Proteomic Analysis of Arsenic Resistance during Cyanide Assimilation by Pseudomonas pseudoalcaligenes CECT 5344
Abstract
1. Introduction
2. Results and Discussion
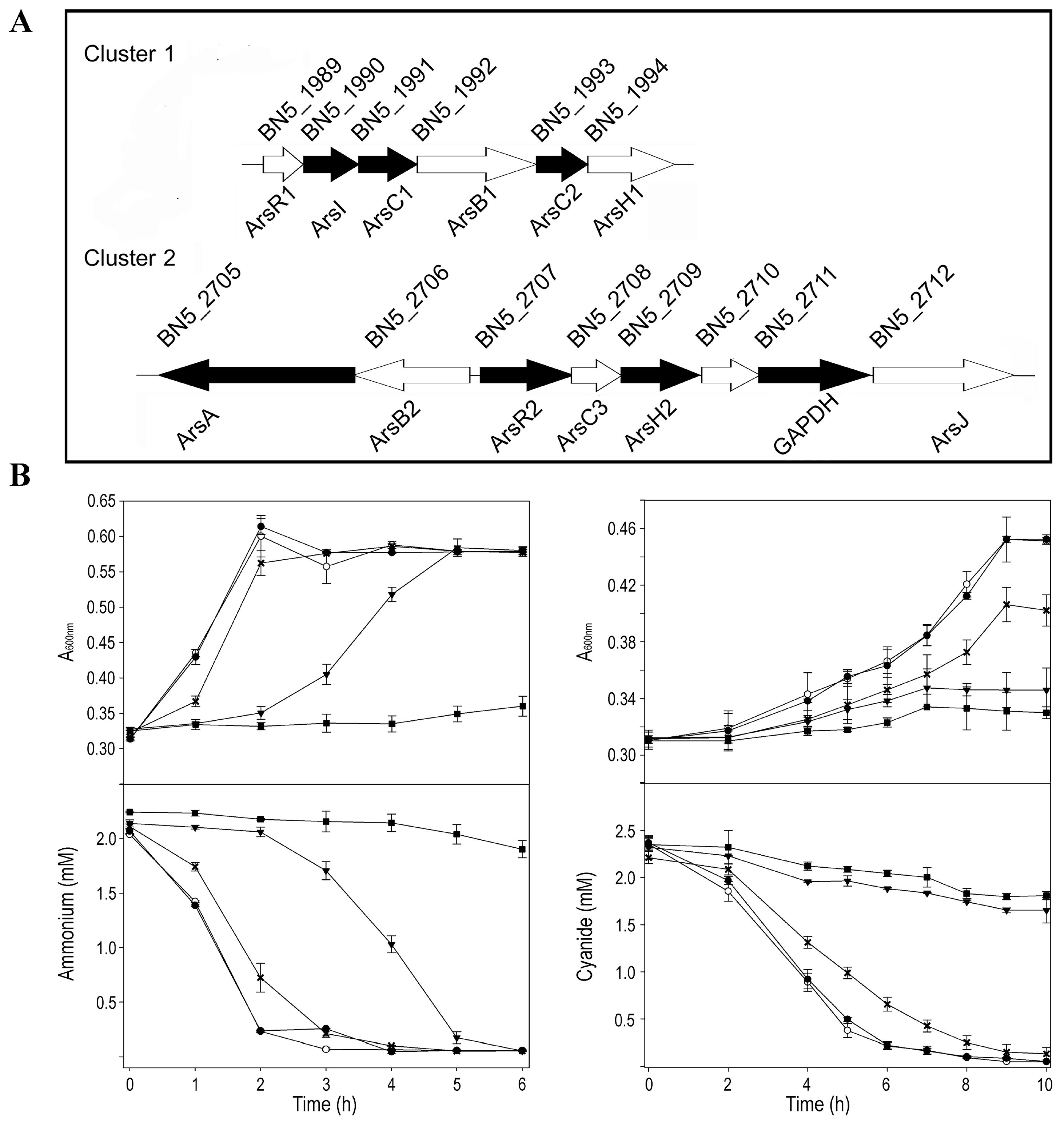
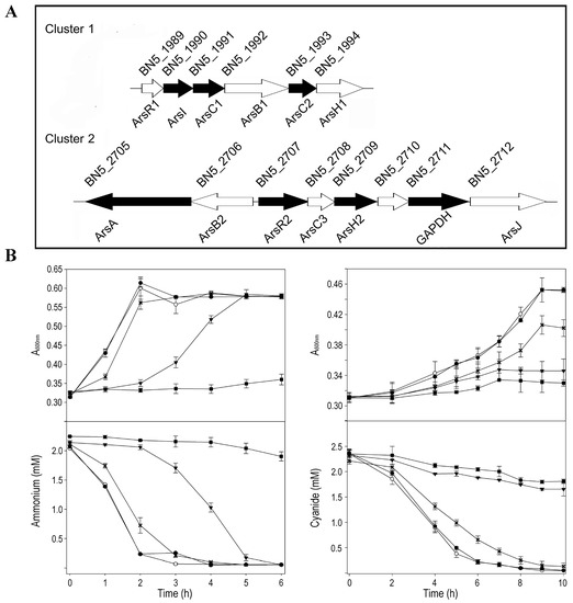
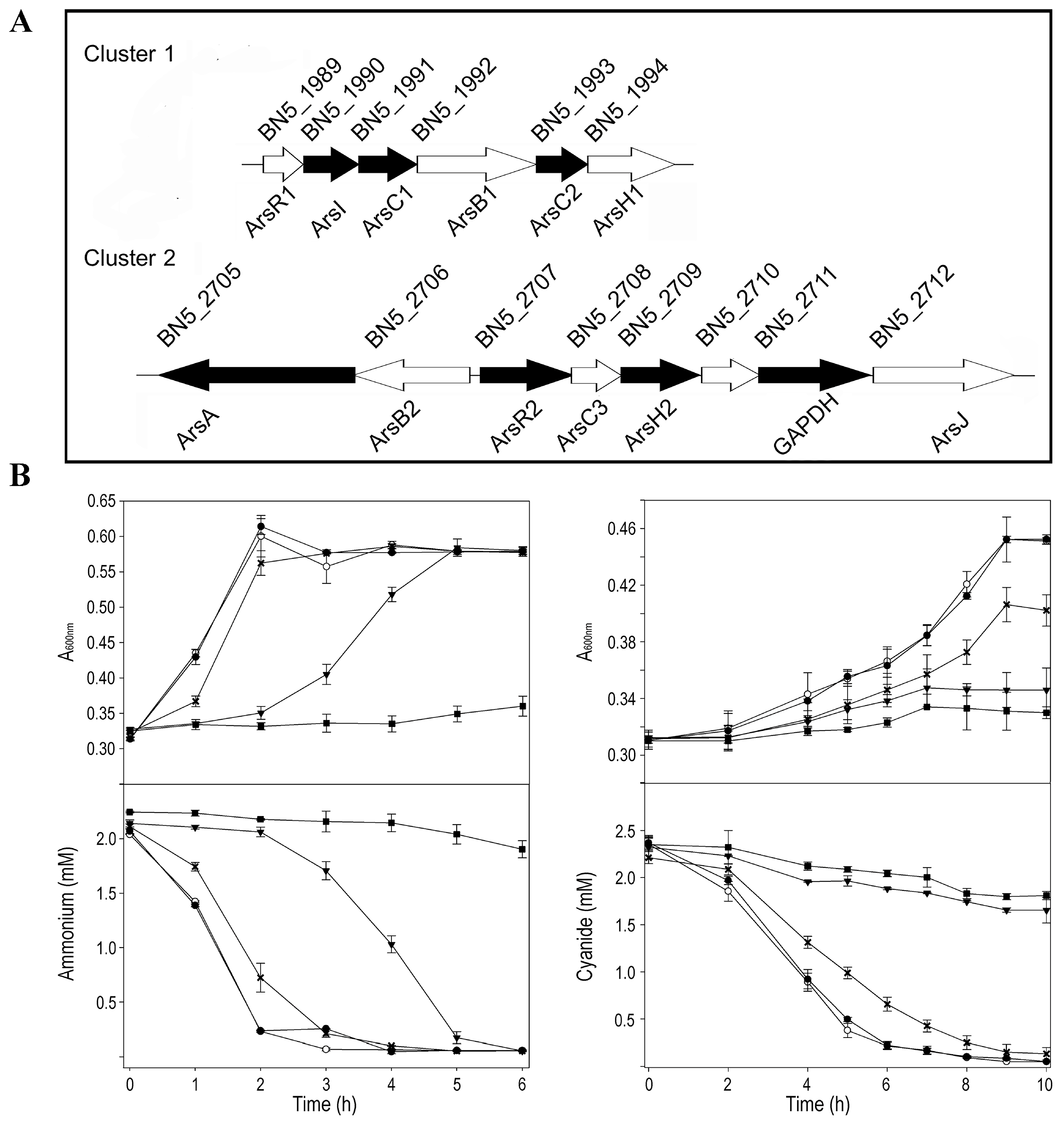
2.1. Bioinformatic Analysis of Arsenic Detoxifying Potential in P. pseudoalcaligenes CECT 5344
2.2. Arsenic Resistance of P. pseudoalcaligenes CECT 5344
2.3. Global Changes in the Proteome of P. pseudoalcaligenes CECT 5344 in Response to Arsenite
2.4. Accumulation of Arsenic in Biofilm
2.5. Transcriptional qRT-PCR Analysis
2.6. Overview of the As Resistance Mechanisms in P. pseudoalcaligenes CECT 5344
3. Materials and Methods
3.1. Culture Media and Growth Conditions
3.2. Determination of Bacterial Growth and Arsenic Tolerance
3.3. Analytical Determinations and Biofilm Quantification
3.4. Quantitative Proteomic Analysis
3.5. Quantitative Real-Time PCR Analysis
4. Conclusions
Supplementary Materials
Author Contributions
Funding
Institutional Review Board Statement
Informed Consent Statement
Data Availability Statement
Acknowledgments
Conflicts of Interest
References
- Oremland, R.S.; Stolz, J.F. The ecology of arsenic. Science 2003, 300, 939–944. [Google Scholar] [CrossRef] [PubMed]
- Hery, M.; Rizoulis, A.; Sanguin, H.; Cooke, D.A.; Pancost, R.D.; Polya, D.A.; Lloyd, J.R. Microbial ecology of arsenic-mobilizing Cambodian sediments: Lithological controls uncovered by stable-isotope probing. Environ. Microbiol. 2015, 17, 1857–1869. [Google Scholar] [CrossRef] [PubMed]
- Sher, S.; Rehman, A. Use of heavy metals resistant bacteria-a strategy for arsenic bioremediation. Appl. Microbiol. Biotechnol. 2019, 103, 6007–6021. [Google Scholar] [CrossRef] [PubMed]
- Raju, N.J. Arsenic in the geo-environment: A review of sources, geochemical processes, toxicity and removal technologies. Environ. Res. 2022, 203, 111782. [Google Scholar] [CrossRef]
- Coudert, L.; Bondu, R.; Rakotonimaro, T.V.; Rosa, E.; Guittonny, M.; Neculita, C.M. Treatment of As-rich mine effluents and produced residues stability: Current knowledge and research priorities for gold mining. J. Hazard Mater. 2020, 386, 121920. [Google Scholar] [CrossRef] [PubMed]
- Tapia-Gatica, J.; Selles, I.; Bravo, M.A.; Tessini, C.; Barros-Parada, W.; Novoselov, A.; Neaman, A. Global issues in setting legal limits on soil metal contamination: A case study of Chile. Chemosphere 2022, 290, 133404. [Google Scholar] [CrossRef] [PubMed]
- Martínez, V.D.; Vucic, E.A.; Becker-Santos, D.D.; Gil, L.; Lam, W.L. Arsenic exposure and the induction of human cancers. J. Toxicol. 2011, 2011, 431287. [Google Scholar] [CrossRef]
- Sun, H.J.; Rathinasabapathi, B.; Wu, B.; Luo, J.; Pu, L.P.; Ma, L.Q. Arsenic and selenium toxicity and their interactive effects is humans. Environ. Int. 2014, 69, 148–158. [Google Scholar] [CrossRef]
- Smith, A.H.; Lingas, E.O.; Rahman, M. Contamination of drinking-water by arsenic in Bangladesh: A public health emergency. Bull. World Health Organ. 2000, 78, 1093–1103. [Google Scholar]
- Muller, D.; Médigue, C.; Koechler, S.; Barbe, V.; Barakat, M.; Talla, E.; Bonnefoy, V.; Krin, E.; Arsène-Ploetze, F.; Carapito, C.; et al. A tale of two oxidation states: Bacterial colonization of arsenic-rich environments. PLoS Genet. 2007, 3, e53. [Google Scholar] [CrossRef]
- Yang, H.C.; Cheng, J.; Finan, T.M.; Rosen, B.P.; Bhattacharjee, H. Novel pathway for arsenic detoxification in the legume symbiont Sinorhizobium meliloti. J. Bacteriol. 2005, 187, 6991–6997. [Google Scholar] [CrossRef] [PubMed]
- Garbinski, L.D.; Rosen, B.P.; Chen, J. Pathways of arsenic uptake and efflux. Environ. Int. 2019, 126, 585–597. [Google Scholar] [CrossRef] [PubMed]
- Mukhopadhyay, R.; Bhattacharjee, H.; Rosen, B.P. Aquaglyceroporins: Generalized metalloid channels. Biochim. Biophys. Acta 2014, 1840, 1583–1591. [Google Scholar] [CrossRef] [PubMed]
- Oremland, R.S.; Saltikov, C.W.; Stolz, J.F.; Hollibaugh, J.T. Autotrophic microbial arsenotrophy in arsenic-rich soda lakes. FEMS Microbiol. Lett. 2017, 364, fnx146. [Google Scholar] [CrossRef]
- Rosen, B.P.; Liu, Z. Transport pathways for arsenic and selenium: A minireview. Environ. Int. 2009, 35, 512–515. [Google Scholar] [CrossRef]
- Slyemi, D.; Bonnefoy, V. How prokaryotes deal with arsenic. Environ. Microbiol. Rep. 2012, 4, 571–586. [Google Scholar] [CrossRef]
- Barral-Fraga, L.; Martina-Prieto, D.; Barral, M.T.; Morin, S.; Guasch, H. Mutual interaction between arsenic and biofilm in a mining impacted river. Sci. Total Environ. 2018, 636, 985–998. [Google Scholar] [CrossRef]
- Morelli, E.; Mascherpa, M.C.; Scarano, G. Biosynthesis of phytochelatins and arsenic accumulation in the marine microalga Phaeodactylum tricornutum in response to arsenate exposure. Biometals 2005, 18, 587–593. [Google Scholar] [CrossRef]
- Diba, F.; Khan, M.Z.; Uddin, S.Z.; Istiaq, A.; Shuvo, M.S.; Ul Alam, A.R.; Hossain, M.A.; Sultana, M. Bioaccumulation and detoxification of trivalent arsenic by Achromobacter xylosoxidans BHW-15 and electrochemical detection of its transformation efficiency. Sci. Rep. 2021, 11, 21312. [Google Scholar] [CrossRef]
- Yang, H.C.; Rosen, B.P. New mechanisms of bacterial arsenic resistance. Biomed. J. 2016, 39, 5–13. [Google Scholar] [CrossRef]
- Andres, J.; Bertin, P.N. The microbial genomics of arsenic. FEMS Microbiol. Rev. 2016, 40, 299–322. [Google Scholar] [CrossRef] [PubMed]
- Ben Fekih, I.; Zhang, C.; Li, Y.P.; Zhao, Y.; Alwathnani, H.A.; Saquib, Q.; Rensing, C.; Cervantes, C. Distribution of arsenic resistance genes in prokaryotes. Front. Microbiol. 2018, 9, 2473. [Google Scholar] [CrossRef] [PubMed]
- Yan, G.; Chen, X.; Du, S.; Deng, Z.; Wang, L.; Chen, S. Genetic mechanisms of arsenic detoxification and metabolism in bacteria. Curr. Genet. 2019, 65, 329–338. [Google Scholar] [CrossRef] [PubMed]
- Mazumder, P.; Sharma, S.K.; Taki, K.; Kalamdhad, A.S.; Kumar, M. Microbes involved in arsenic mobilization and respiration: A review on isolation, identification, isolates and implications. Environ. Geochem. Health 2020, 42, 3443–3469. [Google Scholar] [CrossRef]
- Páez-Espino, A.D.; Nikel, P.I.; Chavarría, M.; de Lorenzo, V. ArsH protects Pseudomonas putida from oxidative damage caused by exposure to arsenic. Environ. Microbiol. 2020, 22, 2230–2242. [Google Scholar] [CrossRef]
- Rawle, R.; Saley, T.C.; Kang, Y.S.; Wang, Q.; Walk, S.; Bothner, B.; McDermott, T.R. Introducing the ArsR-regulated arsenic stimulon. Front. Microbiol. 2021, 12, 630562. [Google Scholar] [CrossRef]
- Yang, H.C.; Fu, H.L.; Lin, Y.F.; Rosen, B.P. Pathways of arsenic uptake and efflux. Curr. Top. Membr. 2012, 69, 325–358. [Google Scholar] [CrossRef]
- Ghosh, M.; Shen, J.; Rosen, B.P. Pathways of As(III) detoxification in Saccharomyces cerevisiae. Proc. Nat. Acad. Sci. USA 1999, 96, 5001–5006. [Google Scholar] [CrossRef]
- Di, X.; Beesley, L.; Zhang, Z.; Zhi, S.; Jia, Y.; Ding, Y. Microbial arsenic methylation in soil and uptake and metabolism of methylated arsenic in plants: A review. Int. J. Environ. Res. Public Health 2019, 16, 5012. [Google Scholar] [CrossRef]
- Huang, K.; Xu, Y.; Packianathan, C.; Gao, F.; Chen, C.; Zhang, J.; Shen, Q.; Rosen, B.P.; Zhao, F.J. Arsenic methylation by a novel ArsM As(III) S-adenosylmethionine methyltransferase that requires only two conserved cysteine residues. Mol. Microbiol. 2018, 107, 265–276. [Google Scholar] [CrossRef]
- Chen, J.; Yoshinaga, M.; Garbinski, L.D.; Rosen, B.P. Synergistic interaction of glyceraldehydes-3-phosphate dehydrogenase and ArsJ, a novel organoarsenical efflux permease, confers arsenate resistance. Mol. Microbiol. 2016, 100, 945–953. [Google Scholar] [CrossRef] [PubMed]
- Liu, H.; Hong, Z.; Lin, J.; Huang, D.; Ma, L.Q.; Xu, J.; Dai, Z. Bacterial coculture enhanced Cd sorption and as bioreduction in co-contaminated systems. J. Hazard. Mater. 2023, 444, 130376. [Google Scholar] [CrossRef] [PubMed]
- Luque-Almagro, V.M.; Huertas, M.J.; Martínez-Luque, M.; Moreno-Vivián, C.; Roldán, M.D.; García-Gil, L.J.; Castillo, F.; Blasco, R. Bacterial degradation of cyanide and its metal complexes under alkaline conditions. Appl. Environ. Microbiol. 2005, 71, 940–947. [Google Scholar] [CrossRef] [PubMed]
- Estepa, J.; Luque-Almagro, V.M.; Manso, I.; Escribano, M.P.; Martínez-Luque, M.; Castillo, F.; Moreno-Vivián, C.; Roldán, M.D. The nit1C gene cluster of Pseudomonas pseudoalcaligenes CECT5344 involved in assimilation of nitriles is essential for growth on cyanide. Environ. Microbiol. Rep. 2012, 4, 326–334. [Google Scholar] [CrossRef] [PubMed]
- Cabello, P.; Luque-Almagro, V.M.; Olaya-Abril, A.; Sáez, L.P.; Moreno-Vivián, C.; Roldán, M.D. Assimilation of cyanide and cyano-derivatives by Pseudomonas pseudoalcaligenes CECT5344: From omic approaches to biotechnological applications. FEMS Microbiol. Lett. 2018, 365, fny032. [Google Scholar] [CrossRef]
- Sáez, L.P.; Cabello, P.; Ibáñez, M.I.; Luque-Almagro, V.M.; Roldán, M.D.; Moreno-Vivián, C. Cyanate assimilation by the alkaliphilic cyanide-degrading bacterium Pseudomonas pseudoalcaligenes CECT5344: Mutational analysis of the cyn gene cluster. Int. J. Mol. Sci. 2019, 20, 3008. [Google Scholar] [CrossRef] [PubMed]
- Luque-Almagro, V.M.; Acera, F.; Igeño, M.I.; Wibberg, D.; Roldán, M.D.; Sáez, L.P.; Hennig, M.; Quesada, A.; Huertas, M.J.; Blom, J.; et al. Draft whole genome sequence of the cyanide-degrading bacterium Pseudomonas pseudoalcaligenes CECT5344. Environ. Microbiol. 2013, 15, 253–270. [Google Scholar] [CrossRef]
- Wibberg, D.; Bremges, A.; Dammann-Kalinowski, T.; Maus, I.; Igeño, M.I.; Vogelsang, R.; König, C.; Luque-Almagro, V.M.; Roldán, M.D.; Sczyrba, A.; et al. Finished genome sequence and methylome of the cyanide-degrading Pseudomonas pseudoalcaligenes strain CECT5344 as resolved by single-molecule real-time sequencing. J. Biotechnol. 2016, 232, 61–68. [Google Scholar] [CrossRef]
- Luque-Almagro, V.M.; Escribano, M.P.; Manso, I.; Sáez, L.P.; Cabello, P.; Moreno-Vivián, C.; Roldán, M.D. DNA microarray analysis of the cyanotroph Pseudomonas pseudoalcaligenes CECT5344 in response to nitrogen starvation, cyanide and a jewelry wastewater. J. Biotechnol. 2015, 214, 171–181. [Google Scholar] [CrossRef]
- Luque-Almagro, V.M.; Moreno-Vivián, C.; Roldán, M.D. Biodegradation of cyanide wastes from mining and jewellery industries. Curr. Opin. Biotechnol. 2016, 38, 9–13. [Google Scholar] [CrossRef]
- Ibáñez, M.I.; Cabello, P.; Luque-Almagro, V.M.; Saez, L.P.; Olaya, A.; Sánchez de Medina, V.; Luque de Castro, M.D.; Moreno-Vivian, C.; Roldán, M.D. Quantitative proteomic analysis of Pseudomonas pseudoalcaligenes CECT5344 in response to industrial cyanide-containing wastewaters using Liquid Chromatography-Mass Spectrometry/Mass Spectrometry (LC-MS/MS). PLoS ONE 2017, 12, e0172908. [Google Scholar] [CrossRef] [PubMed]
- Olaya-Abril, A.; Luque-Almagro, V.M.; Pérez, M.D.; López, C.M.; Amil, F.; Cabello, P.; Sáez, L.P.; Moreno-Vivian, C.; Roldán, M.D. Putative small rRNAs controlling detoxification of industrial cyanide-containing wastewaters by Pseudomonas pseudoalcaligenes CECT5344. PLoS ONE 2019, 14, e0212032. [Google Scholar] [CrossRef] [PubMed]
- Olaya-Abril, A.; Pérez, M.D.; Cabello, P.; Martignetti, D.; Sáez, L.P.; Luque-Almagro, V.M.; Moreno-Vivián, C.; Roldán, M.D. Role of the dihydrodipicolinate synthase DapA1 on iron homeostasis during cyanide assimilation by the alkaliphilic bacterium Pseudomonas pseudoalcaligenes CECT5344. Front. Microbiol. 2020, 11, 28. [Google Scholar] [CrossRef] [PubMed]
- Pérez, M.D.; Olaya-Abril, A.; Cabello, P.; Sáez, L.P.; Roldán, M.D.; Moreno-Vivián, C.; Luque-Almagro, V.M. Alternative pathway for 3-cyanoalanine assimilation in Pseudomonas pseudoalcaligenes CECT5344 under noncyanotrophic conditions. Microbiol. Spectr. 2021, 9, e0077721. [Google Scholar] [CrossRef] [PubMed]
- Roldán, M.D.; Olaya-Abril, A.; Sáez, L.P.; Cabello, P.; Luque-Almagro, V.M.; Moreno-Vivián, C. Bioremediation of cyanide-containing wastes: The potential of systems and synthetic biology for cleaning up the toxic leftovers from mining. EMBO Rep. 2021, 22, e53720. [Google Scholar] [CrossRef] [PubMed]
- Tripti, K.; Sayantan, D.; Shardendu, S.; Singh, D.N.; Tripathi, A.K. Potential for the uptake and removal of arsenic [As(V) and As(III)] and the reduction of As(V) to As(III) by Bacillus licheniformis (DAS1) under different stresses. Korean J. Microbiol. Biotechnol. 2014, 42, 238–248. [Google Scholar] [CrossRef]
- Chitpriom, K.; Akaracharanya, A.; Tanasupawat, S.; Leepipatpiboom, N.; Kim, K. Isolation and characterization of arsenic resistant bacteria from tannery wastes and agricultural soils in Thailand. Ann. Microbiol. 2009, 59, 649–656. [Google Scholar] [CrossRef]
- Cai, L.; Liu, G.; Rensing, C.; Wang, G. Genes involved in arsenic transformation and resistance associated with different levels of arsenic-contaminated soils. BMC Microbiol. 2009, 9, 4. [Google Scholar] [CrossRef]
- Byeon, E.; Kang, H.M.; Yoon, C.; Lee, J.S. Toxicity mechanisms of arsenic compounds in aquatic organisms. Aquat. Toxicol. 2021, 237, 105901. [Google Scholar] [CrossRef]
- Kabiraj, A.; Biswas, R.; Halder, U.; Bandopadhyay, R. Bacterial arsenic metabolism and its role in arsenic bioremediation. Curr. Microbiol. 2022, 79, 131. [Google Scholar] [CrossRef]
- Newsome, L.; Falagán, C. The microbiology of metal mine waste: Bioremediation applications and implications for planetary health. GeoHealth 2021, 5, e2020GH000380. [Google Scholar] [CrossRef] [PubMed]
- Kuchma, S.L.; O’Toole, G.A. Surface-induced cAMP signaling requires multiple features of the Pseudomonas aeruginosa type IV pili. J. Bacteriol. 2022, 204, e00186-22. [Google Scholar] [CrossRef] [PubMed]
- Bogdanow, B.; Zauber, H.; Selbach, M. Systematic errors in peptide and protein identification and quantification by modified peptides. Mol. Cell. Proteom. 2016, 15, 2791–2801. [Google Scholar] [CrossRef] [PubMed]
- Bazzi, W.; Abou Fayad, A.G.; Nasser, A.; Haraoui, L.P.; Dewachi, O.; Abou-Sitta, G.; Nguyen, V.K.; Abara, A.; Karah, N.; Landecker, H.; et al. Heavy metal toxicity in armed conflicts potentiates AMR in A. baumannii by selecting for antibiotic and heavy metal co-resistance mechanisms. Front. Microbiol. 2020, 11, 68. [Google Scholar] [CrossRef] [PubMed]
- Mathivanan, K.; Uthaya-Chandirika, J.; Vinothkanna, A.; Yin, H.; Liu, X.; Meng, D. Bacterial adaptive strategies to cope with metal toxicity in the contaminated environment—A review. Ecotoxicol. Environ. Saf. 2021, 226, 112863. [Google Scholar] [CrossRef] [PubMed]
- Bae, S.; Kamynina, E.; Guetterman, H.M.; Farinola, A.F.; Caudill, M.A.; Berry, R.J.; Cassano, P.A.; Stover, P.J. Provision of folic acid for reducing arsenic toxicity in arsenic-exposed children and adults. Cochrane Database Syst. Rev. 2021, 10, CD012649. [Google Scholar] [CrossRef]
- Bustaffa, E.; Gorini, F.; Bianchi, F.; Minichilli, F. Factors affecting arsenic methylation in contaminated Italian areas. Int. J. Environ. Res. Public Health 2020, 17, 5226. [Google Scholar] [CrossRef]
- Abuawad, A.; Spratlen, M.J.; Parvez, F.; Slavkovich, V.; Ilievski, V.; Lomax-Luu, A.M.; Saxena, R.; Shahriar, H.; Uddin, M.N.; Islam, T.; et al. Association between body mass index and arsenic methylation in three studies of Bangladeshi adults and adolescents. Environ. Int. 2021, 149, 106401. [Google Scholar] [CrossRef]
- Saal, T.; Christe, K.O.; Haiges, R. Lewis adduct formation of hydrogen cyanide and nitriles with arsenic and antimony pentafluoride. Dalton Trans. 2018, 48, 99–106. [Google Scholar] [CrossRef]
- Maity, S.; Sarkar, D.; Poddar, K.; Patil, P.; Sarkar, A. Biofilm-mediated heavy metal removal from aqueous system by multi-metal-resistant bacterial strain Bacillus sp. GH-s29. Appl. Biochem. Biotechnol. 2022, 1–19. [Google Scholar] [CrossRef]
- Kim, S.H.; Wei, C.I. Molecular characterization of biofilm formation and attachment of Salmonella enterica serovar typhimurium DT104 on food contact surfaces. J. Food Prot. 2009, 72, 1841–1847. [Google Scholar] [CrossRef] [PubMed]
- Li, J.; Wang, N. The wxacO gene of Xanthomonas citri ssp. citri encodes a protein with a role in lipopolysaccharide biosynthesis, biofilm formation, stress tolerance and virulence. Mol. Plant Pathol. 2011, 12, 381–396. [Google Scholar] [CrossRef]
- Páez-Espino, A.D.; Durante-Rodríguez, G.; de Lorenzo, V. Functional coexistence of twin arsenic resistance systems in Pseudomonas putida KT2440. Environ. Microbiol. 2015, 17, 229–238. [Google Scholar] [CrossRef] [PubMed]
- Zhao, C.; Zhang, Y.; Chan, Z.; Chen, S.; Yang, S. Insights into arsenic multi-operons expression and resistance mechanisms in Rhodopseudomonas palustris CGA009. Front. Microbiol. 2015, 6, 986. [Google Scholar] [CrossRef] [PubMed]
- Naghili, H.; Tajik, H.; Mardani, K.; Razavi Rouhani, S.M.; Ehsani, A.; Zare, P. Validation of drop plate technique for bacterial enumeration by parametric and nonparametric tests. Vet. Res. Forum 2013, 4, 179–183. [Google Scholar]
- Andrews, J.M. Determination of minimum inhibitory concentrations. J. Antimicrob. Chemother. 2001, 48, 5–16. [Google Scholar] [CrossRef]
- Morrison, G.R. Microchemical determination of organic nitrogen with nessler reagent. Anal. Biochem. 1971, 43, 527–532. [Google Scholar] [CrossRef]
- Asmus, E.; Garschagen, H. Über die Verwendung der Barbitursäure für die Photometrische Bestimmung von Cyanid und Rhodanid. Fresenius’ Z. Anal. Chem. 1953, 138, 414–422. [Google Scholar] [CrossRef]
- Bradford, M.M. A rapid and sensitive method for the quantitation of microgram quantities of protein utilizing the principle of protein-dye binding. Anal. Biochem. 1976, 72, 248–254. [Google Scholar] [CrossRef]
- Lundholt, B.K.; Scudder, K.M.; Pagliaro, L. A simple technique for reducing edge effect in cell-based assays. J. Biomol. Screen 2003, 8, 566–570. [Google Scholar] [CrossRef]
- Olaya-Abril, A.; Hidalgo-Carrillo, J.; Luque-Almagro, V.M.; Fuentes-Almagro, C.; Urbano, F.J.; Moreno-Vivián, C.; Richardson, D.J.; Roldán, M.D. Exploring the denitrification proteome of Paracoccus denitrificans PD1222. Front. Microbiol. 2018, 9, 1137. [Google Scholar] [CrossRef] [PubMed]
- Olaya-Abril, A.; Hidalgo-Carrillo, J.; Luque-Almagro, V.M.; Fuentes-Almagro, C.; Urbano, F.J.; Moreno-Vivián, C.; Richardson, D.J.; Roldán, M.D. Effect of pH on the denitrification proteome of the soil bacterium Paracoccus denitrificans PD1222. Sci. Rep. 2021, 11, 17276. [Google Scholar] [CrossRef] [PubMed]
- Fruzangohar, M.; Ebrahimie, E.; Ogunniyi, A.D.; Mahdi, L.K.; Paton, J.C.; Adelson, D.L. Comparative GO: A web application for comparative gene ontology and gene ontology-based gene selection in bacteria. PLoS ONE 2013, 8, e58759. [Google Scholar] [CrossRef] [PubMed]
- Olaya-Abril, A.; Luque-Almagro, V.M.; Hidalgo-Carrillo, J.; Chicano-Gálvez, E.; Urbano, F.J.; Moreno-Vivián, C.; Richardson, D.J.; Roldán, M.D. The NtrYX two-component system of Paracoccus denitrificans is required for the maintenance of cellular iron homeostasis and for a complete denitrification under iron-limited conditions. Int. J. Mol. Sci. 2022, 23, 9172. [Google Scholar] [CrossRef] [PubMed]





| Protein ID | Locus | Protein Names | Short Name | FC NAs/N | FC CNAs/CN | FC CN/N | FC CNAs/NAs |
|---|---|---|---|---|---|---|---|
| ars gene cluster 1 | |||||||
| W6QX55 | BN5_1989 | Putative transcriptional regulator ArsR | ArsR1 | - | - | - | - |
| W6RF96 | BN5_1990 | Lactoylglutathione lyase, C-As lyase | ArsI | NAs | CNAs | - | 0.15 |
| W6QUH3 | BN5_1991 | Arsenate reductase (thioredoxin-dependent) | ArsC1 | 15.27 | 3.21 | 3.01 | 0.63 |
| W6R2E3 | BN5_1992 | Arsenical-resistance protein (arsenite ArsB efflux pump) | ArsB1 | - | - | - | - |
| W6QVQ7 | BN5_1993 | Arsenate reductase (glutaredoxin-dependent) | ArsC2 | 3.21 | CNAs | - | 0.3 |
| W6QX59 | BN5_1994 | Arsenical resistance protein | ArsH1 | - | - | - | - |
| ars gene cluster 2 | |||||||
| W6RHD6 | BN5_2705 | Arsenical pump-driving ATPase, ArsA | ArsA | NAs | 2.38 | CN | 0.72 |
| W6QWP7 | BN5_2706 | Arsenite transporter ArsB efflux pump | ArsB2 | - | - | - | - |
| W6R4K3 | BN5_2707 | Regulatory protein ArsR | ArsR2 | NAs | 8.98 | CN | 0.67 |
| W6QXT2 | BN5_2708 | Arsenate reductase (thioredoxin-dependent) | ArsC3 | - | - | - | - |
| W6QZ50 | BN5_2709 | Arsenical resistance protein, ArsH | ArsH2 | NAs | 3.88 | CN | 0.99 |
| W6RHD9 | BN5_2710 | Protein tyrosine phosphatase domain-containing protein 1 | - | - | - | - | |
| W6QWQ1 | BN5_2711 | Glyceraldehyde-3-phosphate dehydrogenase | GADPH | 8.49 | 2.00 | 2.16 | 0.51 |
| W6R4K6 | BN5_2712 | MFS transporter 1-arseno-3-phosphoglycerate exporter | ArsJ | - | - | - | - |
| nit1C gene cluster | |||||||
| H9N5E0 | BN5_1630 | Sigma-54-dependent transcriptional regulator | NitA | - | 0.8 | CN | CNAs |
| H9N5E2 | BN5_1631 | Uncharacterized protein | NitB | 1.66 | 1.03 | 56.13 | 34.72 |
| H9N5E1 | BN5_1632 | Nitrilase NitC | NitC | 2.29 | 0.91 | 769.53 | 305.89 |
| H9N5E3 | BN5_1633 | Radical SAM domain-containing protein | NitD | 0.32 | 0.13 | 164.02 | 67.29 |
| H9N5E4 | BN5_1634 | GCN5-related N-acetyltransferase | NitE | NAs | 1.83 | CN | 30.76 |
| H9N5E5 | BN5_1635 | AIR synthase-like protein | NitF | - | 0.95 | CN | CNAs |
| H9N5D9 | BN5_1636 | Uncharacterized protein | NitG | - | 0.35 | CN | CNAs |
| H9N5D8 | BN5_1637 | FAD dependent oxidoreductase | NitH | 1.32 | 0.94 | 74.27 | 52.98 |
| cio gene cluster | |||||||
| W6QWX1 | BN5_1899 | GntR family transcriptional regulator | MocR | - | CN | CN | - |
| W6RF17 | BN5_1900 | Sulfite reductase (NADPH) hemoprotein beta-component | CysL3 | 0.75 | 0.09 | 17.44 | 2.05 |
| W6QU90 | BN5_1901 | Uncharacterized protein | CioC3 | NAs | 0.22 | CN | 30.15 |
| W6R254 | BN5_1902 | Terminal oxidase subunit I | CioA3 | - | CN | CN | - |
| W6QVH5 | BN5_1903 | Cytochrome d ubiquinol oxidase, subunit II | CioB3 | - | - | - | - |
| W6QWX6 | BN5_1904 | Phosphoserine aminotransferase | SerC3 | 0.45 | 0.21 | 53.62 | 25.19 |
| W6RF21 | BN5_1905 | Histidinol-phosphate aminotransferase | HisC3 | 0.59 | 0.22 | 33.33 | 12.33 |
| W6QU95 | BN5_1906 | Acetylornithine aminotransferase | ArgD3 | 0.91 | 0.11 | 399.11 | 47.46 |
| W6R260 | BN5_1907 | 4-hydroxy-tetrahydrodipicolinate synthase | DapA1 | 2.11 | 0.3 | 182.98 | 26.06 |
| W6QVI0 | BN5_1908 | High-affinity glucose transporter | - | - | - | - | - |
| W6QWY1 | BN5_1909 | Methylenetetrahydrofolate reductase | MetF3 | - | 0.13 | CN | CNAs |
| W6RF25 | BN5_1910 | Cysteine synthase | CysM3 | - | - | - | - |
| W6QUA1 | BN5_1911 | NADP-dependent malic enzyme | MaeB3 | 1.76 | 0.08 | 104.5 | 4.8 |
| W6R265 | BN5_1912 | Nitrilase Nit4 | Nit4 | 1.35 | 0.29 | 6.15 | 1.34 |
| Other nitrilases and C-N hydrolases | |||||||
| W6RF39 | BN5_1925 | Aliphatic nitrilase | Nit1 | NAs | 1.65 | CN | 1.43 |
| W6R989 | BN5_4427 | Bifunctional nitrilase/nitrile hydratase NIT4B | Nit2/Nit4B | - | 1.15 | CN | CNAs |
| W6QQS6 | BN5_0258 | C-N hydrolase, nitrilase/cyanide hydratase | C-N11/AguB | - | - | - | - |
| W6QQZ6 | BN5_0736 | C-N hydrolase, nitrilase/cyanide hydratase | C-N10/Nit1B | NAs | 0.86 | CN | 1.4 |
| W6QUY5 | BN5_1196 | Nitrilase homolog 1 | C-N12/Nit1A | - | - | - | - |
| W6QZ84 | BN5_2750 | Hydrolase, carbon-nitrogen family | C-N12 | - | - | - | - |
| W6QY63 | BN5_3204 | Formamidase | C-N2/AmiF | 1.95 | 1.28 | 5.32 | 3.49 |
| W6QZD7 | BN5_3251 | C-N hydrolase, nitrilase/cyanide hydratase | CN-13/Nit3B | 1.43 | 1.02 | 2.07 | 1.49 |
| cyn gene cluster | |||||||
| W6QRB2 | BN5_0438 | Fis family transcriptional regulator | CynF | NAs | CN | CN | NAs |
| W6QST4 | BN5_0439 | ABC-type transporter periplasmic component protein | CynA | 0.6 | 0.54 | 16.22 | 14.5 |
| W6RB18 | BN5_0440 | ABC transporter inner membrane subunit protein | CynB | - | - | - | - |
| W6QQ36 | BN5_0441 | ABC transporter/ATPase component protein | CynD | 1.06 | 1.53 | 61.12 | 88.16 |
| W6QY14 | BN5_0442 | Cyanase | CynS | 0.45 | 0.87 | 164.76 | 318.2 |
| Other proteins | |||||||
| W6QRW0 | BN5_0117 | Phosphate transport system permease protein | PstA | NAs | 1.41 | CN | 2.04 |
| W6QXN5 | BN5_0312 | Methyl-accepting chemotaxis sensory transducer | PilJ | NAs | 2.08 | CN | 9.80 |
| W6QSH6 | BN5_0328 | Glutamate synthase | PydA | NAs | 1.26 | CN | 0.82 |
| W6QXQ0 | BN5_0332 | N-carbamoyl-L-amino acid amidohydrolase | - | NAs | 1.37 | CN | 2.10 |
| W6QTB1 | BN5_1579 | Molybdopterin molybdochelatase | MoeA | NAs | 0.84 | CN | 2.73 |
| W6QWV1 | BN5_1877 | Siroheme synthase | CysG | NAs | 1.31 | CN | 3.94 |
| W6QRZ0 | BN5_1113 | Glycerol-3-phosphate dehydrogenase | GlpD1 | NAs | CNAs | - | 1.89 |
| W6QSH3 | BN5_1279 | UPF0718 protein MJ0584 | ArsP | NAs | CNAs | - | 1.51 |
| W6QXS5 | BN5_2698 | Multidrug resistance protein MdtC, Acr3-type permease | Acr3/MdtC | NAs | CNAs | - | 0.22 |
| W6R038 | BN5_3066 | Two component LuxR family transcriptional regulator | LuxR | NAs | CNAs | - | 2.78 |
| W6R1S4 | BN5_3676 | Protein translocase subunit SecY | SecY | NAs | CNAs | - | 4.28 |
| W6R067 | BN5_3092 | Diguanylate cyclase YddV | YddV | - | CNAs | - | CNAs |
| W6RL26 | BN5_4037 | Putative membrane transport ATPase | ZntA | - | CNAs | - | CNAs |
| W6R8E4 | BN5_4137 | dTDP-4-dehydrorhamnose 3,5-epimerase | RfbC | - | CNAs | - | CNAs |
| W6R0W4 | BN5_4181 | Uncharacterized protein | - | - | CNAs | - | CNAs |
| W6RM49 | BN5_4450 | AraC family transcriptional regulator | AraC | - | CNAs | - | CNAs |
| W6QSN9 | BN5_0908 | DNA repair protein RecN | RecN | - | CNAs | - | CNAs |
| W6RCR6 | BN5_1077 | Putative acyl-CoA thioester hydrolase | - | - | CNAs | - | CNAs |
Disclaimer/Publisher’s Note: The statements, opinions and data contained in all publications are solely those of the individual author(s) and contributor(s) and not of MDPI and/or the editor(s). MDPI and/or the editor(s) disclaim responsibility for any injury to people or property resulting from any ideas, methods, instructions or products referred to in the content. |
© 2023 by the authors. Licensee MDPI, Basel, Switzerland. This article is an open access article distributed under the terms and conditions of the Creative Commons Attribution (CC BY) license (https://creativecommons.org/licenses/by/4.0/).
Share and Cite
Biełło, K.A.; Cabello, P.; Rodríguez-Caballero, G.; Sáez, L.P.; Luque-Almagro, V.M.; Roldán, M.D.; Olaya-Abril, A.; Moreno-Vivián, C. Proteomic Analysis of Arsenic Resistance during Cyanide Assimilation by Pseudomonas pseudoalcaligenes CECT 5344. Int. J. Mol. Sci. 2023, 24, 7232. https://doi.org/10.3390/ijms24087232
Biełło KA, Cabello P, Rodríguez-Caballero G, Sáez LP, Luque-Almagro VM, Roldán MD, Olaya-Abril A, Moreno-Vivián C. Proteomic Analysis of Arsenic Resistance during Cyanide Assimilation by Pseudomonas pseudoalcaligenes CECT 5344. International Journal of Molecular Sciences. 2023; 24(8):7232. https://doi.org/10.3390/ijms24087232
Chicago/Turabian StyleBiełło, Karolina A., Purificación Cabello, Gema Rodríguez-Caballero, Lara P. Sáez, Víctor M. Luque-Almagro, María Dolores Roldán, Alfonso Olaya-Abril, and Conrado Moreno-Vivián. 2023. "Proteomic Analysis of Arsenic Resistance during Cyanide Assimilation by Pseudomonas pseudoalcaligenes CECT 5344" International Journal of Molecular Sciences 24, no. 8: 7232. https://doi.org/10.3390/ijms24087232
APA StyleBiełło, K. A., Cabello, P., Rodríguez-Caballero, G., Sáez, L. P., Luque-Almagro, V. M., Roldán, M. D., Olaya-Abril, A., & Moreno-Vivián, C. (2023). Proteomic Analysis of Arsenic Resistance during Cyanide Assimilation by Pseudomonas pseudoalcaligenes CECT 5344. International Journal of Molecular Sciences, 24(8), 7232. https://doi.org/10.3390/ijms24087232

