The Role of Copper in the Hydrogenation of Furfural and Levulinic Acid
Abstract
1. Introduction
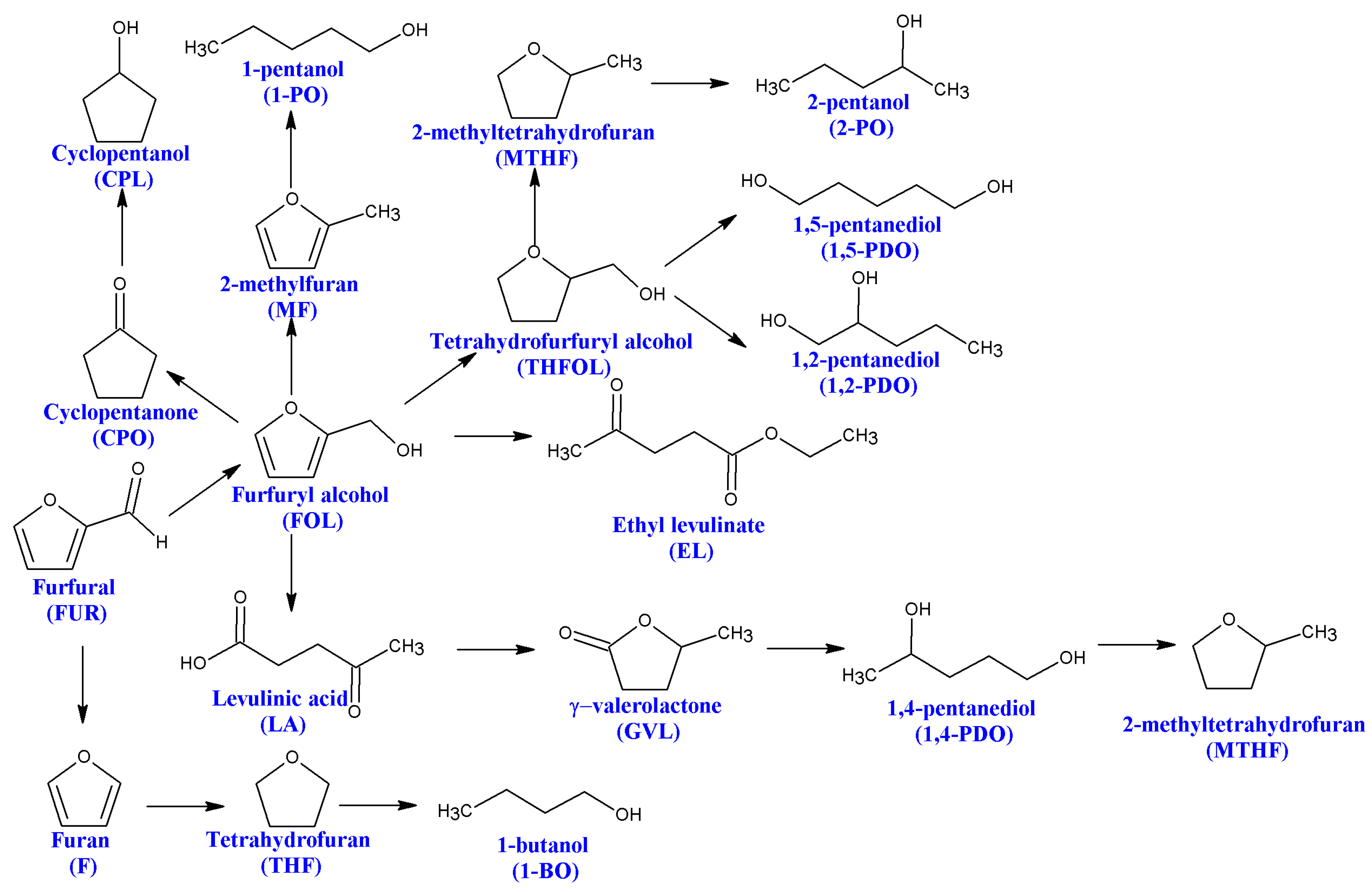
2. Hydrogenation of Furfural
2.1. Hydrogenation of Furfural to Furfuryl Alcohol
2.2. Hydrogenation of Furfural through Catalytic Transfer Hydrogenation
| Catalyst | Hydrogen Source | T (°C) | P (MPa) | t (h) | C a (%) | YFOL b (%) | Ref. |
|---|---|---|---|---|---|---|---|
| Cu/Fe2O3 | Isopropanol | 180 | 0.1 | 7.5 | 37.0 | 28.0 | [87] |
| Cu/Ac-SO3H | Isopropanol | 105 | 0.4 | 2 | >99.9 | >99.9 | [92] |
| Co–Cu/SBA-15 | Isopropanol | 170 | 2 | 4 | 80.1 | 79.6 | [93] |
| Co–Cu/SBA-15 | Isopropanol | 130 | 4 | 3 | - | 94.8 | [94] |
| Cu1Co5 | Isopropanol | 180 | 2 | 5 | 100 | 38.1 | [95] |
| Cu/MgO–Al2O3 | Isopropanol | 210 | - | 1 | >99.9 | 89.3 | [96] |
| Cu/SiO2 | Isopropanol | 110 | 1 | 4 | 66.3 | 66.3 | [97] |
| CuZnAl | Isopropanol | 110 | 1 | 4 | 48.1 | 48.1 | [97] |
| CuMgAl | Isopropanol | 110 | 1 | 4 | 100 | 100 | [97] |
| CuCr | Isopropanol | 110 | 1 | 4 | 93.2 | 93.2 | [97] |
| CuMgAl | Isopropanol | 150 | 1 | 6 | 100 | 100 | [98] |
| Cu/ZnO–Cr2O3-ZrO2 | Isopropanol | 170 | 2 | 3.5 | 100 | 96 | [99] |
| CuNi2.5@C | H2O | 130 | 5 | 5 | 71.6 | 16.7 | [100] |
| Cu/ZrO2 | Isopropanol | 220 | 0.1 | 4 | 98.9 | 38.7 | [101] |
| Cu–Ru/ZrO2 | Isopropanol | 220 | 0.1 | 4 | 100 | 36.3 | [101] |
| Cu–Ni/ZrO2 | Isopropanol | 220 | 0.1 | 4 | 100 | 33.7 | [101] |
| Cu@Pt | Isopropanol | 250 | 0.69 | 1.5 | 15.3 | 13.8 | [102] |
| Cu–Ni/Al2O3 | Isopropanol | 190 | 0.1 | 4 | 90 | 54 | [103] |
| Cu–Ni (bulk) | Decanol | 130 | 5 | 6 | 39 | 39 | [104] |
| Cu/Al2O3 | Methanol | 245 | 1 | 1.5 | >99 | 540 | [105] |
| Cu–Pd/C | 1,4-dioxane | 170 | 0.1 | 3 | 100 | 98.1 | [106] |
| Cu/MgAl2O4 | Formic acid | 210 | - | 1 | 90.0 | 89.1 | [107] |
| Cu–Ni/γ-Al2O3 c | Isopropanol | 130 | 4 | 4 | 92.6 | 86.7 | [108] |
| NiCu/Al2O3 | Isopropanol | 200 | 0.5 | 2 | >99.9 | 50.0 | [109] |
| CoCu/Al2O3 | Isopropanol | 200 | 0.5 | 2 | >99.9 | 63.0 | [109] |
2.3. Hydrogenolysis of Furfural to 2-Methylfuran
2.3.1. Gas-Phase Hydrogenolysis of Furfural to 2-Methylfurane
2.3.2. Liquid-Phase Hydrogenolysis of Furfural to 2-Methylfurane
2.3.3. Conversion of Furfural to 2-Methylfurane through Catalytic Transfer Hydrogenation
| Catalyst | Hydrogen Source | T (°C) | t (h) | C a (%) | YMF b (%) | Ref. |
|---|---|---|---|---|---|---|
| CuPd/ZrO2 | Isopropanol | 220 | 4 | 100 | 61.9 | [101] |
| Cu–Zn–Al | 1,4-butanediol | 225 | 10 | 99.9 | 93.0 | [117] |
| Cu–Zn–Al | Cyclohexanol | 270 | 8 | 99.2 | 93.0 | [152] |
| Cu–Mn–Si | Cyclohexanol | 290 | 8 | 99.8 | 94.0 | [153] |
| Copper–chromite | 1,4-butanediol | 205 | 10 | 99.7 | 94.3 | [154] |
| Cu–FeOx | Isopropanol | 190 | 4 | 98.0 | 82.2 | [155] |
| NiCu/Al2O3 | Formic acid | 210 | 4 | 97.4 | 75.6 | [156] |
| CuRe/Al2O3 | Isopropanol | 220 | 4 | 100 | 94.0 | [157] |
| Cu–Zn–Al | Isopropanol | 180 | 4 | 96.0 | 72.0 | [158] |
| Cu/γAl2O3 | Isopropanol | 200 | 2 | 100 | 20.7 | [109] |
| CoCu/γ-Al2O3 | Isopropanol | 200 | 2 | 100 | 29.0 | [109] |
| NiCu/γ-Al2O3 | Isopropanol | 200 | 2 | 100 | 41.1 | [109] |
| Cuº/Cu2O·SiO2 | Methanol | 220 | 2 | 100 | 90.0 | [159] |
| CuO | Methanol | 240 | 4 | 95.0 | 60.0 | [160] |
| CuFe2O4 | Isopropanol | 200 | 1.5 | 99.4 | 97.0 | [161] |
2.4. Hydrogenation of Furfural to Cyclopentanone
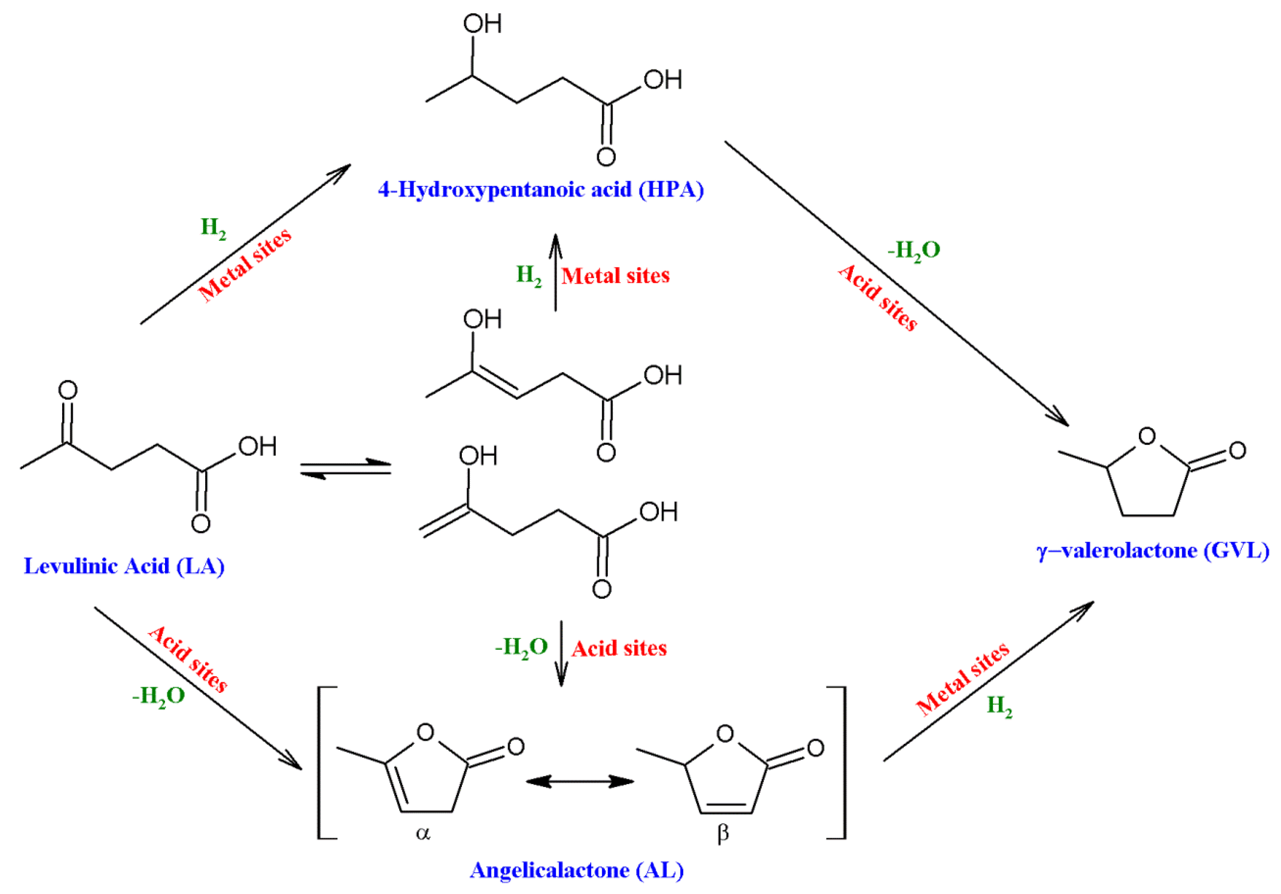
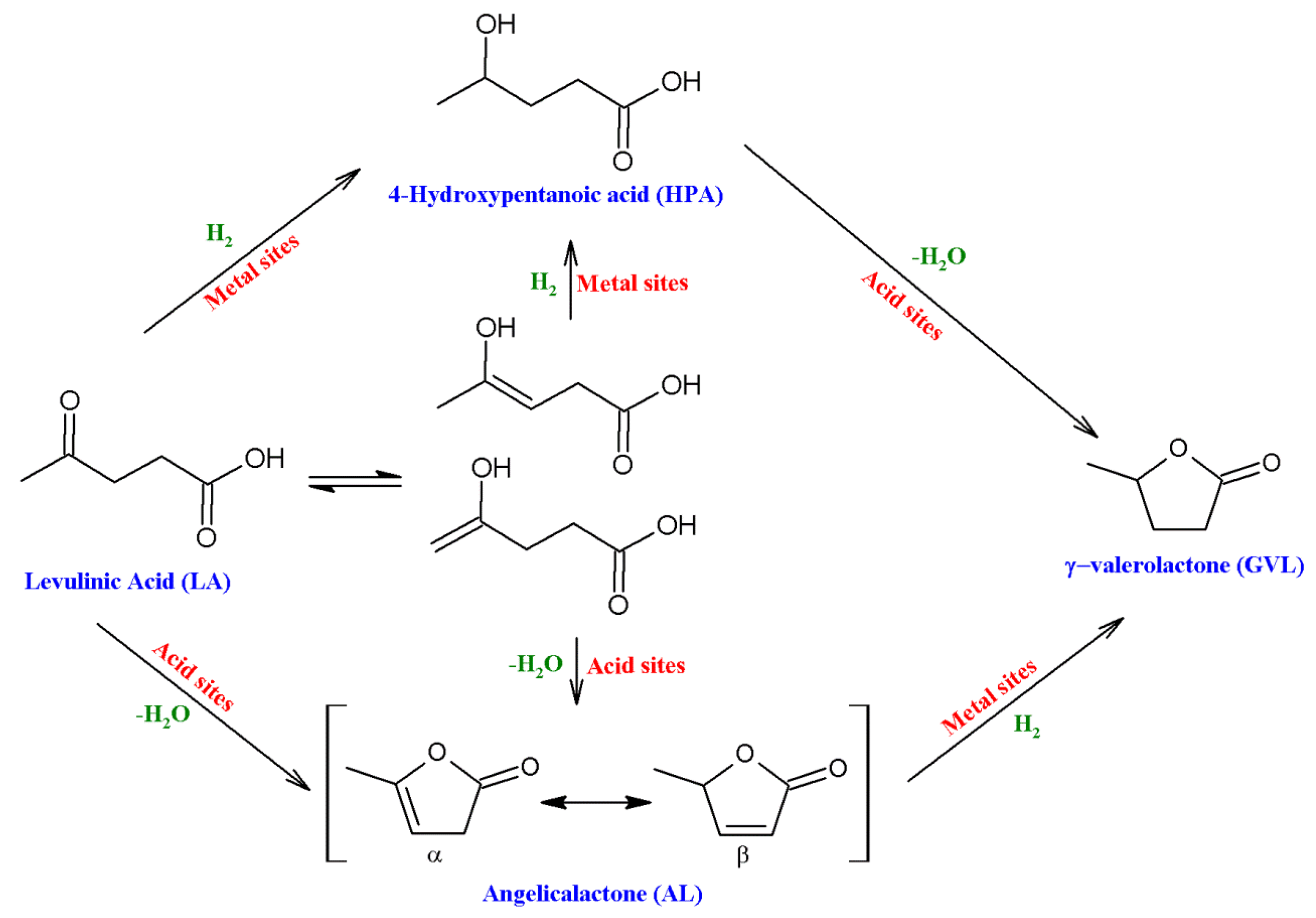
3. Hydrogenation of Levulinic Acid to γ-Valerolactone
3.1. Hydrogenation of Alkyl Levulinate to γ-Valerolactone
3.2. Hydrogenation of Levulinic Acid to 2-Methyltetrahydrofuran
4. Future Outlooks
5. Conclusions
Author Contributions
Funding
Institutional Review Board Statement
Informed Consent Statement
Data Availability Statement
Conflicts of Interest
References
- Werpy, T.; Petersen, G. Top Value Added Chemicals from Biomass; U.S. Department of Energy: Richland, WA, USA, 2004; Volume 1, p. 76. [CrossRef]
- Yan, K.; Wu, G.; Lafleur, T.; Jarvis, C. Production, Properties and Catalytic Hydrogenation of Furfural to Fuel Additives and Value-Added Chemicals. Renew. Sustain. Energy Rev. 2014, 38, 663–676. [Google Scholar] [CrossRef]
- Mariscal, R.; Maireles-Torres, P.; Ojeda, M.; Sádaba, I.; López Granados, M. Furfural: A Renewable and Versatile Platform Molecule for the Synthesis of Chemicals and Fuels. Energy Environ. Sci. 2016, 9, 1144–1189. [Google Scholar] [CrossRef]
- Gilkey, M.J.; Xu, B. Heterogeneous Catalytic Transfer Hydrogenation as an Effective Pathway in Biomass Upgrading. ACS Catal. 2016, 6, 1420–1436. [Google Scholar] [CrossRef]
- Chen, S.; Wojcieszak, R.; Dumeignil, F.; Marceau, E.; Royer, S. How Catalysts and Experimental Conditions Determine the Selective Hydroconversion of Furfural and 5-Hydroxymethylfurfural. Chem. Rev. 2018, 118, 11023–11117. [Google Scholar] [CrossRef] [PubMed]
- Bayan, S.; Beati, E. Furfural and its derivatives as motor fuels. Chim. Ind. 1941, 23, 432–434. [Google Scholar]
- Wang, C.; Xu, H.; Daniel, R.; Ghafourian, A.; Herreros, J.M.; Shuai, S.; Ma, X. Combustion Characteristics and Emissions of 2-Methylfuran Compared to 2,5-Dimethylfuran, Gasoline and Ethanol in a DISI Engine. Fuel 2013, 103, 200–211. [Google Scholar] [CrossRef]
- Scognamiglio, J.; Jones, L.; Letizia, C.S.; Api, A.M. Fragrance Material Review on Cyclopentanone. Food Chem. Toxicol. 2012, 50, S608–S612. [Google Scholar] [CrossRef]
- Siegel, H.; Eggersdorfer, M. Ketones. In Ullman’s Encyclopedia of Industrial Chemistry; Wiley: Hoboken, NJ, USA, 2005. [Google Scholar]
- Gong, W.; Chen, C.; Fan, R.; Zhang, H.; Wang, G.; Zhao, H. Transfer-Hydrogenation of Furfural and Levulinic Acid over Supported Copper Catalyst. Fuel 2018, 231, 165–171. [Google Scholar] [CrossRef]
- Hengne, A.M.; Rode, C.V. Cu-ZrO2 nanocomposite Catalyst for Selective Hydrogenation of Levulinic Acid and Its Ester to γ-Valerolactone. Green Chem. 2012, 14, 1064–1072. [Google Scholar] [CrossRef]
- Luo, W.; Sankar, M.; Beale, A.M.; He, Q.; Kiely, C.J.; Bruijnincx, P.C.A.; Weckhuysen, B.M. High Performing and Stable Supported Nano-Alloys for the Catalytic Hydrogenation of Levulinic Acid to γ-Valerolactone. Nat. Commun. 2015, 6, 6540. [Google Scholar] [CrossRef]
- Cen, Y.; Zhu, S.; Guo, J.; Chai, J.; Jiao, W.; Wang, J.; Fan, W. Supported Cobalt Catalysts for the Selective Hydrogenation of Ethyl Levulinate to Various Chemicals. RSC Adv. 2018, 8, 9152–9160. [Google Scholar] [CrossRef]
- Upare, P.P.; Lee, J.M.; Hwang, Y.K.; Hwang, D.W.; Lee, J.-H.; Halligudi, S.B.; Hwang, J.S. Direct Hydrocyclization of Biomass-Derived Levulinic Acid to 2-Methyltetrahydrofuran over Nanocomposite Copper/Silica Catalysts. ChemSusChem 2011, 4, 1749–1752. [Google Scholar] [CrossRef]
- Fernandes, D.R.; Rocha, A.S.; Mai, E.F.; Mota, C.J.A.; Teixeira Da Silva, V. Levulinic Acid Esterification with Ethanol to Ethyl Levulinate Production over Solid Acid Catalysts. Appl. Catal. A Gen. 2012, 425–426, 199–204. [Google Scholar] [CrossRef]
- Kang, S.; Fu, J.; Zhang, G. From Lignocellulosic Biomass to Levulinic Acid: A Review on Acid-Catalyzed Hydrolysis. Renew. Sustain. Energy Rev. 2018, 94, 340–362. [Google Scholar] [CrossRef]
- Lange, J.P.; Price, R.; Ayoub, P.M.; Louis, J.; Petrus, L.; Clarke, L.; Gosselink, H. Valeric Biofuels: A Platform of Cellulosic Transportation Fuels. Angew. Chem. Int. Ed. 2010, 49, 4479–4483. [Google Scholar] [CrossRef]
- Alonso, D.M.; Wettstein, S.G.; Dumesic, J.A. Gamma-Valerolactone, a Sustainable Platform Molecule Derived from Lignocellulosic Biomass. Green Chem. 2013, 15, 584–595. [Google Scholar] [CrossRef]
- Wright, W.R.H.; Palkovits, R. Development of Heterogeneous Catalysts for the Conversion of Levulinic Acid to γ-Valerolactone. ChemSusChem 2012, 5, 1657–1667. [Google Scholar] [CrossRef]
- Yoshida, R.; Sun, D.; Yamada, Y.; Sato, S. Stable Cu-Ni/SiO2 Catalysts Prepared by Using Citric Acid-Assisted Impregnation for Vapor-Phase Hydrogenation of Levulinic Acid. Mol. Catal. 2018, 454, 70–76. [Google Scholar] [CrossRef]
- Tang, X.; Li, Z.; Zeng, X.; Jiang, Y.; Liu, S.; Lei, T.; Sun, Y.; Lin, L. In Situ Catalytic Hydrogenation of Biomass-Derived Methyl Levulinate to γ-Valerolactone in Methanol. ChemSusChem 2015, 8, 1601–1607. [Google Scholar] [CrossRef]
- Fábos, V.; Koczó, G.; Mehdi, H.; Boda, L.; Horváth, I.T. Bio-Oxygenates and the Peroxide Number: A Safety Issue Alert. Energy Environ. Sci. 2009, 2, 767–769. [Google Scholar] [CrossRef]
- Xu, Q.; Li, X.; Pan, T.; Yu, C.; Deng, J.; Guo, Q.; Fu, Y. Supported Copper Catalysts for Highly Efficient Hydrogenation of Biomass-Derived Levulinic Acid and γ-Valerolactone. Green Chem. 2016, 18, 1287–1294. [Google Scholar] [CrossRef]
- Climent, M.J.; Corma, A.; Iborra, S. Converting Carbohydrates to Bulk Chemicals and Fine Chemicals over Heterogeneous Catalysts. Green Chem. 2011, 13, 520. [Google Scholar] [CrossRef]
- Climent, M.J.; Corma, A.; Iborra, S. Conversion of Biomass Platform Molecules into Fuel Additives and Liquid Hydrocarbon Fuels. Green Chem. 2014, 16, 516–547. [Google Scholar] [CrossRef]
- Upare, P.P.; Lee, M.; Lee, S.-K.; Yoon, J.W.; Bae, J.; Hwang, D.W.; Lee, U.-H.; Chang, J.-S.; Hwang, Y.K. Ru Nanoparticles Supported Graphene Oxide Catalyst for Hydrogenation of Bio-Based Levulinic Acid to Cyclic Ethers. Catal. Today 2015, 265, 174–183. [Google Scholar] [CrossRef]
- Son, P.A.; Nishimura, S.; Ebitani, K. Production of γ-Valerolactone from Biomass-Derived Compounds Using Formic Acid as a Hydrogen Source over Supported Metal Catalysts in Water Solvent. RSC Adv. 2014, 4, 10525–10530. [Google Scholar] [CrossRef]
- Patankar, S.C.; Yadav, G.D. Cascade Engineered Synthesis of γ-Valerolactone, 1,4-Pentanediol, and 2-Methyltetrahydrofuran from Levulinic Acid Using Pd-Cu/ZrO2Catalyst in Water as Solvent. ACS Sustain. Chem. Eng. 2015, 3, 2619–2630. [Google Scholar] [CrossRef]
- Ishikawa, S.; Jones, D.R.; Iqbal, S.; Reece, C.; Morgan, D.J.; Willock, D.J.; Miedziak, P.J.; Bartley, J.K.; Edwards, J.K.; Murayama, T.; et al. Identification of the Catalytically Active Component of Cu-Zr-O Catalyst for the Hydrogenation of Levulinic Acid to γ-Valerolactone. Green Chem. 2017, 19, 225–236. [Google Scholar] [CrossRef]
- Levulinic Acid Market Size, Share, Price | Global Industry Report. 2020. Available online: https://www.grandviewresearch.com/industry-analysis/levulinic-acid-market (accessed on 22 January 2023).
- Pace, V.; Hoyos, P.; Castoldi, L.; Domínguez De María, P.; Alcántara, A.R. 2-Methyltetrahydrofuran (2-MeTHF): A Biomass-Derived Solvent with Broad Application in Organic Chemistry. ChemSusChem 2012, 5, 1369–1379. [Google Scholar] [CrossRef]
- Antonucci, V.; Coleman, J.; Ferry, J.B.; Johnson, N.; Mathe, M.; Scott, J.P.; Xu, J. Toxicological Assessment of 2-Methyltetrahydrofuran and Cyclopentyl Methyl Ether in Support of Their Use in Pharmaceutical Chemical Process Development. Org. Process Res. Dev. 2011, 15, 939–941. [Google Scholar] [CrossRef]
- Biddy, M.J.; Scarlata, C.; Kinchin, C. Chemicals from Biomass: A Market Assessment of Bioproducts with Near-Term Potential; National Renewable Energy Laboratory: Golden, CO, USA, 2016.
- Omoruyi, U.; Page, S.; Hallett, J.; Miller, P.W. Homogeneous Catalyzed Reactions of Levulinic Acid: To γ-Valerolactone and Beyond. ChemSusChem 2016, 9, 2037–2047. [Google Scholar] [CrossRef]
- Huber, G.W.; Iborra, S.; Corma, A. Synthesis of Transportation Fuels from Biomass: Chemistry, Catalysts, and Engineering. Chem. Rev. 2006, 106, 4044–4098. [Google Scholar] [CrossRef]
- Yu, I.K.M. Mechanistic Understanding of the Catalytic Hydrogenation of Bio-Derived Aromatics. Green Chem. 2021, 23, 9239–9253. [Google Scholar] [CrossRef]
- Ye, L.; Han, Y.; Feng, J.; Lu, X. A Review about GVL Production from Lignocellulose: Focusing on the Full Components Utilization. Ind. Crops Prod. 2020, 144, 112031. [Google Scholar] [CrossRef]
- Wang, Y.; Zhao, D.; Rodríguez-Padrón, D.; Len, C. Recent Advances in Catalytic Hydrogenation of Furfural. Catalysts 2019, 9, 796. [Google Scholar] [CrossRef]
- Fang, W.; Riisager, A. Recent Advances in Heterogeneous Catalytic Transfer Hydrogenation/Hydrogenolysis for Valorization of Biomass-Derived Furanic Compounds. Green Chem. 2021, 23, 670–688. [Google Scholar] [CrossRef]
- Wang, J.; Xiang, Z.; Huang, Z.; Xu, Q.; Yin, D. Recent Advances on Bifunctional Catalysts for One-Pot Conversion of Furfural to γ-Valerolactone. Front. Chem. 2022, 10, 959572. [Google Scholar] [CrossRef]
- Kwon, Y.; Schouten, K.J.P.; Van Der Waal, J.C.; De Jong, E.; Koper, M.T.M. Electrocatalytic Conversion of Furanic Compounds. ACS Catal. 2016, 6, 6704–6717. [Google Scholar] [CrossRef]
- Li, K.; Sun, Y. Electrocatalytic Upgrading of Biomass-Derived Intermediate Compounds to Value-Added Products. Chem. Eur. J. 2018, 24, 18258–18270. [Google Scholar] [CrossRef]
- Xu, C.; Paone, E.; Rodríguez-Padrón, D.; Luque, R.; Mauriello, F. Recent Catalytic Routes for the Preparation and the Upgrading of Biomass Derived Furfural and 5-Hydroxymethylfurfural. Chem. Soc. Rev. 2020, 49, 4273–4306. [Google Scholar] [CrossRef]
- Li, N.; Zong, M.H. (Chemo)Biocatalytic Upgrading of Biobased Furanic Platforms to Chemicals, Fuels, and Materials: A Comprehensive Review. ACS Catal. 2022, 12, 10080–10114. [Google Scholar] [CrossRef]
- Becerra, M.L.; Prieto, G.A.; Rendueles, M.; Diaz, M. Biological Transformations of Furanic Platform Molecules to Obtain Biomass-Derived Furans: A Review. Biomass Convers. Biorefin. 2022. [Google Scholar] [CrossRef]
- Ricard, E.; Guinot, H.M. Process for the Manufacture of Furfuryl Alcohol and Methylfurane. U.S. Patent 1,739,919, 17 December 1929. [Google Scholar]
- Lazier, W.A. Process for Hydrogenating Furfural. U.S. Patent 2,077,422, 20 April 1937. [Google Scholar]
- Swadesh, S. Catalytic Production of Furfuryl Alcohol and Catalyst Therefor. U.S. Patent 2,754,304, 10 July 1956. [Google Scholar]
- Hansen, J.B.; Nielsen, P.E.H. Handbook of Heterogeneous Catalysis; Ertl, G., Knozinger, H., Schuth, F., Weitkamp, J., Eds.; Wiley-VCH Verlag GmbH & Co. KGaA: Weinheim, Germany, 2008. [Google Scholar]
- Rao, R.; Dandekar, A.; Baker, R.T.K.; Vannice, M.A.; Baker, T.K.; Vannice, M.A.; Baker, R.T.K.; Vannice, M.A. Properties of Copper Chromite Catalysts in Hydrogenation Reactions. J. Catal. 1997, 171, 406–419. [Google Scholar] [CrossRef]
- Liu, D.; Zemlyanov, D.; Wu, T.; Lobo-Lapidus, R.J.; Dumesic, J.A.; Miller, J.T.; Marshall, C.L. Deactivation Mechanistic Studies of Copper Chromite Catalyst for Selective Hydrogenation of 2-Furfuraldehyde. J. Catal. 2013, 299, 336–345. [Google Scholar] [CrossRef]
- Zhang, H.; Canlas, C.; Jeremy Kropf, A.; Elam, J.W.; Dumesic, J.A.; Marshall, C.L. Enhancing the Stability of Copper Chromite Catalysts for the Selective Hydrogenation of Furfural with ALD Overcoating (II)—Comparison between TiO2 and Al2O3 Overcoatings. J. Catal. 2015, 326, 172–181. [Google Scholar] [CrossRef]
- Zhang, H.; Lei, Y.; Kropf, A.J.; Zhang, G.; Elam, J.W.; Miller, J.T.; Sollberger, F.; Ribeiro, F.; Akatay, M.C.; Stach, E.A.; et al. Enhancing the Stability of Copper Chromite Catalysts for the Selective Hydrogenation of Furfural Using ALD Overcoating. J. Catal. 2014, 317, 284–292. [Google Scholar] [CrossRef]
- Boronat, M.; May, M.; Illas, F. Origin of Chemoselective Behavior of S-Covered Cu(1 1 1) towards Catalytic Hydrogenation of Unsaturated Aldehydes. Surf. Sci. 2008, 602, 3284–3290. [Google Scholar] [CrossRef]
- Sitthisa, S.; Sooknoi, T.; Ma, Y.G.; Balbuena, P.B.; Resasco, D.E. Kinetics and Mechanism of Hydrogenation of Furfural on Cu/SiO2 Catalysts. J. Catal. 2011, 277, 1–13. [Google Scholar] [CrossRef]
- Sitthisa, S.; Resasco, D.E. Hydrodeoxygenation of Furfural over Supported Metal Catalysts: A Comparative Study of Cu, Pd and Ni. Catal. Lett. 2011, 141, 784–791. [Google Scholar] [CrossRef]
- Rioux, R.M.; Vannice, M.A. Hydrogenation/Dehydrogenation Reactions: Isopropanol Dehydrogenation over Copper Catalysts. J. Catal. 2003, 216, 362–376. [Google Scholar] [CrossRef]
- Shi, Y.; Zhu, Y.; Yang, Y.; Li, Y.-W.; Jiao, H. Exploring Furfural Catalytic Conversion on Cu(111) from Computation. ACS Catal. 2015, 5, 4020–4032. [Google Scholar] [CrossRef]
- Liu, S.; Govindarajan, N.; Chan, K. Understanding Activity Trends in Furfural Hydrogenation on Transition Metal Surfaces. ACS Catal. 2022, 12, 12902–12910. [Google Scholar] [CrossRef]
- De Vrieze, J.E.; Thybaut, J.W.; Saeys, M. Role of Surface Hydroxyl Species in Copper-Catalyzed Hydrogenation of Ketones. ACS Catal. 2018, 8, 7539–7548. [Google Scholar] [CrossRef]
- Dong, F.; Zhu, Y.; Zheng, H.; Zhu, Y.; Li, X.; Li, Y. Cr-Free Cu-Catalysts for the Selective Hydrogenation of Biomass-Derived Furfural to 2-Methylfuran: The Synergistic Effect of Metal and Acid Sites. J. Mol. Catal. A Chem. 2015, 398, 140–148. [Google Scholar] [CrossRef]
- Jiménez-Gómez, C.P.; Cecilia, J.A.; Moreno-Tost, R.; Maireles-Torres, P. Selective Production of 2-Methylfuran by Gas-Phase Hydrogenation of Furfural on Copper Incorporated by Complexation in Mesoporous Silica Catalysts. ChemSusChem 2017, 10, 1448–1459. [Google Scholar] [CrossRef]
- Liu, J.; Liu, D.; Zhang, Y.; Wang, J.; Li, H.; Zhou, L.; Wu, S. Multiple Cores-Shell Structured Cu@SiO2 Ultrathin Leaf-Shaped Nanocomposite: Facile Fabrication and Excellent Selective Catalytic Hydrogenation Performance. ChemistrySelect 2018, 3, 4643–4652. [Google Scholar] [CrossRef]
- Ghashghaee, M.; Ghambarian, M.; Azizi, Z. Molecular-Level Insights into Furfural Hydrogenation Intermediates over Single-Atomic Cu Catalysts on Magnesia and Silica Nanoclusters. Mol. Simul. 2018, 7022, 154–163. [Google Scholar] [CrossRef]
- Nagaraja, B.M.; Siva Kumar, V.; Shasikala, V.; Padmasri, A.H.; Sreedhar, B.; David Raju, B.; Rama Rao, K.S. A Highly Efficient Cu/MgO Catalyst for Vapour Phase Hydrogenation of Furfural to Furfuryl Alcohol. Catal. Commun. 2003, 4, 287–293. [Google Scholar] [CrossRef]
- Nagaraja, B.M.; Padmasri, A.H.; Raju, B.D.; Rao, K.S.R.; David Raju, B.; Rama Rao, K.S.; Raju, B.D.; Rao, K.S.R. Vapor Phase Selective Hydrogenation of Furfural to Furfuryl Alcohol over Cu-MgO Coprecipitated Catalysts. J. Mol. Catal. A Chem. 2007, 265, 90–97. [Google Scholar] [CrossRef]
- Sadjadi, S.; Farzaneh, V.; Shirvani, S.; Ghashghaee, M. Preparation of Cu-MgO Catalysts with Different Copper Precursors and Precipitating Agents for the Vapor-Phase Hydrogenation of Furfural. Korean J. Chem. Eng. 2017, 34, 692–700. [Google Scholar] [CrossRef]
- Shirvani, S.; Ghashghaee, M.; Farzaneh, V.; Sadjadi, S. Influence of Catalyst Additives on Vapor-Phase Hydrogenation of Furfural to Furfuryl Alcohol on Impregnated Copper/Magnesia. Biomass Convers. Biorefin. 2018, 8, 79–86. [Google Scholar] [CrossRef]
- Ghashghaee, M.; Sadjadi, S.; Shirvani, S.; Farzaneh, V. A Novel Consecutive Approach for the Preparation of Cu–MgO Catalysts with High Activity for Hydrogenation of Furfural to Furfuryl Alcohol. Catal. Lett. 2017, 147, 318–327. [Google Scholar] [CrossRef]
- Jiménez-Gómez, C.P.; Cecilia, J.A.; Durán-Martín, D.; Moreno-Tost, R.; Santamaría-González, J.; Mérida-Robles, J.; Mariscal, R.; Maireles-Torres, P. Gas-Phase Hydrogenation of Furfural to Furfuryl Alcohol over Cu/ZnO Catalysts. J. Catal. 2016, 336, 107–115. [Google Scholar] [CrossRef]
- Yang, X.; Xiang, X.; Chen, H.; Zheng, H.; Li, Y.W.; Zhu, Y. Efficient Synthesis of Furfuryl Alcohol and 2-Methylfuran from Furfural over Mineral-Derived Cu/ZnO Catalysts. ChemCatChem 2017, 9, 3023–3030. [Google Scholar] [CrossRef]
- Kuld, S.; Conradsen, C.; Moses, P.G.; Chorkendorff, I.; Sehested, J. Quantification of Zinc Atoms in a Surface Alloy on Copper in an Industrial-Type Methanol Synthesis Catalyst. Angew. Chem. Int. Ed. 2014, 53, 5941–5945. [Google Scholar] [CrossRef]
- Yang, X.; Meng, Q.; Ding, G.; Wang, Y.; Chen, H.; Zhu, Y.L.; Li, Y.W. Construction of Novel Cu/ZnO-Al2O3 Composites for Furfural Hydrogenation: The Role of Al Components. Appl. Catal. A Gen. 2018, 561, 78–86. [Google Scholar] [CrossRef]
- Venkatesha, N.J.; Ramesh, S. Citric Acid-Assisted Synthesis of Nanoparticle Copper Catalyst Supported on an Oxide System for the Reduction of Furfural to Furfuryl Alcohol in the Vapor Phase. Ind. Eng. Chem. Res. 2018, 57, 1506–1515. [Google Scholar] [CrossRef]
- Jiménez-Gómez, C.P.; Cecilia, J.A.; Márquez-Rodríguez, I.; Moreno-Tost, R.; Santamaría-González, J.; Mérida-Robles, J.; Maireles-Torres, P. Gas-Phase Hydrogenation of Furfural over Cu/CeO2 Catalysts. Catal. Today 2017, 279, 327–338. [Google Scholar] [CrossRef]
- Jackson, M.A.; White, M.G.; Haasch, R.T.; Peterson, S.C.; Blackburn, J.A. Hydrogenation of Furfural at the Dynamic Cu Surface of CuOCeO2/Al2O3 in a Vapor Phase Packed Bed Reactor. Mol. Catal. 2018, 445, 124–132. [Google Scholar] [CrossRef]
- Vargas-Hernández, D.; Rubio-Caballero, J.M.; Santamaría-González, J.; Moreno-Tost, R.; Mérida-Robles, J.M.; Pérez-Cruz, M.A.; Jiménez-López, A.; Hernández-Huesca, R.; Maireles-Torres, P. Furfuryl Alcohol from Furfural Hydrogenation over Copper Supported on SBA-15 Silica Catalysts. J. Mol. Catal. A Chem. 2014, 383–384, 106–113. [Google Scholar] [CrossRef]
- Jiménez-Gómez, C.P.; Cecilia, J.A.; Moreno-Tost, R.; Maireles-Torres, P. Selective Furfural Hydrogenation to Furfuryl Alcohol Using Cu-Based Catalysts Supported on Clay Minerals. Top. Catal. 2017, 60, 1040–1053. [Google Scholar] [CrossRef]
- Jiménez-Gómez, C.P.; Cecilia, J.A.; Franco-Duro, F.I.; Pozo, M.; Moreno-Tost, R.; Maireles-Torres, P. Promotion Effect of Ce or Zn Oxides for Improving Furfuryl Alcohol Yield in the Furfural Hydrogenation Using Inexpensive Cu-Based Catalysts. Mol. Catal. 2018, 455, 121–131. [Google Scholar] [CrossRef]
- Reddy, B.M.; Reddy, G.K.; Rao, K.N.; Khan, A.; Ganesh, I. Silica Supported Transition Metal-Based Bimetallic Catalysts for Vapour Phase Selective Hydrogenation of Furfuraldehyde. J. Mol. Catal. A Chem. 2007, 265, 276–282. [Google Scholar] [CrossRef]
- Wu, J.; Shen, Y.M.; Liu, C.H.; Wang, H.B.; Geng, C.; Zhang, Z.X. Vapor Phase Hydrogenation of Furfural to Furfuryl Alcohol over Environmentally Friendly Cu-Ca/SiO2 Catalyst. Catal. Commun. 2005, 6, 633–637. [Google Scholar] [CrossRef]
- Seo, G.; Chon, H. Hydrogenation of Furfural over Copper-Containing Catalysts. J. Catal. 1981, 67, 424–429. [Google Scholar] [CrossRef]
- Guerrero-Torres, A.; Jiménez-Gómez, C.P.; Cecilia, J.A.; García-Sancho, C.; Quirante-Sánchez, J.J.; Mérida-Robles, J.M.; Maireles-Torres, P. Influence of the Incorporation of Basic or Amphoteric Oxides on the Performance of Cu-Based Catalysts Supported on Sepiolite in Furfural Hydrogenation. Catalysts 2019, 9, 315. [Google Scholar] [CrossRef]
- O’Neill, B.J.; Miller, J.T.; Dietrich, P.J.; Sollberger, F.G.; Ribeiro, F.H.; Dumesic, J.A. Operando X-ray Absorption Spectroscopy Studies of Sintering for Supported Copper Catalysts during Liquid-Phase Reaction. ChemCatChem 2014, 6, 2493–2496. [Google Scholar] [CrossRef]
- Xu, C.H.; Zheng, L.K.; Deng, D.F.; Liu, J.Y.; Liu, S.Y. Effect of Activation Temperature on the Surface Copper Particles and Catalytic Properties of Cu-Ni-Mg-Al Oxides from Hydrotalcite-like Precursors. Catal. Commun. 2011, 12, 996–999. [Google Scholar] [CrossRef]
- Lesiak, M.; Binczarski, M.; Karski, S.; Maniukiewicz, W.; Rogowski, J.; Szubiakiewicz, E.; Berlowska, J.; Dziugan, P.; Witońska, I. Hydrogenation of Furfural over Pd-Cu/Al2O3 Catalysts. The Role of Interaction between Palladium and Copper on Determining Catalytic Properties. J. Mol. Catal. A Chem. 2014, 395, 337–348. [Google Scholar] [CrossRef]
- Scholz, D.; Aellig, C.; Hermans, I. Catalytic Transfer Hydrogenation/Hydrogenolysis for Reductive Upgrading of Furfural and 5-(Hydroxymethyl)Furfural. ChemSusChem 2014, 7, 268–275. [Google Scholar] [CrossRef]
- Huang, L.; Zhu, Y.; Huo, C.; Zheng, H.; Feng, G.; Zhang, C.; Li, Y. Mechanistic Insight into the Heterogeneous Catalytic Transfer Hydrogenation over Cu/Al2O3: Direct Evidence for the Assistant Role of Support. J. Mol. Catal. A Chem. 2008, 288, 109–115. [Google Scholar] [CrossRef]
- Pellet, R.J. Hydrogen Transfer Catalysis by Platinum on Zeolites. J. Catal. 1998, 177, 40–52. [Google Scholar] [CrossRef]
- Sawadjoon, S.; Lundstedt, A.; Samec, J.S.M. Pd-Catalyzed Transfer Hydrogenolysis of Primary, Secondary, and Tertiary Benzylic Alcohols by Formic Acid: A Mechanistic Study. ACS Catal. 2013, 3, 635–642. [Google Scholar] [CrossRef]
- Rajagopal, S.; Spatola, A.F. Palladium-Catalyzed Transfer Hydrogenolysis of Benzyl Acetate with Ammonium Formate. Appl. Catal. A Gen. 1997, 152, 69–81. [Google Scholar] [CrossRef]
- Gong, W.; Chen, C.; Zhang, Y.; Zhou, H.; Wang, H.; Zhang, H.; Zhang, Y.; Wang, G.; Zhao, H. Efficient Synthesis of Furfuryl Alcohol from H2-Hydrogenation/Transfer Hydrogenation of Furfural Using Sulfonate Group Modified Cu Catalyst. ACS Sustain. Chem. Eng. 2017, 5, 2172–2180. [Google Scholar] [CrossRef]
- Srivastava, S.; Mohanty, P.; Parikh, J.K.; Dalai, A.K.; Amritphale, S.S.; Khare, A.K. Cr-Free Co-Cu/SBA-15 Catalysts for Hydrogenation of Biomass-Derived α-, β-Unsaturated Aldehyde to Alcohol. Cuihua Xuebao Chin. J. Catal. 2015, 36, 933–942. [Google Scholar] [CrossRef]
- Srivastava, S.; Solanki, N.; Mohanty, P.; Shah, K.A.; Parikh, J.K.J.; Dalai, A. Optimization and Kinetic Studies on Hydrogenation of Furfural to Furfuryl Alcohol over SBA-15 Supported Bimetallic Copper-Cobalt Catalyst. Catal. Lett. 2015, 145, 816–823. [Google Scholar] [CrossRef]
- Nguyen-Huy, C.; Lee, H.; Lee, J.; Kwak, J.H.; An, K. Mesoporous Mixed CuCo Oxides as Robust Catalysts for Liquid-Phase Furfural Hydrogenation. Appl. Catal. A Gen. 2019, 571, 118–126. [Google Scholar] [CrossRef]
- Chen, H.; Ruan, H.; Lu, X.; Fu, J.; Langrish, T.; Lu, X. Efficient Catalytic Transfer Hydrogenation of Furfural to Furfuryl Alcohol in Near-Critical Isopropanol over Cu/MgO-Al2O3 Catalyst. Mol. Catal. 2018, 445, 94–101. [Google Scholar] [CrossRef]
- Villaverde, M.M.; Bertero, N.M.; Garetto, T.F.; Marchi, A.J. Selective Liquid-Phase Hydrogenation of Furfural to Furfuryl Alcohol over Cu-Based Catalysts. Catal. Today 2013, 213, 87–92. [Google Scholar] [CrossRef]
- Villaverde, M.M.M.M.; Garetto, T.F.T.F.; Marchi, A.J.A.J. Liquid-Phase Transfer Hydrogenation of Furfural to Furfuryl Alcohol on Cu-Mg-Al Catalysts. Catal. Commun. 2014, 58, 6–10. [Google Scholar] [CrossRef]
- Sharma, R.V.; Das, U.; Sammynaiken, R.; Dalai, A.K. Liquid Phase Chemo-Selective Catalytic Hydrogenation of Furfural to Furfuryl Alcohol. Appl. Catal. A Gen. 2013, 454, 127–136. [Google Scholar] [CrossRef]
- Wang, Y.; Sang, S.; Zhu, W.; Gao, L.; Xiao, G. CuNi@C Catalysts with High Activity Derived from Metal-Organic Frameworks Precursor for Conversion of Furfural to Cyclopentanone. Chem. Eng. J. 2016, 299, 104–111. [Google Scholar] [CrossRef]
- Chang, X.; Liu, A.-F.; Cai, B.; Luo, J.-Y.; Pan, H.; Huang, Y.-B.; Chang, X.; Huang, Y.-B.; Cai, B. Catalytic Transfer Hydrogenation of Furfural to 2-Methylfuran and 2-Methyltetrahydrofuran over Bimetallic Copper-Palladium Catalysts. ChemSusChem 2016, 9, 3330–3337. [Google Scholar] [CrossRef] [PubMed]
- Zhang, C.; Lai, Q.; Holles, J.H. Bimetallic Overlayer Catalysts with High Selectivity and Reactivity for Furfural Hydrogenation. Catal. Commun. 2017, 89, 77–80. [Google Scholar] [CrossRef]
- Zhang, Z.; Pei, Z.; Chen, H.; Chen, K.; Hou, Z.; Lu, X.; Ouyang, P.; Fu, J. Catalytic In-Situ Hydrogenation of Furfural over Bimetallic Cu-Ni Alloy Catalysts in Isopropanol. Ind. Eng. Chem. Res. 2018, 57, 4225–4230. [Google Scholar] [CrossRef]
- Khromova, S.A.; Bykova, M.V.; Bulavchenko, O.A.; Ermakov, D.Y.; Saraev, A.A.; Kaichev, V.V.; Venderbosch, R.H.; Yakovlev, V.A. Furfural Hydrogenation to Furfuryl Alcohol over Bimetallic Ni–Cu Sol–Gel Catalyst: A Model Reaction for Conversion of Oxygenates in Pyrolysis Liquids. Top. Catal. 2016, 59, 1413–1423. [Google Scholar] [CrossRef]
- Zhang, J.; Chen, J. Selective Transfer Hydrogenation of Biomass-Based Furfural and 5-Hydroxymethylfurfural over Hydrotalcite-Derived Copper Catalysts Using Methanol as a Hydrogen Donor. ACS Sustain. Chem. Eng. 2017, 5, 5982–5993. [Google Scholar] [CrossRef]
- Du, J.; Zhang, J.; Sun, Y.; Jia, W.; Si, Z.; Gao, H.; Tang, X.; Zeng, X.; Lei, T.; Liu, S.; et al. Catalytic Transfer Hydrogenation of Biomass-Derived Furfural to Furfuryl Alcohol over In-Situ Prepared Nano Cu-Pd/C Catalyst Using Formic Acid as Hydrogen Source. J. Catal. 2018, 368, 69–78. [Google Scholar] [CrossRef]
- Nagaiah, P.; Gidyonu, P.; Ashokraju, M.; Rao, M.V.; Challa, P.; Burri, D.R.; Kamaraju, S.R.R. Magnesium Aluminate Supported Cu Catalyst for Selective Transfer Hydrogenation of Biomass Derived Furfural to Furfuryl Alcohol with Formic Acid as Hydrogen Donor. ChemistrySelect 2019, 4, 145–151. [Google Scholar] [CrossRef]
- Srivastava, S.; Jadeja, G.C.; Parikh, J. Copper-Cobalt Catalyzed Liquid Phase Hydrogenation of Furfural to 2-Methylfuran: An Optimization, Kinetics and Reaction Mechanism Study. Chem. Eng. Res. Des. 2018, 132, 313–324. [Google Scholar] [CrossRef]
- Kalong, M.; Hongmanorom, P.; Ratchahat, S.; Koo-amornpattana, W.; Faungnawakij, K.; Assabumrungrat, S.; Srifa, A.; Kawi, S. Hydrogen-Free Hydrogenation of Furfural to Furfuryl Alcohol and 2-Methylfuran over Ni and Co-Promoted Cu/γ-Al2O3 Catalysts. Fuel Process. Technol. 2021, 214, 106721. [Google Scholar] [CrossRef]
- Panagiotopoulou, P.; Martin, N.; Vlachos, D.G. Effect of Hydrogen Donor on Liquid Phase Catalytic Transfer Hydrogenation of Furfural over a Ru/RuO2/C Catalyst. J. Mol. Catal. A Chem. 2014, 392, 223–228. [Google Scholar] [CrossRef]
- Yang, Z.; Huang, Y.B.; Guo, Q.X.; Fu, Y. RANEY® Ni Catalyzed Transfer Hydrogenation of Levulinate Esters to γ-Valerolactone at Room Temperature. Chem. Commun. 2013, 49, 5328–5330. [Google Scholar] [CrossRef]
- Bonrath, W.; Castelijns, A.M.C.F.; De Vries, J.G.; Guit, R.P.M.; Schütz, J.; Sereinig, N.; Vaessen, H.W.L.M. Gas Phase Hydrogenation of Levulinic Acid to γ-Valerolactone. Catal. Letters 2016, 146, 28–34. [Google Scholar] [CrossRef]
- Putrakumar, B.; Nagaraju, N.; Kumar, V.P.; Chary, K.V.R. Hydrogenation of Levulinic Acid to γ-Valerolactone over Copper Catalysts Supported on γ-Al2O3. Catal. Today 2015, 250, 209–217. [Google Scholar] [CrossRef]
- Zeitsch, K.J. Furfuryl Alcohol. In The Chemistry and Technology of Furfural and Its Many By-Products; Elsevier: Amsterdam, The Netherlands, 2000; pp. 150–155. [Google Scholar]
- Corma, A.; De La Torre, O.; Renz, M.; Villandier, N. Production of High-Quality Diesel from Biomass Waste Products. Angew. Chem. Int. Ed. 2011, 50, 2375–2378. [Google Scholar] [CrossRef]
- Zhu, Y.L.; Xiang, H.W.; Li, Y.W.; Jiao, H.J.; Wu, G.S.; Zhong, B.; Guo, G.Q. A New Strategy for the Efficient Synthesis of 2-Methylfuran and Gamma-Butyrolactone. New J. Chem. 2003, 27, 208–210. [Google Scholar] [CrossRef]
- Yang, J.; Zheng, H.Y.; Zhu, Y.L.; Zhao, G.W.; Zhang, C.H.; Teng, B.T.; Xiang, H.W.; Li, Y.W. Effects of Calcination Temperature on Performance of Cu-Zn-Al Catalyst for Synthesizing Gamma-Butyrolactone and 2-Methylfuran through the Coupling of Dehydrogenation and Hydrogenation. Catal. Commun. 2004, 5, 505–510. [Google Scholar] [CrossRef]
- Xiu, S.; Shahbazi, A. Bio-Oil Production and Upgrading Research: A Review. Renew. Sustain. Energy Rev. 2012, 16, 4406–4414. [Google Scholar] [CrossRef]
- Nakagawa, Y.; Tamura, M.; Tomishige, K. Catalytic Reduction of Biomass-Derived Furanic Compounds with Hydrogen. ACS Catal. 2013, 3, 2655–2668. [Google Scholar] [CrossRef]
- Zheng, H.Y.; Zhu, Y.L.; Teng, B.T.; Bai, Z.Q.; Zhang, C.H.; Xiang, H.W.; Li, Y.W. Towards Understanding the Reaction Pathway in Vapour Phase Hydrogenation of Furfural to 2-Methylfuran. J. Mol. Catal. A Chem. 2006, 246, 18–23. [Google Scholar] [CrossRef]
- Holdren, R.F. Manufacture of Methylfuran. U.S. Patent 2,445,714, 20 July 1948. [Google Scholar]
- Deutsch, K.L.; Shanks, B.H. Active Species of Copper Chromite Catalyst in C-O Hydrogenolysis of 5-Methylfurfuryl Alcohol. J. Catal. 2012, 285, 235–241. [Google Scholar] [CrossRef]
- Yan, K.; Liao, J.; Wu, X.; Xie, X. A Noble-Metal Free Cu-Catalyst Derived from Hydrotalcite for Highly Efficient Hydrogenation of Biomass-Derived Furfural and Levulinic Acid. RSC Adv. 2013, 3, 3853–3856. [Google Scholar] [CrossRef]
- Biradar, N.S.; Hengne, A.A.; Birajdar, S.N.; Swami, R.; Rode, C.V. Tailoring the Product Distribution with Batch and Continuous Process Options in Catalytic Hydrogenation of Furfural. Org. Process Res. Dev. 2014, 18, 1434–1442. [Google Scholar] [CrossRef]
- Chen, B.; Li, F.; Huang, Z.; Yuan, G. Tuning Catalytic Selectivity of Liquid-Phase Hydrogenation of Furfural via Synergistic Effects of Supported Bimetallic Catalysts. Appl. Catal. A Gen. 2015, 500, 23–29. [Google Scholar] [CrossRef]
- Panagiotopoulou, P.; Vlachos, D.G. Liquid Phase Catalytic Transfer Hydrogenation of Furfural over a Ru/C Catalyst. Appl. Catal. A Gen. 2014, 480, 17–24. [Google Scholar] [CrossRef]
- Ren, G.; Wang, G.; Mei, H.; Xu, Y.; Huang, L. Reaction Mechanism Investigation of Furfural Conversion to 2-Methylfuran on Cu(1 1 1) Surface. Chem. Phys. Lett. 2018, 703, 1–7. [Google Scholar] [CrossRef]
- Fu, X.; Liu, Y.; Liu, Q.; Liu, Z.; Peng, Z. Preparation of Highly Active Cu/SiO2 Catalysts for Furfural to 2-Methylfuran by Ammonia Evaporation Method. Catalysts 2022, 12, 276. [Google Scholar] [CrossRef]
- Jiménez-Gómez, C.P.; Cecilia, J.A.; Alba-Rubio, A.C.; Cassidy, A.; Moreno-Tost, R.; García-Sancho, C.; Maireles-Torres, P. Tailoring the Selectivity of Cu-Based Catalysts in the Furfural Hydrogenation Reaction: Influence of the Morphology of the Silica Support. Fuel 2022, 319, 123827. [Google Scholar] [CrossRef]
- Park, S.; Kannapu, H.P.R.; Jeong, C.; Kim, J.; Suh, Y.W. Highly Active Mesoporous Cu−Al2O3 Catalyst for the Hydrodeoxygenation of Furfural to 2-Methylfuran. ChemCatChem 2020, 12, 105–111. [Google Scholar] [CrossRef]
- Lessard, J.; Morin, J.F.; Wehrung, J.F.; Magnin, D.; Chornet, E. High Yield Conversion of Residual Pentoses into Furfural via Zeolite Catalysis and Catalytic Hydrogenation of Furfural to 2-Methylfuran. Top. Catal. 2010, 53, 1231–1234. [Google Scholar] [CrossRef]
- Sheng, H.; Lobo, R.F. Iron-Promotion of Silica-Supported Copper Catalysts for Furfural Hydrodeoxygenation. ChemCatChem 2016, 8, 3402–3408. [Google Scholar] [CrossRef]
- Xiong, K.; Wan, W.; Chen, J.G. Reaction Pathways of Furfural, Furfuryl Alcohol and 2-Methylfuran on Cu(111) and NiCu Bimetallic Surfaces. Surf. Sci. 2016, 652, 91–97. [Google Scholar] [CrossRef]
- Golub, K.W.; Sulmonetti, T.P.; Darunte, L.A.; Shealy, M.S.; Jones, C.W. Metal-Organic-Framework-Derived Co/Cu-Carbon Nanoparticle Catalysts for Furfural Hydrogenation. ACS Appl. Nano Mater. 2019, 2, 6040–6056. [Google Scholar] [CrossRef]
- Hutchings, G.S.; Luc, W.; Lu, Q.; Zhou, Y.; Vlachos, D.G.; Jiao, F. Nanoporous Cu-Al-Co Alloys for Selective Furfural Hydrodeoxygenation to 2-Methylfuran. Ind. Eng. Chem. Res. 2017, 56, 3866–3872. [Google Scholar] [CrossRef]
- Srivastava, S.; Jadeja, G.C.C.; Parikh, J. A Versatile Bi-Metallic Copper-Cobalt Catalyst for Liquid Phase Hydrogenation of Furfural to 2-Methylfuran. RSC Adv. 2016, 6, 1649–1658. [Google Scholar] [CrossRef]
- Gilkey, M.J.M.J.; Panagiotopoulou, P.; Mironenko, A.V.A.V.; Jenness, G.R.G.R.; Vlachos, D.G.D.G.; Xu, B. Mechanistic Insights into Metal Lewis Acid-Mediated Catalytic Transfer Hydrogenation of Furfural to 2-Methylfuran. ACS Catal. 2015, 5, 3988–3994. [Google Scholar] [CrossRef]
- Bhogeswararao, S.; Srinivas, D. Catalytic Conversion of Furfural to Industrial Chemicals over Supported Pt and Pd Catalysts. J. Catal. 2015, 327, 65–77. [Google Scholar] [CrossRef]
- Yan, K.; Chen, A. Selective Hydrogenation of Furfural and Levulinic Acid to Biofuels on the Ecofriendly Cu-Fe Catalyst. Fuel 2014, 115, 101–108. [Google Scholar] [CrossRef]
- Srivastava, S.; Jadeja, G.C.C.; Parikh, J. Synergism Studies on Alumina-Supported Copper-Nickel Catalysts towards Furfural and 5-Hydroxymethylfurfural Hydrogenation. J. Mol. Catal. A Chem. 2017, 426, 244–256. [Google Scholar] [CrossRef]
- Akmaz, S.; Algorabi, S.; Koc, S.N. Furfural Hydrogenation to 2-Methylfuran over Efficient Sol-Gel Copper-Cobalt/Zirconia Catalyst. Can. J. Chem. Eng. 2021, 99, S562–S574. [Google Scholar] [CrossRef]
- Geng, W.; Li, W.; Liu, L.L.; Liu, J.; Liu, L.L.; Kong, X. Facile Assembly of Cu-Cu2O/N-Reduced Graphene Oxide Nanocomposites for Efficient Synthesis of 2-Methylfuran. Fuel 2020, 259, 116267. [Google Scholar] [CrossRef]
- Jaatinen, S.K.; Karinen, R.S.; Lehtonen, J.S. Liquid Phase Furfural Hydrotreatment to 2-Methylfuran with Carbon Supported Copper, Nickel, and Iron Catalysts. ChemistrySelect 2017, 2, 51–60. [Google Scholar] [CrossRef]
- Smirnov, A.A.; Shilov, I.N.; Alekseeva, M.V.; Selishcheva, S.A.; Yakovlev, V.A. Study of the Composition Effect of Molybdenum-Modified Nickel–Copper Catalysts on Their Activity and Selectivity in the Hydrogenation of Furfural to Different Valuable Chemicals. Catal. Ind. 2018, 10, 228–236. [Google Scholar] [CrossRef]
- Seemala, B.; Cai, C.M.; Kumar, R.; Wyman, C.E.; Christopher, P. Effects of Cu-Ni Bimetallic Catalyst Composition and Support on Activity, Selectivity, and Stability for Furfural Conversion to 2-Methyfuran. ACS Sustain. Chem. Eng. 2018, 6, 2152–2161. [Google Scholar] [CrossRef]
- Varila, T.; Mäkelä, E.; Kupila, R.; Romar, H.; Hu, T.; Karinen, R.; Puurunen, R.L.; Lassi, U. Conversion of Furfural to 2-Methylfuran over CuNi Catalysts Supported on Biobased Carbon Foams. Catal. Today 2021, 367, 16–27. [Google Scholar] [CrossRef]
- Umasankar, S.; Santhana Krishnan, P.; Sonia Theres, G.; Tamizhdurai, P.; Shanthi, K. Liquid Phase Hydrogenation of Furfural to Biofuel over Robust NiCu/Laponite Catalyst: A Study on the Role of Copper Loading. Adv. Powder Technol. 2021, 32, 3034–3045. [Google Scholar] [CrossRef]
- Chuseang, J.; Nakwachara, R.; Kalong, M.; Ratchahat, S.; Koo-Amornpattana, W.; Klysubun, W.; Khemthong, P.; Faungnawakij, K.; Assabumrungrat, S.; Itthibenchapong, V.; et al. Selective Hydrogenolysis of Furfural into Fuel-Additive 2-Methylfuran over a Rhenium-Promoted Copper Catalyst. Sustain. Energy Fuels 2021, 5, 1379–1393. [Google Scholar] [CrossRef]
- Zhu, S.; Gao, X.; Zhu, Y.; Zhu, Y.; Zheng, H.; Li, Y. Promoting Effect of Boron Oxide on Cu/SiO2 Catalyst for Glycerol Hydrogenolysis to 1,2-Propanediol. J. Catal. 2013, 303, 70–79. [Google Scholar] [CrossRef]
- Zheng, H.-Y.; Zhu, Y.-L.; Bai, Z.-Q.; Huang, L.; Xiang, H.-W.; Li, Y.-W. An Environmentally Benign Process for the Efficient Synthesis of Cyclohexanone and 2-Methylfuran. Green Chem. 2006, 8, 107–109. [Google Scholar] [CrossRef]
- Zheng, H.Y.; Zhu, Y.L.; Huang, L.; Zeng, Z.Y.; Wan, H.J.; Li, Y.W. Study on Cu-Mn-Si Catalysts for Synthesis of Cyclohexanone and 2-Methylfuran through the Coupling Process. Catal. Commun. 2008, 9, 342–348. [Google Scholar] [CrossRef]
- Zheng, H.Y.; Yang, J.; Zhu, Y.L.; Zhao, G.W. Synthesis of γ-Butyrolactone and 2-Methylfuran through the Coupling of Dehydrogenation and Hydrogenation over Copper-Chromite Catalyst. React. Kinet. Catal. Lett. 2004, 82, 263–269. [Google Scholar] [CrossRef]
- Luo, J.; Cheng, Y.; Niu, H.; Wang, T.; Liang, C. Efficient Cu/FeOx Catalyst with Developed Structure for Catalytic Transfer Hydrogenation of Furfural. J. Catal. 2022, 413, 575–587. [Google Scholar] [CrossRef]
- Fu, Z.; Wang, Z.; Lin, W.; Song, W.; Li, S. High Efficient Conversion of Furfural to 2-Methylfuran over Ni-Cu/Al2O3 Catalyst with Formic Acid as a Hydrogen Donor. Appl. Catal. A Gen. 2017, 547, 248–255. [Google Scholar] [CrossRef]
- Zhou, K.; Chen, J.; Cheng, Y.; Chen, Z.; Kang, S.; Cai, Z.; Xu, Y.; Wei, J. Enhanced Catalytic Transfer Hydrogenation of Biomass-Based Furfural into 2-Methylfuran over Multifunctional Cu-Re Bimetallic Catalysts. ACS Sustain. Chem. Eng. 2020, 8, 16624–16636. [Google Scholar] [CrossRef]
- Niu, H.; Luo, J.; Li, C.; Wang, B.; Liang, C. Transfer Hydrogenation of Biomass-Derived Furfural to 2-Methylfuran over CuZnAl Catalysts. Ind. Eng. Chem. Res. 2019, 58, 6298–6308. [Google Scholar] [CrossRef]
- Li, B.; Li, L.; Sun, H.; Zhao, C. Selective Deoxygenation of Aqueous Furfural to 2-Methylfuran over Cu0/Cu2O·SiO2 Sites via a Copper Phyllosilicate Precursor without Extraneous Gas. ACS Sustain. Chem. Eng. 2018, 6, 12096–12103. [Google Scholar] [CrossRef]
- Zhang, J.; Li, C.; Hu, S.; Gu, J.; Yuan, H.; Chen, Y. Mechanistic Insights into Copper Oxides Catalyzed Bio-Based Furfural Hydrogenation Using Methanol as In-Situ Hydrogen Donor. Renew. Energy 2022, 200, 88–97. [Google Scholar] [CrossRef]
- More, G.S.; Shivhare, A.; Kaur, S.P.; Dhilip Kumar, T.J.; Srivastava, R. Catalytic Interplay of Metal Ions (Cu2+, Ni2+, and Fe2+) in MFe2O4 Inverse Spinel Catalysts for Enhancing the Activity and Selectivity during Selective Transfer Hydrogenation of Furfural into 2-Methylfuran. Catal. Sci. Technol. 2022, 12, 4857–4870. [Google Scholar] [CrossRef]
- Cui, J.; Tan, J.; Cui, X.; Zhu, Y.; Deng, T.; Ding, G.; Li, Y. Conversion of Xylose to Furfuryl Alcohol and 2-Methylfuran in a Continuous Fixed-Bed Reactor. ChemSusChem 2016, 9, 1259–1262. [Google Scholar] [CrossRef]
- Gandarias, I.; García-Fernández, S.; Obregón, I.; Agirrezabal-Telleria, I.; Arias, P.L. Production of 2-Methylfuran from Biomass through an Integrated Biorefinery Approach. Fuel Process. Technol. 2018, 178, 336–343. [Google Scholar] [CrossRef]
- Zhang, Y.; Fan, G.; Yang, L.; Li, F. Efficient Conversion of Furfural into Cyclopentanone over High Performing and Stable Cu/ZrO2 Catalysts. Appl. Catal. A Gen. 2018, 561, 117–126. [Google Scholar] [CrossRef]
- Wang, Y.; Miao, Y.; Li, S.; Gao, L.; Xiao, G. Metal-Organic Frameworks Derived Bimetallic Cu-Co Catalyst for Efficient and Selective Hydrogenation of Biomass-Derived Furfural to Furfuryl Alcohol. Mol. Catal. 2017, 436, 128–137. [Google Scholar] [CrossRef]
- Gong, W.; Chen, C.; Zhang, H.; Wang, G.; Zhao, H. In Situ Synthesis of Highly Dispersed Cu-Co Bimetallic Nanoparticles for Tandem Hydrogenation/Rearrangement of Bioderived Furfural in Aqueous-Phase. ACS Sustain. Chem. Eng. 2018, 6, 14919–14925. [Google Scholar] [CrossRef]
- Wang, Y.; Zhou, M.; Wang, T.; Xiao, G. Conversion of Furfural to Cyclopentanol on Cu/Zn/Al Catalysts Derived from Hydrotalcite-Like Materials. Catal. Letters 2015, 145, 1557–1565. [Google Scholar] [CrossRef]
- Dunlop, A.P.; Maddels, J.W.; Forest, P.; Quaker, T.; Com, O. Process of Preparing Gamma-Valerolactone. U.S. Patent 2,786,852, 26 March 1957. [Google Scholar]
- Serrano-Ruiz, J.C.; Wang, D.; Dumesic, J.A. Catalytic Upgrading of Levulinic Acid to 5-Nonanone. Green Chem. 2010, 12, 574–577. [Google Scholar] [CrossRef]
- Al-Shaal, M.G.; Wright, W.R.H.; Palkovits, R. Exploring the Ruthenium Catalysed Synthesis of γ-Valerolactone in Alcohols and Utilisation of Mild Solvent-Free Reaction Conditions. Green Chem. 2012, 14, 1260–1263. [Google Scholar] [CrossRef]
- Christian, R.V.J.; Brown, H.D.; Hixon, R.M. Derivatives of γ-Valerolactone, 1,4-Pentanediol and 1,4-Di-(β-Cyanoethoxy)-Pentane. J. Am. Chem. Soc. 1947, 69, 1961–1963. [Google Scholar] [CrossRef]
- Jones, D.R.; Iqbal, S.; Ishikawa, S.; Reece, C.; Thomas, L.M.; Miedziak, P.J.; Morgan, D.J.; Edwards, J.K.; Bartley, J.K.; Willock, D.J.; et al. The Conversion of Levulinic Acid into γ-Valerolactone Using Cu-ZrO2 Catalysts. Catal. Sci. Technol. 2016, 6, 6022–6030. [Google Scholar] [CrossRef]
- Hirayama, J.; Orlowski, I.; Iqbal, S.; Douthwaite, M.; Ishikawa, S.; Miedziak, P.J.; Bartley, J.K.; Edwards, J.; He, Q.; Jenkins, R.L.; et al. The Effects of Dopants on the Cu-ZrO2 Catalyzed Hydrogenation of Levulinic Acid. J. Phys. Chem. C 2018, 123, 7879–7888. [Google Scholar] [CrossRef]
- Obregón, I.; Corro, E.; Izquierdo, U.; Requies, J.; Arias, P.L. Levulinic Acid Hydrogenolysis on Al2O3-Based Ni-Cu Bimetallic Catalysts. Chinese J. Catal. 2014, 35, 656–662. [Google Scholar] [CrossRef]
- Gupta, S.S.R.; Kantam, M.L. Selective Hydrogenation of Levulinic Acid into γ-Valerolactone over Cu/Ni Hydrotalcite-Derived Catalyst. Catal. Today 2018, 309, 189–194. [Google Scholar] [CrossRef]
- Zhang, L.; Mao, J.; Li, S.; Yin, J.; Sun, X.; Guo, X.; Song, C.; Zhou, J. Hydrogenation of Levulinic Acid into Gamma-Valerolactone over In Situ Reduced CuAg Bimetallic Catalyst: Strategy and Mechanism of Preventing Cu Leaching. Appl. Catal. B Environ. 2018, 232, 1–10. [Google Scholar] [CrossRef]
- Guo, H.; Hiraga, Y.; Qi, X.; Smith, R.L. Hydrogen Gas-Free Processes for Single-Step Preparation of Transition-Metal Bifunctional Catalysts and One-Pot γ-Valerolactone Synthesis in Supercritical CO2-Ionic Liquid Systems. J. Supercrit. Fluids 2019, 147, 263–270. [Google Scholar] [CrossRef]
- Balla, P.; Perupogu, V.; Vanama, P.K.; Komandur, V.R.C. Hydrogenation of Biomass-Derived Levulinic Acid to γ-Valerolactone over Copper Catalysts Supported on ZrO2. J. Chem. Technol. Biotechnol. 2016, 91, 769–776. [Google Scholar] [CrossRef]
- Zhang, B.; Chen, Y.; Li, J.; Pippel, E.; Yang, H.; Gao, Z.; Qin, Y. High Efficiency Cu-ZnO Hydrogenation Catalyst: The Tailoring of Cu-ZnO Interface Sites by Molecular Layer Deposition. ACS Catal. 2015, 5, 5567–5573. [Google Scholar] [CrossRef]
- Sun, D.; Ohkubo, A.; Asami, K.; Katori, T.; Yamada, Y.; Sato, S. Vapor-Phase Hydrogenation of Levulinic Acid and Methyl Levulinate to Γ-Valerolactone over Non-Noble Metal-Based Catalysts. Mol. Catal. 2017, 437, 105–113. [Google Scholar] [CrossRef]
- Upare, P.P.; Jeong, M.G.; Hwang, Y.K.; Kim, D.H.; Kim, Y.D.; Hwang, D.W.; Lee, U.H.; Chang, J.S. Nickel-Promoted Copper-Silica Nanocomposite Catalysts for Hydrogenation of Levulinic Acid to Lactones Using Formic Acid as a Hydrogen Feeder. Appl. Catal. A Gen. 2015, 491, 127–135. [Google Scholar] [CrossRef]
- Yoshida, R.; Sun, D.; Yamada, Y.; Sato, S.; Hutchings, G.J. Vapor-Phase Hydrogenation of Levulinic Acid to Γ-Valerolactone over Cu-Ni Bimetallic Catalysts. Catal. Commun. 2017, 97, 79–82. [Google Scholar] [CrossRef]
- Lomate, S.; Sultana, A.; Fujitani, T. Effect of SiO2 support Properties on the Performance of Cu-SiO2 catalysts for the Hydrogenation of Levulinic Acid to Gamma Valerolactone Using Formic Acid as a Hydrogen Source. Catal. Sci. Technol. 2017, 7, 3073–3083. [Google Scholar] [CrossRef]
- Lomate, S.; Sultana, A.; Fujitani, T. Vapor Phase Catalytic Transfer Hydrogenation (CTH) of Levulinic Acid to γ-Valerolactone over Copper Supported Catalysts Using Formic Acid as Hydrogen Source. Catal. Letters 2018, 148, 348–358. [Google Scholar] [CrossRef]
- Ashokraju, M.; Mohan, V.; Murali, K.; Rao, M.V.; Raju, B.D.; Rao, K.S.R. Formic Acid Assisted Hydrogenation of Levulinic Acid to γ-Valerolactone over Ordered Mesoporous Cu/Fe2O3 catalyst Prepared by Hard Template Method. J. Chem. Sci. 2018, 130, 16. [Google Scholar] [CrossRef]
- Orlowski, I.; Douthwaite, M.; Iqbal, S.; Hayward, J.S.; Davies, T.E.; Bartley, J.K.; Miedziak, P.J.; Hirayama, J.; Morgan, D.J.; Willock, D.J.; et al. The Hydrogenation of Levulinic Acid to γ-Valerolactone over Cu–ZrO2 Catalysts Prepared by a PH-Gradient Methodology. J. Energy Chem. 2019, 36, 15–24. [Google Scholar] [CrossRef]
- Obregón, I.; Gandarias, I.; Miletić, N.; Ocio, A.; Arias, P.L. One-Pot 2-Methyltetrahydrofuran Production from Levulinic Acid in Green Solvents Using Ni-Cu/Al2O3 Catalysts. ChemSusChem 2015, 8, 3483–3488. [Google Scholar] [CrossRef]
- Tang, X.; Sun, Y.; Zeng, X.; Hao, W.; Lin, L.; Liu, S. Novel Process for the Extraction of Ethyl Levulinate by Toluene with Less Humins from the Ethanolysis Products of Carbohydrates. Energy and Fuels 2014, 28, 4251–4255. [Google Scholar] [CrossRef]
- Hu, X.; Lievens, C.; Larcher, A.; Li, C.Z. Reaction Pathways of Glucose during Esterification: Effects of Reaction Parameters on the Formation of Humin Type Polymers. Bioresour. Technol. 2011, 102, 10104–10113. [Google Scholar] [CrossRef]
- Hu, X.; Li, C.Z. Levulinic Esters from the Acid-Catalysed Reactions of Sugars and Alcohols as Part of a Bio-Refinery. Green Chem. 2011, 13, 1676–1679. [Google Scholar] [CrossRef]
- Zhang, J.; Chen, J.; Guo, Y.; Chen, L. Effective Upgrade of Levulinic Acid into γ-Valerolactone over an Inexpensive and Magnetic Catalyst Derived from Hydrotalcite Precursor. ACS Sustain. Chem. Eng. 2015, 3, 1708–1714. [Google Scholar] [CrossRef]
- Zheng, J.; Zhu, J.; Xu, X.; Wang, W.; Li, J.; Zhao, Y.; Tang, K.; Song, Q.; Qi, X.; Kong, D.; et al. Continuous Hydrogenation of Ethyl Levulinate to γ-Valerolactone and 2-Methyl Tetrahydrofuran over Alumina Doped Cu/SiO2 Catalyst: The Potential of Commercialization. Sci. Rep. 2016, 6, 2–10. [Google Scholar] [CrossRef]
- Chia, M.; Dumesic, J.A. Liquid-Phase Catalytic Transfer Hydrogenation and Cyclization of Levulinic Acid and Its Esters to γ-Valerolactone over Metal Oxide Catalysts. Chem. Commun. 2011, 47, 12233–12235. [Google Scholar] [CrossRef]
- Tang, X.; Chen, H.; Hu, L.; Hao, W.; Sun, Y.; Zeng, X.; Lin, L.; Liu, S. Conversion of Biomass to γ-Valerolactone by Catalytic Transfer Hydrogenation of Ethyl Levulinate over Metal Hydroxides. Appl. Catal. B Environ. 2014, 147, 827–834. [Google Scholar] [CrossRef]
- Cao, X.; Liu, H.; Wei, J.; Tang, X.; Zeng, X.; Sun, Y.; Lei, T.; Zhao, G.; Lin, L. Effective Production of γ-Valerolactone from Biomass-Derived Methyl Levulinate over CuOx-CaCO3 Catalyst. Cuihua Xuebao Chin. J. Catal. 2019, 40, 192–203. [Google Scholar] [CrossRef]
- Yong, S.T.; Ooi, C.W.; Chai, S.P.; Wu, X.S. Review of Methanol Reforming-Cu-Based Catalysts, Surface Reaction Mechanisms, and Reaction Schemes. Int. J. Hydrogen Energy 2013, 38, 9541–9552. [Google Scholar] [CrossRef]
- Li, Z.; Tang, X.; Jiang, Y.; Wang, Y.; Zuo, M.; Chen, W.; Zeng, X.; Sun, Y.; Lin, L. Atom-Economical Synthesis of γ-Valerolactone with Self-Supplied Hydrogen from Methanol. Chem. Commun. 2015, 51, 16320–16323. [Google Scholar] [CrossRef]
- Cao, X.; Wei, J.; Liu, H.; Lv, X.; Tang, X.; Zeng, X.; Sun, Y.; Lei, T.; Liu, S.; Lin, L. Hydrogenation of Methyl Levulinate to γ-Valerolactone over Cu─Mg Oxide Using MeOH as in Situ Hydrogen Source. J. Chem. Technol. Biotechnol. 2019, 94, 167–177. [Google Scholar] [CrossRef]
- Zhang, R.; Ma, Y.; You, F.; Peng, T.; He, Z.; Li, K. Exploring to Direct the Reaction Pathway for Hydrogenation of Levulinic Acid into Γ-Valerolactone for Future Clean-Energy Vehicles over a Magnetic Cu-Ni Catalyst. Int. J. Hydrogen Energy 2017, 42, 25185–25194. [Google Scholar] [CrossRef]
- Dong, F.; Zhu, Y.; Ding, G.; Cui, J.; Li, X.; Li, Y.; Ding, G.; Li, Y.; Dong, F.; Cui, J.; et al. One-Step Conversion of Furfural into 2-Methyltetrahydrofuran under Mild Conditions. ChemSusChem 2015, 8, 1534–1537. [Google Scholar] [CrossRef]
- Du, X.-L.; Bi, Q.-Y.; Liu, Y.-M.; Cao, Y.; He, H.-Y.; Fan, K.-N. Tunable Copper-Catalyzed Chemoselective Hydrogenolysis of Biomass-Derived γ-Valerolactone into 1,4-Pentanediol or 2-Methyltetrahydrofuran. Green Chem. 2012, 14, 935. [Google Scholar] [CrossRef]
- Bermudez, J.M.; Menendez, J.A.; Romero, A.A.; Serrano, E.; Garcia-Martinez, J.; Luque, R.; Menéndez, J.A.; Romero, A.A.; Serrano, E.; Garcia-Martinez, J.; et al. Continuous Flow Nanocatalysis: Reaction Pathways in the Conversion of Levulinic Acid to Valuable Chemicals. Green Chem. 2013, 15, 2786–2792. [Google Scholar] [CrossRef]
- Xie, Z.; Chen, B.; Wu, H.; Liu, M.; Liu, H.; Zhang, J.; Yang, G.; Han, B. Highly Efficient Hydrogenation of Levulinic Acid into 2-Methyltetrahydrofuran over Ni-Cu/Al2O3-ZrO2 Bifunctional Catalysts. Green Chem. 2019, 21, 606–613. [Google Scholar] [CrossRef]











| Catalyst | Space Velocity (h−1) | H2/FUR Molar Ratio | T (°C) | TOS (h) | C a (%) | Y b (%) | Ref. |
|---|---|---|---|---|---|---|---|
| CuCr2O7 | 52 (WHSV) | 25 | 200 | 4 | 22 | 20 (FOL) | [51] |
| Cu/SiO2 | 2.3 (WHSV) | 25 | 290 | 0.25 | 77 | 63 (FOL) | [55] |
| Cu/SiO2 | 0.5 (WHSV) | 17 | 140 | 10 | 90 | 73 (FOL) | [61] |
| Cu/SiO2 | 0.5 (WHSV) | 17 | 220 | 210 | 100 | 89.5 (MF) | [61] |
| Cu/SiO2 | 1.5 (WHSV) | 11.5 | 170 | 1 | 91 | 85 (FOL) | [77] |
| Cu/SiO2 | 1.5(WHSV) | 11.5 | 210 | 14 | 95 | 80 (MF) | [62] |
| Cu/Sep c | 1.5 (WHSV) | 11.5 | 210 | 5 | 83 | 72 (FOL) | [78] |
| Cu/Ker d | 1.5 (WHSV) | 11.5 | 190 | 5 | 91 | 50 (MF) | [79] |
| CuCo/SiO2 | 3.1 (WHSV) | 6 | 200 | 12 | 65 | 64 (FOL) | [80] |
| CuCa/SiO2 | 0.33 (LHSV) | 5.1 | 130 | 80 | 100 | 98 (FOL) | [81] |
| CuPd/Zeo e | 7.7 (WHSV) | 0.08 | 300 | - | 58 | 58 (FOL) | [82] |
| Cu/MgO | 4.8 (WHSV) | 2.5 | 180 | 5 | 98 | 96 (FOL) | [65] |
| Cu/MgO/Sep c | 1.5 (WHSV) | 11.5 | 210 | 5 | 73 | 64 (FOL) | [83] |
| CuCa/MgO | 1.7 (WHSV) | 10 | 180 | 0.5 | 91 | 90 (FOL) | [69] |
| Cu/ZnO | 0.5 (WHSV) | 17 | 220 | 10 | 95 | 31 (FOL) | [61] |
| Cu/ZnO | 1.5 (WHSV) | 11.5 | 210 | 5 | 93 | 76 (FOL) | [70] |
| Cu/ZnO | 1.5 (LHSV) | 15 | 200 | 16 | 100 | 94 (MF) | [71] |
| Cu/ZnO/Al2O3 | 0.5 (LHSV) | 15 | 120 | 16 | 97 | 94 (FOL) | [73] |
| Cu/ZnO/Al2O3 | 3.6 (LHSV) | 15 | 200 | 30 | 76 | 73 (FOL) | [74] |
| Cu/ZnO/Ker d | 1.5 (WHSV) | 11.5 | 190 | 5 | 62 | 55 (FOL) | [79] |
| Cu/ZnO/Sep c | 1.5 (WHSV) | 11.5 | 210 | 5 | 81 | 58 (FOL) | [83] |
| Cu/CeO2 | 1.5 (WHSV) | 11.5 | 190 | 5 | 81 | 67 (FOL) | [75] |
| Cu/CeO2/Al2O3 | 60 (W/F) | - | 175 | 6 | 90 | 72 (FOL) | [76] |
| Cu/CeO2/Ker d | 1.5 (WHSV) | 11.5 | 190 | 5 | 64 | 61 (FOL) | [79] |
| Cu/CeO2/Sep c | 1.5 (WHSV) | 11.5 | 210 | 5 | 66 | 61 (FOL) | [83] |
| Catalyst | Hydrogen Source | T (°C) | P (MPa) | t (h) | C a (%) | yGVL b (%) | Ref. |
|---|---|---|---|---|---|---|---|
| CuO–Cr2O3 | H2 | 273 | 10.1 | - | - | 62 | [170] |
| Cu–ZrO2 | H2 | 200 | 3.4 | 5 | 100 | 100 | [11] |
| Cu–Al2O3 | H2 | 200 | 3.4 | 5 | 100 | 100 | [11] |
| Cu–ZrO2 | H2 | 200 | 3.5 | 2 | 100 | 80 | [171] |
| Cu–ZrO2 | H2 | 200 | 3.5 | 2 | 100 | 100 | [29] |
| Mn/Cu–ZrO2 | H2 | 200 | 2.6 | 0.5 | 82 | 82 | [172] |
| Ni–Cu/Al2O3 | H2 | 250 | 6.4 | 2 | 100 | 96 | [173] |
| CuAl2O4 | H2 | 200 | 6.9 | 10 | 98 | 87 | [124] |
| CuCr2O4 | H2 | 200 | 6.9 | 10 | >99 | 91 | [124] |
| CuFe2O4 | H2 | 200 | 6.9 | 10 | >99 | 82 | [124] |
| Cu/Al | H2 | 140 | 3.0 | 3 | 76 | 58 | [174] |
| Cu/Mg/Al | H2 | 140 | 3.0 | 3 | 100 | 82 | [174] |
| Cu/Ni/Mg/Al | H2 | 140 | 3.0 | 3 | 100 | 100 | [174] |
| CuAg/Al2O3 | H2 | 180 | 1.4 | 4 | 100 | >99 | [175] |
| Cu/CuO–FC | FA c | 170 | 8.4 | 6 | 99 | 50 | [176] |
| CuO–SiO2 | H2 | 290 | 0.5 | 67 | >99 | 93 | [112] |
| Cu/Al2O3 | H2 | 265 | 0.1 | 4 | 98 | 85 | [113] |
| Cu/ZrO2 | H2 | 265 | 0.1 | 4 | 81 | 67 | [177] |
| Cu–ZnO | H2 | 240 | 1.0 | 20 | - | 70 | [178] |
| Cu/SiO2 | H2 | 250 | 0.1 | 5 | 73 | 55 | [179] |
| Cu/Al2O3 | H2 | 250 | 0.1 | 5 | 98 | 95 | [179] |
| Cu–Ni/SiO2 | H2 | 250 | 0.1 | - | 98 | 96 | [20] |
| Cu/SiO2 | H2 | 265 | 1.0 | 100 | 100 | 99.9 | [14] |
| Ni–Cu/SiO2 | FA c | 265 | 0.1 | 100 | 98 | 90 | [180] |
| Cu–Ni/SiO2 | H2 | 250 | 0.1 | 50 | 100 | 99 | [181] |
| Cu/SiO2 | FA c | 270 | 0.1 | - | 66 | 53 | [182] |
| Cu/SiO2 | FA c | 250 | 0.1 | - | 56 | 49 | [183] |
| Cu/Fe2O3 | FA c | 250 | 0.1 | 3 | 100 | 100 | [184] |
| Catalyst | Solvent | Hydrogen Source | T (°C) | P (MPa) | T (h) | C a (%) | yGVL b (%) | Ref. |
|---|---|---|---|---|---|---|---|---|
| Cu–ZrO2 | Methanol | H2 | 200 | 3.4 | 5 | 100 | 90 | [11] |
| Magnetic Ni/Cu/Mg/Al/Fe | Methanol | H2 | 142 | 2 | 3 | 100 | 98 | [190] |
| Cu/Al2O3 | Methanol | H2 | 24 | 0.1 | 5 | 94 | 86 | [179] |
| Cu/γ-Al2O3 | Ethanol | H2 | 200 | 4.9 | 6 | 100 | 93 | [23] |
| Cu–WO3/ZrO2 | Ethanol | H2 | 200 | 4.9 | 6 | 100 | 94 | [23] |
| Cu | Methanol | Methanol | 240 | — | 1 | 97 | 85 | [21] |
| CuCr2O4 | Methanol | Methanol | 250 | 0.1 | 4 | 94 | 96 | [191] |
| Cu–MgO | Methanol | Methanol | 220 | — | 4 | 96 | 91 | [192] |
| CuOx–CaCO3 | Methanol | Methanol | 240 | — | 3 | >99 | 96 | [193] |
| Cu/C | 2-Propanol | 2-Propanol | 220 | 2.0 | 5 | >99 | 89 | [10] |
Disclaimer/Publisher’s Note: The statements, opinions and data contained in all publications are solely those of the individual author(s) and contributor(s) and not of MDPI and/or the editor(s). MDPI and/or the editor(s) disclaim responsibility for any injury to people or property resulting from any ideas, methods, instructions or products referred to in the content. |
© 2023 by the authors. Licensee MDPI, Basel, Switzerland. This article is an open access article distributed under the terms and conditions of the Creative Commons Attribution (CC BY) license (https://creativecommons.org/licenses/by/4.0/).
Share and Cite
García-Sancho, C.; Mérida-Robles, J.M.; Cecilia-Buenestado, J.A.; Moreno-Tost, R.; Maireles-Torres, P.J. The Role of Copper in the Hydrogenation of Furfural and Levulinic Acid. Int. J. Mol. Sci. 2023, 24, 2443. https://doi.org/10.3390/ijms24032443
García-Sancho C, Mérida-Robles JM, Cecilia-Buenestado JA, Moreno-Tost R, Maireles-Torres PJ. The Role of Copper in the Hydrogenation of Furfural and Levulinic Acid. International Journal of Molecular Sciences. 2023; 24(3):2443. https://doi.org/10.3390/ijms24032443
Chicago/Turabian StyleGarcía-Sancho, Cristina, Josefa María Mérida-Robles, Juan Antonio Cecilia-Buenestado, Ramón Moreno-Tost, and Pedro Jesús Maireles-Torres. 2023. "The Role of Copper in the Hydrogenation of Furfural and Levulinic Acid" International Journal of Molecular Sciences 24, no. 3: 2443. https://doi.org/10.3390/ijms24032443
APA StyleGarcía-Sancho, C., Mérida-Robles, J. M., Cecilia-Buenestado, J. A., Moreno-Tost, R., & Maireles-Torres, P. J. (2023). The Role of Copper in the Hydrogenation of Furfural and Levulinic Acid. International Journal of Molecular Sciences, 24(3), 2443. https://doi.org/10.3390/ijms24032443

