Detection of Novel Biomarkers in Pediatric Autoimmune Hepatitis by Proteomic Profiling
Abstract
1. Introduction
2. Results
2.1. Clinical Cohort
2.2. Targeted Proteome Profiling
2.3. Comparison of Protein Abundance in Patients with AIH and Controls
2.4. Comparison of Proteome Profiles between AIH Subphenotypes
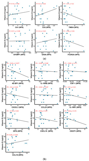
2.5. Correlations between AIH and Vitamin D
3. Discussion
4. Materials and Methods
4.1. Patients
4.2. Sample Processing and Protein Detection
4.3. Statistical Analysis
Author Contributions
Funding
Institutional Review Board Statement
Informed Consent Statement
Conflicts of Interest
References
- Tenca, A.; Färkkilä, M.; Jalanko, H.; Vapalahti, K.; Arola, J.; Jaakkola, T.; Penagini, R.; Vapalahti, O.; Kolho, K.-L. Environmental Risk Factors of Pediatric-Onset Primary Sclerosing Cholangitis and Autoimmune Hepatitis. J. Pediatr. Gas-Troenterol. Nutr. 2016, 62, 437–442. [Google Scholar] [CrossRef] [PubMed]
- Tanaka, A. Autoimmune Hepatitis: 2019 Update. Gut Liver 2020, 14, 430–438. [Google Scholar] [CrossRef]
- Zheng, L.; Liu, Y.; Shang, Y.; Han, Z.; Han, Y. Clinical characteristics and treatment outcomes of acute severe au-toimmune hepatitis. BMC Gastroenterol. 2021, 21, 93. [Google Scholar] [CrossRef]
- Alvarez, F.; Berg, P.A.; Bianchi, F.B.; Bianchi, L.; Burroughs, A.K.; Cancado, E.L.; Chapman, R.W.; Cooksley, W.G.; Czaja, A.J.; Desmet, V.J.; et al. International Autoimmune Hepatitis Group Report: Review of criteria for diagnosis of autoimmune hepatitis. J. Hepatol. 1999, 31, 929–938. [Google Scholar] [CrossRef]
- Manns, M.P.; Czaja, A.J.; Gorham, J.D.; Krawitt, E.L.; Mieli-Vergani, G.; Vergani, D.; Vierling, J.M.; American Association for the Study of Liver Diseases. Diagnosis and management of autoimmune hepatitis. Hepatol. Baltim. Md. 2010, 51, 2193–2213. [Google Scholar] [CrossRef] [PubMed]
- Gleeson, D.; Heneghan, M.A.; British Society of Gastroenterology. British Society of Gastroenterology (BSG) guide-lines for management of autoimmune hepatitis. Gut 2011, 60, 1611–1629. [Google Scholar] [CrossRef] [PubMed]
- Fox, C.K.; Furtwaengler, A.; Nepomuceno, R.R.; Martinez, O.M.; Krams, S.M. Apoptotic pathways in primary biliary cirrhosis and autoimmune hepatitis. Liver 2001, 21, 272–279. [Google Scholar] [CrossRef]
- Bai, J.; Odin, J.A. Apoptosis and the liver: Relation to autoimmunity and related conditions. Autoimmun. Rev. 2003, 2, 36–42. [Google Scholar] [CrossRef]
- Kerr, J.F.; Cooksley, W.G.; Searle, J.; Halliday, J.W.; Halliday, W.J.; Holder, L.; Roberts, I.; Burnett, W.; Powell, L.W. The nature of piecemeal necrosis in chronic active hepatitis. Lancet 1979, 2, 827–828. [Google Scholar] [CrossRef]
- Czaja, A.J. Hepatic inflammation and progressive liver fibrosis in chronic liver disease. World J. Gastroenterol. 2014, 20, 2515–2532. [Google Scholar] [CrossRef]
- Czaja, A.J. Review article: The prevention and reversal of hepatic fibrosis in autoimmune hepatitis. Aliment. Pharmacol. Ther. 2014, 39, 385–406. [Google Scholar] [CrossRef] [PubMed]
- Schalm, S.W.; Korman, M.G.; Summerskill, W.H.; Czaja, A.J.; Baggenstoss, A.H. Severe chronic active liver disease. Prognostic significance of initial morphologic patterns. Am. J. Dig. Dis. 1977, 22, 973–980. [Google Scholar] [CrossRef]
- Carpenter, H.A.; Czaja, A.J. The role of histologic evaluation in the diagnosis and management of autoimmune hepatitis and its variants. Clin. Liver Dis. 2002, 6, 685–705. [Google Scholar] [CrossRef] [PubMed]
- Mieli-Vergani, G.; Vergani, D.; Baumann, U.; Czubkowski, P.; Debray, D.; Dezsofi, A.; Fischler, B.; Gupte, G.; Hierro, L.; Indolfi, G.; et al. Diagnosis and Management of Pediatric Autoimmune Liver Disease: ESPGHAN Hepatology Committee Position Statement. J. Pediatr. Gastroenterol. Nutr. 2018, 66, 345–360. [Google Scholar] [CrossRef]
- Ferri, S.; Muratori, L.; Lenzi, M.; Granito, A.; Bianchi, F.; Vergani, D. HCV and Autoimmunity. Curr. Pharm. Des. 2008, 14, 1678–1685. [Google Scholar] [CrossRef] [PubMed]
- Jiménez-Rivera, C.; Ling, S.C.; Ahmed, N.; Yap, J.; Aglipay, M.; Barrowman, N.; Graitson, S.; Critch, J.; Rashid, M.; Ng, V.L.; et al. Incidence and Characteristics of Autoimmune Hepatitis. Pediatrics 2015, 136, e1237–e1248. [Google Scholar] [CrossRef]
- Zingaretti, C.; Arigò, M.; Cardaci, A.; Moro, M.; Crosti, M.; Sinisi, A.; Sugliano, E.; Cheroni, C.; Marabita, F.; Noga-rotto, R.; et al. Identification of new autoantigens by protein array indicates a role for IL4 neutralization in autoimmune hepatitis. Mol. Cell Proteom. MCP 2012, 11, 1885–1897. [Google Scholar] [CrossRef] [PubMed]
- Zachou, K.; Rigopoulou, E.; Dalekos, G.N. Autoantibodies and autoantigens in autoimmune hepatitis: Important tools in clinical practice and to study pathogenesis of the disease. J. Autoimmune Dis. 2004, 1, 2. [Google Scholar] [CrossRef]
- Bacon, K.; Baggiolini, M.; Broxmeyer, H.; Horuk, R.; Lindley, I.; Mantovani, A.; Maysushima, K.; Murphy, P.; No-miyama, H.; Oppenheim, J.; et al. Chemokine/chemokine receptor nomenclature. J. Interf. Cytokine Res. 2002, 22, 1067–1068. [Google Scholar] [CrossRef]
- Fernandez, E.J.; Lolis, E. Structure, function, and inhibition of chemokines. Annu. Rev. Pharmacol. Toxicol. 2002, 42, 469–499. [Google Scholar] [CrossRef]
- Campbell, D.J.; Kim, C.H.; Butcher, E.C. Chemokines in the systemic organization of immunity. Immunol. Rev. 2003, 195, 58–71. [Google Scholar] [CrossRef]
- Rot, A.; von Andrian, U.H. Chemokines in innate and adaptive host defense: Basic chemokinese grammar for im-mune cells. Annu. Rev. Immunol. 2004, 22, 891–928. [Google Scholar] [CrossRef] [PubMed]
- Allen, S.J.; Crown, S.E.; Handel, T.M. Chemokine: Receptor structure, interactions, and antagonism. Annu. Rev. Immunol. 2007, 25, 787–820. [Google Scholar] [CrossRef] [PubMed]
- Bonecchi, R.; Galliera, E.; Borroni, E.M.; Corsi, M.M.; Locati, M.; Mantovani, A. Chemokines and chemokine recep-tors: An overview. Front. Biosci. 2009, 14, 540–551. [Google Scholar] [CrossRef] [PubMed]
- Sahin, H.; Wasmuth, H.E. Chemokines in tissue fibrosis. Biochim. Biophys. Acta 2013, 1832, 1041–1048. [Google Scholar] [CrossRef]
- Sahin, H.; Trautwein, C.; Wasmuth, H.E. Functional role of chemokines in liver disease models. Nat. Rev. Gastroenterol. Hepatol. 2010, 7, 682–690. [Google Scholar] [CrossRef]
- Antonelli, A.; Ferrari, S.M.; Giuggioli, D.; Ferrannini, E.; Ferri, C.; Fallahi, P. Chemokine (C-X-C motif) ligand (CXCL)10 in autoimmune diseases. Autoimmun. Rev. 2014, 13, 272–280. [Google Scholar] [CrossRef]
- Luster, A.D. Chemokines--chemotactic cytokines that mediate inflammation. N. Engl. J. Med. 1998, 338, 436–445. [Google Scholar] [CrossRef]
- Wasmuth, H.E.; Tacke, F.; Trautwein, C. Chemokines in liver inflammation and fibrosis. Semin. Liver Dis. 2010, 30, 215–225. [Google Scholar] [CrossRef]
- Lee, E.Y.; Lee, Z.H.; Song, Y.W. CXCL10 and autoimmune diseases. Autoimmun. Rev. 2009, 8, 379–383. [Google Scholar] [CrossRef]
- Colvin, R.A.; Campanella, G.S.V.; Sun, J.; Luster, A.D. Intracellular domains of CXCR3 that mediate CXCL9, CXCL10, and CXCL11 function. J. Biol. Chem. 2004, 279, 30219–30227. [Google Scholar] [CrossRef] [PubMed]
- Ruiz-Romero, C.; Lam, M.P.Y.; Nilsson, P.; Önnerfjord, P.; Utz, P.J.; Van Eyk, J.E.; Venkatraman, V.; Fert-Bober, J.; Watt, F.E.; Blanco, F.J. Mining the Proteome Associated with Rheumatic and Autoimmune Diseases. J. Proteome Res. 2019, 18, 4231–4239. [Google Scholar] [CrossRef]
- Huguet, S.; Labas, V.; Duclos-Vallee, J.C.; Bruneel, A.; Vinh, J.; Samuel, D.; Johanet, C.; Ballot, E. Heterogeneous nuclear ribonucleoprotein A2/B1 identified as an autoantigen in autoimmune hepatitis by proteome analysis. Proteomics 2004, 4, 1341–1345. [Google Scholar] [CrossRef]
- Tahiri, F.; Le Naour, F.; Huguet, S.; Lai-Kuen, R.; Samuel, D.; Johanet, C.; Saubamea, B.; Tricottet, V.; Duclos-Vallee, J.-C.; Ballot, E. Identification of plasma membrane autoantigens in autoimmune hepatitis type 1 using a proteomics tool. Hepatology 2008, 47, 937–948. [Google Scholar] [CrossRef]
- Oliveira, A.G.; Fiorotto, R. Novel approaches to liver disease diagnosis and modeling. Transl. Gastroenterol. Hepatol. 2021, 6, 19. [Google Scholar] [CrossRef] [PubMed]
- Li, H.; Li, G.; Zhao, X.; Wu, Y.; Ma, W.; Liu, Y.; Gong, F.; Liang, S. Complementary serum proteomic analysis of autoimmune hepatitis in mice and patients. J. Transl. Med. 2013, 11, 146. [Google Scholar] [CrossRef] [PubMed]
- Xia, Q.; Lu, F.; Yan, H.-P.; Wang, H.-X.; Feng, X.; Zhao, Y.; Liu, B.-Y.; Wang, J.; Li, P.; Xue, Y.; et al. Autoantibody profiling of Chinese patients with autoimmune hepatitis using immunoproteomic analysis. J. Proteome Res. 2008, 7, 1963–1970. [Google Scholar] [CrossRef]
- Obermayer-Straub, P.; Strassburg, C.P.; Manns, M.P. Autoimmune hepatitis. J. Hepatol. 2000, 32 (Suppl. S1), 181–197. [Google Scholar] [CrossRef] [PubMed]
- Pop, T.L.; Sîrbe, C.; Benţa, G.; Mititelu, A.; Grama, A. The Role of Vitamin D and Vitamin D Binding Protein in Chronic Liver Diseases. Int. J. Mol. Sci. 2022, 23, 10705. [Google Scholar] [CrossRef] [PubMed]
- Sîrbe, C.; Rednic, S.; Grama, A.; Pop, T.L. An Update on the Effects of Vitamin D on the Immune System and Au-toimmune Diseases. Int. J. Mol. Sci. 2022, 23, 9784. [Google Scholar] [CrossRef]
- Arnson, Y.; Amital, H.; Shoenfeld, Y. Vitamin D and autoimmunity: New aetiological and therapeutic considerations. Ann. Rheum. Dis. 2007, 66, 1137–1142. [Google Scholar] [CrossRef] [PubMed]
- Adams, J.S.; Hewison, M. Unexpected actions of vitamin D: New perspectives on the regulation of innate and adap-tive immunity. Nat. Clin. Pract. Endocrinol. Metab. 2008, 4, 80–90. [Google Scholar] [CrossRef]
- Gatselis, N.K.; Zachou, K.; Koukoulis, G.K.; Dalekos, G.N. Autoimmune hepatitis, one disease with many faces: Etiopathogenetic, clinico-laboratory and histological characteristics. World J. Gastroenterol. WJG 2015, 21, 60–83. [Google Scholar] [CrossRef]
- Smith, J.G.; Gerszten, R.E. Emerging Affinity-Based Proteomic Technologies for Large-Scale Plasma Profiling in Cardiovascular Disease. Circulation 2017, 135, 1651–1664. [Google Scholar] [CrossRef]
- Petrera, A.; von Toerne, C.; Behler, J.; Huth, C.; Thorand, B.; Hilgendorff, A.; Hauck, S.M. Multiplatform Approach for Plasma Proteomics: Complementarity of Olink Proximity Extension Assay Technology to Mass Spectrometry-Based Protein Profiling. J. Proteome Res. 2021, 20, 751–762. [Google Scholar] [CrossRef]
- Buitrago-Molina, L.E.; Pietrek, J.; Noyan, F.; Schlue, J.; Manns, M.P.; Wedemeyer, H.; Hardtke-Wolenski, M.; Jaeckel, E. Treg-specific IL-2 therapy can reestablish intrahepatic immune regulation in autoimmune hepatitis. J. Autoimmun. 2021, 117, 102591. [Google Scholar] [CrossRef] [PubMed]
- Buitrago-Molina, L.E.; Dywicki, J.; Noyan, F.; Trippler, M.; Pietrek, J.; Schlue, J.; Manns, M.P.; Wedemeyer, H.; Jaeckel, E.; Hardtke-Wolenski, M. Splenectomy Prior to Experimental Induction of Autoimmune Hepatitis Promotes More Severe Hepatic Inflammation, Production of IL-17 and Apoptosis. Biomedicines 2021, 9, 58. [Google Scholar] [CrossRef]
- Buitrago-Molina, L.E.; Dywicki, J.; Noyan, F.; Schepergerdes, L.; Pietrek, J.; Lieber, M.; Schlue, J.; Manns, M.P.; Wedemeyer, H.; Jaeckel, E.; et al. Anti-CD20 Therapy Alters the Protein Signature in Experimental Murine AIH, but Not Exclusively towards Regeneration. Cells 2021, 10, 1471. [Google Scholar] [CrossRef] [PubMed]
- Kilanczyk, E.; Banales, J.M.; Jurewicz, E.; Milkiewicz, P.; Milkiewicz, M. p-STAT3 is a PDC-E2 interacting partner in human cholangiocytes and hepatocytes with potential pathobiological implications. Sci. Rep. 2021, 11, 21649. [Google Scholar] [CrossRef]
- Barron-Millar, B.; Ogle, L.; Mells, G.; Flack, S.; Badrock, J.; Sandford, R.; Kirby, J.; Palmer, J.; Jopson, L.; Brain, J.; et al. The Serum Proteome and Ursodeoxycholic Acid Response in Primary Biliary Cholangitis. Hepatology 2021, 74, 3269–3283. [Google Scholar] [CrossRef]
- Aregay, A.; Engel, B.; Port, K.; Vondran, F.W.R.; Bremer, B.; Niehaus, C.; Khera, T.; Richter, N.; Jaeckel, E.; Cornberg, M.; et al. Distinct Immune Imprints of Post–Liver Transplantation Hepatitis C Persist Despite Viral Clearance. Liver Transpl. 2021, 27, 887–899. [Google Scholar] [CrossRef]
- Khera, T.; Madsen, L.W.; Du, Y.; Lillevang, S.T.; Christensen, P.B.; Wedemeyer, H. Soluble inflammatory mediators identify HCV patients who may be cured with four weeks of antiviral treatment. J. Viral Hepat. 2022, 29, 447–454. [Google Scholar] [CrossRef] [PubMed]
- Khera, T.; Du, Y.; Todt, D.; Deterding, K.; Strunz, B.; Hardtke, S.; Aregay, A.; Port, K.; Hardtke-Wolenski, M.; Steinmann, E.; et al. Long-Lasting Imprint in the Soluble Inflammatory Milieu Despite Early Treatment of Acute Symptomatic Hepatitis C. J. Infect Dis. 2022, 226, 441–452. [Google Scholar] [CrossRef] [PubMed]
- Sveinbjornsson, G.; Ulfarsson, M.O.; Thorolfsdottir, R.B.; Jonsson, B.A.; Einarsson, E.; Gunnlaugsson, G.; Rogn-valdsson, S.; Arnar, D.O.; Baldvinsson, M.; Bjarnason, R.G.; et al. Multiomics study of nonalcoholic fatty liver disease. Nat. Genet. 2022, 54, 1652–1663. [Google Scholar] [CrossRef]
- Bárcena, C.; Stefanovic, M.; Tutusaus, A.; Joannas, L.; Menéndez, A.; García-Ruiz, C.; Sancho-Bru, P.; Marí, M.; Ca-balleria, J.; Rothlin, C.V.; et al. Gas6/Axl pathway is activated in chronic liver disease and its targeting reduces fibrosis via hepatic stellate cell inactivation. J. Hepatol. 2015, 63, 670–678. [Google Scholar] [CrossRef]
- Tsai, W.B.; Long, Y.; Kuo, M.T. Gas6/Axl in arginine-starvation therapy. Oncoscience 2015, 2, 659–660. [Google Scholar] [CrossRef]
- Zhang, C.Y.; Yuan, W.G.; He, P.; Lei, J.H.; Wang, C.X. Liver fibrosis and hepatic stellate cells: Etiology, pathological hallmarks and therapeutic targets. World J. Gastroenterol. 2016, 22, 10512–10522. [Google Scholar] [CrossRef] [PubMed]
- Ortmayr, G.; Brunnthaler, L.; Pereyra, D.; Huber, H.; Santol, J.; Rumpf, B.; Najarnia, S.; Smoot, R.; Ammon, D.; Sorz, T.; et al. Immunological Aspects of AXL/GAS-6 in the Context of Human Liver Regeneration. Hepatol. Commun. 2022, 6, 576–592. [Google Scholar] [CrossRef]
- Qi, N.; Liu, P.; Zhang, Y.; Wu, H.; Chen, Y.; Han, D. Development of a Spontaneous Liver Disease Resembling Au-toimmune Hepatitis in Mice Lacking Tyro3, Axl and Mer Receptor Tyrosine Kinases. PLoS ONE 2013, 8, e66604. [Google Scholar] [CrossRef] [PubMed]
- Willcocks, L.C.; Smith, K.G.C.; Clatworthy, M.R. Low-affinity Fcγ receptors, autoimmunity and infection. Expert Rev. Mol. Med. 2009, 11, e24. [Google Scholar] [CrossRef]
- Vogelpoel, L.; Baeten, D.; de Jong, E.; Den Dunnen, J. Control of cytokine production by human Fc gamma receptors: Implications for pathogen defense and autoimmunity. Front. Immunol. 2015, 6, 79. Available online: https://www.frontiersin.org/articles/10.3389/fimmu.2015.00079 (accessed on 30 September 2022). [CrossRef]
- Espeli, M.; Niederer, H.A.; Traherne, J.A.; Trowsdale, J.; Smith, K.G. Genetic variation, Fcγ receptors, KIRs and in-fection: The evolution of autoimmunity. Curr. Opin. Immunol. 2010, 22, 715–722. [Google Scholar] [CrossRef]
- Hamdan, T.A.; Lang, P.A.; Lang, K.S. The Diverse Functions of the Ubiquitous Fcγ Receptors and Their Unique Constituent, FcRγ Subunit. Pathogens 2020, 9, 140. [Google Scholar] [CrossRef]
- Van Sorge, N.; Van Der Pol, W.-L.; Van De Winkel, J. FcγR polymorphisms: Implications for function, disease susceptibility and immunotherapy. Tissue Antigens 2003, 61, 189–202. [Google Scholar] [CrossRef] [PubMed]
- Zhang, C.; Wang, W.; Zhang, H.; Wei, L.; Guo, S. Association of FCGR2A rs1801274 polymorphism with susceptibility to autoimmune diseases: A meta-analysis. Oncotarget 2016, 7, 39436–39443. [Google Scholar] [CrossRef] [PubMed]
- Shimizu, S.; Tanaka, Y.; Tazawa, H.; Verma, S.; Onoe, T.; Ishiyama, K.; Ohira, M.; Ide, K.; Ohdan, H. Fc-Gamma Re-ceptor Polymorphisms Predispose Patients to Infectious Complications After Liver Transplantation. Am. J. Transplant. 2016, 16, 625–633. [Google Scholar] [CrossRef]
- Sakamoto, S.; Shimizu, S.; Tanaka, Y.; Kasahara, M.; Ohdan, H.; Egawa, H. The impact of fc-gamma receptor poly-morphism on infectious complications in pediatric liver transplantation. Transplantation 2020, 104 (Suppl. S3), S474. [Google Scholar] [CrossRef]
- Umemura, T.; Ota, M.; Yoshizawa, K.; Katsuyama, Y.; Ichijo, T.; Tanaka, E.; Kawa, S.; Kiyosawa, K. Lack of association between FCRL3 and FcγRII polymorphisms in Japanese type 1 autoimmune hepatitis. Clin. Immunol. 2007, 122, 338–342. [Google Scholar] [CrossRef]
- Vellanki, S.P.; Dulapalli, R.; Kondagari, B.; Nambigari, N.; Vadija, R.; Ramatenki, V.; Dumpati, R.K.; Vuruputuri, U. Structural Evaluation and Binding Mode Analysis of CCL19 and CCR7 Proteins—Identification of Novel Leads for Rheumatic and Autoimmune Diseases: An Insilico study. Interdiscip. Sci. Comput. Life Sci. 2018, 10, 346–366. [Google Scholar] [CrossRef]
- Förster, R.; Davalos-Misslitz, A.C.; Rot, A. CCR7 and its ligands: Balancing immunity and tolerance. Nat. Rev. Immunol. 2008, 8, 362–371. [Google Scholar] [CrossRef]
- Bardi, G.; Lipp, M.; Baggiolini, M.; Loetscher, P. The T cell chemokine receptor CCR7 is internalized on stimulation with ELC, but not with SLC. Eur. J. Immunol. 2001, 31, 3291–3297. [Google Scholar] [CrossRef]
- Schneider, K.; Potter, K.G.; Ware, C.F. Lymphotoxin and LIGHT signaling pathways and target genes. Immunol. Rev. 2004, 202, 49–66. [Google Scholar] [CrossRef]
- Sallusto, F.; Palermo, B.; Lenig, D.; Miettinen, M.; Matikainen, S.; Julkunen, I.; Forster, R.; Burgstahler, R.; Lipp, M.; Lanzavecchia, A. Distinct patterns and kinetics of chemokine production regulate dendritic cell function. Eur. J. Immunol. 1999, 29, 1617–1625. [Google Scholar] [CrossRef]
- Comerford, I.; Harata-Lee, Y.; Bunting, M.D.; Gregor, C.; Kara, E.E.; McColl, S.R. A myriad of functions and complex regulation of the CCR7/CCL19/CCL21 chemokine axis in the adaptive immune system. Cytokine Growth Factor Rev. 2013, 24, 269–283. [Google Scholar] [CrossRef] [PubMed]
- Heydtmann, M.; Hardie, D.; Shields, P.L.; Faint, J.; Buckley, C.D.; Campbell, J.J.; Salmon, M.; Adams, D.H. Detailed analysis of intrahepatic CD8 T cells in the normal and hepatitis C-infected liver reveals differences in specific populations of memory cells with distinct homing phenotypes. J. Immunol. 2006, 177, 729–738. [Google Scholar] [CrossRef]
- Bonacchi, A.; Petrai, I.; Defranco, R.M.S.; Lazzeri, E.; Annunziato, F.; Efsen, E.; Cosmi, L.; Romagnani, P.; Milani, S.; Failli, P.; et al. The chemokine CCL21 modulates lymphocyte recruitment and fibrosis in chronic hepatitis C. Gastroenterology 2003, 125, 1060–1076. [Google Scholar] [CrossRef]
- Nishioji, K.; Okanoue, T.; Itoh, Y.; Narumi, S.; Sakamoto, M.; Nakamura, H.; Morita, A.; Kashima, K. Increase of chemokine interferon-inducible protein-10 (IP-10) in the serum of patients with autoimmune liver diseases and increase of its mRNA expression in hepatocytes. Clin. Exp. Immunol. 2001, 123, 271–279. [Google Scholar] [CrossRef] [PubMed]
- Antonelli, A.; Fallahi, P.; Ferrari, S.M.; Sebastiani, M.; Manfredi, A.; Mazzi, V.; Fabiani, S.; Centanni, M.; Marchi, S.; Ferri, C. Circulating CXCL11 and CXCL10 are increased in hepatitis C-associated cryoglobulinemia in the presence of au-toimmune thyroiditis. Mod. Rheumatol. 2012, 22, 659–667. [Google Scholar] [CrossRef] [PubMed]
- Zeremski, M.; Dimova, R.; Astemborski, J.; Thomas, D.L.; Talal, A.H. CXCL9 and CXCL10 chemokines as predictors of liver fibrosis in a cohort of primarily African-American injection drug users with chronic hepatitis C. J. Infect Dis. 2011, 204, 832–836. [Google Scholar] [CrossRef]
- Brownell, J.; Polyak, S.J. Molecular Pathways: Hepatitis C Virus, CXCL10, and the Inflammatory Road to Liver Cancer. Clin. Cancer Res. 2013, 19, 1347–1352. [Google Scholar] [CrossRef]
- Gordon, S.C.; Quattrociocchi-Longe, T.M.; Khan, B.A.; Kodali, V.P.; Chen, J.; Silverman, A.L.; Kiechle, F.L. Anti-bodies to carbonic anhydrase in patients with immune cholangiopathies. Gastroenterology 1995, 108, 1802–1809. [Google Scholar] [CrossRef]
- Michieletti, P.; Wanless, I.R.; Katz, A.; Scheuer, P.J.; Yeaman, S.J.; Bassendine, M.F.; Palmer, J.M.; Heathcote, E.J. Antimitochondrial antibody negative primary biliary cirrhosis: A distinct syndrome of autoimmune cholangitis. Gut 1994, 35, 260–265. [Google Scholar] [CrossRef] [PubMed]
- Czaja, A.J. Variant forms of autoimmune hepatitis. Curr. Gastroenterol. Rep. 1999, 1, 63–70. [Google Scholar] [CrossRef] [PubMed]
- Robert-Pachot, M.; Robert-Pachot, M.; Desbos, A.; Robert-Pachot, M.; Desbos, A.; Moreira, A.; Becchi, M.; Tebib, J.; Bonnin, M.; Aitsiselmi, T.; et al. Carbonic anhydrase III: A new target for autoantibodies in autoimmune diseases. Autoimmunity 2007, 40, 380–389. [Google Scholar] [CrossRef] [PubMed]
- Zhang, S.; Lin, X.; Hou, Q.; Hu, Z.; Wang, Y.; Wang, Z. Regulation of mTORC1 by Amino Acids in Mammalian Cells: A General Picture of Recent Advances—PMC. 2021. Available online: https://www.ncbi.nlm.nih.gov/pmc/articles/PMC8536509/#bib9 (accessed on 14 October 2022).
- Wang, H.; Liu, Y.; Wang, D.; Xu, Y.; Dong, R.; Yang, Y.; Lv, Q.; Chen, X.; Zhang, Z. The Upstream Pathway of mTOR-Mediated Autophagy in Liver Diseases. Cells 2019, 8, 1597. [Google Scholar] [CrossRef]
- Thomson, A.W.; Turnquist, H.R.; Raimondi, G. Immunoregulatory functions of mTOR inhibition. Nat. Rev. Immunol. 2009, 9, 324–337. [Google Scholar] [CrossRef]
- Sebode, M.; Kloppenburg, A.; Aigner, A.; Lohse, A.W.; Schramm, C.; Linder, R. Population-based study of autoimmune hepatitis and primary biliary cholangitis in Germany: Rising prevalences based on ICD codes, yet deficits in medical treatment. Z. Gastroenterol. 2020, 58, 431–438. [Google Scholar] [CrossRef]
- Granito, A.; Muratori, L.; Pappas, G.; Muratori, P.; Ferri, S.; Cassani, F.; Lenzi, M.; Bianchi, F.B. Clinical features of type 1 autoimmune hepatitis in elderly Italian patients. Aliment Pharmacol. Ther. 2005, 21, 1273–1277. [Google Scholar] [CrossRef]
- Saron, M.L.G.; Godoy, H.T.; Hessel, G. Nutritional status of patients with biliary atresia and autoimmune hepatitis related to serum levels of vitamins A, D and E. Arq. Gastroenterol. 2009, 46, 62–68. [Google Scholar] [CrossRef]
- Smyk, D.S.; Orfanidou, T.; Invernizzi, P.; Bogdanos, D.P.; Lenzi, M. Vitamin D in autoimmune liver disease. Clin. Res. Hepatol. Gastroenterol. 2013, 37, 535–545. [Google Scholar] [CrossRef]
- Luong, K.V.Q.; Nguyen, L.T.H. The role of vitamin d in autoimmune hepatitis. J. Clin. Med. Res. 2013, 5, 407–415. [Google Scholar] [CrossRef]
- Park, J.H.; Lee, H.K. Function of γδ T cells in tumor immunology and their application to cancer therapy. Exp. Mol. Med. 2021, 53, 318–327. [Google Scholar] [CrossRef] [PubMed]
- Efe, C.; Kav, T.; Aydin, C.; Cengiz, M.; Imga, N.N.; Purnak, T.; Smyk, D.S.; Torgutalp, M.; Turhan, T.; Ozenirler, S.; et al. Low serum vitamin D levels are associated with severe histological features and poor response to therapy in patients with autoimmune hepatitis. Dig. Dis. Sci. 2014, 59, 3035–3042. [Google Scholar] [CrossRef]
- Czaja, A.J. Emerging therapeutic biomarkers of autoimmune hepatitis and their impact on current and future man-agement. Expert Rev. Gastroenterol. Hepatol. 2018, 12, 547–564. [Google Scholar] [CrossRef]
- Agarwal, K.; Czaja, A.J.; Donaldson, P.T. A functional Fas promoter polymorphism is associated with a severe phenotype in type 1 autoimmune hepatitis characterized by early development of cirrhosis. Tissue Antigens 2007, 69, 227–235. [Google Scholar] [CrossRef] [PubMed]
- Sirbe, C.; Simu, G.; Szabo, I.; Grama, A.; Pop, T.L. Pathogenesis of Autoimmune Hepatitis-Cellular and Molecular Mechanisms. Int. J. Mol. Sci. 2021, 22, 13578. [Google Scholar] [CrossRef]
- Hennes, E.M.; Zeniya, M.; Czaja, A.J.; Parés, A.; Dalekos, G.N.; Krawitt, E.L.; Bittencourt, P.L.; Porta, G.; Boberg, K.M.; Hofer, H.; et al. Simplified criteria for the diagnosis of autoimmune hepatitis. Hepatology 2008, 48, 169–176. [Google Scholar] [CrossRef]
- Muratori, P.; Granito, A.; Pappas, G.; Muratori, L. Validation of simplified diagnostic criteria for autoimmune hepatitis in Italian patients. Hepatology 2009, 49, 1782–1783. [Google Scholar] [CrossRef] [PubMed]
- Assarsson, E.; Lundberg, M.; Holmquist, G.; Björkesten, J.; Thorsen, S.B.; Ekman, D.; Eriksson, A.; Rennel Dickens, E.; Ohlsson, S.; Edfeldt, G.; et al. Homogenous 96-plex PEA immunoassay exhibiting high sensitivity, specificity, and excellent scalability. PLoS ONE 2014, 9, e95192. [Google Scholar] [CrossRef]







| Characteristics | AIH (n = 20) |
|---|---|
| Age (median; range) (yr) | 9.95; 2.5–15.8 |
| Sex (male/female) | 5/15 |
| ALT (U/L; median; range) | 251.5; 104–2988 |
| AST (U/L; median; range) | 184.5; 110–2441 |
| ALP (U/L; median; range) | 291.5; 86–1620 |
| GGT (U/L; median; range) | 74.5; 6–574 |
| TB (mg/dL; median; range) | 1.28; 0.3–6.5 |
| γ-Globulin (g/L; median; range) | 1902; 467–2553 |
| ALB (g/dL; median; range) | 4.3; 3–4.9 |
| PLT (×10⁴/µL; median; range) | 27; 12–57 |
| ANA Positive (%) | 85% |
| SMA Positive (%) | 25% |
| LKM-1 Positive (%) | 10% |
| Lc-1 Positive (%) | 10% |
| Anti-SLA positive (%) | 5% |
| Variable | Vitamin D | |
|---|---|---|
| r | p | |
| ALT (U/L) | −0.5117 | 0.0211 * |
| AST (U/L) | −0.4331 | 0.0564 |
| ALP (U/L) | −0.6470 | 0.0020 * |
| GGT (U/L) | −0.5291 | 0.0164 * |
| TB (mg/dL) | −0.4855 | 0.0300 * |
| γ-Globulin (g/L) | 0.1595 | 0.5018 |
| ALB (g/dL) | 0.4144 | 0.0693 |
| PLT (×10⁴/µL) | 0.2796 | 0.2325 |
Disclaimer/Publisher’s Note: The statements, opinions and data contained in all publications are solely those of the individual author(s) and contributor(s) and not of MDPI and/or the editor(s). MDPI and/or the editor(s) disclaim responsibility for any injury to people or property resulting from any ideas, methods, instructions or products referred to in the content. |
© 2023 by the authors. Licensee MDPI, Basel, Switzerland. This article is an open access article distributed under the terms and conditions of the Creative Commons Attribution (CC BY) license (https://creativecommons.org/licenses/by/4.0/).
Share and Cite
Sîrbe, C.; Badii, M.; Crişan, T.O.; Bența, G.; Grama, A.; Joosten, L.A.B.; Rednic, S.; Pop, T.L. Detection of Novel Biomarkers in Pediatric Autoimmune Hepatitis by Proteomic Profiling. Int. J. Mol. Sci. 2023, 24, 7479. https://doi.org/10.3390/ijms24087479
Sîrbe C, Badii M, Crişan TO, Bența G, Grama A, Joosten LAB, Rednic S, Pop TL. Detection of Novel Biomarkers in Pediatric Autoimmune Hepatitis by Proteomic Profiling. International Journal of Molecular Sciences. 2023; 24(8):7479. https://doi.org/10.3390/ijms24087479
Chicago/Turabian StyleSîrbe, Claudia, Medeea Badii, Tania O. Crişan, Gabriel Bența, Alina Grama, Leo A. B. Joosten, Simona Rednic, and Tudor Lucian Pop. 2023. "Detection of Novel Biomarkers in Pediatric Autoimmune Hepatitis by Proteomic Profiling" International Journal of Molecular Sciences 24, no. 8: 7479. https://doi.org/10.3390/ijms24087479
APA StyleSîrbe, C., Badii, M., Crişan, T. O., Bența, G., Grama, A., Joosten, L. A. B., Rednic, S., & Pop, T. L. (2023). Detection of Novel Biomarkers in Pediatric Autoimmune Hepatitis by Proteomic Profiling. International Journal of Molecular Sciences, 24(8), 7479. https://doi.org/10.3390/ijms24087479

