Metabolite Identification of Isopropoxy Benzene Guanidine in Rat Liver Microsomes by Using UHPLC-Q-TOF-MS/MS
Abstract
1. Introduction
2. Results
2.1. SOM Prediction Using SMARTCyp
2.2. Mass Spectrometric Analysis of IBG
2.3. Mass Spectrometric Analysis of the Microsomal Incubation Samples
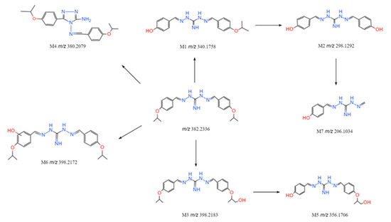
2.4. Structural Elucidation of Metabolites
3. Discussion
4. Materials and Methods
4.1. Materials and Instruments
4.2. SMARTCyp Prediction of IBG Molecule Sites
4.3. In Vitro Metabolism of IBG by Rat Liver Microsomes
4.4. Instrument and Analytical Conditions
Author Contributions
Funding
Institutional Review Board Statement
Informed Consent Statement
Data Availability Statement
Conflicts of Interest
References
- Upadhayay, A.; Ling, J.; Pal, D.; Xie, Y.; Ping, F.F.; Kumar, A. Resistance-proof antimicrobial drug discovery to combat global antimicrobial resistance threat. Drug Resist. Update 2023, 66, 100890. [Google Scholar] [CrossRef] [PubMed]
- Mancuso, G.; Midiri, A.; Gerace, E.; Biondo, C. Bacterial antibiotic resistance: The most critical pathogens. Pathogens 2021, 10, 1310. [Google Scholar] [CrossRef] [PubMed]
- De Oliveira, D.; Forde, B.M.; Kidd, T.J.; Harris, P.; Schembri, M.A.; Beatson, S.A.; Paterson, D.L.; Walker, M.J. Antimicrobial resistance in ESKAPE pathogens. Clin. Microbiol. Rev. 2020, 33, e00181-19. [Google Scholar] [CrossRef] [PubMed]
- Liu, Y.Y.; Wang, Y.; Walsh, T.R.; Yi, L.X.; Zhang, R.; Spencer, J.; Doi, Y.; Tian, G.; Dong, B.; Huang, X.; et al. Emergence of plasmid-mediated colistin resistance mechanism MCR-1 in animals and human beings in China: A microbiological and molecular biological study. Lancet Infect. Dis. 2016, 16, 161–168. [Google Scholar] [CrossRef] [PubMed]
- Wang, N.; Li, D.; Schwarz, S.; Qin, S.; Yao, H.; Du, X.D. Novel Tet(L) Efflux pump variants conferring resistance to tigecycline and eravacycline in Staphylococcus spp. Microbiol. Spectr. 2021, 9, e131021. [Google Scholar] [CrossRef] [PubMed]
- Chang, R.; Nang, S.C.; Chan, H.K.; Li, J. Novel antimicrobial agents for combating antibiotic-resistant bacteria. Adv. Drug Deliv. Rev. 2022, 187, 114378. [Google Scholar] [CrossRef]
- Butler, M.S.; Gigante, V.; Sati, H.; Paulin, S.; Al-Sulaiman, L.; Rex, J.H.; Fernandes, P.; Arias, C.A.; Paul, M.; Thwaites, G.E.; et al. Analysis of the clinical pipeline of treatments for drug-resistant bacterial infections: Despite progress, more action is needed. Antimicrob. Agents Chemother. 2022, 66, e199121. [Google Scholar] [CrossRef]
- Berlinck, R.; Bernardi, D.I.; Fill, T.; Fernandes, A.; Jurberg, I.D. The chemistry and biology of guanidine secondary metabolites. Nat. Prod. Rep. 2021, 38, 586–667. [Google Scholar] [CrossRef]
- Massimba-Dibama, H.; Mourer, M.; Constant, P.; Daffé, M.; Regnouf-de-Vains, J. Guanidinium compounds with sub-micromolar activities against Mycobacterium tuberculosis. Synthesis, characterization and biological evaluations. Bioorg. Med. Chem. 2015, 23, 5410–5418. [Google Scholar] [CrossRef]
- Kim, S.H.; Semenya, D.; Castagnolo, D. Antimicrobial drugs bearing guanidine moieties: A review. Eur. J. Med. Chem. 2021, 216, 113293. [Google Scholar] [CrossRef]
- Liu, Y.; Jia, Y.; Yang, K.; Li, R.; Xiao, X.; Zhu, K.; Wang, Z. Metformin restores tetracyclines susceptibility against multidrug resistant bacteria. Adv. Sci. 2020, 7, 1902227. [Google Scholar] [CrossRef] [PubMed]
- Kong, L.; Lu, Y.; Yang, L.; Zhang, W.; Zuo, B.; Peng, X.; Qin, Z.; Li, M.; Zeng, Z.; Zeng, D. Pharmacokinetics and pharmacodynamics of colistin combined with isopropoxy benzene guanidine against mcr-1-positive Salmonella in an intestinal infection model. Front. Microbiol. 2022, 13, 907116. [Google Scholar] [CrossRef] [PubMed]
- Li, J.; Zhang, X.; Han, N.; Wan, P.; Zhao, F.; Xu, T.; Peng, X.; Xiong, W.; Zeng, Z. Mechanism of action of isopropoxy benzene guanidine against multidrug-resistant pathogens. Microbiol. Spectr. 2022, 11, e346922. [Google Scholar] [CrossRef] [PubMed]
- Zhang, X.; Xiong, W.; Peng, X.; Lu, Y.; Hao, J.; Qin, Z.; Zeng, Z. Isopropoxy benzene guanidine kills Staphylococcus aureus without detectable resistance. Front. Microbiol. 2021, 12, 633467. [Google Scholar] [CrossRef] [PubMed]
- Lu, Y.; Yang, L.; Zhang, W.; Li, J.; Peng, X.; Qin, Z.; Zeng, Z.; Zeng, D. Pharmacokinetics and pharmacodynamics of isopropoxy benzene guanidine against Clostridium perfringens in an intestinal infection model. Front. Vet. Sci. 2022, 9, 1004248. [Google Scholar] [CrossRef]
- Sahu, A.K.; Sengupta, P. Time of flight mass spectrometry based in vitro and in vivo metabolite profiling of ribociclib and their toxicity prediction. J. Chromatogr. B. 2020, 1147, 122142. [Google Scholar] [CrossRef]
- Lai, Y.; Chu, X.; Di, L.; Gao, W.; Guo, Y.; Liu, X.; Lu, C.; Mao, J.; Shen, H.; Tang, H.; et al. Recent advances in the translation of drug metabolism and pharmacokinetics science for drug discovery and development. Acta Pharm. Sin. B 2022, 12, 2751–2777. [Google Scholar] [CrossRef] [PubMed]
- Litsa, E.E.; Das, P.; Kavraki, L.E. Prediction of drug metabolites using neural machine translation. Chem. Sci. 2020, 11, 12777–12788. [Google Scholar] [CrossRef]
- Horspool, A.M.; Wang, T.; Scaringella, Y.S.; Taub, M.E.; Chan, T.S. Human liver microsomes immobilized on magnetizable beads: A novel approach to study in vitro drug metabolism. Drug Metab. Dispos. 2020, 48, 645–654. [Google Scholar] [CrossRef]
- Daoud, N.E.; Borah, P.; Deb, P.K.; Venugopala, K.N.; Hourani, W.; Alzweiri, M.; Bardaweel, S.K.; Tiwari, V. ADMET profiling in drug discovery and development: Perspectives of in silico, in vitro and integrated approaches. Curr. Drug Metab. 2021, 22, 503–522. [Google Scholar] [CrossRef]
- Rincon, N.M.; Du, T.; Gao, S.; Kaur, M.; Xie, H.; Olaleye, O.A.; Liang, D. Metabolite Identification of a novel anti-leishmanial agent OJT007 in rat liver microsomes using LC-MS/MS. Molecules 2022, 27, 2854. [Google Scholar] [CrossRef]
- Howlader, S.; Kim, M.J.; Jony, M.R.; Long, N.P.; Cho, Y.S.; Kim, D.H.; Shin, J.G. Characterization of clofazimine metabolism in human liver microsomal incubation in vitro. Antimicrob. Agents Chemother. 2022, 66, e56522. [Google Scholar] [CrossRef] [PubMed]
- Maekawa, M.; Mano, N. Cutting-edge LC-MS/MS applications in clinical mass spectrometry: Focusing on analysis of drugs and metabolites. Biomed. Chromatogr. 2022, 36, e5347. [Google Scholar] [CrossRef] [PubMed]
- Zhang, J.; Li, H.; Hou, L.; Sun, J.; Wang, W.; Li, H.; Yang, W.; Rong, P.; Nan, T.; Kang, L.; et al. Pharmacokinetics and metabolites of glycosides and lignans of the stem bark of Magnolia officinalis in functional dyspepsia and normal rats using liquid chromatography-tandem mass spectrometry. J. Sep. Sci. 2022, 45, 3663–3678. [Google Scholar] [CrossRef]
- Beccaria, M.; Cabooter, D. Current developments in LC-MS for pharmaceutical analysis. Analyst 2020, 145, 1129–1157. [Google Scholar] [CrossRef]
- Cuyckens, F. Mass spectrometry in drug metabolism and pharmacokinetics: Current trends and future perspectives. Rapid Commun. Mass Spectrom. 2019, 33 (Suppl. S3), 90–95. [Google Scholar] [CrossRef]
- Xie, C.; Zhong, D.; Yu, K.; Chen, X. Recent advances in metabolite identification and quantitative bioanalysis by LC-Q-TOF MS. Bioanalysis 2012, 4, 937–959. [Google Scholar] [CrossRef] [PubMed]
- Zhao, F.K.; Shi, R.B.; Sun, Y.B.; Yang, S.Y.; Chen, L.Z.; Fang, B.H. A Comprehensive study to identify major metabolites of an amoxicillin-sulbactam hybrid molecule in rats and its metabolic pathway using UPLC-Q-TOF-MS/MS. Metabolites 2022, 12, 662. [Google Scholar] [CrossRef]
- Kathuria, D.; Raul, A.D.; Wanjari, P.; Bharatam, P.V. Biguanides: Species with versatile therapeutic applications. Eur. J. Med. Chem. 2021, 219, 113378. [Google Scholar] [CrossRef]
- Zhang, J.; Hu, L.; Zhang, Q.; Guo, C.; Wu, C.; Shi, Y.; Shu, R.; Tan, L. Polyhexamethylene guanidine hydrochloride modified sodium alginate nonwoven with potent antibacterial and hemostatic properties for infected full-thickness wound healing. Int. J. Biol. Macromol. 2022, 209, 2142–2150. [Google Scholar] [CrossRef]
- Dohle, W.; Su, X.; Nigam, Y.; Dudley, E.; Potter, B. Synthesis and in vitro antimicrobial sar of benzyl and phenyl guanidine and aminoguanidine hydrazone derivatives. Molecules 2022, 28, 5. [Google Scholar] [CrossRef] [PubMed]
- Zhao, M.; Ma, J.; Li, M.; Zhang, Y.; Jiang, B.; Zhao, X.; Huai, C.; Shen, L.; Zhang, N.; He, L.; et al. Cytochrome P450 enzymes and drug metabolism in humans. Int. J. Mol. Sci. 2021, 22, 12808. [Google Scholar] [CrossRef] [PubMed]
- Massart, J.; Begriche, K.; Hartman, J.H.; Fromenty, B. Role of mitochondrial cytochrome P450 2E1 in healthy and diseased liver. Cells 2022, 11, 288. [Google Scholar] [CrossRef] [PubMed]
- Asha, S.; Vidyavathi, M. Role of human liver microsomes in in vitro metabolism of drugs-a review. Appl. Biochem. Biotechnol. 2010, 160, 1699–1722. [Google Scholar] [CrossRef]
- Rydberg, P.; Olsen, L. Ligand-based site of metabolism prediction for cytochrome P450 2D6. ACS Med. Chem. Lett. 2012, 3, 69–73. [Google Scholar] [CrossRef]
- Olsen, L.; Montefiori, M.; Tran, K.P.; Jorgensen, F.S. SMARTCyp 3.0: Enhanced cytochrome P450 site-of-metabolism prediction server. Bioinformatics 2019, 35, 3174–3175. [Google Scholar] [CrossRef]
- Zulalian, J.; Champagne, D.A.; Wayne, R.S.; Blinn, R.C. Absorption, excretion, and metabolism of 1,3-bis(p-chlorobenzylideneamino)guanidine hydrochloride (Robenz robenidine hydrochloride) in the chicken. J. Agric. Food Chem. 1975, 23, 724–730. [Google Scholar] [CrossRef]
- Matthaei, J.; Seitz, T.; Jensen, O.; Tann, A.; Prukop, T.; Tadjerpisheh, S.; Brockmoller, J.; Tzvetkov, M.V. OCT1 deficiency affects hepatocellular concentrations and pharmacokinetics of cycloguanil, the active metabolite of the antimalarial drug proguanil. Clin. Pharmacol. Ther. 2019, 105, 190–200. [Google Scholar] [CrossRef]
- Rydberg, P.; Gloriam, D.E.; Zaretzki, J.; Breneman, C.; Olsen, L. SMARTCyp: A 2D method for prediction of Cytochrome P450-mediated drug metabolism. ACS Med. Chem. Lett. 2010, 1, 96–100. [Google Scholar] [CrossRef]
- Rydberg, P.; Gloriam, D.E.; Olsen, L. The SMARTCyp cytochrome P450 metabolism prediction server. Bioinformatics 2010, 26, 2988–2989. [Google Scholar] [CrossRef]






| Metabolites | RT (min) | Metabolic Pathway | Elemental Composition ([M+H]+) | Measured Mass (m/z) | Theoretical Mass (m/z) | Mass Error (ppm) |
|---|---|---|---|---|---|---|
| M1 | 9.15 | O-dealkylation | C18H22N5O2+ | 340.1758 | 340.1768 | 2.93 |
| M2 | 7.19 | O-dealkylation | C15H16N5O2+ | 298.1292 | 298.1299 | 2.34 |
| M3 | 9.88 | Oxygenation | C21H28N5O3+ | 398.2183 | 398.2187 | 1.00 |
| M4 | 11.45 | Cyclization | C21H26N5O2+ | 380.2079 | 380.2081 | 0.52 |
| M5 | 9.16 | O-dealkylation and oxygenation | C18H22N5O3+ | 356.1706 | 356.1717 | 3.08 |
| M6 | 10.11 | Oxygenation | C21H28N5O3+ | 398.2172 | 398.2187 | 3.76 |
| M7 | 4.36 | O-dealkylation and hydrolysis | C9H12N5O+ | 206.1034 | 206.1036 | 0.97 |
| Parent | 11.43 | Parent | C21H28N5O2+ | 382.2236 | 382.2238 | 0.52 |
Disclaimer/Publisher’s Note: The statements, opinions and data contained in all publications are solely those of the individual author(s) and contributor(s) and not of MDPI and/or the editor(s). MDPI and/or the editor(s) disclaim responsibility for any injury to people or property resulting from any ideas, methods, instructions or products referred to in the content. |
© 2023 by the authors. Licensee MDPI, Basel, Switzerland. This article is an open access article distributed under the terms and conditions of the Creative Commons Attribution (CC BY) license (https://creativecommons.org/licenses/by/4.0/).
Share and Cite
Lu, Y.; Zhang, W.; Zhang, Y.; Wu, S.; Ma, M.; Peng, X.; Zeng, Z.; Zeng, D. Metabolite Identification of Isopropoxy Benzene Guanidine in Rat Liver Microsomes by Using UHPLC-Q-TOF-MS/MS. Int. J. Mol. Sci. 2023, 24, 7313. https://doi.org/10.3390/ijms24087313
Lu Y, Zhang W, Zhang Y, Wu S, Ma M, Peng X, Zeng Z, Zeng D. Metabolite Identification of Isopropoxy Benzene Guanidine in Rat Liver Microsomes by Using UHPLC-Q-TOF-MS/MS. International Journal of Molecular Sciences. 2023; 24(8):7313. https://doi.org/10.3390/ijms24087313
Chicago/Turabian StyleLu, Yixing, Wanying Zhang, Yongxiang Zhang, Sujuan Wu, Minglang Ma, Xianfeng Peng, Zhenling Zeng, and Dongping Zeng. 2023. "Metabolite Identification of Isopropoxy Benzene Guanidine in Rat Liver Microsomes by Using UHPLC-Q-TOF-MS/MS" International Journal of Molecular Sciences 24, no. 8: 7313. https://doi.org/10.3390/ijms24087313
APA StyleLu, Y., Zhang, W., Zhang, Y., Wu, S., Ma, M., Peng, X., Zeng, Z., & Zeng, D. (2023). Metabolite Identification of Isopropoxy Benzene Guanidine in Rat Liver Microsomes by Using UHPLC-Q-TOF-MS/MS. International Journal of Molecular Sciences, 24(8), 7313. https://doi.org/10.3390/ijms24087313

