Unravelling the Mechanism and Governing Factors in Lewis Acid and Non-Covalent Diels–Alder Catalysis: Different Perspectives
Abstract
1. Introduction
2. Results
2.1. Complex Stability
2.2. Activation Barriers of Potentially Catalyzed Reactions
2.3. What Makes Lewis Acids and Non-Covalent-Interaction Donors Catalyze the Diels–Alder Reaction? Different Perspectives
2.3.1. BF3-Catalyzed Reaction between BEN and DMB
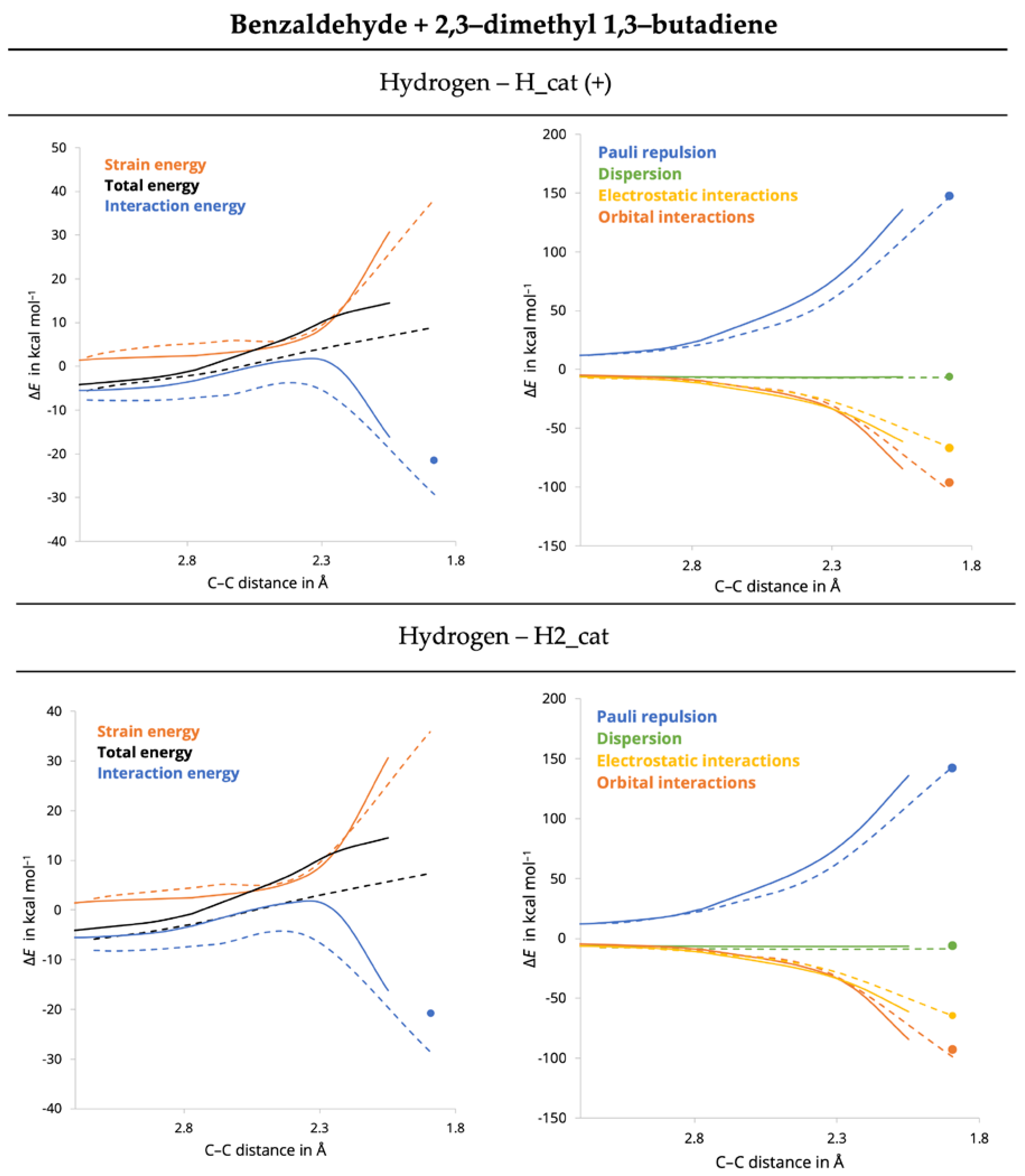
2.3.2. Non-Covalent Catalysis of the Reaction BEN and DMB
2.3.3. Comparison of Both Approaches for Reactions of IM and BD and MVK and CP
2.4. Molecular Orbital Picture: Orbital Interactions and Pauli Repulsion
3. Materials and Methods
4. Conclusions
Supplementary Materials
Author Contributions
Funding
Institutional Review Board Statement
Informed Consent Statement
Data Availability Statement
Acknowledgments
Conflicts of Interest
References
- Pindur, U.; Lutz, G.; Otto, C. Acceleration and Selectivity Enhancement of Diels-Alder Reactions by Special and Catalytic Methods. Chem. Rev. 1993, 93, 741–761. [Google Scholar] [CrossRef]
- Briou, B.; Améduri, B.; Boutevin, B. Trends in the Diels-Alder Reaction in Polymer Chemistry. Chem. Soc. Rev. 2021, 50, 11055–11097. [Google Scholar] [CrossRef] [PubMed]
- Marchand, A.P.; Vidyasagar, V.; Buckner, M.B.; Holman, P.O. Lewis Acid Catalysis of a Diels-Alder Cycloaddition—An Undergraduate Organic Experiment. J. Chem. Educ. 1987, 64, 642–644. [Google Scholar] [CrossRef]
- Palacios, F.; Alonso, C.; Arrieta, A.; Cossío, F.P.; Ezpeleta, J.M.; Fuertes, M.; Rubiales, G. Lewis Acid Activated Aza-Diels-Alder Reaction of N-(3-Pyridyl)Aldimines: An Experimental and Computational Study. Eur. J. Org. Chem. 2010, 2010, 2091–2099. [Google Scholar] [CrossRef]
- Sakata, K.; Fujimoto, H. Roles of Lewis Acid Catalysts in Diels-Alder Reactions between Cyclopentadiene and Methyl Acrylate. ChemistryOpen 2020, 9, 662–666. [Google Scholar] [CrossRef]
- Mehranfar, A.; Izadyar, M.; Khavani, M.; Housaindokht, M.R. Understanding the Role of Noncovalent Interactions on the Rate of Some Diels-Alder Reactions in Different Solvents. Int. J. Quantum Chem. 2019, 119, e25878. [Google Scholar] [CrossRef]
- Wittkopp, A.; Schreiner, P.R. Metal-Free, Noncovalent Catalysis of Diels-Alder Reactions by Neutral Hydrogen Bond Donors in Organic Solvents and in Water. Chem. Eur. J. 2003, 9, 407–414. [Google Scholar] [CrossRef]
- Huang, Y.; Rawal, V.H. Hydrogen-Bond-Promoted Hetero-Diels-Alder Reactions of Unactivated Ketones. J. Am. Chem. Soc. 2002, 124, 9662–9663. [Google Scholar] [CrossRef]
- Esrafili, M.D.; Mohammadian-Sabet, F.; Baneshi, M.M. The Dual Role of Halogen, Chalcogen, and Pnictogen Atoms as Lewis Acid and Base: Triangular XBr:SHX:PH2X Complexes (X = F, Cl, Br, CN, NC, OH, NH2, and OCH3). Int. J. Quantum Chem. 2015, 115, 1580–1586. [Google Scholar] [CrossRef]
- Haraguchi, R.; Hoshino, S.; Sakai, M.; Tanazawa, S.; Morita, Y.; Komatsu, T.; Fukuzawa, S. Bulky Iodotriazolium Tetrafluoroborates as Highly Active Halogen-Bonding-Donor Catalysts. Chem. Commun. 2018, 54, 10320–10323. [Google Scholar] [CrossRef]
- Heinen, F.; Engelage, E.; Dreger, A.; Weiss, R.; Huber, S.M. Iodine (III) Derivatives as Halogen Bonding Organocatalysts. Angew. Chem.—Int. Ed. 2018, 57, 3830–3833. [Google Scholar] [CrossRef]
- Takeda, Y.; Hisakuni, D.; Lin, C.; Minakata, S. 2-Halogenoimidazolium Salt Catalyzed Aza-Diels−Alder Reaction through Halogen-Bond Formation. Org. Lett. 2015, 17, 318–321. [Google Scholar] [CrossRef]
- Kaasik, M.; Metsala, A.; Kaabel, S.; Kriis, K.; Järving, I.; Kanger, T. Halo-1,2,3-Triazolium Salts as Halogen Bond Donors for the Activation of Imines in Dihydropyridinone Synthesis. J. Org. Chem. 2019, 84, 4294–4303. [Google Scholar] [CrossRef]
- Kee, C.W.; Wong, M.W. In Silico Design of Halogen-Bonding-Based Organocatalyst for Diels-Alder Reaction, Claisen Rearrangement, and Cope-Type Hydroamination. J. Org. Chem. 2016, 81, 7459–7470. [Google Scholar] [CrossRef]
- Nziko, V.D.P.N.; Scheiner, S. Catalysis of the Aza-Diels-Alder Reaction by Hydrogen and Halogen Bonds. J. Org. Chem. 2016, 81, 2589–2597. [Google Scholar] [CrossRef]
- Wonner, P.; Vogel, L.; Maximilian, D.; Kniep, F.; Mallick, B.; Werz, D.B.; Huber, S.M. Chalcogen Bonding Carbon-Halogen Bond Activation by Selenium-Based Chalcogen Bonding. Angew. Chem.—Int. Ed. 2017, 56, 12009–12012. [Google Scholar] [CrossRef] [PubMed]
- Benz, S.; Poblador-Bahamonde, A.I.; Low-Ders, N.; Matile, S. Catalysis with Pnictogen, Chalcogen, and Halogen Bonds. Angew. Chem.—Int. Ed. 2018, 57, 5408–5412. [Google Scholar] [CrossRef] [PubMed]
- Schmauck, J.; Breugst, M. The Potential of Pnicogen Bonding for Catalysis—A Computational Study. Org. Biomol. Chem. 2017, 15, 8037–8045. [Google Scholar] [CrossRef]
- Yaghoobi, F.; Mahboub, M.S. Theoretical Study on the Aza−Diels−Alder Reaction Catalyzed by PHCl2 Lewis Acid via Pnicogen Bonding. J. Phys. Chem. 2018, 122, 2781–2791. [Google Scholar] [CrossRef]
- Vermeeren, P.; Tiezza, D.; Van Dongen, M.; Fernández, I. Lewis Acid-Catalyzed Diels-Alder Reactions: Reactivity Trends across the Periodic Table. Chem. Eur. J. 2021, 27, 10610–10620. [Google Scholar] [CrossRef] [PubMed]
- Houk, K.N. Frontier Molecular Orbital Theory of Cycloaddition Reactions. Acc. Chem. Res. 1975, 8, 361–369. [Google Scholar] [CrossRef]
- Xia, Y.; Yin, D.; Rong, C.; Xu, Q.; Yin, D.; Liu, S. Impact of Lewis Acids on Diels-Alder Reaction Reactivity: A Conceptual Density Functional Theory Study. J. Phys. Chem. A 2008, 112, 9970–9977. [Google Scholar] [CrossRef] [PubMed]
- Vermeeren, P.; Hamlin, T.A.; Fernández, I.; Bickelhaupt, F.M. How Lewis Acids Catalyze Diels–Alder Reactions. Angew. Chem.—Int. Ed. 2020, 59, 6201–6206. [Google Scholar] [CrossRef] [PubMed]
- Vermeeren, P.; Hamlin, T.A.; Bickelhaupt, F.M.; Fernández, I. Bifunctional Hydrogen Bond Donor-Catalyzed Diels–Alder Reactions: Origin of Stereoselectivity and Rate Enhancement. Chem. Eur. J. 2021, 27, 5180–5190. [Google Scholar] [CrossRef] [PubMed]
- Yepes, D.; Pérez, P.; Jaque, P.; Fernández, I. Effect of Lewis Acid Bulkiness on the Stereoselectivity of Diels-Alder Reactions between Acyclic Dienes and α,β-Enals. Org. Chem. Front. 2017, 4, 1390–1399. [Google Scholar] [CrossRef]
- Portela, S.; Cabrera-Trujillo, J.J.; Fernández, I. Catalysis by Bidentate Iodine(III)-Based Halogen Donors: Surpassing the Activity of Strong Lewis Acids. J. Org. Chem. 2021, 86, 5317–5326. [Google Scholar] [CrossRef]
- De Vleeschouwer, F.; Denayer, M.; Pinter, B.; Geerlings, P.; De Proft, F. Characterization of Chalcogen Bonding Interactions via an In-Depth Conceptual Quantum Chemical Analysis. J. Comput. Chem. 2018, 39, 557–572. [Google Scholar] [CrossRef]
- Pinter, B.; Nagels, N.; Herrebout, W.A.; De Proft, F. Halogen Bonding from a Hard and Soft Acids and Bases Perspective: Investigation by Using Density Functional Theory Reactivity Indices. Chem. Eur. J. 2013, 19, 519–530. [Google Scholar] [CrossRef]
- Vermeeren, P.; Hamlin, T.A.; Bickelhaupt, F.M. Chemical Reactivity from an Activation Strain Perspective. Chem. Commun. 2021, 57, 5880–5896. [Google Scholar] [CrossRef]
- Zhao, Y.; Truhlar, D.G. The M06 Suite of Density Functionals for Main Group Thermochemistry, Thermochemical Kinetics, Noncovalent Interactions, Excited States, and Transition Elements: Two New Functionals and Systematic Testing of Four M06-Class Functionals and 12 Other Function. Theor. Chem. Acc. 2008, 120, 215–241. [Google Scholar] [CrossRef]
- Dunning, T.H. Gaussian Basis Sets for Use in Correlated Molecular Calculations. I. The Atoms Boron through Neon and Hydrogen. J. Phys. Chem. A 1989, 90, 1007–1023. [Google Scholar] [CrossRef]
- Frisch, M.J.; Trucks, G.W.; Schlegel, H.B.; Scuseria, G.E.; Robb, M.A.; Cheeseman, J.R.; Scalmani, G.; Barone, V.; Petersson, G.A.; Nakatsuji, H.; et al. Gaussian 16; Revision C.01; Gaussian Inc.: Wallingford, CT, USA, 2016. [Google Scholar]
- Peterson, K.A. Systematically Convergent Basis Sets with Relativistic Pseudopotentials. I. Correlation Consistent Basis Sets for the Post-d Group 13–15 Elements. J. Chem. Phys. 2003, 119, 11099–11112. [Google Scholar] [CrossRef]
- Grimme, S.; Antony, J.; Ehrlich, S.; Krieg, H. A Consistent and Accurate Ab Initio Parametrization of Density Functional Dispersion Correction (DFT-D) for the 94 Elements H-Pu. J. Phys. Chem. A 2010, 132, 154104. [Google Scholar] [CrossRef]
- Feller, D. The Use of Systematic Sequences of Wave Functions for Estimating the Complete Basis Set, Full Configuration Interaction Limit in Water. J. Chem. Phys. 1993, 98, 7059–7071. [Google Scholar] [CrossRef]
- Feller, D. Application of Systematic Sequences of Wave Functions to the Water Dimer. J. Chem. Phys. 1992, 96, 6104–6114. [Google Scholar] [CrossRef]
- Goerigk, L.; Grimme, S. A Thorough Benchmark of Density Functional Methods for General Main Group Thermochemistry, Kinetics, and Noncovalent Interactions. Phys. Chem. Chem. Phys. 2011, 13, 6670–6688. [Google Scholar] [CrossRef]
- Mangialetto, J.; Kiano, G.; Vermeersch, L.; Van Mele, B.; Van Den Brande, N.; De Vleeschouwer, F. Hydrogen-Bond-Assisted Diels–Alder Kinetics or Self-Healing in Reversible Polymer Networks? A Combined Experimental and Theoretical Study. Molecules 2022, 27, 1961. [Google Scholar] [CrossRef] [PubMed]
- Johnson, E.R.; Keinan, S.; Mori-Sánchez, P.; Contreras-Garciá, J.; Cohen, A.J.; Yang, W. Revealing Noncovalent Interactions. J. Am. Chem. Soc. 2010, 132, 6498–6506. [Google Scholar] [CrossRef] [PubMed]
- Ziegler, T.; Rauk, A. A Theoretical Study of the Ethylene-Metal Bond in Complexes between Cu+, Ag+, Au+, Pt0, or Pt2+ and Ethylene, Based on the Hartree-Fock-Slater Transition-State Method. Inorg. Chem. 1979, 18, 1558–1565. [Google Scholar] [CrossRef]
- Ziegler, T.; Rauk, A. Carbon Monoxide, Carbon Monosulfide, Molecular Nitrogen, Phosphorus Trifluoride, and Methyl Isocyanide as.Sigma. Donors and.Pi. Acceptors. A Theoretical Study by the Hartree-Fock-Slater Transition-State Method. Inorg. Chem. 1979, 18, 1755–1759. [Google Scholar] [CrossRef]
- Bickelhaupt, F.M.; Baerends, E.J. Kohn-Sham Density Functional Theory: Predicting and Understanding Chemistry. Rev. Comput. Chem. 2007, 15, 1–86. [Google Scholar] [CrossRef]
- Fernández, I.; Bickelhaupt, F.M. The Activation Strain Model and Molecular Orbital Theory: Understanding and Designing Chemical Reactions. Chem. Soc. Rev. 2014, 43, 4953–4967. [Google Scholar] [CrossRef]
- Sun, X.; Soini, T.M.; Poater, J.; Hamlin, T.A.; Bickelhaupt, F.M. PyFrag 2019—Automating the Exploration and Analysis of Reaction Mechanisms. J. Comput. Chem. 2019, 40, 2227–2233. [Google Scholar] [CrossRef]
- Mitoraj, M.P.; Michalak, A.; Ziegler, T. A Combined Charge and Energy Decomposition Scheme for Bond Analysis. J. Chem. Theory Comput. 2008, 5, 962–975. [Google Scholar] [CrossRef] [PubMed]
- Perdew, J.P. Density-Functional Approximation for the Correlation Energy of the Inhomogeneous Electron Gas. Phys. Rev. Lett. 1986, 33, 8822–8824. [Google Scholar] [CrossRef]
- Perdew, J.P.; Burke, K.; Ernzerhof, M. Generalized Gradient Approximation Made Simple. Phys. Rev. Lett. 1996, 77, 3865–3868. [Google Scholar] [CrossRef]
- Van Lenthe, E.; Baerends, E.J. Optimized Slater-Type Basis Sets for the Elements 1–118. J. Comput. Chem. 2003, 24, 1142–1156. [Google Scholar] [CrossRef] [PubMed]
- SCM. Theoretical Chemistry; ASM2021.105. Vrije Universiteit: Amsterdam, The Netherlands. Available online: http://www.scm.com (accessed on 10 February 2023).
- Van Lenthe, E.; Baerends, E.J.; Snijders, J.G. Relativistic Regular Two-Component Hamiltonians. J. Chem. Phys. 1993, 99, 4597–4610. [Google Scholar] [CrossRef]
- Skara, G.; Pinter, B.; Top, J.; Geerlings, P.; De Proft, F.; De Vleeschouwer, F. Conceptual Quantum Chemical Analysis of Bonding and Noncovalent Interactions in the Formation of Frustrated Lewis Pairs. Chem. Eur. J. 2015, 21, 5510–5519. [Google Scholar] [CrossRef] [PubMed]
- De Vleeschouwer, F.; De Proft, F.; Ergün, Ö.; Herrebout, W.; Geerlings, P. A Combined Experimental/Quantum-Chemical Study of Tetrel, Pnictogen, and Chalcogen Bonds of Linear Triatomic Molecules. Molecules 2021, 26, 6767. [Google Scholar] [CrossRef] [PubMed]
- Jungbauer, S.H.; Walter, S.M.; Schindler, S.; Rout, L.; Kniep, F.; Huber, S.M. Activation of a Carbonyl Compound by Halogen Bonding. Chem. Commun. 2014, 50, 6281–6284. [Google Scholar] [CrossRef] [PubMed]
- Hansen, T.; Roozee, J.C.; Bickelhaupt, F.M.; Hamlin, T.A. How Solvation Influences the SN2 versus E2 Competition. J. Org. Chem. 2022, 87, 1805–1813. [Google Scholar] [CrossRef] [PubMed]
- Bickelhaupt, F.M.; Houk, K.N. Analyzing Reaction Rates with the Distortion/Interaction-Activation Strain Model. Angew. Chem. Int. Ed. 2017, 56, 10070–10086. [Google Scholar] [CrossRef] [PubMed]











| ∆E (0 K) | ∆G (298.15 K) | |
|---|---|---|
| R1_cat Complex | R1_cat Complex | |
| Uncatalyzed endo | 0.0 | 0.0 |
| BF3 | −12.4 | −0.8 |
| H_cat (+) | −13.9 | −4.3 |
| H2_cat | −14.4 | −0.6 |
| Cl_cat (+) | −8.8 | 1.9 |
| Br_cat (+) | −9.0 | 1.7 |
| I_cat (+) | −13.9 | −4.3 |
| S2_rigid_cat | −9.9 | 2.6 |
| S2_flex_cat | −7.4 | 3.7 |
| Se_cat | −5.1 | 5.8 |
| Te_cat | −6.9 | 4.3 |
| P_cat | −9.3 | 3.3 |
| As_cat | −9.8 | 3.2 |
| Sb_cat | −12.5 | −0.1 |
| ∆Ecomplex | ∆Estrain | ∆Eint | ∆EPauli | ∆Eelst | ∆Eoi | Edisp | |
|---|---|---|---|---|---|---|---|
| BF3 | −11.9 | 16.5 | −28.4 | 96.4 | −64.6 (52%) | −58.9 (47%) | −1.2 (1%) |
| H_cat (+) | −15.1 | 0.3 | −15.5 | 8.3 | −14.5 (61%) | −8.0 (34%) | −1.3 (5%) |
| H2_cat | −12.9 | 1.9 | −14.8 | 23.2 | −18.1 (48%) | −8.6 (23%) | −11.3 (30%) |
| Cl_cat (+) | −8.5 | 1.1 | −9.6 | 10.7 | −10.5 (49%) | −7.0 (33%) | −3.9 (18%) |
| Br_cat (+) | −8.7 | 2.0 | −10.7 | 9.6 | −9.1 (47%) | −6.2 (32%) | −3.9 (20%) |
| I_cat (+) | −16.3 | 0.5 | −16.8 | 19.7 | −20.9 (57%) | −14.6 (40%) | −1.0 (3%) |
| S2_rigid_cat | −8.3 | 0.5 | −8.9 | 17.4 | −12.1 (46%) | −5.3 (20%) | −8.9 (34%) |
| S2_flex_cat | −6.7 | 0.6 | −7.3 | 12.8 | −9.0 (45%) | −4.2 (21%) | −6.8 (34%) |
| Se_cat | −3.8 | 1.5 | −5.3 | 11.4 | −8.9 (53%) | −4.5 (27%) | −3.3 (20%) |
| Te_cat | −6.0 | 0.5 | −6.4 | 15.4 | −11.9 (55%) | −6.6 (30%) | −3.3 (15%) |
| P_cat | −6.6 | 0.8 | −7.4 | 19.9 | −12.6 (46%) | −6.0 (22%) | −8.7 (32%) |
| As_cat | −7.6 | 0.3 | −7.9 | 20.6 | −13.3 (46%) | −6.5 (23%) | −8.7 (31%) |
| Sb_cat | −8.7 | 0.4 | −9.1 | 24.7 | −16.6 (49%) | −8.6 (25%) | −8.5 (25%) |
| ∆(H-L) | ∆E‡ | Catalyzed? | ∆G‡ | Catalyzed? | |
|---|---|---|---|---|---|
| Uncatalyzed endo | −6.9 | 28.4 | 36.6 | ||
| BF3 | −5.5 | 12.6 | V | 21.1 | V |
| H_cat (+) | −4.0 | 26.6 | V | 32.1 | V |
| H2_cat | −6.2 | 24.1 | V | 32.4 | V |
| Cl_cat (+) | −4.1 | 23.4 | V | 32.1 | V |
| Br_cat (+) | −4.0 | 22.9 | V | 31.5 | V |
| I_cat (+) | −4.2 | 24.7 | V | 30.5 | V |
| S2_rigid_cat | −6.5 | 26.3 | V | 36.0 | V |
| S2_flex_cat | −6.5 | 27.4 | V | 39.8 | X |
| Se_cat | −6.6 | 26.6 | V | 40.9 | X |
| Te_cat | −6.4 | 26.1 | V | 39.0 | X |
| P_cat | −6.4 | 26.0 | V | 41.3 | X |
| As_cat | −6.5 | 25.2 | V | 40.5 | X |
| Sb_cat | −6.2 | 24.3 | V | 34.5 | V |
| ∆Eint | ∆EPauli | ∆Eelst | ∆Eoi | Edisp | |
|---|---|---|---|---|---|
| Uncatalyzed | −16.4 | 135.9 | −61.3 (40%) | −84.5 (56%) | −6.4 (4%) |
| BF3 | −34.8 | 156.6 | −71.5 (37%) | −112.3 (59%) | −7.7 (4%) |
| BF3 deleted | −16.2 | 148.9 | −66.5 (40%) | −92.6 (56%) | −6.0 (4%) |
| ∆Eint | ∆EPauli | ∆Eelst | ∆Eoi | Edisp | |
|---|---|---|---|---|---|
| Uncatalyzed | −16.4 | 135.9 | −61.3 (40%) | −84.5 (56%) | −6.4 (4%) |
| H_cat (+) | −29.3 | 146.6 | −66.2 (38%) | −102.9 (58%) | −6.8 (4%) |
| H_cat deleted | −21.5 | 147.4 | −66.6 (39%) | −96.2 (57%) | −6.2 (4%) |
| H2_cat | −28.8 | 143.1 | −64.7 (38%) | −98.7 (57%) | −8.5 (5%) |
| H2_cat deleted | −20.8 | 142.0 | −64.1 (39%) | −92.7 (57%) | −5.9 (4%) |
| Cl_cat (+) | −25.3 | 130.5 | −59.1 (38%) | −90.2 (58%) | −6.5 (4%) |
| Cl_cat deleted | −17.5 | 132.4 | −59.7 (40%) | −84.0 (56%) | −6.1 (4%) |
| Br_cat (+) | −27.0 | 132.5 | −59.9 (38%) | −93.1 (58%) | −6.6 (4%) |
| Br_cat deleted | −18.0 | 134.5 | −60.7 (40%) | −85.8 (56%) | −6.0 (4%) |
| I_cat (+) | −32.6 | 150.3 | −67.8 (37%) | −108.4 (59%) | −6.8 (4%) |
| I_cat deleted | −19.7 | 152.0 | −68.6 (40%) | −96.8 (57%) | −6.1 (4%) |
| S2_rigid_cat | −21.7 | 137.1 | −62.3 (39%) | −86.7 (55%) | −9.8 (6%) |
| S2_rigid_cat deleted | −17.0 | 134.5 | −60.6 (40%) | −84.6 (56%) | −6.2 (4%) |
| Sb_cat | −23.7 | 137.4 | −62.6 (39%) | −90.3 (56%) | −8.1 (5%) |
| Sb_cat deleted | −18.1 | 136.1 | −61.4 (40%) | −87.0 (56%) | −5.9 (4%) |
| Reaction | Catalyst | Method | Pauli Repulsion | Electrostatic | Orbital | Dispersion |
|---|---|---|---|---|---|---|
| BEN + DMB | BF3 | ASM | VVV | X | XX | / |
| deletion | XX | V | VVVV | / | ||
| MVK + CP | BF3 | ASM | V | X | / | / |
| deletion | V | / | VV | / | ||
| IM + BD | BF3 | ASM a | VVVV | XXX | XXX | / |
| deletion | / | / | VVV | / | ||
| BEN + DMB | I_cat | ASM | VVV | XX | XX | / |
| deletion | / | / | VVV | / | ||
| MVK + CP | I_cat | ASM | VV | X | X | / |
| deletion | VV | X | VV | / | ||
| IM + BD | I_cat | ASM a | VVVV | XXX | XXX | / |
| deletion | VV | X | VV | / |
Disclaimer/Publisher’s Note: The statements, opinions and data contained in all publications are solely those of the individual author(s) and contributor(s) and not of MDPI and/or the editor(s). MDPI and/or the editor(s) disclaim responsibility for any injury to people or property resulting from any ideas, methods, instructions or products referred to in the content. |
© 2023 by the authors. Licensee MDPI, Basel, Switzerland. This article is an open access article distributed under the terms and conditions of the Creative Commons Attribution (CC BY) license (https://creativecommons.org/licenses/by/4.0/).
Share and Cite
Vermeersch, L.; De Proft, F.; Faulkner, V.; De Vleeschouwer, F. Unravelling the Mechanism and Governing Factors in Lewis Acid and Non-Covalent Diels–Alder Catalysis: Different Perspectives. Int. J. Mol. Sci. 2023, 24, 4938. https://doi.org/10.3390/ijms24054938
Vermeersch L, De Proft F, Faulkner V, De Vleeschouwer F. Unravelling the Mechanism and Governing Factors in Lewis Acid and Non-Covalent Diels–Alder Catalysis: Different Perspectives. International Journal of Molecular Sciences. 2023; 24(5):4938. https://doi.org/10.3390/ijms24054938
Chicago/Turabian StyleVermeersch, Lise, Frank De Proft, Vicky Faulkner, and Freija De Vleeschouwer. 2023. "Unravelling the Mechanism and Governing Factors in Lewis Acid and Non-Covalent Diels–Alder Catalysis: Different Perspectives" International Journal of Molecular Sciences 24, no. 5: 4938. https://doi.org/10.3390/ijms24054938
APA StyleVermeersch, L., De Proft, F., Faulkner, V., & De Vleeschouwer, F. (2023). Unravelling the Mechanism and Governing Factors in Lewis Acid and Non-Covalent Diels–Alder Catalysis: Different Perspectives. International Journal of Molecular Sciences, 24(5), 4938. https://doi.org/10.3390/ijms24054938

