Multicomponent Reaction-Assisted Drug Discovery: A Time- and Cost-Effective Green Approach Speeding Up Identification and Optimization of Anticancer Drugs
Abstract
1. Introduction: Multicomponent Reactions
2. Evolution of Cancer Treatment
3. Anticancer Compounds Obtained from MCRs Approaches
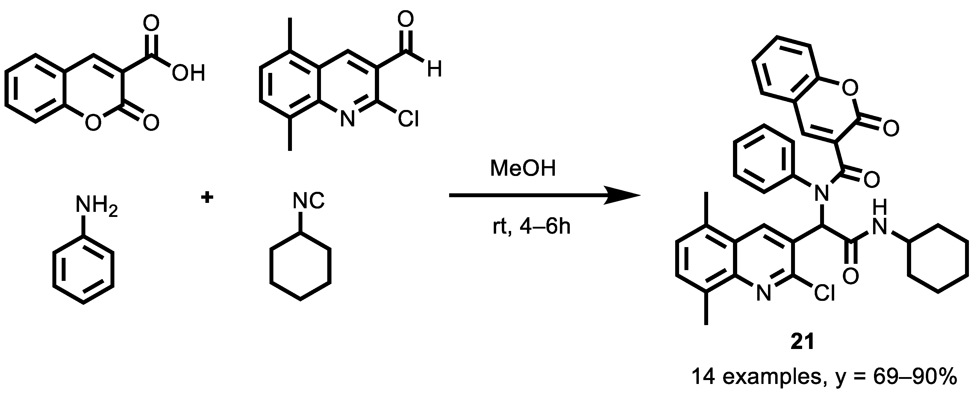
3.1. Passerini Reaction
3.2. Ugi Reaction and Its Modifications
3.3. Biginelli Reaction
3.4. Other MCRs for the Synthesis of Anticancer Drugs
4. Conclusions
Author Contributions
Funding
Conflicts of Interest
Abbreviations
References
- Zhi, S.; Ma, X.; Zhang, W. Consecutive Multicomponent Reactions for the Synthesis of Complex Molecules. Org. Biomol. Chem. 2019, 17, 7632–7650. [Google Scholar] [CrossRef] [PubMed]
- Ibarra, I.A.; Islas-Jácome, A.; González-Zamora, E. Synthesis of Polyheterocycles via Multicomponent Reactions. Org. Biomol. Chem. 2018, 16, 1402–1418. [Google Scholar] [CrossRef]
- Keating, T.A.; Armstrong, R.W. Molecular Diversity via a Convertible Isocyanide in the Ugi Four-Component Condensation. J. Am. Chem. Soc. 1995, 117, 7842–7843. [Google Scholar] [CrossRef]
- Flores-Reyes, J.C.; Islas-Jácome, A.; González-Zamora, E. The Ugi Three-Component Reaction and Its Variants. Org. Chem. Front. 2021, 8, 5460–5515. [Google Scholar] [CrossRef]
- Insuasty, D.; Castillo, J.; Becerra, D.; Rojas, H.; Abonia, R. Synthesis of Biologically Active Molecules through Multicomponent Reactions. Molecules 2020, 25, 505. [Google Scholar] [CrossRef] [PubMed]
- Alvim, H.G.; da Silva Júnior, E.N.; Neto, B.A. What Do We Know about Multicomponent Reactions? Mechanisms and Trends for the Biginelli, Hantzsch, Mannich, Passerini and Ugi MCRs. RSC Adv. 2014, 4, 54282–54299. [Google Scholar] [CrossRef]
- Coppola, G.A.; Pillitteri, S.; Van der Eycken, E.V.; You, S.L.; Sharma, U.K. Multicomponent Reactions and Photo/Electrochemistry Join Forces: Atom Economy Meets Energy Efficiency. Chem. Soc. Rev. 2022, 51, 2313–2382. [Google Scholar] [CrossRef]
- Cioc, R.C.; Ruijter, E.; Orru, R.V.A. Multicomponent Reactions: Advanced Tools for Sustainable Organic Synthesis. Green Chem. 2014, 16, 2958–2975. [Google Scholar] [CrossRef]
- Ahmed Fouad, M.; Abdel-Hamid, H.; Salah Ayoup, M. Two Decades of Recent Advances of Ugi Reactions: Synthetic and Pharmaceutical Applications. RSC Adv. 2020, 10, 42644–42681. [Google Scholar] [CrossRef]
- Wahby, Y.; Abdel-Hamid, H.; Ayoup, M.S. Two Decades of Recent Advances of Passerini Reactions: Synthetic and Potential Pharmaceutical Applications. New J. Chem. 2022, 46, 1445–1468. [Google Scholar] [CrossRef]
- Zheng, X.; Ma, Z.; Zhang, D. Synthesis of Imidazole-Based Medicinal Molecules Utilizing the van Leusen Imidazole Synthesis. Pharmaceuticals 2020, 13, 37. [Google Scholar] [CrossRef] [PubMed]
- Zheng, X.; Liu, W.; Zhang, D. Recent Advances in the Synthesis of Oxazole-Based Molecules via van Leusen Oxazole Synthesis. Molecules 2020, 25, 1594. [Google Scholar] [CrossRef]
- Wang, J.; Liu, X.; Feng, X. Asymmetric Strecker Reactions. Chem. Rev. 2011, 111, 6947–6983. [Google Scholar] [CrossRef]
- Ruijter, E.; Scheffelaar, R.; Orru, R.V.A. Multicomponent Reaction Design in the Quest for Molecular Complexity and Diversity. Angew. Chem. Int. Ed. 2011, 50, 6234–6246. [Google Scholar] [CrossRef] [PubMed]
- Filho, J.F.A.; Lemos, B.C.; de Souza, A.S.; Pinheiro, S.; Greco, S.J. Multicomponent Mannich Reactions: General Aspects, Methodologies and Applications. Tetrahedron 2017, 73, 6977–7004. [Google Scholar] [CrossRef]
- Wan, J.-P.; Liu, Y. Synthesis of Dihydropyrimidinones and Thiones by Multicomponent Reactions: Strategies Beyond the Classical Biginelli Reaction. Synthesis 2010, 2010, 3943–3953. [Google Scholar] [CrossRef]
- Kappe, C.O. The Generation of Dihydropyrimidine Libraries Utilizing Biginelli Multicomponent Chemistry. QSAR Comb. Sci. 2003, 22, 630–645. [Google Scholar] [CrossRef]
- Leonardi, M.; Estévez, V.; Villacampa, M.; Menéndez, J.C. The Hantzsch Pyrrole Synthesis: Non-Conventional Variations and Applications of a Neglected Classical Reaction. Synthesis 2019, 51, 816–828. [Google Scholar] [CrossRef]
- Howard, S.Y.; Di Maso, M.J.; Shimabukuro, K.; Burlow, N.P.; Tan, D.Q.; Fettinger, J.C.; Malig, T.C.; Hein, J.E.; Shaw, J.T. Mechanistic Investigation of Castagnoli–Cushman Multicomponent Reactions Leading to a Three-Component Synthesis of Dihydroisoquinolones. J. Org. Chem. 2021, 86, 11599–11607. [Google Scholar] [CrossRef]
- Li, Y.; Emge, T.J.; Moreno-Vicente, A.; Kopcha, W.P.; Sun, Y.; Mansoor, I.F.; Lipke, M.C.; Hall, G.S.; Poblet, J.M.; Rodríguez-Fortea, A.; et al. Unexpected Formation of Metallofulleroids from Multicomponent Reactions, with Crystallographic and Computational Studies of the Cluster Motion. Angew. Chem. 2021, 133, 25473–25477. [Google Scholar] [CrossRef]
- Su, Y.-L.; Liu, G.-X.; De Angelis, L.; He, R.; Al-Sayyed, A.; Schanze, K.S.; Hu, W.-H.; Qiu, H.; Doyle, M.P. Radical Cascade Multicomponent Minisci Reactions with Diazo Compounds. ACS Catal. 2022, 12, 1357–1363. [Google Scholar] [CrossRef]
- Barcellos, A.M.; Mangiavacchi, F.; Abenante, L.; Dias, Í.F.C.; Sacramento, M. Chapter 1—Multicomponent Reactions in the Synthesis of Organochalcogen Compounds. In Organochalcogen Compounds; Lenardão, E.J., Santi, C., Perin, G., Alves, D., Eds.; Advances in Green and Sustainable Chemistry; Elsevier: Amsterdam, The Netherlands, 2022; pp. 3–30. ISBN 978-0-12-819449-2. [Google Scholar]
- Zoll, A.J.; Molas, J.C.; Mercado, B.Q.; Ellman, J.A. Imine Directed Cp*RhIII-Catalyzed N−H Functionalization and Annulation with Amino Amides, Aldehydes, and Diazo Compounds. Angew. Chem. 2023, 135, e202210822. [Google Scholar] [CrossRef]
- Russo, C.; Brunelli, F.; Tron, G.C.; Giustiniano, M. Isocyanide-Based Multicomponent Reactions Promoted by Visible Light Photoredox Catalysis. Chem. Eur. J. 2023, 29, e202203150. [Google Scholar] [CrossRef] [PubMed]
- Visbal, R.; Graus, S.; Herrera, R.P.; Gimeno, M.C. Gold Catalyzed Multicomponent Reactions beyond A3 Coupling. Molecules 2018, 23, 2255. [Google Scholar] [CrossRef]
- Rossa, T.A.; Fantinel, M.; Bortoluzzi, A.J.; Sá, M.M. Multicomponent Synthesis of Structurally Diverse Imidazoles Featuring Azirines, Amines and Aldehydes. Eur. J. Org. Chem. 2018, 2018, 4171–4177. [Google Scholar] [CrossRef]
- John, S.E.; Gulati, S.; Shankaraiah, N. Recent Advances in Multi-Component Reactions and Their Mechanistic Insights: A Triennium Review. Org. Chem. Front. 2021, 8, 4237–4287. [Google Scholar] [CrossRef]
- D’Souza, D.M.; Müller, T.J.J. Multi-Component Syntheses of Heterocycles by Transition-Metal Catalysis. Chem. Soc. Rev. 2007, 36, 1095–1108. [Google Scholar] [CrossRef]
- Chan, A.Y.; Perry, I.B.; Bissonnette, N.B.; Buksh, B.F.; Edwards, G.A.; Frye, L.I.; Garry, O.L.; Lavagnino, M.N.; Li, B.X.; Liang, Y.; et al. Metallaphotoredox: The Merger of Photoredox and Transition Metal Catalysis. Chem. Rev. 2022, 122, 1485–1542. [Google Scholar] [CrossRef]
- Strübing, D.; Neumann, H.; Hübner, S.; Klaus, S.; Beller, M. Straightforward Synthesis of Di-, Tri- and Tetracyclic Lactams via Catalytic Pauson–Khand and Alder–Ene Reactions of MCR Products. Tetrahedron 2005, 61, 11345–11354. [Google Scholar] [CrossRef]
- Sharma, U.K.; Ranjan, P.; Van der Eycken, E.V.; You, S.L. Sequential and Direct Multicomponent Reaction (MCR)-Based Dearomatization Strategies. Chem. Soc. Rev. 2020, 49, 8721–8748. [Google Scholar] [CrossRef]
- Pathare, R.S.; Ansari, A.J.; Verma, S.; Maurya, A.; Maurya, A.K.; Agnihotri, V.K.; Sharon, A.; Pardasani, R.T.; Sawant, D.M. Sequential Pd(0)/Fe(III) Catalyzed Azide–Isocyanide Coupling/Cyclization Reaction: One-Pot Synthesis of Aminotetrazoles. J. Org. Chem. 2018, 83, 9530–9537. [Google Scholar] [CrossRef]
- Ojeda, G.M.; Ranjan, P.; Fedoseev, P.; Amable, L.; Sharma, U.K.; Rivera, D.G.; Eycken, E.V.V.D. Combining the Ugi-Azide Multicomponent Reaction and Rhodium(III)-Catalyzed Annulation for the Synthesis of Tetrazole-Isoquinolone/Pyridone Hybrids. Beilstein J. Org. Chem. 2019, 15, 2447–2457. [Google Scholar] [CrossRef] [PubMed]
- Wang, Q.; Mgimpatsang, K.C.; Li, X.; Dömling, A. Isoquinolone-4-Carboxylic Acids by Ammonia-Ugi-4CR and Copper-Catalyzed Domino Reaction. J. Org. Chem. 2021, 86, 9771–9780. [Google Scholar] [CrossRef] [PubMed]
- Godineau, E.; Landais, Y. Radical and Radical–Ionic Multicomponent Processes. Chem. Eur. J. 2009, 15, 3044–3055. [Google Scholar] [CrossRef] [PubMed]
- Garbarino, S.; Ravelli, D.; Protti, S.; Basso, A. Photoinduced Multicomponent Reactions. Angew. Chem. Int. Ed. 2016, 55, 15476–15484. [Google Scholar] [CrossRef] [PubMed]
- Bakulina, O.; Inyutina, A.; Dar’in, D.; Krasavin, M. Multicomponent Reactions Involving Diazo Reagents: A 5-Year Update. Molecules 2021, 26, 6563. [Google Scholar] [CrossRef] [PubMed]
- Vachan, B.S.; Karuppasamy, M.; Vinoth, P.; Vivek Kumar, S.; Perumal, S.; Sridharan, V.; Menéndez, J.C. Proline and Its Derivatives as Organocatalysts for Multi- Component Reactions in Aqueous Media: Synergic Pathways to the Green Synthesis of Heterocycles. Adv. Synth. Catal. 2020, 362, 87–110. [Google Scholar] [CrossRef]
- Guillena, G.; Ramón, D.J.; Yus, M. Organocatalytic Enantioselective Multicomponent Reactions (OEMCRs). Tetrahedron Asymmetry 2007, 18, 693–700. [Google Scholar] [CrossRef]
- Ramachary, D.B.; Barbas, C.F., III. Towards Organo-Click Chemistry: Development of Organocatalytic Multicomponent Reactions Through Combinations of Aldol, Wittig, Knoevenagel, Michael, Diels–Alder and Huisgen Cycloaddition Reactions. Chem. Eur. J. 2004, 10, 5323–5331. [Google Scholar] [CrossRef]
- Wu, M.-Y.; He, W.-W.; Liu, X.-Y.; Tan, B. Asymmetric Construction of Spirooxindoles by Organocatalytic Multicomponent Reactions Using Diazooxindoles. Angew. Chem. Int. Ed. 2015, 54, 9409–9413. [Google Scholar] [CrossRef]
- Nasiriani, T.; Javanbakht, S.; Nazeri, M.T.; Farhid, H.; Khodkari, V.; Shaabani, A. Isocyanide-Based Multicomponent Reactions in Water: Advanced Green Tools for the Synthesis of Heterocyclic Compounds. Top Curr. Chem. (Z) 2022, 380, 50. [Google Scholar] [CrossRef]
- Dömling, A.; Ugi, I. Multicomponent Reactions with Isocyanides. Angew. Chem. Int. Ed. 2000, 39, 3168–3210. [Google Scholar] [CrossRef]
- Lygin, A.V.; de Meijere, A. Isocyanides in the Synthesis of Nitrogen Heterocycles. Angew. Chem. Int. Ed. 2010, 49, 9094–9124. [Google Scholar] [CrossRef] [PubMed]
- Heravi, M.M.; Mohammadkhani, L. Synthesis of Various N-Heterocycles Using the Four-Component Ugi Reaction. In Advances in Heterocyclic Chemistry; Elsevier: Amsterdam, The Netherlands, 2020; Volume 131, pp. 351–403. ISBN 0065-2725. [Google Scholar]
- Dömling, A. Innovations and Inventions: Why Was the Ugi Reaction Discovered Only 37 Years after the Passerini Reaction? J. Org. Chem. 2022. [Google Scholar] [CrossRef] [PubMed]
- Passerini, M.; Isonitriles, I.I. Compounds with Aldehydes or with Ketones and Monobasic Organic Acids. Gazz. Chim. Ital. 1921, 51, 181–189. [Google Scholar]
- Passerini, M.; Simone, L. Sopra Gli Isonitrili (I). Composto Del p-Isonitril-Azobenzolo Con Acetone Ed Acido Acetico. Gazz. Chim. Ital 1921, 51, 126–129. [Google Scholar]
- Ugi, I.; Dömling, A.; Hörl, W. Multicomponent Reactions in Organic Chemistry. Endeavour 1994, 18, 115–122. [Google Scholar] [CrossRef]
- Dömling, A. Recent Developments in Isocyanide Based Multicomponent Reactions in Applied Chemistry. Chem. Rev. 2006, 106, 17–89. [Google Scholar] [CrossRef]
- Shaaban, S.; Abdel-Wahab, B.F. Groebke–Blackburn–Bienaymé Multicomponent Reaction: Emerging Chemistry for Drug Discovery. Mol. Div. 2016, 20, 233–254. [Google Scholar] [CrossRef]
- Parenty, A.D.; Song, Y.-F.; Richmond, C.J.; Cronin, L. A General and Efficient Five-Step One-Pot Procedure Leading to Nitrogen-Bridgehead Heterocycles Containing an Imidazole Ring. Org. Lett. 2007, 9, 2253–2256. [Google Scholar] [CrossRef]
- Sisko, J.; Kassick, A.J.; Mellinger, M.; Filan, J.J.; Allen, A.; Olsen, M.A. An Investigation of Imidazole and Oxazole Syntheses Using Aryl-Substituted TosMIC Reagents1. J. Org. Chem. 2000, 65, 1516–1524. [Google Scholar] [CrossRef]
- Bon, R.S.; Hong, C.; Bouma, M.J.; Schmitz, R.F.; de Kanter, F.J.; Lutz, M.; Spek, A.L.; Orru, R.V. Novel Multicomponent Reaction for the Combinatorial Synthesis of 2-Imidazolines. Org. Lett. 2003, 5, 3759–3762. [Google Scholar] [CrossRef]
- Gulevich, A.V.; Zhdanko, A.G.; Orru, R.V.; Nenajdenko, V.G. Isocyanoacetate Derivatives: Synthesis, Reactivity, and Application. Chem. Rev. 2010, 110, 5235–5331. [Google Scholar] [CrossRef] [PubMed]
- Elders, N.; Ruijter, E.; de Kanter, F.J.J.; Groen, M.B.; Orru, R.V.A. Selective Formation of 2-Imidazolines and 2-Substituted Oxazoles by Using a Three-Component Reaction. Chem. Eur. J. 2008, 14, 4961–4973. [Google Scholar] [CrossRef] [PubMed]
- Andrade, C.K.Z.; Takada, S.C.S.; Suarez, P.A.Z.; Alves, M.B. Revisiting the Passerini Reaction under Eco-Friendly Reaction Conditions. Synlett 2006, 2006, 1539–1542. [Google Scholar] [CrossRef]
- Ugi, I. From Isocyanides via Four-component Condensations to Antibiotic Syntheses. Angew. Chem. Int. Ed. Eng. 1982, 21, 810–819. [Google Scholar] [CrossRef]
- Bock, H.; Ugi, I. Multicomponent Reactions. II. Stereoselective Synthesis of 1 (S)-camphor-2-cis-methylidene-isocyanide and Its Application in Passerini-and Ugi-reaction. J. Prakt. Chem. 1997, 339, 385–389. [Google Scholar] [CrossRef]
- Van Leusen, A.M.; Wildeman, J.; Oldenziel, O.H. Chemistry of Sulfonylmethyl Isocyanides. 12. Base-Induced Cycloaddition of Sulfonylmethyl Isocyanides to Carbon, Nitrogen Double Bonds. Synthesis of 1, 5-Disubstituted and 1, 4, 5-Trisubstituted Imidazoles from Aldimines and Imidoyl Chlorides. J. Org. Chem. 1977, 42, 1153–1159. [Google Scholar] [CrossRef]
- Groebke, K.; Weber, L.; Mehlin, F. Synthesis of Imidazo [1,2-a] Annulated Pyridines, Pyrazines and Pyrimidines by a Novel Three-Component Condensation. Synlett 1998, 1998, 661–663. [Google Scholar] [CrossRef]
- Blackburn, C.; Guan, B.; Fleming, P.; Shiosaki, K.; Tsai, S. Parallel Synthesis of 3-Aminoimidazo [1, 2-a] Pyridines and Pyrazines by a New Three-Component Condensation. Tetrahedron Lett. 1998, 39, 3635–3638. [Google Scholar] [CrossRef]
- Bienayme, H.; Bouzid, K. A New Heterocyclic Multicomponent Reaction for the Combinatorial Synthesis of Fused 3-aminoimidazoles. Angew. Chem. Int. Ed. 1998, 37, 2234–2237. [Google Scholar] [CrossRef]
- Boltjes, A.; Dömling, A. The Groebke-Blackburn-Bienaymé Reaction. Eur. J. Org. Chem. 2019, 2019, 7007–7049. [Google Scholar] [CrossRef]
- Rudick, J.G.; Shaabani, S.; Dömling, A. Isocyanide-Based Multicomponent Reactions; Frontiers Media SA: Lausanne, Switzerland, 2020; Volume 7, p. 918. ISBN 2296-2646. [Google Scholar]
- Sadjadi, S.; Heravi, M.M. Recent Application of Isocyanides in Synthesis of Heterocycles. Tetrahedron 2011, 67, 2707–2752. [Google Scholar] [CrossRef]
- Heravi, M.M.; Nazari, N. Isocyanide-Based Cascade Reactions in the Synthesis of Aza-Heterocycles: A Marriage of Convenience. Curr. Org. Chem. 2017, 21, 1440–1529. [Google Scholar] [CrossRef]
- Mohammadkhani, L.; Heravi, M.M. Synthesis of N-Heterocycles Containing 1,5-Disubstituted-1H-Tetrazole via Post-Ugi-Azide Reaction. Mol. Div. 2020, 24, 841–853. [Google Scholar] [CrossRef] [PubMed]
- Sadjadi, S.; Heravi, M.M.; Nazari, N. Isocyanide-Based Multicomponent Reactions in the Synthesis of Heterocycles. RSC Adv. 2016, 6, 53203–53272. [Google Scholar] [CrossRef]
- Heravi, M.M.; Zadsirjan, V.; Dehghani, M.; Ahmadi, T. Towards Click Chemistry: Multicomponent Reactions via Combinations of Name Reactions. Tetrahedron 2018, 74, 3391–3457. [Google Scholar] [CrossRef]
- Li, X.; Zarganes-Tzitzikas, T.; Kurpiewska, K.; Dömling, A. Amenamevir by Ugi-4CR. Green Chem. 2023, 25, 1322–1325. [Google Scholar] [CrossRef]
- Xu, R.; Wang, Z.; Zheng, Q.; Patil, P.; Dömling, A. A Bifurcated Multicomponent Synthesis Approach to Polycyclic Quinazolinones. J. Org. Chem. 2022, 87, 13023–13033. [Google Scholar] [CrossRef]
- Zhang, B.; Kurpiewska, K.; Dömling, A. Highly Stereoselective Ugi/Pictet–Spengler Sequence. J. Org. Chem. 2022, 87, 7085–7096. [Google Scholar] [CrossRef]
- Sutanto, F.; Shaabani, S.; Neochoritis, C.G.; Zarganes-Tzitzikas, T.; Patil, P.; Ghonchepour, E.; Dömling, A. Multicomponent Reaction–Derived Covalent Inhibitor Space. Sci. Adv. 2021, 7, eabd9307. [Google Scholar] [CrossRef] [PubMed]
- Konstantinidou, M.; Boiarska, Z.; Butera, R.; Neochoritis, C.G.; Kurpiewska, K.; Kalinowska-Tłuscik, J.; Dömling, A. Diaminoimidazopyrimidines: Access via the Groebke–Blackburn–Bienaymé Reaction and Structural Data Mining. Eur. J. Org. Chem. 2020, 2020, 5601–5605. [Google Scholar] [CrossRef]
- Neochoritis, C.G.; Zarganes-Tzitzikas, T.; Katsampoxaki-Hodgetts, K.; Dömling, A. Multicomponent Reactions: “Kinderleicht”. J. Chem. Educ. 2020, 97, 3739–3745. [Google Scholar] [CrossRef] [PubMed]
- Ricardo, M.G.; Ali, A.M.; Plewka, J.; Surmiak, E.; Labuzek, B.; Neochoritis, C.G.; Atmaj, J.; Skalniak, L.; Zhang, R.; Holak, T.A.; et al. Multicomponent Peptide Stapling as a Diversity-Driven Tool for the Development of Inhibitors of Protein–Protein Interactions. Angew. Chem. Int. Ed. 2020, 59, 5235–5241. [Google Scholar] [CrossRef] [PubMed]
- Neochoritis, C.G.; Zarganes-Tzitzikas, T.; Novotná, M.; Mitríková, T.; Wang, Z.; Kurpiewska, K.; Kalinowska-Tłuścik, J.; Dömling, A. Isocyanide-Based Multicomponent Reactions of Free Phenylboronic Acids. Eur. J. Org. Chem. 2019, 2019, 6132–6137. [Google Scholar] [CrossRef]
- Kunig, V.B.K.; Ehrt, C.; Dömling, A.; Brunschweiger, A. Isocyanide Multicomponent Reactions on Solid-Phase-Coupled DNA Oligonucleotides for Encoded Library Synthesis. Org. Lett. 2019, 21, 7238–7243. [Google Scholar] [CrossRef] [PubMed]
- Neochoritis, C.G.; Zhao, T.; Dömling, A. Tetrazoles via Multicomponent Reactions. Chem. Rev. 2019, 119, 1970–2042. [Google Scholar] [CrossRef]
- Abdelraheem, E.M.M.; Shaabani, S.; Dömling, A. Macrocycles: MCR Synthesis and Applications in Drug Discovery. Drug Disc. Today Technol. 2018, 29, 11–17. [Google Scholar] [CrossRef]
- Abdelraheem, E.M.M.; Madhavachary, R.; Rossetti, A.; Kurpiewska, K.; Kalinowska-Tłuścik, J.; Shaabani, S.; Dömling, A. Ugi Multicomponent Reaction Based Synthesis of Medium-Sized Rings. Org. Lett. 2017, 19, 6176–6179. [Google Scholar] [CrossRef]
- Giustiniano, M.; Basso, A.; Mercalli, V.; Massarotti, A.; Novellino, E.; Tron, G.C.; Zhu, J. To Each His Own: Isonitriles for All Flavors. Functionalized Isocyanides as Valuable Tools in Organic Synthesis. Chem. Soc. Rev. 2017, 46, 1295–1357. [Google Scholar] [CrossRef]
- Boyarskiy, V.P.; Bokach, N.A.; Luzyanin, K.V.; Kukushkin, V.Y. Metal-Mediated and Metal-Catalyzed Reactions of Isocyanides. Chem. Rev. 2015, 115, 2698–2779. [Google Scholar] [CrossRef] [PubMed]
- Nazeri, M.T.; Farhid, H.; Mohammadian, R.; Shaabani, A. Cyclic Imines in Ugi and Ugi-Type Reactions. ACS Comb. Sci. 2020, 22, 361–400. [Google Scholar] [CrossRef]
- Wang, H.; Xu, B. Recent Advances in Inert Bonds Activation with Isocyanides. Chin. J. Org. Chem. 2015, 35, 588–602. [Google Scholar] [CrossRef]
- Mazzoni, R.; Marchetti, F.; Cingolani, A.; Zanotti, V. Bond Forming Reactions Involving Isocyanides at Diiron Complexes. Inorganics 2019, 7, 25. [Google Scholar] [CrossRef]
- Altundas, B.; Marrazzo, J.-P.R.; Fleming, F.F. Metalated Isocyanides: Formation, Structure, and Reactivity. Org. Bio. Chem. 2020, 18, 6467–6482. [Google Scholar] [CrossRef] [PubMed]
- Bosica, G.; Abdilla, R. Recent Advances in Multicomponent Reactions Catalysed under Operationally Heterogeneous Conditions. Catalysts 2022, 12, 725. [Google Scholar] [CrossRef]
- Wang, Z.; Domling, A. Multicomponent Reactions in Medicinal Chemistry. In Multicomponent Reactions towards Heterocycles; John Wiley & Sons, Ltd.: Hoboken, NJ, USA, 2022; pp. 91–137. ISBN 978-3-527-83243-9. [Google Scholar]
- Nazeri, M.T.; Nasiriani, T.; Farhid, H.; Javanbakht, S.; Bahri, F.; Shadi, M.; Shaabani, A. Sustainable Synthesis of Pseudopeptides via Isocyanide-Based Multicomponent Reactions in Water. ACS Sustain. Chem. Eng. 2022, 10, 8115–8134. [Google Scholar] [CrossRef]
- Dömling, A.; Wang, W.; Wang, K. Chemistry and Biology Of Multicomponent Reactions. Chem. Rev. 2012, 112, 3083–3135. [Google Scholar] [CrossRef]
- Van der Eycken, E.; Sharma, U.K. Multicomponent Reactions towards Heterocycles: Concepts and Applications; John Wiley & Sons, Ltd.: Hoboken, NJ, USA, 2022; ISBN 978-3-527-34908-1. [Google Scholar]
- Nazeri, M.T.; Shaabani, A. Synthesis of Polysubstituted Pyrroles via Isocyanide-Based Multicomponent Reactions as an Efficient Synthesis Tool. New J. Chem. 2021, 45, 21967–22011. [Google Scholar] [CrossRef]
- Cankařová, N.; Krchňák, V. Isocyanide Multicomponent Reactions on Solid Phase: State of the Art and Future Application. Int. J. Mol. Sci. 2020, 21, 9160. [Google Scholar] [CrossRef]
- Mikherdov, A.S.; Novikov, A.S.; Boyarskiy, V.P.; Kukushkin, V.Y. The Halogen Bond with Isocyano Carbon Reduces Isocyanide Odor. Nat. Commun. 2020, 11, 2921. [Google Scholar] [CrossRef]
- Azuaje, J.; Coelho, A.; Maatougui, A.E.; Blanco, J.M.; Sotelo, E. Supported P-Toluenesulfonic Acid as a Highly Robust and Eco-Friendly Isocyanide Scavenger. ACS Comb. Sci. 2011, 13, 89–95. [Google Scholar] [CrossRef] [PubMed]
- Bhat, S.I.; Kigga, M.; Heravi, M.M. Multicomponent Reactions Based on In Situ Generated Isocyanides for the Construction of Heterocycles. Chem. Heterocycl. Compd. 2021, 57, 709–719. [Google Scholar] [CrossRef]
- Azuaje, J.; El Maatougui, A.; Pérez-Rubio, J.M.; Coelho, A.; Fernández, F.; Sotelo, E. Multicomponent Assembly of Diverse Pyrazin-2(1 H)-One Chemotypes. J. Org. Chem. 2013, 78, 4402–4409. [Google Scholar] [CrossRef]
- Azuaje, J.; Pérez-Rubio, J.M.; Yaziji, V.; El Maatougui, A.; González-Gomez, J.C.; Sánchez-Pedregal, V.M.; Navarro-Vázquez, A.; Masaguer, C.F.; Teijeira, M.; Sotelo, E. Integrated Ugi-Based Assembly of Functionally, Skeletally, and Stereochemically Diverse 1,4-Benzodiazepin-2-Ones. J. Org. Chem. 2015, 80, 1533–1549. [Google Scholar] [CrossRef]
- Hantzsch, A. Condensationsprodukte aus Aldehydammoniak und ketonartigen Verbindungen. Ber. Dtsch. Chem. Ges. 1881, 14, 1637–1638. [Google Scholar] [CrossRef]
- Biginelli, P. Ueber Aldehyduramide des Acetessigäthers. Ber. Dtsch. Chem. Ges. 1891, 24, 1317–1319. [Google Scholar] [CrossRef]
- Azuaje, J.; Tubío, C.R.; Escalante, L.; Gómez, M.; Guitián, F.; Coelho, A.; Caamaño, O.; Gil, A.; Sotelo, E. An Efficient and Recyclable 3D Printed α-Al2O3 Catalyst for the Multicomponent Assembly of Bioactive Heterocycles. Appl. Catal. 2017, 530, 203–210. [Google Scholar] [CrossRef]
- Neto, B.A.D.; Rocha, R.O.; Lapis, A.A.M. What Do We Know about the Ionic Liquid Effect in Catalyzed Multicomponent Reactions?: A Critical Review. Curr. Opin. Green Sustain. Chem. 2022, 35, 100608. [Google Scholar] [CrossRef]
- Neto, B.A.D.; Eberlin, M.N.; Sherwood, J. Solvent Screening Is Not Solvent Effect: A Review on the Most Neglected Aspect of Multicomponent Reactions. Eur. J. Org. Chem. 2022, 2022, e202200172. [Google Scholar] [CrossRef]
- Heravi, M.M.; Zadsirjan, V. Construction and Aromatization of Hantzsch 1,4-Dihydropyridines under Microwave Irradiation: A Green Approach. ChemistrySelect 2022, 7, e202104032. [Google Scholar] [CrossRef]
- Ma, Z.; Wang, B.; Tao, L. Stepping Further from Coupling Tools: Development of Functional Polymers via the Biginelli Reaction. Molecules 2022, 27, 7886. [Google Scholar] [CrossRef] [PubMed]
- Serafini, M.; Murgia, I.; Giustiniano, M.; Pirali, T.; Tron, G.C. The 115 Years Old Multicomponent Bargellini Reaction: Perspectives and New Applications. Molecules 2021, 26, 558. [Google Scholar] [CrossRef] [PubMed]
- Grazia Martina, M.; Giannessi, L.; Radi, M. Multicomponent Synthesis of Purines and Pyrimidines: From the Origin of Life to New Sustainable Approaches for Drug-Discovery Applications. Eur. J. Org. Chem. 2023, 26, e202201288. [Google Scholar] [CrossRef]
- Gibson, S.E.; Mainolfi, N. The Intermolecular Pauson–Khand Reaction. Angew. Chem. Int. Ed. 2005, 44, 3022–3037. [Google Scholar] [CrossRef]
- Chen, S.; Jiang, C.; Zheng, N.; Yang, Z.; Shi, L. Evolution of Pauson-Khand Reaction: Strategic Applications in Total Syntheses of Architecturally Complex Natural Products (2016–2020). Catalysts 2020, 10, 1199. [Google Scholar] [CrossRef]
- Román, R.; Mateu, N.; López, I.; Medio-Simon, M.; Fustero, S.; Barrio, P. Vinyl Fluorides: Competent Olefinic Counterparts in the Intramolecular Pauson–Khand Reaction. Org. Lett. 2019, 21, 2569–2573. [Google Scholar] [CrossRef]
- Jang, Y.; Lindsay, V.N.G. Synthesis of Cyclopentenones with Reverse Pauson–Khand Regiocontrol via Ni-Catalyzed C–C Activation of Cyclopropanone. Org. Lett. 2020, 22, 8872–8876. [Google Scholar] [CrossRef]
- Hanahan, D.; Weinberg, R.A. Hallmarks of Cancer: The next Generation. Cell 2011, 144, 646–674. [Google Scholar] [CrossRef]
- Bray, F.; Laversanne, M.; Weiderpass, E.; Soerjomataram, I. The Ever-Increasing Importance of Cancer as a Leading Cause of Premature Death Worldwide. Cancer 2021, 127, 3029–3030. [Google Scholar] [CrossRef]
- Sung, H.; Ferlay, J.; Siegel, R.L.; Laversanne, M.; Soerjomataram, I.; Jemal, A.; Bray, F. Global Cancer Statistics 2020: GLOBOCAN Estimates of Incidence and Mortality Worldwide for 36 Cancers in 185 Countries. CA Cancer J. Clin. 2021, 71, 209–249. [Google Scholar] [CrossRef] [PubMed]
- Sikora, K.; Timbs, O. Cancer 2025: Introduction. Expert Rev. Anticancer Ther. 2004, 4, S11–S12. [Google Scholar] [CrossRef]
- Hanahan, D. Hallmarks of Cancer: New Dimensions. Cancer Discov. 2022, 12, 31–46. [Google Scholar] [CrossRef] [PubMed]
- Griglio, A.; Torre, E.; Serafini, M.; Bianchi, A.; Schmid, R.; Coda Zabetta, G.; Massarotti, A.; Sorba, G.; Pirali, T.; Fallarini, S. A Multicomponent Approach in the Discovery of Indoleamine 2,3-Dioxygenase 1 Inhibitors: Synthesis, Biological Investigation and Docking Studies. Bioorg. Med. Chem. Lett. 2018, 28, 651–657. [Google Scholar] [CrossRef]
- Tojo, S.; Kohno, T.; Tanaka, T.; Kamioka, S.; Ota, Y.; Ishii, T.; Kamimoto, K.; Asano, S.; Isobe, Y. Crystal Structures and Structure–Activity Relationships of Imidazothiazole Derivatives as IDO1 Inhibitors. ACS Med. Chem. Lett. 2014, 5, 1119–1123. [Google Scholar] [CrossRef]
- Salah Ayoup, M.; Wahby, Y.; Abdel-Hamid, H.; Ramadan, E.S.; Teleb, M.; Abu-Serie, M.M.; Noby, A. Design, Synthesis and Biological Evaluation of Novel α-Acyloxy Carboxamides via Passerini Reaction as Caspase 3/7 Activators. Eur. J. Org. Chem. 2019, 168, 340–356. [Google Scholar] [CrossRef] [PubMed]
- Akhlaghi, S.; Mostoufi, A.; Kalantar, H.; Fereidoonnezhad, M. Synthesis and Biological Evaluations of Novel Pyrazinoic Acid Derivatives as Anticancer Agents. Med. Chem. Res. 2022, 31, 580–593. [Google Scholar] [CrossRef]
- Najmi, A.; Javed, S.A.; Al Bratty, M.; Alhazmi, H.A. Modern Approaches in the Discovery and Development of Plant-Based Natural Products and Their Analogues as Potential Therapeutic Agents. Molecules 2022, 27, 349. [Google Scholar] [CrossRef]
- Huang, B.; Zhang, Y. Teaching an Old Dog New Tricks: Drug Discovery by Repositioning Natural Products and Their Derivatives. Drug Discov. Today 2022, 27, 1936–1944. [Google Scholar] [CrossRef]
- Wainwright, C.L.; Teixeira, M.M.; Adelson, D.L.; Braga, F.C.; Buenz, E.J.; Campana, P.R.V.; David, B.; Glaser, K.B.; Harata-Lee, Y.; Howes, M.-J.R.; et al. Future Directions for the Discovery of Natural Product-Derived Immunomodulating Drugs: An IUPHAR Positional Review. Pharmacol. Res. 2022, 177, 106076. [Google Scholar] [CrossRef]
- Atanasov, A.G.; Zotchev, S.B.; Dirsch, V.M.; Supuran, C.T. Natural Products in Drug Discovery: Advances and Opportunities. Nat. Rev. Drug. Discov. 2021, 20, 200–216. [Google Scholar] [CrossRef]
- Wiemann, J.; Heller, L.; Csuk, R. An Access to a Library of Novel Triterpene Derivatives with a Promising Pharmacological Potential by Ugi and Passerini Multicomponent Reactions. Eur. J. Org. Chem. 2018, 150, 176–194. [Google Scholar] [CrossRef] [PubMed]
- Ingold, M.; Colella, L.; Hernández, P.; Batthyány, C.; Tejedor, D.; Puerta, A.; García-Tellado, F.; Padrón, J.M.; Porcal, W.; López, G.V. A Focused Library of NO-Donor Compounds with Potent Antiproliferative Activity Based on Green Multicomponent Reactions. Chem. Med. Chem. 2019, 14, 1669–1683. [Google Scholar] [CrossRef] [PubMed]
- Taheri, S.; Nazifi, M.; Mansourian, M.; Hosseinzadeh, L.; Shokoohinia, Y. Ugi Efficient Synthesis, Biological Evaluation and Molecular Docking of Coumarin-Quinoline Hybrids as Apoptotic Agents through Mitochondria-Related Pathways. Bioorg. Chem. 2019, 91, 103147. [Google Scholar] [CrossRef] [PubMed]
- Butera, R.; Ważyńska, M.; Magiera-Mularz, K.; Plewka, J.; Musielak, B.; Surmiak, E.; Sala, D.; Kitel, R.; de Bruyn, M.; Nijman, H.W.; et al. Design, Synthesis, and Biological Evaluation of Imidazopyridines as PD-1/PD-L1 Antagonists. ACS Med. Chem. Lett. 2021, 12, 768–773. [Google Scholar] [CrossRef] [PubMed]
- Pelliccia, S.; Amato, J.; Capasso, D.; Di Gaetano, S.; Massarotti, A.; Piccolo, M.; Irace, C.; Tron, G.C.; Pagano, B.; Randazzo, A.; et al. Bio-Inspired Dual-Selective BCL-2/c-MYC G-Quadruplex Binders: Design, Synthesis, and Anticancer Activity of Drug-like Imidazo[2,1-i]Purine Derivatives. J. Med. Chem. 2020, 63, 2035–2050. [Google Scholar] [CrossRef]
- Xiong, J.; He, H.-T.; Yang, H.-Y.; Zeng, Z.-G.; Zhong, C.-R.; Shi, H.; Ouyang, M.-L.; Tao, Y.-Y.; Pang, Y.-L.; Zhang, Y.-H.; et al. Synthesis of 4-Tetrazolyl-Substituted 3,4-Dihydroquinazoline Derivatives with Anticancer Activity via a One-Pot Sequential Ugi-Azide/Palladium-Catalyzed Azide-Isocyanide Cross-Coupling/Cyclization Reaction. J. Org. Chem. 2022, 87, 9488–9496. [Google Scholar] [CrossRef]
- Nichugovskiy, A.; Maksimova, V.; Trapeznikova, E.; Eshtukova-Shcheglova, E.; Ivanov, I.; Yakubovskaya, M.; Kirsanov, K.; Cheshkov, D.; Tron, G.C.; Maslov, M. Synthesis of Novel Lipophilic Polyamines via Ugi Reaction and Evaluation of Their Anticancer Activity. Molecules 2022, 27, 6218. [Google Scholar] [CrossRef]
- El Maatougui, A.; Azuaje, J.; González-Gómez, M.; Miguez, G.; Crespo, A.; Carbajales, C.; Escalante, L.; García-Mera, X.; Gutiérrez-De-Terán, H.; Sotelo, E. Discovery of Potent and Highly Selective A2B Adenosine Receptor Antagonist Chemotypes. J. Med. Chem. 2016, 59, 1967–1983. [Google Scholar] [CrossRef]
- Crespo, A.; El Maatougui, A.; Biagini, P.; Azuaje, J.; Coelho, A.; Brea, J.; Loza, M.I.; Cadavid, M.I.; García-Mera, X.; Gutiérrez-de-Terán, H.; et al. Discovery of 3,4-Dihydropyrimidin-2(1H)-Ones As a Novel Class of Potent and Selective A2B Adenosine Receptor Antagonists. ACS Med. Chem. Lett. 2013, 4, 1031–1036. [Google Scholar] [CrossRef]
- Carbajales, C.; Azuaje, J.; Oliveira, A.; Loza, M.I.; Brea, J.; Cadavid, M.I.; Masaguer, C.F.; García-Mera, X.; Gutiérrez-de-Terán, H.; Sotelo, E. Enantiospecific Recognition at the A2B Adenosine Receptor by Alkyl 2-Cyanoimino-4-Substituted-6-Methyl-1,2,3,4-Tetrahydropyrimidine-5-Carboxylates. J. Med. Chem. 2017, 60, 3372–3382. [Google Scholar] [CrossRef] [PubMed]
- Tay, A.H.M.; Prieto-Díaz, R.; Neo, S.; Tong, L.; Chen, X.; Carannante, V.; Önfelt, B.; Hartman, J.; Haglund, F.; Majellaro, M.; et al. A2B Adenosine Receptor Antagonists Rescue Lymphocyte Activity in Adenosine-Producing Patient-Derived Cancer Models. J. Immunother. Cancer 2022, 10, e004592. [Google Scholar] [CrossRef] [PubMed]
- Prieto-Díaz, R.; González-Gómez, M.; Fojo-Carballo, H.; Azuaje, J.; El Maatougui, A.; Majellaro, M.; Loza, M.I.; Brea, J.; Fernández-Dueñas, V.; Paleo, M.R.; et al. Exploring the Effect of Halogenation in a Series of Potent and Selective A2B Adenosine Receptor Antagonists. J. Med. Chem. 2023, 66, 890–912. [Google Scholar] [CrossRef] [PubMed]
- El-Malah, A.; Mahmoud, Z.; Hamed Salem, H.; Abdou, A.M.; Soliman, M.M.H.; Hassan, R.A. Design, Ecofriendly Synthesis, Anticancer and Antimicrobial Screening of Innovative Biginelli Dihydropyrimidines Using β-Aroylpyruvates as Synthons. Green Chem. Lett. Rev. 2021, 14, 221–233. [Google Scholar] [CrossRef]
- Li, Y.; Tan, T.; Zhao, Y.; Wei, Y.; Wang, D.; Chen, R.; Tao, L. Anticancer Polymers via the Biginelli Reaction. ACS Macro Lett. 2020, 9, 1249–1254. [Google Scholar] [CrossRef]
- Çağlar Yavuz, S.; Akkoç, S.; Türkmenoğlu, B.; Sarıpınar, E. Synthesis of Novel Heterocyclic Compounds Containing Pyrimidine Nucleus Using the Biginelli Reaction: Antiproliferative Activity and Docking Studies. J. Heterocycl. Chem. 2020, 57, 2615–2627. [Google Scholar] [CrossRef]
- Ashma, A.; Yahya, S.; Subramani, A.; Tamilarasan, R.; Sasikumar, G.; Askar Ali, S.J.; Al-Lohedan, H.A.; Karnan, M. Synthesis of New Nicotinic Acid Hydrazide Metal Complexes: Potential Anti-Cancer Drug, Supramolecular Architecture, Antibacterial Studies and Catalytic Properties. J. Mol. Struct. 2022, 1250, 131860. [Google Scholar] [CrossRef]
- Alshabanah, L.A.; Al-Mutabagani, L.A.; Gomha, S.M.; Ahmed, H.A. Three-Component Synthesis of Some New Coumarin Derivatives as Anticancer Agents. Front. Chem. 2022, 9, 1191. [Google Scholar] [CrossRef]
- Mirza, S.; Asma Naqvi, S.; Mohammed Khan, K.; Salar, U.; Choudhary, M.I. Facile Synthesis of Novel Substituted Aryl-Thiazole (SAT) Analogs via One-Pot Multi-Component Reaction as Potent Cytotoxic Agents against Cancer Cell Lines. Bioorg. Chem. 2017, 70, 133–143. [Google Scholar] [CrossRef]
- Yakaiah, S.; Sagar Vijay Kumar, P.; Baby Rani, P.; Durga Prasad, K.; Aparna, P. Design, Synthesis and Biological Evaluation of Novel Pyrazolo-Oxothiazolidine Derivatives as Antiproliferative Agents against Human Lung Cancer Cell Line A549. Bioorg. Med. Chem. Lett. 2018, 28, 630–636. [Google Scholar] [CrossRef]
- Foroutan, A.; Corazzari, M.; Grolla, A.A.; Colombo, G.; Travelli, C.; Genazzani, A.A.; Theeramunkong, S.; Galli, U.; Tron, G.C. Identification of Novel Aza-Analogs of TN-16 as Disrupters of Microtubule Dynamics through a Multicomponent Reaction. Eur. J. Med. Chem. 2023, 245, 114895. [Google Scholar] [CrossRef] [PubMed]




























Disclaimer/Publisher’s Note: The statements, opinions and data contained in all publications are solely those of the individual author(s) and contributor(s) and not of MDPI and/or the editor(s). MDPI and/or the editor(s) disclaim responsibility for any injury to people or property resulting from any ideas, methods, instructions or products referred to in the content. |
© 2023 by the authors. Licensee MDPI, Basel, Switzerland. This article is an open access article distributed under the terms and conditions of the Creative Commons Attribution (CC BY) license (https://creativecommons.org/licenses/by/4.0/).
Share and Cite
Graziano, G.; Stefanachi, A.; Contino, M.; Prieto-Díaz, R.; Ligresti, A.; Kumar, P.; Scilimati, A.; Sotelo, E.; Leonetti, F. Multicomponent Reaction-Assisted Drug Discovery: A Time- and Cost-Effective Green Approach Speeding Up Identification and Optimization of Anticancer Drugs. Int. J. Mol. Sci. 2023, 24, 6581. https://doi.org/10.3390/ijms24076581
Graziano G, Stefanachi A, Contino M, Prieto-Díaz R, Ligresti A, Kumar P, Scilimati A, Sotelo E, Leonetti F. Multicomponent Reaction-Assisted Drug Discovery: A Time- and Cost-Effective Green Approach Speeding Up Identification and Optimization of Anticancer Drugs. International Journal of Molecular Sciences. 2023; 24(7):6581. https://doi.org/10.3390/ijms24076581
Chicago/Turabian StyleGraziano, Giovanni, Angela Stefanachi, Marialessandra Contino, Rubén Prieto-Díaz, Alessia Ligresti, Poulami Kumar, Antonio Scilimati, Eddy Sotelo, and Francesco Leonetti. 2023. "Multicomponent Reaction-Assisted Drug Discovery: A Time- and Cost-Effective Green Approach Speeding Up Identification and Optimization of Anticancer Drugs" International Journal of Molecular Sciences 24, no. 7: 6581. https://doi.org/10.3390/ijms24076581
APA StyleGraziano, G., Stefanachi, A., Contino, M., Prieto-Díaz, R., Ligresti, A., Kumar, P., Scilimati, A., Sotelo, E., & Leonetti, F. (2023). Multicomponent Reaction-Assisted Drug Discovery: A Time- and Cost-Effective Green Approach Speeding Up Identification and Optimization of Anticancer Drugs. International Journal of Molecular Sciences, 24(7), 6581. https://doi.org/10.3390/ijms24076581

