Metabolic Study of Cucumber Seeds and Seedlings in the Light of the New, Controversial Trend of Preventive Use of Systemic Fungicides
Abstract
1. Introduction
2. Results
2.1. Variant 1—Presowing Treatment
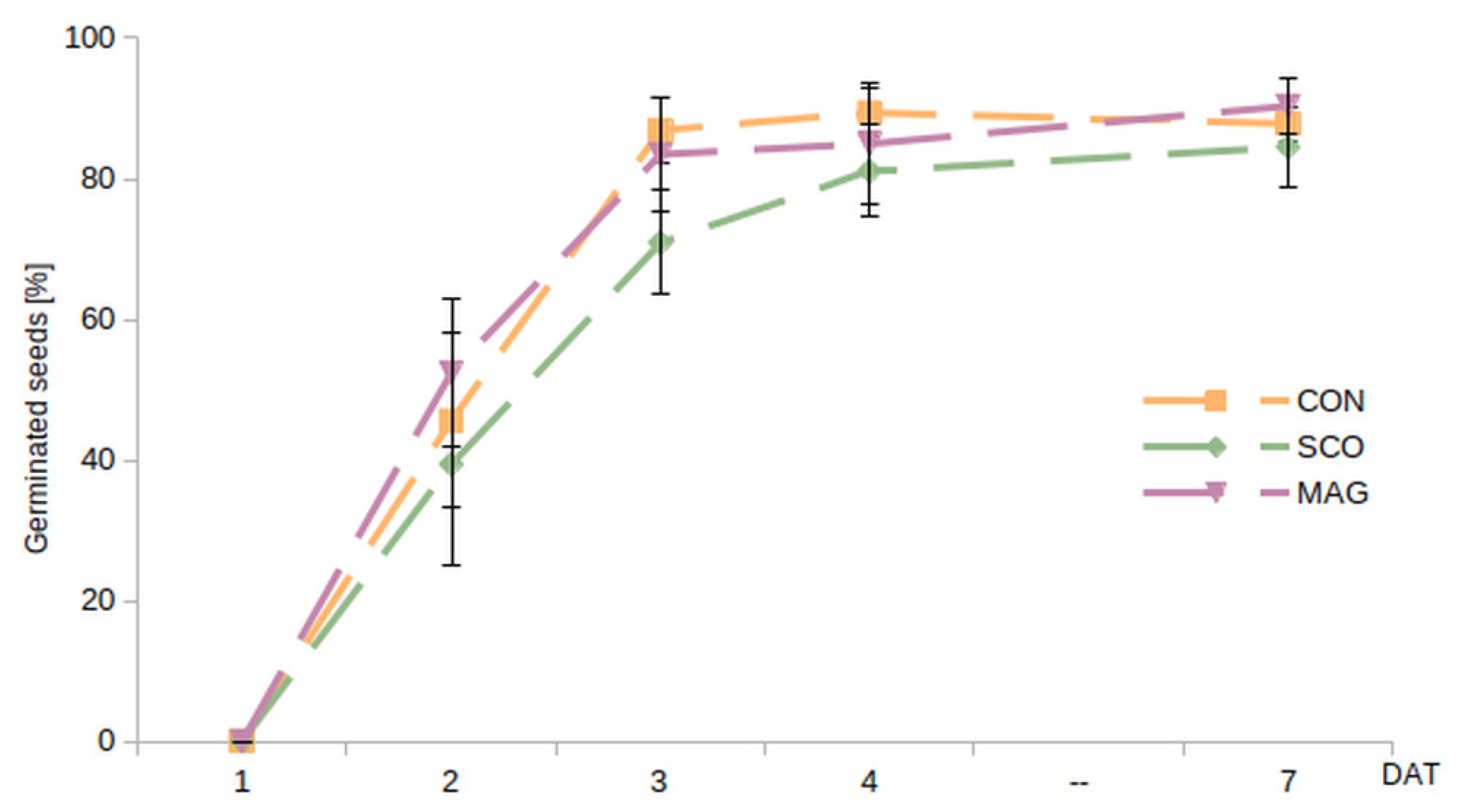
2.1.1. Effect of Fungicides on the Germination of Cucumber Plants
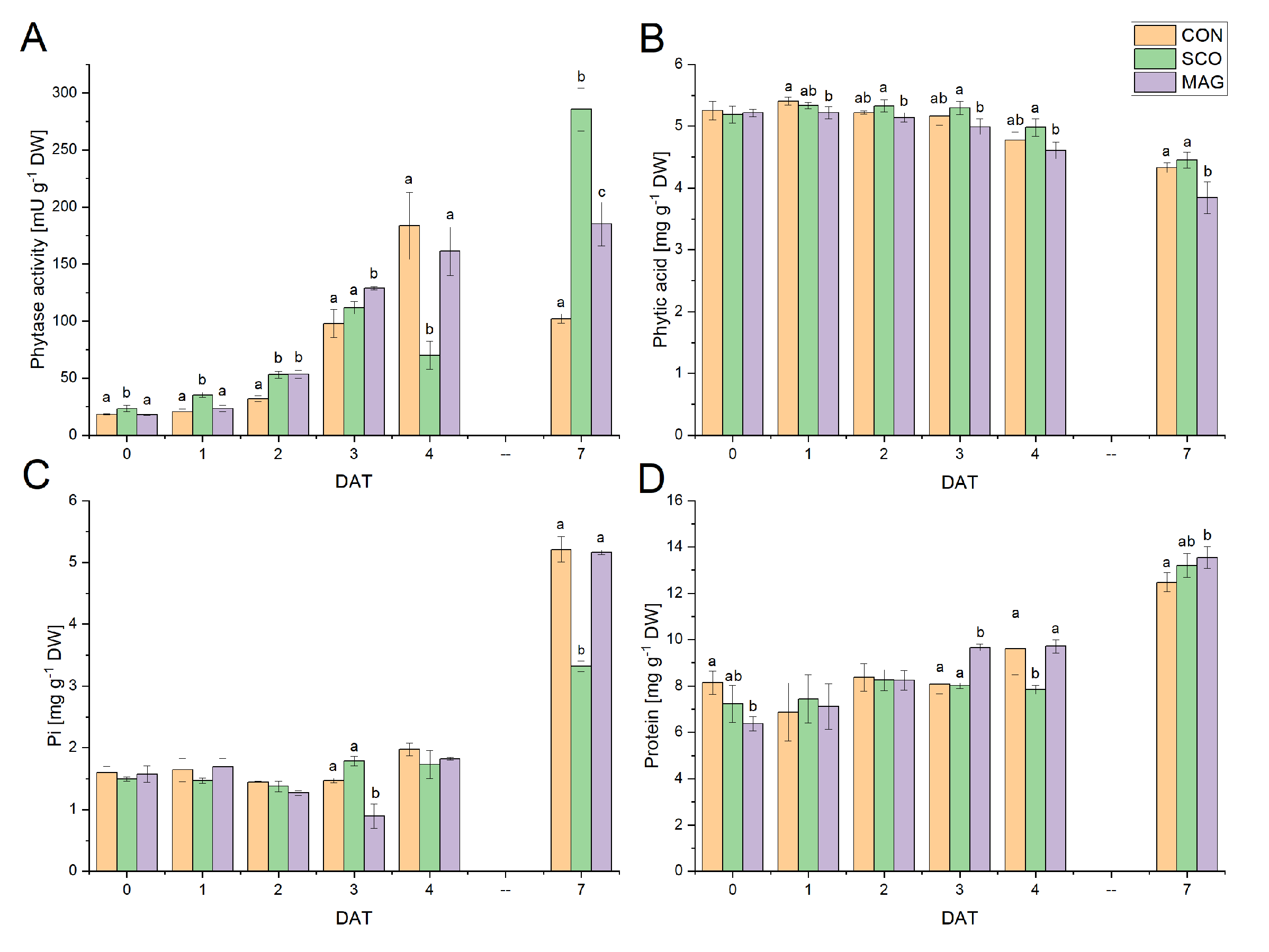
2.1.2. Effect of Fungicides on Phytase Activity, Phytic Acid, Pi, and Protein Content in Germinating Cucumber Seed Extracts
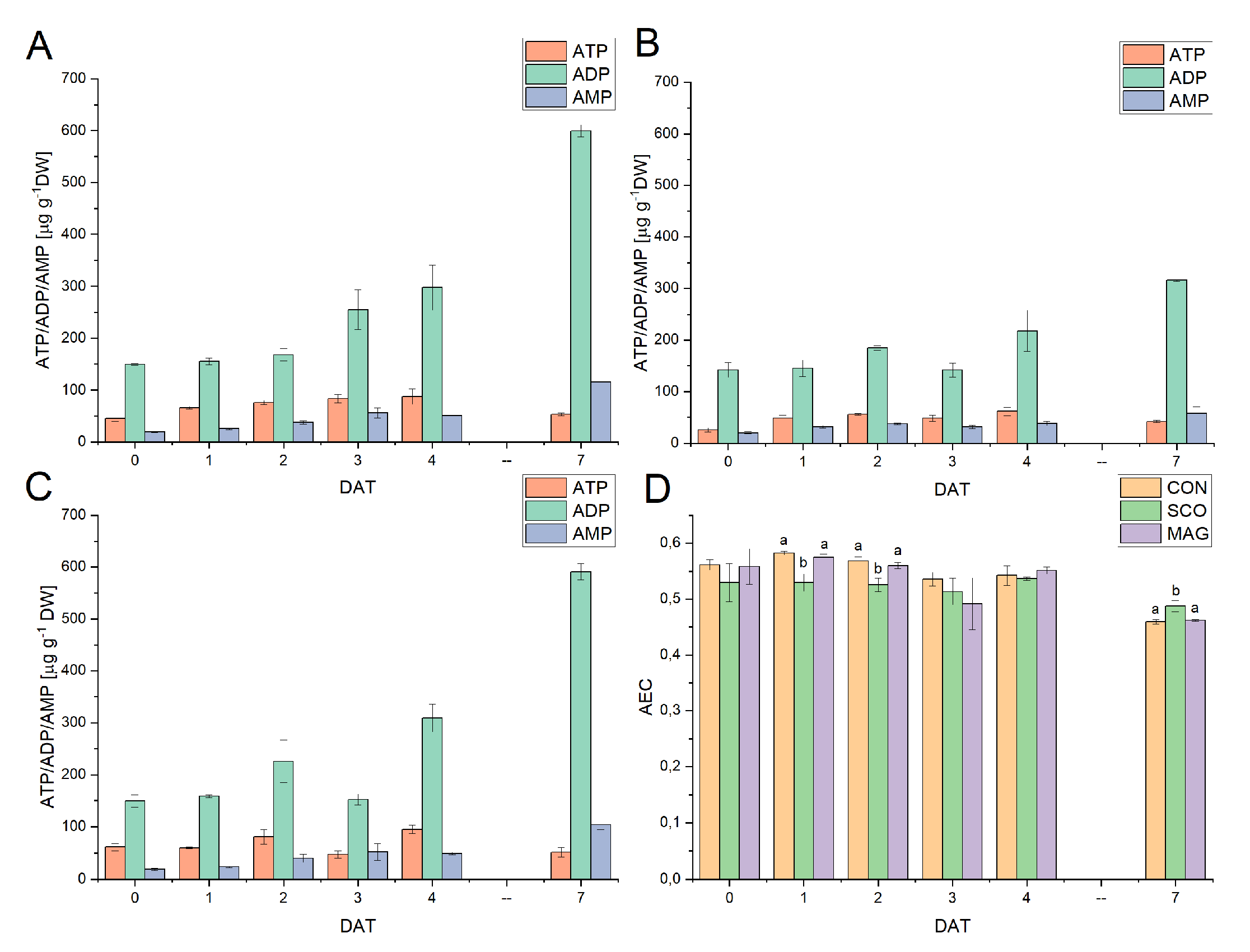
2.1.3. Effect of Scorpion and Magnicur Finito on Adenylate Content and AEC Ratio in Extracts of Germinating Cucumber Seeds
2.1.4. Effect of Fungicides on 31P NMR Profiles in Acidic Extracts of Germinating Cucumber Seeds
2.2. Variant 2—Foliar Application
2.2.1. Effect of Fungicides on Photosynthetic Pigments in Cucumber Plants
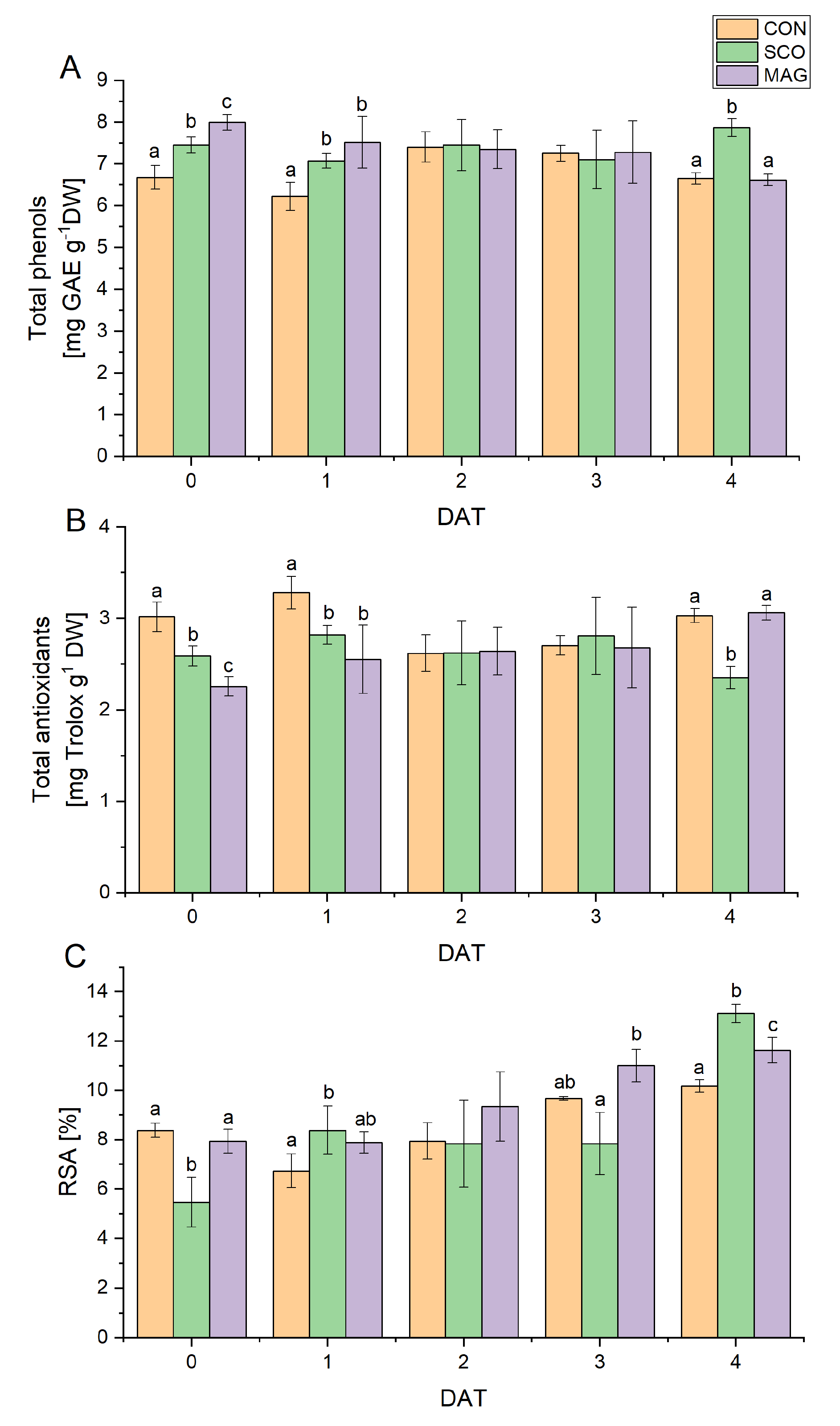
2.2.2. Effect of Fungicides on Total Phenols, Total Antioxidant Content, and Antioxidant Capacity of Aqueous Extracts from Cucumber Seedlings
2.2.3. Effect of Scorpion and Magnicur Finito on Adenylate Content and AEC Ratio in Cucumber Seedlings
2.2.4. Effect of Fungicides on the31P NMR Profiles of Extracts of the Green Part of Cucumber Plants
3. Discussion
3.1. Variant 1—Presowing Seed Treatment
3.2. Variant 2—Foliar Application
4. Materials and Methods
4.1. Plant Material and Experimental Design
4.2. Determination of Protein Content and Acid Phytase Activity
4.3. Determination of Phytic Acid
4.4. Isolation of Phosphorus Compounds
4.5. Determination of Inorganic Phosphorus Content
4.6. Determination of Phosphorus Profiles Using 31P NMR
4.7. HPLC Analysis of ATP, ADP, and AMP as Nucleotides Involved in Energy Transformations at the Cellular Level
4.8. Determination of Photosynthetic Pigments
4.9. Determination of Total Phenolic and Antioxidant Compounds and Antioxidant Capacities
4.9.1. Preparation of Aqueous Extract
4.9.2. Total Phenol Content
4.9.3. Total Antioxidant Compound Content
4.9.4. Antioxidant Activity Determination
4.10. Statistical Analysis
5. Conclusions
Author Contributions
Funding
Institutional Review Board Statement
Informed Consent Statement
Data Availability Statement
Conflicts of Interest
References
- Statistica World Vegetable Production by Type 2020|Statista. Available online: https://www.statista.com/statistics/264065/global-production-of-vegetables-by-type/ (accessed on 20 January 2023).
- Fadh, H.A.; Al-Hadithi, B.A.A. The Effect of Fungi Inoculation Solvent Phosphate in Increasing Phosphorus Availability in Calcareous Soil and Its Concentration in Cucumis Sativus L. Int. J. Curr. Microbiol. Appl. Sci. 2016, 5, 750–763. [Google Scholar] [CrossRef]
- Knowles, L.; Trimble, M.R.; Knowles, N.R. Phosphorus Status Affects Postharvest Respiration, Membrane Permeability and Lipid Chemistry of European Seedless Cucumber Fruit (Cucumis Sativus L.). Postharvest Biol. Technol. 2001, 21, 179–188. [Google Scholar] [CrossRef]
- Kaya, C.; Kirnak, H.; Higgs, D. Effects of Supplementary Potassium and Phosphorus on Physiological Development and Mineral Nutrition of Cucumber and Pepper Cultivars Grown at High Salinity (NaCl). J. Plant Nutr. 2001, 24, 1457–1471. [Google Scholar] [CrossRef]
- Sacała, E.; Demczuk, A.; Grzyś, E.; Spiak, Z. Effect of Salt and Water Stresses on Growth, Nitrogen and Phosphorus Metabolism in Cucumis Sativus L. Seedlings. Acta Soc. Bot. Pol. 2008, 77, 23–28. [Google Scholar] [CrossRef]
- Oerke, E.C.; Steiner, U.; Dehne, H.W.; Lindenthal, M. Thermal Imaging of Cucumber Leaves Affected by Downy Mildew and Environmental Conditions. J. Exp. Bot. 2006, 57, 2121–2132. [Google Scholar] [CrossRef] [PubMed]
- Tanaka, K.; Fukuda, M.; Amaki, Y.; Sakaguchi, T.; Inai, K.; Ishihara, A.; Nakajima, H. Importance of Prumycin Produced by Bacillus Amyloliquefaciens SD-32 in Biocontrol against Cucumber Powdery Mildew Disease. Pest Manag. Sci. 2017, 73, 2419–2428. [Google Scholar] [CrossRef] [PubMed]
- Wang, Y.; VandenLangenberg, K.; Wehner, T.C.; Kraan, P.A.G.; Suelmann, J.; Zheng, X.; Owens, K.; Weng, Y. QTL Mapping for Downy Mildew Resistance in Cucumber Inbred Line WI7120 (PI 330628). Theor. Appl. Genet. 2016, 129, 1493–1505. [Google Scholar] [CrossRef]
- Doolittle, S.P.; Beecher, F.S. Transmission of Downy Mildew of Cucumber by the Spotted Cucumber Beetle. Phytopathology 1950, 40, 870–871. [Google Scholar]
- Cohen, Y.; Rubin, A.E.; Galperin, M.; Ploch, S.; Runge, F.; Thines, M. Seed Transmission of Pseudoperonospora Cubensis. PLoS ONE 2014, 9, e109766. [Google Scholar] [CrossRef]
- Mohamed, A.; Hamza, A.; Derbalah, A. Recent Approaches for Controlling Downy Mildew of Cucumber under Greenhouse Conditions. Plant Prot. Sci. 2016, 52, 1–9. [Google Scholar] [CrossRef]
- Ni, L.; Punja, Z.K. Management of Powdery Mildew on Greenhouse Cucumber (Cucumis Sativus L.) Plants Using Biological and Chemical Approaches. Can. J. Plant Pathol. 2021, 43, 35–42. [Google Scholar] [CrossRef]
- Ojiambo, P.S.; Paul, P.A.; Holmes, G.J. A Quantitative Review of Fungicide Efficacy for Managing Downy Mildew in Cucurbits. Phytopathology 2010, 100, 1066–1076. [Google Scholar] [CrossRef]
- McGrath, M.T. What Are Fungicides? Plant Health. Instr. 2004, 10, 109–115. [Google Scholar] [CrossRef]
- Petit, A.N.; Fontaine, F.; Vatsa, P.; Clément, C.; Vaillant-Gaveau, N. Fungicide Impacts on Photosynthesis in Crop Plants. Photosynth. Res. 2012, 111, 315–326. [Google Scholar] [CrossRef] [PubMed]
- Yang, H.; Zhang, Y.; Shi, H. Analysis of Genes and Metabolites Associated with Propamocarb Hydrochloride Response in Tobacco. Agron. J. 2020, 112, 4939–4950. [Google Scholar] [CrossRef]
- Wu, P.; Qin, Z.; Wu, T.; Zhou, X.; Xin, M.; Guo, Q. Proteomic Analysis of Cucumber Defense Rresponses Induced by Propamocarb. J. Integr. Agric. 2013, 12, 2022–2035. [Google Scholar] [CrossRef]
- Wu, P.; Qin, Z.; Zhao, W.; Zhou, X.; Wu, T.; Xin, M.; Guo, Q. Transcriptome Analysis Reveals Differentially Expressed Genes Associated with Propamocarb Response in Cucumber (Cucumis Sativus L.) Fruit. Acta Physiol. Plant. 2013, 35, 2393–2406. [Google Scholar] [CrossRef]
- Zhang, F.; Qin, Z.; Zhou, X.; Xin, M.; Li, S.; Luan, J. Expression and Functional Analysis of the Propamocarb-Related Gene CsMAPEG in Cucumber. BMC Plant Biol. 2019, 19, 871. [Google Scholar] [CrossRef]
- Wu, P.; Guo, Q.; Qin, Z. The Fungicide Propamocarb Increases Lignin by Activating the Phenylpropanoid Pathway in Cucumis Sativus L. Hortic. Environ. Biotechnol. 2016, 57, 511–518. [Google Scholar] [CrossRef]
- Mohsin, S.M.; Hasanuzzaman, M.; Borhannuddin Bhuyan, M.H.M.; Parvin, K.; Fujita, M. Exogenous Tebuconazole and Trifloxystrobin Regulates Reactive Oxygen Species Metabolism toward Mitigating Salt-Induced Damages in Cucumber Seedling. Plants 2019, 8, 428. [Google Scholar] [CrossRef]
- Grossmann, K.; Kwiatkowski, J.; Caspar, G. Regulation of Phytohormone Levels, Leaf Senescence and Transpiration by the Strobilurin Kresoxim-Methyl in Wheat (Triticum Aestivum). J. Plant Physiol. 1999, 154, 805–808. [Google Scholar] [CrossRef]
- Amaro, A.C.E.; Ramos, A.R.P.; Macedo, A.C.; Ono, E.O.; Rodrigues, J.D. Effects of the Fungicides Azoxystrobin, Pyraclostrobin and Boscalid on the Physiology of Japanese Cucumber. Sci. Hortic. (Amsterdam). 2018, 228, 66–75. [Google Scholar] [CrossRef]
- Shanmugapriya, A.; Sivakumar, T.; Panneerselvam, R. Difenoconazole and Tricyclazole Induced Changes in Photosynthetic Pigments of Lycopersicon Esculentum, L. Int. J. Agric. Food Sci. 2013, 2, 72–75. [Google Scholar]
- Kishorekumar, A.; Jaleel, C.A.; Manivannan, P.; Sankar, B.; Sridharan, R.; Panneerselvam, R. Comparative Effects of Different Triazole Compounds on Growth, Photosynthetic Pigments and Carbohydrate Metabolism of Solenostemon Rotundifolius. Colloids Surf. B Biointerfaces 2007, 60, 207–212. [Google Scholar] [CrossRef]
- Porlingis, I.C.; Koukourikou-Petridou, M. Promotion of Adventitious Root Formation in Mung Bean Cuttings by Four Triazole Growth Retardants. J. Hortic. Sci. 1996, 71, 573–579. [Google Scholar] [CrossRef]
- Diaz-Espejo, A.; Cuevas, M.V.; Ribas-Carbo, M.; Flexas, J.; Martorell, S.; Fernández, J.E. The Effect of Strobilurins on Leaf Gas Exchange, Water Use Efficiency and ABA Content in Grapevine under Field Conditions. J. Plant Physiol. 2012, 169, 379–386. [Google Scholar] [CrossRef] [PubMed]
- Amaro, A.C.E.; Baron, D.; Ono, E.O.; Rodrigues, J.D. Physiological Effects of Strobilurin and Carboxamides on Plants: An Overview. Acta Physiol. Plant 2020, 42, 4. [Google Scholar] [CrossRef]
- Ashraf, M.; Mehmood, S. Response of Four Brassica Species to Drought Stress. Environ. Exp. Bot. 1990, 30, 93–100. [Google Scholar] [CrossRef]
- Albuquerque, M.D.F.E.; De Carvalho, N. Effect of the Type of Environmental Stress on the Emergence of Sunflower (Helianthus Annus L.), Soybean (Glycine Max (L.) Merril) and Maize (Zea Mays L.) Seeds with Different Levels of Vigor. Seed Sci. Technol. 2003, 31, 465–479. [Google Scholar] [CrossRef]
- Cade-Menun, B.J. Characterizing Phosphorus in Environmental and Agricultural Samples by 31P Nuclear Magnetic Resonance Spectroscopy. Talanta 2005, 66, 359–371. [Google Scholar] [CrossRef]
- Walters, D.; Walsh, D.; Newton, A.; Lyon, G. Induced Resistance for Plant Disease Control: Maximizing the Efficacy of Resistance Elicitors. Phytopathology 2005, 95, 1368–1373. [Google Scholar] [CrossRef]
- Saladin, G.; Clement, C. Physiological Side Effects of Pesticides on Non-Target Plants. In Agriculture and Soil POllution: New Research; Nova Science Publishers, Inc.: Hauppauge, NY, USA, 2005; ISBN 1-59454-310-0. [Google Scholar]
- Li, Y.; Dong, F.; Liu, X.; Xu, J.; Li, J.; Kong, Z.; Chen, X.; Liang, X.; Zheng, Y. Simultaneous Enantioselective Determination of Triazole Fungicides in Soil and Water by Chiral Liquid Chromatography/tandem Mass Spectrometry. J. Chromatogr. A 2012, 1224, 51–60. [Google Scholar] [CrossRef] [PubMed]
- Bian, Y.; Guo, G.; Liu, F.; Chen, X.; Wang, Z.; Hou, T. Meptyldinocap and Azoxystrobin Residue Behaviors in Different Ecosystems under Open Field Conditions and Distribution on Processed Cucumber. J. Sci. Food Agric. 2020, 100, 648–655. [Google Scholar] [CrossRef] [PubMed]
- Dias, M.C. Phytotoxicity: An Overview of the Physiological Responses of Plants Exposed to Fungicides. J. Bot. 2012, 2012, 135479. [Google Scholar] [CrossRef]
- Ng, L.M. Abscisic Acid Signalling as a Target for Enhancing Drought Tolerance. In Abiotic and Biotic Stress in Plants-Recent Advances and Future Perspectives; IntechOpen: London, UK, 2016; ISBN 978-953-51-2250-0. [Google Scholar]
- Ali, S.; Hayat, K.; Iqbal, A.; Xie, L. Implications of Abscisic Acid in the Drought Stress Tolerance of Plants. Agronomy 2020, 10, 1323. [Google Scholar] [CrossRef]
- Vishwakarma, K.; Upadhyay, N.; Kumar, N.; Yadav, G.; Singh, J.; Mishra, R.K.; Kumar, V.; Verma, R.; Upadhyay, R.G.; Pandey, M.; et al. Abscisic Acid Signaling and Abiotic Stress Tolerance in Plants: A Review on Current Knowledge and Future Prospects. Front. Plant Sci. 2017, 8, 161. [Google Scholar] [CrossRef]
- Aremu, M.O.; Okpele, J.A.; Ibrahim, H.; Ortutu, S.C.; Mohammed, M.A.; Salau, R.B. Comparative Studies on Nutrient and Anti–nutrient Composition of Carrot (Daucus Carota L.) and Cucumber (Cucumis Sativus L.). Int. J. Sci. 2022, 11, 13–21. [Google Scholar] [CrossRef]
- Secco, D.; Bouain, N.; Rouached, A.; Prom-u-thai, C.; Hanin, M.; Pandey, A.K.; Rouached, H. Phosphate, Phytate and Phytases in Plants: From Fundamental Knowledge Gained in Arabidopsis to Potential Biotechnological Applications in Wheat. Crit. Rev. Biotechnol. 2017, 37, 898–910. [Google Scholar] [CrossRef]
- Chiera, J.M.; Finer, J.J.; Grabau, E.A. Ectopic Expression of a Soybean Phytase in Developing Seeds of Glycine Max to Improve Phosphorus Availability. Plant Mol. Biol. 2004, 56, 895–904. [Google Scholar] [CrossRef]
- Afify, A.E.M.M.R.; El-Beltagi, H.S.; El-Salam, S.M.A.; Omran, A.A. Bioavailability of Iron, Zinc, Phytate and Phytase Activity during Soaking and Germination of White Sorghum Varieties. PLoS ONE 2011, 6, e25512. [Google Scholar] [CrossRef]
- Lei, X.G.; Porres, J.M.; Mullaney, E.J.; Brinch-Pedersen, H. Phytase: Source, Structure and Application. In Industrial Enzymes: Structure, Function and Applications; Springer: Dordrecht, The Netherlands, 2007; pp. 505–529. ISBN 9781402053764. [Google Scholar]
- Oh, B.C.; Choi, W.C.; Park, S.; Kim, Y.O.; Oh, T.K. Biochemical Properties and Substrate Specificities of Alkaline and Histidine Acid Phytases. Appl. Microbiol. Biotechnol. 2004, 63, 362–372. [Google Scholar] [CrossRef] [PubMed]
- Raveneau, M.P.; Benamar, A.; MacHerel, D. Water Content, Adenylate Kinase, and Mitochondria Drive Adenylate Balance in Dehydrating and Imbibing Seeds. J. Exp. Bot. 2017, 68, 3501–3512. [Google Scholar] [CrossRef]
- Al-Ani, A.; Bruzau, F.; Raymond, P.; Saint-Ges, V.; Leblanc, J.M.; Pradet, A. Germination, Respiration, and Adenylate Energy Charge of Seeds at Various Oxygen Partial Pressures. Plant Physiol. 1985, 79, 885–890. [Google Scholar] [CrossRef]
- Chen, L.; Tan, G.J.T.; Pang, X.; Yuan, W.; Lai, S.; Yang, H. Energy Regulated Nutritive and Antioxidant Properties during the Germination and Sprouting of Broccoli Sprouts (Brassica Oleracea Var. Italica). J. Agric. Food Chem. 2018, 66, 6975–6985. [Google Scholar] [CrossRef]
- Kruma, Z.; Tomsone, L.; Ķince, T.; Galoburda, R.; Senhofa, S.; Sabovics, M.; Straumite, E.; Sturite, I. Effects of Germination on Total Phenolic Compounds and Radical Scavenging Activity in Hull-Less Spring Cereals and Triticale. Agron. Res. 2016, 14, 1372–1383. [Google Scholar]
- Jaleel, C.A.; Manivannan, P.; Wahid, A.; Farooq, M.; Al-Juburi, H.J.; Somasundaram, R.; Panneerselvam, R. Drought Stress in Plants: A Review on Morphological Characteristics and Pigments Composition. Int. J. Agric. Biol. 2009, 11, 100–105. [Google Scholar]
- Parida, A.; Das, A.B.; Das, P. NaCl Stress Causes Changes in Photosynthetic Pigments, Proteins, and Other Metabolic Components in the Leaves of a True mangrove, Bruguiera Parviflora, in Hydroponic Cultures. J. Plant Biol. 2002, 45, 28–36. [Google Scholar] [CrossRef]
- Shahid, M.; Ahmed, B.; Zaidi, A.; Khan, M.S. Toxicity of Fungicides to: Pisum Sativum: A Study of Oxidative Damage, Growth Suppression, Cellular Death and Morpho-Anatomical Changes. RSC Adv. 2018, 8, 38483–38498. [Google Scholar] [CrossRef]
- Borowy, A. Evaluation of Infinito 687,5 SC Fungicide Usefulness for Downy Mildew Control in Cucumber Field Cultivation. Curr. Investig. Agric. Curr. Res. 2019, 6. [Google Scholar] [CrossRef]
- Caretto, S.; Linsalata, V.; Colella, G.; Mita, G.; Lattanzio, V. Carbon Fluxes between Primary Metabolism and Phenolic Pathway in Plant Tissues under Stress. Int. J. Mol. Sci. 2015, 16, 26378–26394. [Google Scholar] [CrossRef] [PubMed]
- Tak, Y.; Kumar, M. Phenolics: A Key Defence Secondary Metabolite to Counter Biotic Stress. In Plant Phenolics in Sustainable Agriculture; Springer: Singapore, 2020; pp. 309–329. [Google Scholar]
- Takahashi, N.; Sunohara, Y.; Fujiwara, M.; Matsumoto, H. Improved Tolerance to Transplanting Injury and Chilling Stress in Rice Seedlings Treated with Orysastrobin. Plant Physiol. Biochem. 2017, 113, 161–167. [Google Scholar] [CrossRef] [PubMed]
- Djalali Farahani-Kofoet, R.; Römer, P.; Grosch, R. Systemic Spread of Downy Mildew in Basil Plants and Detection of the Pathogen in Seed and Plant Samples. Mycol. Prog. 2012, 11, 961–966. [Google Scholar] [CrossRef]
- Chen, X.; Wang, W.; Liu, F.; Bian, Y. Improved Analysis of Propamocarb and Cymoxanil for the Investigation of Residue Behavior in Two Vegetables with Different Cultivation Conditions. J. Sci. Food Agric. 2020, 100, 3157–3163. [Google Scholar] [CrossRef] [PubMed]
- Abd-Alrahman, S.H.; Almaz, M.M. Degradation of Propamocarb-Hydrochloride in Tomatoes, Potatoes and Cucumber Using HPLC-DAD and QuEChERS Methodology. Bull. Environ. Contam. Toxicol. 2012, 89, 302–305. [Google Scholar] [CrossRef] [PubMed]
- Bradford, M.M. A Rapid and Sensitive Method for the Quantitation of Microgram Quantities of Protein Utilizing the Principle of Protein-Dye Binding. Anal. Biochem. 1976, 72, 248–254. [Google Scholar] [CrossRef]
- Haug, W.; Lantzsch, H.-J. Sensitive Method for the Rapid Determination of Phytate in Cereals and Cereal Products. J. Sci. Food Agric. 1983, 34, 1423–1426. [Google Scholar] [CrossRef]
- Wieczorek, D.; Żyszka-haberecht, B.; Kafka, A.; Lipok, J. Phosphonates as Unique Components of Plant Seeds—A Promising Approach to Use Phosphorus Profiles in Plant Chemotaxonomy. Int. J. Mol. Sci. 2021, 22, 11501. [Google Scholar] [CrossRef]
- Forlani, G.; Pavan, M.; Gramek, M.; Kafarski, P.; Lipok, J. Biochemical Bases for a Widespread Tolerance of Cyanobacteria to the Phosphonate Herbicide Glyphosate. Plant Cell Physiol. 2008, 49, 443–456. [Google Scholar] [CrossRef]
- Cade-Menun, B.J. Improved Peak Identification in 31P-NMR Spectra of Environmental Samples with a Standardized Method and Peak Library. Geoderma 2015, 257–258, 102–114. [Google Scholar] [CrossRef]
- Mcdowell, R.W.; Stewart, I. Peak Assignments for Phosphorus-31 Nuclear Magnetic Resonance Spectroscopy in pH Range 5-13 and Their Application in Environmental Samples. Chem. Ecol. 2005, 21, 211–226. [Google Scholar] [CrossRef]
- Złotek, U.; Świeca, M.; Jakubczyk, A. Effect of Abiotic Elicitation on Main Health-Promoting Compounds, Antioxidant Activity and Commercial Quality of Butter Lettuce (Lactuca Sativa L.). Food Chem. 2014, 148, 253–260. [Google Scholar] [CrossRef] [PubMed]
- Vale, A.P.; Cidade, H.; Pinto, M.; Oliveira, M.B.P.P. Effect of Sprouting and Light Cycle on Antioxidant Activity of Brassica Oleracea Varieties. Food Chem. 2014, 165, 379–387. [Google Scholar] [CrossRef] [PubMed]
- Korzeniowska, K.; Łęska, B.; Wieczorek, P.P. Isolation and Determination of Phenolic Compounds from Freshwater Cladophora Glomerata. Algal Res. 2020, 48, 101912. [Google Scholar] [CrossRef]







| DAT | Treatments | P Forms (%) | |||
|---|---|---|---|---|---|
| Orthophosphates 5.5–7.0 ppm | Phosphomonoesters 3.0–5.5 ppm | Phospholipids 1.5–3.0 ppm | Other Phosphodiesters −2.0–1.5 ppm | ||
| 0 | CON | 31.5 | 68.0 | 0.1 | 0.4 |
| SCO | 28.0 | 71.6 | 0.2 | 0.2 | |
| MAG | 40.7 | 58.6 | 0.1 | 0.5 | |
| 2 | CON | 24.5 | 75.3 | 0.1 | 0.0 |
| SCO | 25.4 | 74.2 | 0.2 | 0.2 | |
| MAG | 36.5 | 62.1 | 0.4 | 1.0 | |
| 4 | CON | 45.2 | 54.4 | 0.4 | 0.0 |
| SCO | 28.0 | 71.6 | 0.4 | 0.0 | |
| MAG | 49.8 | 49.7 | 0.2 | 0.3 | |
| Pigment | Treatments | Day after Treatment (DAT) | ||||
|---|---|---|---|---|---|---|
| 0 | 1 | 2 | 3 | 4 | ||
| Chlorophyll ‘a’ | CON | 6.62 ± 0.56 a | 6.68 ± 0.50 a | 7.36 ± 0.74 a | 6.41 ± 1.08 a | 5.94 ± 0.70 a |
| SCO | 6.37 ± 1.05 a | 5.69 ± 0.29 b | 6.74 ± 0.80 a | 6.68 ± 0.47 a | 6.27 ± 0.27 a | |
| MAG | 5.52 ± 0.24 a | 6.38 ± 0.15 a | 6.97 ± 0.20 a | 6.23 ± 0.25 a | 5.71 ± 0.35 a | |
| Chlorophyll ‘b’ | CON | 2.23 ± 0.21 a | 2.15 ± 0.21 ab | 2.38 ± 0.28 a | 2.26 ± 0.33 a | 2.12 ± 0.35 a |
| SCO | 2.19 ± 0.38 a | 2.09 ± 0.09 a | 2.32 ± 0.31 a | 2.39 ± 0.12 a | 2.26 ± 0.04 a | |
| MAG | 2.12 ± 0.12 a | 2.36 ± 0.07 b | 2.50 ± 0.20 a | 2.44 ± 0.09 a | 2.29 ± 0.18 a | |
| Total chlorophyll | CON | 8.85 ± 0.71 a | 8.83 ± 0.66 a | 9.74 ± 0.95 a | 8.66 ± 1.31 a | 8.06 ± 0.96 a |
| SCO | 8.56 ± 1.32 a | 7.78 ± 0.35 b | 9.06 ± 1.02 a | 9.07 ± 0.54 a | 8.52 ± 0.27 a | |
| MAG | 7.74 ± 0.38 a | 8.69 ± 0.22 a | 9.46 ± 0.18 a | 8.61 ± 0.32 a | 8.02 ± 0.46 a | |
| Carotenoids | CON | 0.80 ± 0.09 a | 0.74 ± 0.05 b | 0.95 ± 0.12 a | 0.69 ± 0.04 a | 0.65 ± 0.08 a |
| SCO | 0.73 ± 0.12 a | 0.61 ± 0.01 a | 0.85 ± 0.12 a | 0.66 ± 0.03 a | 0.71 ± 0.02 a | |
| MAG | 0.69 ± 0.04 a | 0.65 ± 0.04 a | 0.88 ± 0.04 a | 0.65 ± 0.03 a | 0.64 ± 0.02 a | |
| Nucleotide Parameter | Treatments | Day after Treatment (DAT) | ||||
|---|---|---|---|---|---|---|
| 0 | 1 | 2 | 3 | 4 | ||
| ATP (µg g−1 DW) | CON | 47.84 ± 1.87 a | 33.52 ± 1.82 a | 96.32 ± 5.11 a | 105.00 ± 15.44 ab | 59.14 ± 3.81 a |
| SCO | 66.33 ± 3.61 ab | 66.74 ± 6.68 b | 85.57 ± 8.21 a | 83.18 ± 10.54 a | 75.17 ± 5.95 ab | |
| MAG | 89.60 ± 10.42 b | 43.83 ± 5.96 a | 92.26 ± 9.84 a | 111.39 ± 10.74 b | 86.93 ± 15.83 b | |
| ADP (µg g−1 DW) | CON | 824.21 ± 52.79 a | 463.19 ± 8.05 a | 659.40 ± 38.99 a | 731.60 ± 74.69 a | 569.53 ± 89.44 a |
| SCO | 683.00 ± 23.08 a | 723.64 ± 20.08 b | 619.72 ± 78.64 a | 596.40 ± 17.26 b | 577.02 ± 42.67 a | |
| MAG | 809.72 ± 79.41 a | 605.89 ± 9.92 c | 685.42 ± 52.98 a | 693.15 ± 45.94 ab | 580.01 ± 60.60 a | |
| AMP (µg g−1 DW) | CON | 207.40 ± 12.23 a | 136.97 ± 2.84 a | 156.23 ± 5.88 a | 152.27 ± 20.92 a | 128.42 ± 19.46 a |
| SCO | 183.70 ± 8.41 b | 187.81 ± 1.32 b | 141.04 ± 18.15 b | 119.49 ± 5.44 b | 137.50 ± 14.02 a | |
| MAG | 212.40 ± 15.11 ab | 164.54 ± 4.01 c | 186.31 ± 16.29 ab | 168.44 ± 18.85 ab | 145.79 ± 15.59 a | |
| AEC | CON | 0.42 ± 0.02 a | 0.42 ± 0.02 a | 0.42 ± 0.02 a | 0.42 ± 0.02 a | 0.42 ± 0.02 a |
| SCO | 0.42 ± 0.00 a | 0.42 ± 0.00 a | 0.42 ± 0.00 a | 0.42 ± 0.00 a | 0.42 ± 0.00 a | |
| MAG | 0.47 ± 0.01 a | 0.47 ± 0.01 a | 0.47 ± 0.01 a | 0.47 ± 0.01 a | 0.47 ± 0.01 a | |
| DAT | Treatments | P Forms (%) | |||
|---|---|---|---|---|---|
| Orthophosphates 5.5–7.0 ppm | Phosphomonoesters 3.0–5.5 ppm | Phospholipids 1.5–3.0 ppm | Other Phosphodiesters −2.0–1.5 ppm | ||
| 0 | CON | 76.3 | 22.8 | 0.2 | 0.7 |
| SCO | 86.1 | 13.3 | 0.1 | 0.4 | |
| MAG | 84.6 | 15.0 | 0.0 | 0.4 | |
| 2 | CON | 84.5 | 15.4 | 0.1 | 0.0 |
| SCO | 85.9 | 14.0 | 0.1 | 0.0 | |
| MAG | 82.6 | 16.9 | 0.1 | 0.4 | |
| 4 | CON | 85.2 | 14.5 | 0.0 | 0.3 |
| SCO | 88.5 | 11.1 | 0.1 | 0.3 | |
| MAG | 77.0 | 22.2 | 0.3 | 0.5 | |
Disclaimer/Publisher’s Note: The statements, opinions and data contained in all publications are solely those of the individual author(s) and contributor(s) and not of MDPI and/or the editor(s). MDPI and/or the editor(s) disclaim responsibility for any injury to people or property resulting from any ideas, methods, instructions or products referred to in the content. |
© 2023 by the authors. Licensee MDPI, Basel, Switzerland. This article is an open access article distributed under the terms and conditions of the Creative Commons Attribution (CC BY) license (https://creativecommons.org/licenses/by/4.0/).
Share and Cite
Kafka, A.; Wieczorek, D.; Żyszka-Haberecht, B.; Lipok, J. Metabolic Study of Cucumber Seeds and Seedlings in the Light of the New, Controversial Trend of Preventive Use of Systemic Fungicides. Int. J. Mol. Sci. 2023, 24, 5554. https://doi.org/10.3390/ijms24065554
Kafka A, Wieczorek D, Żyszka-Haberecht B, Lipok J. Metabolic Study of Cucumber Seeds and Seedlings in the Light of the New, Controversial Trend of Preventive Use of Systemic Fungicides. International Journal of Molecular Sciences. 2023; 24(6):5554. https://doi.org/10.3390/ijms24065554
Chicago/Turabian StyleKafka, Anna, Dorota Wieczorek, Beata Żyszka-Haberecht, and Jacek Lipok. 2023. "Metabolic Study of Cucumber Seeds and Seedlings in the Light of the New, Controversial Trend of Preventive Use of Systemic Fungicides" International Journal of Molecular Sciences 24, no. 6: 5554. https://doi.org/10.3390/ijms24065554
APA StyleKafka, A., Wieczorek, D., Żyszka-Haberecht, B., & Lipok, J. (2023). Metabolic Study of Cucumber Seeds and Seedlings in the Light of the New, Controversial Trend of Preventive Use of Systemic Fungicides. International Journal of Molecular Sciences, 24(6), 5554. https://doi.org/10.3390/ijms24065554
