic glucagon-like peptide-1 receptor agonist with in vivo activities. Acta Pharm. Sin. 2012, 33, 148. [Google Scholar] [CrossRef] [PubMed]
- Chen, D.; Liao, J.; Li, N.; Zhou, C.; Liu, Q.; Wang, G.; Zhang, R.; Zhang, S.; Lin, L.; Chen, K.; et al. A nonpeptidic agonist of glucagon-like peptide 1 receptors with efficacy in diabetic db/db mice. Proc. Natl. Acad. Sci. USA 2007, 104, 943. [Google Scholar] [CrossRef]
- Poplata, S.; Tröster, A.; Zou, Y.-Q.; Bach, T. Recent Advances in the Synthesis of Cyclobutanes by Olefin [2+2]-Photocycloaddition Reactions. Chem. Rev. 2016, 116, 9748. [Google Scholar] [CrossRef] [PubMed]
- García-Montero, A.; Rodríguez, A.M.; Juan, A.; Velders, A.H.; Denisi, A.; Jiménez-Osés, G.; Gómez-Bengoa, E.; Cativiela, C.; Gómez, M.V.; Urriolabeitia, E.P. Metal-Free [2+2]-Photocycloaddition of (Z)-4-Aryliden-5(4H)-Oxazolones as Straightforward Synthesis of 1,3-Diaminotruxillic Acid Precursors: Synthetic Scope and Mechanistic Studies. ACS Sustain. Chem. Eng. 2017, 5, 8370. [Google Scholar] [CrossRef]
- Marra, I.F.S.; de Almeida, A.M.; Silva, L.P.; de Castro, P.P.; Corrêa, C.C.; Amarante, G.W. Stereoselective Intermolecular [2+2] Cycloadditions of Erlenmeyer−Plöchl Azlactones Using Visible Light Photoredox Catalysis. J. Org. Chem. 2018, 83, 15144. [Google Scholar] [CrossRef]
- Sierra, S.; Gomez, M.V.; Jiménez, A.I.; Pop, A.; Silvestru, C.; Marín, M.L.; Boscá, F.; Sastre, G.; Gómez-Bengoa, E.; Urriolabeitia, E.P. Stereoselective, Ruthenium-Photocatalyzed Synthesis of 1,2-Diaminotruxinic Bis-amino Acids from 4-Arylidene-5(4H)-oxazolones. J. Org. Chem. 2022, 87, 3529. [Google Scholar] [CrossRef]
- Plöchl, J. Ueber Phenylglycidasäure (Phenyloxacrylsäure). Ber. Dtsch. Chem. Ges. 1883, 16, 2815. [Google Scholar] [CrossRef]
- Plöchl, J. Ueber einige Derivate der Benzoylimidozimmtsäure. Ber. Dtsch. Chem. Ges. 1884, 17, 1623. [Google Scholar] [CrossRef]
- Erlenmeyer, E. Ueber die Condensation der Hippursäure mit Phtalsäureanhydrid und mit Benzaldehyd. Justus Liebigs Ann. Chem. 1893, 275, 1. [Google Scholar]
- Carter, H.E. Azlactones. In Organic Reactions; Chapter 5 of the Book Series; John Wiley & Sons: New York, NY, USA, 1946; Volume 3, p. 198. [Google Scholar]
- Filler, R. Advances in Heterocyclic Chemistry; Katrizky, A.R., Ed.; Academic Press: New York, NY, USA, 1954; Chapter 4; p. 75. [Google Scholar]
- Rao, Y.S.; Filler, R. Geometric Isomers of 2-Aryl(Aralkyl)-4-arylidene(alkylidene)-5(4H)-oxazolones. Synthesis 1975, 12, 749. [Google Scholar] [CrossRef]
- Rao, Y.S.; Filler, R. Oxazoles. In The Chemistry of Heterocyclic Compounds; Turchi, I.J., Ed.; John Wiley & Sons, Inc.: New York, NY, USA, 1986; Volume 45, Chapter 3; pp. 363–691. [Google Scholar]
- Bautista, F.M.; Campelo, J.M.; García, A.; Luna, D.; Marinas, J.M.; Romero, A.A. Study on Dry-Media Microwave Azalactone Synthesis on Different Supported Kf Catalysts: Influence of Textural and Acid−Base Properties of Supports. J. Chem. Soc. Perkin Trans. 2002, 2, 227. [Google Scholar] [CrossRef]
- Szukalski, A.; Krawczyk, P.; Sahraoui, B.; Jędrzejewska, B. Multifunctional Oxazolone Derivative as an Optical Amplifier, Generator, and Modulator. J. Phys. Chem. B 2022, 126, 1742–1757. [Google Scholar] [CrossRef]
- Prokof’ev, E.P.; Karpeiskaya, E.I. The Proton Coupled 13C NMR Direct Determination of Z-, E-Configuration of 4-Benzyliden-2-Phenyl(Methyl)-D2-Oxazolin-5-Ones and Products of Their Solvolysis. Tetrahedron Lett. 1979, 20, 737–740. [Google Scholar] [CrossRef]
- Vogeli, U.; von Philipsborn, W. Vicinal C,H Spin Coupling in Substituted Alkenes. Stereochemical Significance and Structural Effects. Org. Magn. Reson. 1975, 7, 617–627. [Google Scholar] [CrossRef]
- Allen, F.H.; Kennard, O.; Watson, D.G.; Brammer, L.; Orpen, A.G.; Taylor, R. Tables of Bond Lengths Determined by X-Ray and Neutron Diffraction. Part 1. Bond Lengths in Organic Compounds. J. Chem. Soc. Perkin Trans. 1987, 2, S1–S19. [Google Scholar] [CrossRef]
- Roiban, G.-D.; Serrano, E.; Soler, T.; Aullon, G.; Grosu, I.; Cativiela, C.; Martinez, M.; Urriolabeitia, E.P. Regioselective Orthopalladation of (Z)-2-Aryl-4-Arylidene-5(4H)-Oxazolones: Scope, Kinetico-Mechanistic, and Density Functional Theory Studies of the C–H Bond Activation. Inorg. Chem. 2011, 50, 8132. [Google Scholar] [CrossRef]
- Roiban, G.-D.; Soler, T.; Grosu, I.; Cativiela, C.; Urriolabeitia, E.P. Unsaturated 4,4′-bis-[5(4H)-oxazolones]: Synthesis and evaluation of their ortho-palladation through C–H bond activation. Inorg. Chim. Acta 2011, 368, 247. [Google Scholar] [CrossRef]
- Roiban, G.-D.; Serrano, E.; Soler, T.; Contel, M.; Grosu, I.; Cativiela, C.; Urriolabeitia, E.P. Ortho-Palladation of (Z)-2-Aryl-4-Arylidene-5(4H)-Oxazolones. Structure and Functionalization. Organometallics 2010, 29, 1428. [Google Scholar] [CrossRef]
- Dalmau, D.; Jiménez, A.I.; Urriolabeitia, E.P. Synthesis and characterization of orthopalladated complexes containing tridentate C,N,O-oxazolones. Polyhedron 2022, 222, 115904. [Google Scholar] [CrossRef]
- Campagna, S.; Puntoriero, F.; Nastasi, F.; Bergamini, G.; Balzani, V. Photochemistry and Photophysics of Coordination Compounds: Ruthenium. Top. Curr. Chem. 2007, 280, 117–214. [Google Scholar]
- Juris, A.; Balzani, V.; Barigelletti, F.; Campagna, S.; Belser, P.; von Zelewsky, A. Ru(II) Polypyridine Complexes: Photophysics, Photochemistry, Electrochemistry, and Chemiluminescence. Coord. Chem. Rev. 1988, 84, 85–277. [Google Scholar] [CrossRef]
- Balzani, V.; Bergamini, G.; Marchioni, F.; Ceroni, P. Ru(II)-bipyridine complexes in supramolecular systems, devices and machines. Coord. Chem. Rev. 2006, 250, 1254–1266. [Google Scholar] [CrossRef]
- Sandros, K.; Haglid, F.; Ryhage, R.; Ryhage, R.; Stevens, R. Transfer of Triplet State Energy in Fluid Solutions. III. Reversible Energy Transfer. Acta Chem. Scand. 1964, 18, 2355. [Google Scholar] [CrossRef]
- Gaussian 16, Revision B.01; Gaussian, Inc.: Wallingford, CT, USA, 2016.
- Luchini, G.; Alegre-Requena, J.V.; Funes-Ardoiz, I.; Paton, R.S. GoodVibes version 3.2. F1000Research 2020, 9, 291. [Google Scholar] [CrossRef]
- Alegre-Requena, J.V.; Sowndarya, S.; Pérez-Soto, R.; Alturaifi, T.; Paton, R. AQME: Automated Quantum Mechanical Environments for Researchers and Educators. Wiley Interdiscip. Rev. Comput. Mol. Sci. 2023, e1663. [Google Scholar] [CrossRef]
- Pracht, P.; Bohle, F.; Grimme, S. Automated exploration of the low-energy chemical space with fast quantum chemical methods. Phys. Chem. Chem. Phys. 2020, 22, 7169–7192. [Google Scholar] [CrossRef]
- O’Boyle, N.M.; Tenderholt, A.L.; Langner, K.M. cclib: A Library for Package-Independent Computational Chemistry Algorithms. J. Comp. Chem. 2008, 29, 839–845. [Google Scholar] [CrossRef]
- Hehre, W.J.; Ditchfield, R.; Pople, J.A. Self-consistent molecular orbital methods. XII. Further extensions of gaussian-type basis sets for use in molecular orbital studies of organic molecules. J. Chem. Phys. 1972, 56, 2257–2261. [Google Scholar] [CrossRef]
- Weigend, F.; Ahlrichs, R. Balanced basis sets of split valence, triple zeta valence and quadruple zeta valence quality for H to Rn: Design and assessment of accuracy. Phys. Chem. Chem. Phys. 2005, 7, 3297. [Google Scholar] [CrossRef]
- Chai, J.-D.; Head-Gordon, M. Long-range corrected hybrid density functionals with damped atom–atom dispersion corrections. Phys. Chem. Chem. Phys. 2008, 10, 6615. [Google Scholar] [CrossRef]
- Marenich, A.V.; Cramer, C.J.; Truhlar, D.G. Universal solvation model based on solute electron density and on a continuum model of the solvent defined by the bulk dielectric constant and atomic surface tensions. J. Phys. Chem. B 2009, 113, 6378. [Google Scholar] [CrossRef]
- Kwan, E.E.; Liu, R.Y. Enhancing NMR Prediction for Organic Compounds Using Molecular Dynamics. J. Chem. Theory Comput. 2015, 11, 5083. [Google Scholar] [CrossRef]
- Glendening, E.D.; Badenhoop, J.K.; Reed, A.E.; Carpenter, J.E.; Bohmann, J.A.; Morales, C.M.; Karafiloglou, P.; Landis, C.R.; Weinhold, F. NBO, Version 7.0; Theoretical Chemistry Institute, University of Wisconsin: Madison, WI, USA, 2018.
- Burstall, F.H. Optical activity dependent on coordinated bivalent ruthenium. J. Chem. Soc. 1936, 173–175. [Google Scholar] [CrossRef]
- Broomhead, J.A.; Young, C.G.; Hood, P. Tris(2,2′-Bipyridine)Ruthenium(II) Dichloride Hexahydrate. Inorg. Synth. 1982, 21, 127. [Google Scholar]
- SAINT, Version 5.0; Bruker Analytical X-Ray Systems: Madison, WI, USA, 1998.
- Sheldrick, G.M. SADABS, Program for Absorption and Other Corrections; Göttingen University: Göttingen, Germany, 1996. [Google Scholar]
- Sheldrick, G.M. SHELXT—Integrated Space-Group and Crystal- Structure Determination. Acta Crystallogr. Sect. A Found. Adv. 2015, A71, 3–8. [Google Scholar]
- Sheldrick, G.M. Crystal structure refinement with SHELXL. Acta Cryst. Sect. C Struct. Chem. 2015, C71, 3. [Google Scholar]
- Becke, A.D. Density-functional thermochemistry. V. Systematic optimization of exchange-correlation functionals. J. Chem. Phys. 1997, 107, 8554–8560. [Google Scholar] [CrossRef]
- Rassolov, V.A.; Ratner, M.A.; Pople, J.A.; Redfern, P.C.; Curtiss, L.A. 6-31G* basis set for third-row atoms. J. Comput. Chem. 2001, 22, 976–984. [Google Scholar] [CrossRef]
- Francl, M.M.; Pietro, W.J.; Hehre, W.J.; Binkley, J.S.; Gordon, M.S.; DeFrees, D.J.; Pople, J.A. Selfconsistent molecular-orbital methods. 23. A polarization-type basis set for second-row elements. J. Chem. Phys. 1982, 77, 3654–3665. [Google Scholar] [CrossRef]
- Hariharan, P.C.; Pople, J.A. Influence of polarization functions on molecular-orbital hydrogenation energies. Theor. Chim. Acta 1973, 28, 213–222. [Google Scholar] [CrossRef]
- Clark, T.; Chandrasekhar, J.; Spitznagel, G.W.; Schleyer, P.V.R. Efficient diffuse function-augmented basis sets for anion calculations. III. The 3-21+G basis set for first-row elements, Li–F. J. Comput. Chem. 1983, 4, 294–301. [Google Scholar] [CrossRef]
- Luchini, G.; Alegre-Requena, J.V.; Funes-Ardoiz, I.; Paton, R.S. GoodVibes: Automated thermochemistry for heterogeneous computational chemistry data. F1000Research 2020, 9, 291. [Google Scholar] [CrossRef]
- Cances, E.; Mennucci, B.; Tomasi, J. A new integral equation formalism for the polarizable continuum model: Theoretical background and applications to isotropic and anisotropic dielectrics. J. Chem. Phys. 1997, 107, 3032–3041. [Google Scholar] [CrossRef]
- Mennucci, B.; Cances, E.; Tomasi, J. Evaluation of solvent effects in isotropic and anisotropic dielectrics and in ionic solutions with a unified integral equation method: Theoretical bases, computational implementation, and numerical applications. J. Phys. Chem. B 1997, 101, 10506–10517. [Google Scholar] [CrossRef]
- Scalmani, G.; Frisch, M.J. Continuous surface charge polarizable continuum models of solvation. I. General formalism. J. Chem. Phys. 2010, 132, 114110. [Google Scholar] [CrossRef]
- Tomasi, J.; Mennucci, B.; Cances, E. The IEF version of the PCM solvation method: An overview of a new method addressed to study molecular solutes at the QM ab initio level. J. Mol. Struct. Theochem 1999, 464, 211–226. [Google Scholar] [CrossRef]
- Mennucci, B.; Tomasi, J. Continuum solvation models: A new approach to the problem of solute’s charge distribution and cavity boundaries. J. Chem. Phys. 1997, 106, 5151–5158. [Google Scholar] [CrossRef]
- Grimme, S. Supramolecular binding thermodynamics by dispersion-corrected density functional theory. Chem. Eur. J. 2012, 18, 9955–9964. [Google Scholar] [CrossRef]
- Bryantsev, V.S.; Diallo, M.S.; Goddard III, W.A. Calculation of solvation free energies of charged solutes using mixed cluster/continuum models. J. Phys. Chem. B 2008, 112, 9709–9719. [Google Scholar] [CrossRef] [PubMed]
- Álvarez-Moreno, M.; de Graaf, C.; López, N.; Maseras, F.; Poblet, J.M.; Bo, C. Managing the Computational Chemistry Big Data Problem: The ioChem-BD Platform. J. Chem. Inf. Model. 2015, 55, 95–103. [Google Scholar] [CrossRef]
- Essafi, S.; Harvey, J.N. Rates of molecular vibrational energy transfer in organic solutions. J. Phys. Chem. A 2018, 122, 3535–3540. [Google Scholar] [CrossRef]










Disclaimer/Publisher’s Note: The statements, opinions and data contained in all publications are solely those of the individual author(s) and contributor(s) and not of MDPI and/or the editor(s). MDPI and/or the editor(s) disclaim responsibility for any injury to people or property resulting from any ideas, methods, instructions or products referred to in the content. |
© 2023 by the authors. Licensee MDPI, Basel, Switzerland. This article is an open access article distributed under the terms and conditions of the Creative Commons Attribution (CC BY) license (https://creativecommons.org/licenses/by/4.0/).
Share and Cite
Sierra, S.; Dalmau, D.; Alegre-Requena, J.V.; Pop, A.; Silvestru, C.; Marín, M.L.; Boscá, F.; Urriolabeitia, E.P. Synthesis of Bis(amino acids) Containing the Styryl-cyclobutane Core by Photosensitized [2+2]-Cross-cycloaddition of Allylidene-5(4H)-oxazolones. Int. J. Mol. Sci. 2023, 24, 7583. https://doi.org/10.3390/ijms24087583
Sierra S, Dalmau D, Alegre-Requena JV, Pop A, Silvestru C, Marín ML, Boscá F, Urriolabeitia EP. Synthesis of Bis(amino acids) Containing the Styryl-cyclobutane Core by Photosensitized [2+2]-Cross-cycloaddition of Allylidene-5(4H)-oxazolones. International Journal of Molecular Sciences. 2023; 24(8):7583. https://doi.org/10.3390/ijms24087583
Chicago/Turabian StyleSierra, Sonia, David Dalmau, Juan V. Alegre-Requena, Alexandra Pop, Cristian Silvestru, Maria Luisa Marín, Francisco Boscá, and Esteban P. Urriolabeitia. 2023. "Synthesis of Bis(amino acids) Containing the Styryl-cyclobutane Core by Photosensitized [2+2]-Cross-cycloaddition of Allylidene-5(4H)-oxazolones" International Journal of Molecular Sciences 24, no. 8: 7583. https://doi.org/10.3390/ijms24087583
APA StyleSierra, S., Dalmau, D., Alegre-Requena, J. V., Pop, A., Silvestru, C., Marín, M. L., Boscá, F., & Urriolabeitia, E. P. (2023). Synthesis of Bis(amino acids) Containing the Styryl-cyclobutane Core by Photosensitized [2+2]-Cross-cycloaddition of Allylidene-5(4H)-oxazolones. International Journal of Molecular Sciences, 24(8), 7583. https://doi.org/10.3390/ijms24087583

