Peripubertal Alterations of Leptin Levels in Patients with Autism Spectrum Disorder and Elevated or Normal Body Weight
Abstract
1. Introduction
Study and Control Population
- mean BMI 13.42 kg/m2; standard deviation 0.69; median 13.53 kg/m2; interquartile range 0.9; minimum value 11.9 kg/m2; maximum value 14.69 kg/m2;
- mean age 7.39 years; standard deviation 1.14; median 7.92 kg/m2; interquartile range 2.0; minimum value 6 years; maximum value 10 years.
- mean BMI 13.4 kg/m2; standard deviation 0.74; median 13.23 kg/m2; interquartile range 1.11; minimum value 12.6 kg/m2; maximum value 14.35 kg/m2;
- mean age 7.15 years; standard deviation 1.01; median 7.83 kg/m2; interquartile range 1.75; minimum value 6 years; maximum value 8 years.
2. Results
2.1. Characterization of Study Groups and Wilcoxon Signed-Rank Test Results of the Comparison of Related Samples before and after Puberty
- ASD+/Ob+ group (p < 0.001): pre-pubertal median (Me) = 24.7 ng/mL, interquartile range (IQR) = 13.1 versus post-pubertal Me = 21.85 ng/mL, IQR = 18.5
- ASD+/Ob− group (p < 0.001): pre-pubertal Me = 5.6 ng/mL, IQR 5.76 versus post-pubertal Me = 4.6 ng/mL, IQR = 4.8
- ASD−/Ob+ group (p = 0.001): pre-pubertal Me = 26.7 ng/mL, IQR = 10.1 versus post-pubertal Me = 22.4 ng/mL, IQR = 14.44
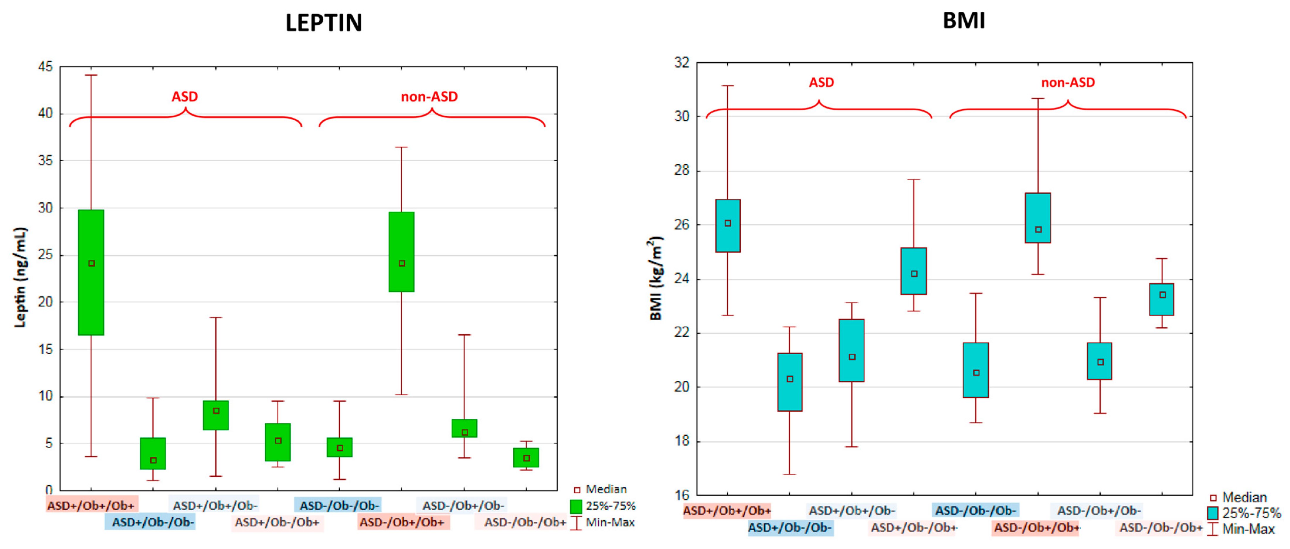
2.2. Kruskal–Wallis ANOVA Test Results of the Comparison of Four Groups (ASD+/Ob+, ASD+/Ob−, ASD−/Ob+, and ASD−/Ob−)
2.3. Kruskal–Wallis ANOVA Test Results of the Comparison of Eight Groups Stratified by the Direction of BMI Changes Presented by Children after Puberty in Comparison to Their Pre-Pubertal BMI
2.4. Regression Analyses of Leptin Serum Levels Associations
2.5. Results of the Comparative Analyses of Leptin Serum Levels in the Subgroups Stratified for Gender
3. Discussion
3.1. Leptin Levels in Autistic Patients with Normal Weight Compared to Healthy Controls
3.2. Leptin Levels in Patients with ASD and Overweightness/Obesity Compared to Neurotypical Children with Overweightness/Obesity
3.3. Leptin Levels in the Subgroups of Children Stratified for the Direction of BMI Changes after Puberty in Comparison to Their Pre-Pubertal BMI Values
4. Materials and Methods
4.1. Blood Samples
4.2. Statistical Analyses
5. Conclusions
Author Contributions
Funding
Institutional Review Board Statement
Informed Consent Statement
Data Availability Statement
Acknowledgments
Conflicts of Interest
References
- Picó, C.; Palou, M.; Pomar, C.A.; Rodríguez, A.M.; Palou, A. Leptin as a key regulator of the adipose organ. Rev. Endocr. Metab. Disord. 2022, 23, 13–30. [Google Scholar] [CrossRef] [PubMed]
- Salem, A. Variation of Leptin During Menstrual Cycle and Its Relation to the Hypothalamic-Pituitary-Gonadal (HPG) Axis: A Systematic Review. Int. J. Womens Health 2021, 13, 445–458. [Google Scholar] [CrossRef] [PubMed]
- Moon, H.-S.; Dalamaga, M.; Kim, S.-Y.; Polyzos, S.A.; Hamnvik, O.-P.; Magkos, F.; Paruthi, J.; Mantzoros, C.S. Leptin’s Role in Lipodystrophic and Nonlipodystrophic Insulin-Resistant and Diabetic Individuals. Endocr. Rev. 2013, 34, 377–412. [Google Scholar] [CrossRef] [PubMed]
- Park, H.-K.; Ahima, R.S. Leptin signaling. F1000Prime Rep. 2014, 6, 73. [Google Scholar] [CrossRef] [PubMed]
- Gertler, A.; Solomon, G. Leptin-activity blockers: Development and potential use in experimental biology and medicine. Can. J. Physiol. Pharmacol. 2013, 91, 873–882. [Google Scholar] [CrossRef]
- Dumon, C.; Diabira, D.; Chudotvorova, I.; Bader, F.; Sahin, S.; Zhang, J.; Porcher, C.; Wayman, G.; Medina, I.; Gaiarsa, J.-L. The adipocyte hormone leptin sets the emergence of hippocampal inhibition in mice. eLife 2018, 7, e36726. [Google Scholar] [CrossRef]
- Lee, T.H.-Y.; Cheng, K.K.-Y.; Hoo, R.L.-C.; Siu, P.M.-F.; Yau, S.-Y. The Novel Perspectives of Adipokines on Brain Health. Int. J. Mol. Sci. 2019, 20, 5638. [Google Scholar] [CrossRef]
- Cordner, Z.A.; Tamashiro, K.L. Effects of high-fat diet exposure on learning & memory. Physiol. Behav. 2015, 152, 363–371. [Google Scholar] [CrossRef]
- Moody, L.; Chen, H.; Pan, Y.-X. Early-Life Nutritional Programming of Cognition—The Fundamental Role of Epigenetic Mechanisms in Mediating the Relation between Early-Life Environment and Learning and Memory Process. Adv. Nutr. 2017, 8, 337–350. [Google Scholar] [CrossRef]
- Desai, M.; Li, T.; Ross, M.G. Fetal Hypothalamic Neuroprogenitor Cell Culture: Preferential Differentiation Paths Induced by Leptin and Insulin. Endocrinology 2011, 152, 3192–3201. [Google Scholar] [CrossRef]
- Flores-Dorantes, M.T.; Díaz-López, Y.E.; Gutiérrez-Aguilar, R. Environment and Gene Association with Obesity and Their Impact on Neurodegenerative and Neurodevelopmental Diseases. Front. Neurosci. 2020, 14, 863. [Google Scholar] [CrossRef] [PubMed]
- Qin, H.; Buckley, J.A.; Li, X.; Liu, Y.; Fox, T.H.; Meares, G.P.; Yu, H.; Yan, Z.; Harms, A.S.; Li, Y.; et al. Inhibition of the JAK/STAT Pathway Protects Against α-Synuclein-Induced Neuroinflammation and Dopaminergic Neurodegeneration. J. Neurosci. 2016, 36, 5144–5159. [Google Scholar] [CrossRef] [PubMed]
- Platt, T.L.; Beckett, T.L.; Kohler, K.; Niedowicz, D.M.; Murphy, M.P. Obesity, diabetes, and leptin resistance promote tau pathology in a mouse model of disease. Neuroscience 2016, 315, 162–174. [Google Scholar] [CrossRef] [PubMed]
- Vargas, D.L.; Nascimbene, C.; Krishnan, C.; Zimmerman, A.W.; Pardo, C.A. Neuroglial activation and neuroinflammation in the brain of patients with autism. Ann. Neurol. 2005, 57, 67–81. [Google Scholar] [CrossRef] [PubMed]
- American-Psychiatric-Association. Diagnostic and Statistical Manual of Mental Disorders, 5th ed.; American Psychiatric Publishing: Arlington, TX, USA, 2013. [Google Scholar]
- Ashwood, P.; Kwong, C.; Hansen, R.; Hertz-Picciotto, I.; Croen, L.; Krakowiak, P.; Walker, W.; Pessah, I.N.; Van de Water, J. Brief Report: Plasma Leptin Levels are Elevated in Autism: Association with Early Onset Phenotype? J. Autism Dev. Disord. 2008, 38, 169–175. [Google Scholar] [CrossRef]
- Blardi, P.; de Lalla, A.; Ceccatelli, L.; Vanessa, G.; Auteri, A.; Hayek, J. Variations of plasma leptin and adiponectin levels in autistic patients. Neurosci. Lett. 2010, 479, 54–57. [Google Scholar] [CrossRef]
- Rodrigues, D.H.; Rocha, N.P.; Sousa, L.F.D.C.; Barbosa, I.G.; Kummer, A.; Teixeira, A.L. Changes in Adipokine Levels in Autism Spectrum Disorders. Neuropsychobiology 2014, 69, 6–10. [Google Scholar] [CrossRef]
- Valleau, J.C.; Sullivan, E.L. The impact of leptin on perinatal development and psychopathology. J. Chem. Neuroanat. 2014, 61–62, 221–232. [Google Scholar] [CrossRef]
- Al-Zaid, F.S.; Alhader, A.A.; Al-Ayadhi, L.Y. Altered ghrelin levels in boys with autism: A novel finding associated with hormonal dysregulation. Sci. Rep. 2014, 4, 6478. [Google Scholar] [CrossRef]
- Çelikkol Sadıç, Ç.; Bilgiç, A.; Kılınç, I.; Oflaz, M.B.; Baysal, T. Evaluation of Appetite-Regulating Hormones in Young Children with Autism Spectrum Disorder. J. Autism Dev. Disord. 2021, 51, 632–643. [Google Scholar] [CrossRef]
- Maekawa, M.; Ohnishi, T.; Toyoshima, M.; Shimamoto-Mitsuyama, C.; Hamazaki, K.; Balan, S.; Wada, Y.; Esaki, K.; Takagai, S.; Tsuchiya, K.J.; et al. A potential role of fatty acid binding protein 4 in the pathophysiology of autism spectrum disorder. Brain Commun. 2020, 2, fcaa145. [Google Scholar] [CrossRef]
- Dhaliwal, K.K.; Avedzi, H.M.; Richard, C.; Zwaigenbaum, L.; Haqq, A.M. Brief Report: Plasma Leptin and Mealtime Feeding Behaviors among Children with Autism Spectrum Disorder: A Pilot Study. J. Autism Dev. Disord. 2022, 1–8. [Google Scholar] [CrossRef]
- Prosperi, M.; Guiducci, L.; Peroni, D.G.; Narducci, C.; Gaggini, M.; Calderoni, S.; Tancredi, R.; Morales, M.A.; Gastaldelli, A.; Muratori, F.; et al. Inflammatory Biomarkers are Correlated with Some Forms of Regressive Autism Spectrum Disorder. Brain Sci. 2019, 9, 366. [Google Scholar] [CrossRef]
- Curtin, C.M.; Jojic, M.; Bandini, L.G.P. Obesity in Children with Autism Spectrum Disorder. Harv. Rev. Psychiatry 2014, 22, 93–103. [Google Scholar] [CrossRef]
- Kahathuduwa, C.N.; West, B.D.; Blume, J.; Dharavath, N.; Moustaid-Moussa, N.; Mastergeorge, A. The risk of overweight and obesity in children with autism spectrum disorders: A systematic review and meta-analysis. Obes. Rev. 2019, 20, 1667–1679. [Google Scholar] [CrossRef]
- Raghavan, R.; Zuckerman, B.; Hong, X.; Wang, G.; Ji, Y.; Paige, D.; DiBari, J.; Zhang, C.; Fallin, M.D.; Wang, X. Fetal and Infancy Growth Pattern, Cord and Early Childhood Plasma Leptin, and Development of Autism Spectrum Disorder in the Boston Birth Cohort. Autism Res. 2018, 11, 1416–1431. [Google Scholar] [CrossRef]
- Joung, K.E.; Rifas-Shiman, S.L.; Oken, E.; Mantzoros, C.S. Maternal Midpregnancy Leptin and Adiponectin Levels as Predictors of Autism Spectrum Disorders: A Prenatal Cohort Study. J. Clin. Endocrinol. Metab. 2021, 106, e4118–e4127. [Google Scholar] [CrossRef]
- Iwabuchi, T.; Takahashi, N.; Nishimura, T.; Rahman, M.S.; Harada, T.; Okumura, A.; Kuwabara, H.; Takagai, S.; Nomura, Y.; Matsuzaki, H.; et al. Associations among Maternal Metabolic Conditions, Cord Serum Leptin Levels, and Autistic Symptoms in Children. Front. Psychiatry 2021, 12, 816196. [Google Scholar] [CrossRef]
- Edlow, A.G. Maternal obesity and neurodevelopmental and psychiatric disorders in offspring. Prenat. Diagn. 2017, 37, 95–110. [Google Scholar] [CrossRef]
- Rivera, H.M.; Christiansen, K.J.; Sullivan, E.L. The role of maternal obesity in the risk of neuropsychiatric disorders. Front. Neurosci. 2015, 9, 194. [Google Scholar] [CrossRef]
- Kułaga, Z.; Różdżyńska, A.; Palczewska, I.; Grajda, A.; Gurzkowska, B.; Napieralska, E.; Litwin, M.; Grupa Badaczy OLAF. Siatki centylowe wysokości, masy ciała i wskaźnika masy ciała dzieci i młodzieży w Polsce–wyniki badania OLAF. Standardy Medyczne/Pediatria 2010, 7, 690–700. [Google Scholar]
- Shalitin, S.; Phillip, M. Role of obesity and leptin in the pubertal process and pubertal growth—A review. Int. J. Obes. 2003, 27, 869–874. [Google Scholar] [CrossRef] [PubMed]
- Elias, C.F.; Purohit, D. Leptin signaling and circuits in puberty and fertility. Cell. Mol. Life Sci. 2013, 70, 841–862. [Google Scholar] [CrossRef] [PubMed]
- Cizza, G.; Dorn, L.D.; Lotsikas, A.; Sereika, S.; Rotenstein, D.; Chrousos, G.P. Circulating Plasma Leptin and IGF-1 Levels in Girls with Premature Adrenarche: Potential Implications of a Preliminary Study. Horm. Metab. Res. 2001, 33, 138–143. [Google Scholar] [CrossRef] [PubMed]
- Nieuwenhuis, D.; Pujol-Gualdo, N.; Arnoldussen, I.A.C.; Kiliaan, A.J. Adipokines: A gear shift in puberty. Obes. Rev. 2020, 21, e13005. [Google Scholar] [CrossRef]
- De Ridder, C.M.; Thijssen, J.H.; Bruning, P.F.; Van den Brande, J.L.; Zonderland, M.L.; Erich, W.B. Body fat mass, body fat distribution, and pubertal development: A longitudinal study of physical and hormonal sexual maturation of girls. J. Clin. Endocrinol. Metab. 1992, 75, 442–446. [Google Scholar] [CrossRef]
- Loomba-Albrecht, L.A.; Styne, D.M. Effect of puberty on body composition. Curr. Opin. Endocrinol. Diabetes Obes. 2009, 16, 10–15. [Google Scholar] [CrossRef]
- Lassek, W.D.; Gaulin, S.J. Brief communication: Menarche is related to fat distribution. Am. J. Phys. Anthr. 2007, 133, 1147–1151. [Google Scholar] [CrossRef]
- L’Allemand, D.; Schmidt, S.; Rousson, V.; Brabant, G.; Gasser, T.; Grüters, A. Associations between body mass, leptin, IGF-I and circulating adrenal androgens in children with obesity and premature adrenarche. Eur. J. Endocrinol. 2002, 146, 537–543. [Google Scholar] [CrossRef]
- Antunes, H.; Santos, C.; Carvalho, S. Serum leptin levels in overweight children and adolescents. Br. J. Nutr. 2009, 101, 1262–1266. [Google Scholar] [CrossRef]
- Garcia-Mayor, R.V.; Andrade, M.A.; Rios, M.; Lage, M.; Dieguez, C.; Casanueva, F.F. Serum Leptin Levels in Normal Children: Relationship to Age, Gender, Body Mass Index, Pituitary-Gonadal Hormones, and Pubertal Stage. J. Clin. Endocrinol. Metab. 1997, 82, 2849–2855. [Google Scholar] [CrossRef]
- World Health Organization. Overweight and Obesity. Available online: https://www.who.int/news-room/fact-sheets/detail/obesity-and-overweight (accessed on 1 November 2022).
- Lopuszanska, U.; Skorzynska-Dziduszko, K.; Prendecka, M.; Makara-Studzinska, M. Overweight, obesity and cognitive functions disorders in group of people suffering from mental illness. Psychiatria Polska 2016, 50, 393–406. [Google Scholar] [CrossRef]
- Bresnahan, M.; Hornig, M.; Schultz, A.F.; Gunnes, N.; Hirtz, D.; Lie, K.K.; Magnus, P.; Reichborn-Kjennerud, T.; Roth, C.; Schjølberg, S.; et al. Association of Maternal Report of Infant and Toddler Gastrointestinal Symptoms with Autism: Evidence from a Prospective Birth Cohort. JAMA Psychiatry 2015, 72, 466–474. [Google Scholar] [CrossRef]
- Almandil, N.B.; Liu, Y.; Murray, M.L.; Besag, F.M.C.; Aitchison, K.J.; Wong, I.C.K. Weight Gain and Other Metabolic Adverse Effects Associated with Atypical Antipsychotic Treatment of Children and Adolescents: A Systematic Review and Meta-analysis. Pediatr. Drugs 2013, 15, 139–150. [Google Scholar] [CrossRef]
- Loy, J.H.; Merry, S.N.; Hetrick, S.E.; Stasiak, K. Atypical antipsychotics for disruptive behaviour disorders in children and youths. Cochrane Database Syst. Rev. 2017, 8, CD008559. [Google Scholar] [CrossRef]
- Martin, A.; Scahill, L.; Anderson, G.M.; Aman, M.; Arnold, L.E.; McCracken, J.; McDougle, C.J.; Tierney, E.; Chuang, S.; Vitiello, B.; et al. Weight and Leptin Changes among Risperidone-Treated Youths with Autism: 6-Month Prospective Data. Am. J. Psychiatry 2004, 161, 1125–1127. [Google Scholar] [CrossRef]
- Srisawasdi, P.; Vanwong, N.; Hongkaew, Y.; Puangpetch, A.; Vanavanan, S.; Intachak, B.; Ngamsamut, N.; Limsila, P.; Sukasem, C.; Kroll, M.H. Impact of risperidone on leptin and insulin in children and adolescents with autistic spectrum disorders. Clin. Biochem. 2017, 50, 678–685. [Google Scholar] [CrossRef]
- Scahill, L.; Jeon, S.; Boorin, S.J.; McDougle, C.J.; Aman, M.G.; Dziura, J.; McCracken, J.T.; Caprio, S.; Arnold, L.E.; Nicol, G.; et al. Weight Gain and Metabolic Consequences of Risperidone in Young Children with Autism Spectrum Disorder. J. Am. Acad. Child Adolesc. Psychiatry 2016, 55, 415–423. [Google Scholar] [CrossRef]
- Esen-Danacı, A.; Sarandöl, A.; Taneli, F.; Yurtsever, F.; Özlen, N. Effects of second generation antipsychotics on leptin and ghrelin. Prog. Neuro Psychopharmacol. Biol. Psychiatry 2008, 32, 1434–1438. [Google Scholar] [CrossRef]
- Bahrami, E.; Mirmoghtadaee, P.; Ardalan, G.; Zarkesh-Esfahani, H.; Tajaddini, M.H.; Haghjooy-Javanmard, S.; Najafi, H.; Kelishadi, R. Insulin and leptin levels in overweight and normal-weight Iranian adolescents: The CASPIAN-III study. J. Res. Med. Sci. 2014, 19, 387–390. [Google Scholar]
- Błażewicz, A.; Szymańska, I.; Dolliver, W.; Suchocki, P.; Turło, J.; Makarewicz, A.; Skórzyńska-Dziduszko, K. Are Obese Patients with Autism Spectrum Disorder More Likely to be Selenium Deficient? Research Findings on Pre- and Post-Pubertal Children. Nutrients 2020, 12, 3581. [Google Scholar] [CrossRef] [PubMed]
- Wabitsch, M.; Blum, W.F.; Muche, R.; Braun, M.; Hube, F.; Rascher, W.; Heinze, E.; Teller, W.; Hauner, H. Contribution of androgens to the gender difference in leptin production in obese children and adolescents. J. Clin. Investig. 1997, 100, 808–813. [Google Scholar] [CrossRef] [PubMed]
- Schoppen, S.; Riestra, P.; García-Anguita, A.; López-Simón, L.; Cano, B.; de Oya, I.; de Oya, M.; Garcés, C. Leptin and adiponectin levels in pubertal children: Relationship with anthropometric variables and body composition. Clin. Chem. Lab. Med. 2010, 48, 707–711. [Google Scholar] [CrossRef] [PubMed]
- Koenis, M.M.G.; Brouwer, R.M.; van Baal, G.C.M.; van Soelen, I.L.C.; Peper, J.S.; van Leeuwen, M.; Delemarre-van de Waal, H.; Boomsma, D.I.; Pol, H.H. Longitudinal Study of Hormonal and Physical Development in Young Twins. J. Clin. Endocrinol. Metab. 2013, 98, E518–E527. [Google Scholar] [CrossRef]
- Hagenbeek, F.A.; van Dongen, J.; Pool, R.; Harms, A.C.; Roetman, P.J.; Fanos, V.; van Keulen, B.J.; Walker, B.R.; Karu, N.; Pol, H.E.H.; et al. Heritability of Urinary Amines, Organic Acids, and Steroid Hormones in Children. Metabolites 2022, 12, 474. [Google Scholar] [CrossRef]
- Grotzinger, A.D.; Mann, F.D.; Patterson, M.W.; Herzhoff, K.; Tackett, J.L.; Tucker-Drob, E.M.; Harden, K.P. Twin models of environmental and genetic influences on pubertal development, salivary testosterone, and estradiol in adolescence. Clin. Endocrinol. 2018, 88, 243–250. [Google Scholar] [CrossRef]
- Pilcová, R.; Sulcová, J.; Hill, M.; Bláha, P.; Lisá, L. Leptin levels in obese children: Effects of gender, weight reduction and androgens. Physiol. Res. 2003, 52, 53–60. [Google Scholar]




| Mean | Median | Min | Max | IQR | SD | Wilcoxon ← Test → | Mean | Median | Min | Max | IQR | SD | |
|---|---|---|---|---|---|---|---|---|---|---|---|---|---|
| Before Puberty | After Puberty | ||||||||||||
| ASD+/Ob+ | |||||||||||||
| Age (years) | 7.9 | 8.0 | 6.0 | 10.58 | 2.67 | 1.44 | p < 0.001 | 14.07 | 14.25 | 12.08 | 16.67 | 2.71 | 1.46 |
| Weight (kg) | 43.14 | 40.85 | 23.9 | 70.9 | 17.7 | 12.34 | p < 0.001 | 67.87 | 67.0 | 48.0 | 98.0 | 14.0 | 11.44 |
| Height (cm) | 128.13 | 128.35 | 100.0 | 155.0 | 21.0 | 13.04 | p < 0.001 | 161.17 | 160.0 | 140.0 | 000 | 15.5 | 11.26 |
| BMI (kg/m2) | 25.71 | 25.27 | 17.99 | 35.16 | 4.7 | 3.35 | p = 0.09 | 25.96 | 25.7 | 22.66 | 31.14 | 2.32 | 1.83 |
| Leptin (ng/mL) | 26.97 | 24.7 | 6.55 | 48.7 | 13.1 | 9.08 | p < 0.001 | 21.018 | 21.85 | 2.56 | 44.1 | 18.5 | 10.8 |
| ASD+/Ob− | |||||||||||||
| Age (years) | 7.75 | 8.21 | 6.0 | 10.33 | 2.25 | 1.28 | p < 0.001 | 14.09 | 14.25 | 12.08 | 17.0 | 2.42 | 1.42 |
| Weight (kg) | 23.94 | 23.0 | 15.0 | 36.0 | 10.0 | 5.87 | p < 0.001 | 52.35 | 52.0 | 38.0 | 78.0 | 13.0 | 9.28 |
| Height (cm) | 126.89 | 127.5 | 107.5 | 149.0 | 17.0 | 11.09 | p < 0.001 | 159.26 | 159.0 | 141.0 | 185.0 | 13.0 | 10.13 |
| BMI (kg/m2) | 14.63 | 14.23 | 11.96 | 18.11 | 2.98 | 1.61 | p = 0.01 | 20.47 | 20.66 | 16.76 | 23.12 | 2.15 | 1.59 |
| Leptin (ng/mL) | 6.19 | 5.6 | 1.56 | 19.9 | 5.76 | 3.87 | p < 0.001 | 5.35 | 4.6 | 1.11 | 18.36 | 4.8 | 3.34 |
| ASD−/Ob+ | |||||||||||||
| Age (years) | 8.17 | 8.0 | 6.08 | 10.75 | 2.83 | 1.43 | p < 0.001 | 14.08 | 13.5 | 12.17 | 16.5 | 2.17 | 1.26 |
| Weight (kg) | 36.51 | 36.1 | 26.7 | 49.0 | 9.0 | 5.33 | p < 0.001 | 66.06 | 67.0 | 51.0 | 89.0 | 12.0 | 8.52 |
| Height (cm) | 126.66 | 128.0 | 110.0 | 150.0 | 18.0 | 10.49 | p < 0.001 | 159.59 | 158.0 | 144.0 | 180.0 | 13.0 | 9.18 |
| BMI (kg/m2) | 22.75 | 22.69 | 19.11 | 27.77 | 2.18 | 1.94 | p < 0.001 | 25.89 | 25.46 | 22.19 | 30.67 | 2.18 | 2.07 |
| Leptin (ng/mL) | 25.56 | 26.7 | 2.6 | 48.7 | 10.1 | 11.31 | p = 0.001 | 20.25 | 22.4 | 2.16 | 36.5 | 14.44 | 9.92 |
| ASD−/Ob− | |||||||||||||
| Age (years) | 8.49 | 8.29 | 6.0 | 10.83 | 1.42 | 1.17 | p < 0.001 | 14.65 | 14.67 | 12.08 | 16.8 | 1.5 | 1.24 |
| Weight (kg) | 28.75 | 28.9 | 17.5 | 45.5 | 7.5 | 6.11 | p < 0.001 | 55.38 | 55.0 | 41.0 | 75.0 | 9.0 | 8.12 |
| Height (cm) | 133.15 | 134.0 | 109.0 | 150.0 | 10.0 | 8.72 | p < 0.001 | 163.05 | 163.0 | 147.0 | 187.0 | 16.0 | 9.98 |
| BMI (kg/m2) | 16.01 | 15.99 | 11.9 | 21.34 | 2.7 | 1.82 | p < 0.001 | 20.73 | 20.66 | 18.7 | 23.46 | 1.83 | 1.22 |
| Leptin (ng/mL) | 3.17 | 2.86 | 1.56 | 6.26 | 1.25 | 1.06 | p < 0.001 | 5.31 | 4.73 | 1.25 | 16.56 | 2.62 | 2.37 |
| ASD+/Ob+/Ob+ | ASD+ /Ob+/Ob+ | ASD+ /Ob−/Ob− | ASD+ /Ob+/Ob− | ASD+ /Ob−/Ob+ | ASD− /Ob−/Ob− | ASD− /Ob+/Ob+ | ASD /Ob+/Ob− | ASD− /Ob−/Ob+ |
|---|---|---|---|---|---|---|---|---|
| p < 0.001 | p = 0.004 | p < 0.001 | p < 0.001 | p = 1.0 | p = 0.007 | p < 0.001 | ||
| ASD+/Ob−/Ob− | p < 0.001 | p = 0.07 | p = 1.0 | p = 1.0 | p < 0.001 | p = 0.33 | p = 1.0 | |
| ASD+/Ob+/Ob− | p = 0.004 | p = 0.07 | p = 1.0 | p = 0.69 | p = 0.003 | p = 1.0 | p = 0.41 | |
| ASD+/Ob−/Ob+ | p < 0.001 | p = 1.0 | p = 1.0 | p = 1.0 | p < 0.001 | p = 1.0 | p = 1.0 | |
| ASD−/Ob−/Ob− | p < 0.001 | p = 1.0 | p = 0.69 | p = 1.0 | p < 0.001 | p = 1.0 | p = 1.0 | |
| ASD−/Ob+/Ob+ | p = 1.0 | p < 0.001 | p = 0.003 | p < 0.001 | p < 0.001 | p = 0.005 | p < 0.001 | |
| ASD−/Ob+/Ob− | p = 0.007 | p = 0.33 | p = 1.0 | p = 1.0 | p = 1.0 | p = 0.005 | p = 0.9 | |
| ASD−/Ob−/Ob+ | p < 0.001 | p = 1.0 | p = 0.41 | p = 1.0 | p = 1.0 | p < 0.001 | p = 0.9 |
| ASD+ /Ob+/Ob+ | ASD+ /Ob−/Ob− | ASD+ /Ob+/Ob− | ASD+ /Ob−/Ob+ | ASD− /Ob−/Ob− | ASD− /Ob+/Ob+ | ASD− /Ob+/Ob− | ASD− /Ob−/Ob+ | |
|---|---|---|---|---|---|---|---|---|
| ASD+/Ob+/Ob+ | p < 0.001 | p < 0.001 | p = 1.0 | p < 0.001 | p = 1.0 | p < 0.001 | p = 0.61 | |
| ASD+/Ob−/Ob− | p < 0.001 | p = 1.0 | p = 0.001 | p = 1.0 | p < 0.001 | p = 1.0 | p = 0.06 | |
| ASD+/Ob+/Ob− | p < 0.001 | p = 1.0 | p = 0.3 | p = 1.0 | p < 0.001 | p = 1.0 | p = 1.0 | |
| ASD+/Ob−/Ob+ | p = 1.0 | p = 0.001 | p = 0.3 | p = 0.004 | p = 1.0 | p = 0.2 | p = 1.0 | |
| ASD−/Ob−/Ob− | p < 0.001 | p = 1.0 | p = 1.0 | p = 0.004 | p < 0.001 | p = 1.0 | p = 0.15 | |
| ASD−/Ob+/Ob+ | p = 1.0 | p < 0.001 | p < 0.001 | p = 1.0 | p < 0.001 | p < 0.001 | p = 0.49 | |
| ASD−/Ob+/Ob− | p < 0.001 | p = 1.0 | p = 1.0 | p = 0.2 | p = 1.0 | p < 0.001 | p = 1.0 | |
| ASD−/Ob−/Ob+ | p = 0.61 | p = 0.06 | p = 1.0 | p = 1.0 | p = 0.15 | p = 0.49 | p = 1.0 |
| Multivariate Linear Regression | |||||
| n = 258 | BETA | SE a of BETA | B | SE a of B | p-Value |
| Leptin serum levels (ng/mL) Model adjusted for age and gender | |||||
| ASD b (ASD 1, no ASD 2) | −0.067 | 0.03 | −1.43 | 0.7 | 0.042 |
| BMI c (kg/m2) | 0.71 | 0.065 | 2.45 | 0.22 | <0.001 |
| Males | p-Value ← p → | Females | |||||
|---|---|---|---|---|---|---|---|
| n | Median Leptin Level (ng/mL) | Interquartile Range | n | Median Leptin Level (ng/mL) | Interquartile Range | ||
| ASD+/Ob+ | |||||||
| Before puberty | 86 | 23.4 | 13.8 | not significant | 16 | 27.82 | 4.25 |
| After puberty | 67 | 23.2 | 15.3 | not significant | 9 | 25.3 | 10.68 |
| ASD−/Ob+ | |||||||
| Before puberty | 25 | 25.3 | 8.0 | not significant | 28 | 29.2 | 7.65 |
| After puberty | 25 | 21.4 | 23.56 | not significant | 22 | 22.45 | 5.65 |
| ASD+/Ob− | |||||||
| Before puberty | 41 | 4.5 | 3.96 | p < 0.001 | 9 | 11.5 | 3.94 |
| After puberty | 41 | 3.5 | 3.07 | p < 0.001 | 12 | 8.2 | 2.49 |
| ASD−/Ob− | |||||||
| Before puberty | 53 | 2.56 | 0.92 | p < 0.001 | 49 | 4.25 | 1.71 |
| After puberty | 29 | 4.12 | 1.06 | p < 0.01 | 33 | 5.8 | 1.67 |
Disclaimer/Publisher’s Note: The statements, opinions and data contained in all publications are solely those of the individual author(s) and contributor(s) and not of MDPI and/or the editor(s). MDPI and/or the editor(s) disclaim responsibility for any injury to people or property resulting from any ideas, methods, instructions or products referred to in the content. |
© 2023 by the authors. Licensee MDPI, Basel, Switzerland. This article is an open access article distributed under the terms and conditions of the Creative Commons Attribution (CC BY) license (https://creativecommons.org/licenses/by/4.0/).
Share and Cite
Skórzyńska-Dziduszko, K.E.; Makarewicz, A.; Błażewicz, A. Peripubertal Alterations of Leptin Levels in Patients with Autism Spectrum Disorder and Elevated or Normal Body Weight. Int. J. Mol. Sci. 2023, 24, 4878. https://doi.org/10.3390/ijms24054878
Skórzyńska-Dziduszko KE, Makarewicz A, Błażewicz A. Peripubertal Alterations of Leptin Levels in Patients with Autism Spectrum Disorder and Elevated or Normal Body Weight. International Journal of Molecular Sciences. 2023; 24(5):4878. https://doi.org/10.3390/ijms24054878
Chicago/Turabian StyleSkórzyńska-Dziduszko, Katarzyna E., Agata Makarewicz, and Anna Błażewicz. 2023. "Peripubertal Alterations of Leptin Levels in Patients with Autism Spectrum Disorder and Elevated or Normal Body Weight" International Journal of Molecular Sciences 24, no. 5: 4878. https://doi.org/10.3390/ijms24054878
APA StyleSkórzyńska-Dziduszko, K. E., Makarewicz, A., & Błażewicz, A. (2023). Peripubertal Alterations of Leptin Levels in Patients with Autism Spectrum Disorder and Elevated or Normal Body Weight. International Journal of Molecular Sciences, 24(5), 4878. https://doi.org/10.3390/ijms24054878

