Existence of Quantum Pharmacology in Sartans: Evidence in Isolated Rabbit Iliac Arteries
Abstract
:1. Introduction
2. Results
2.1. ACC519T Reduces MAP in a Dose-Dependent Manner
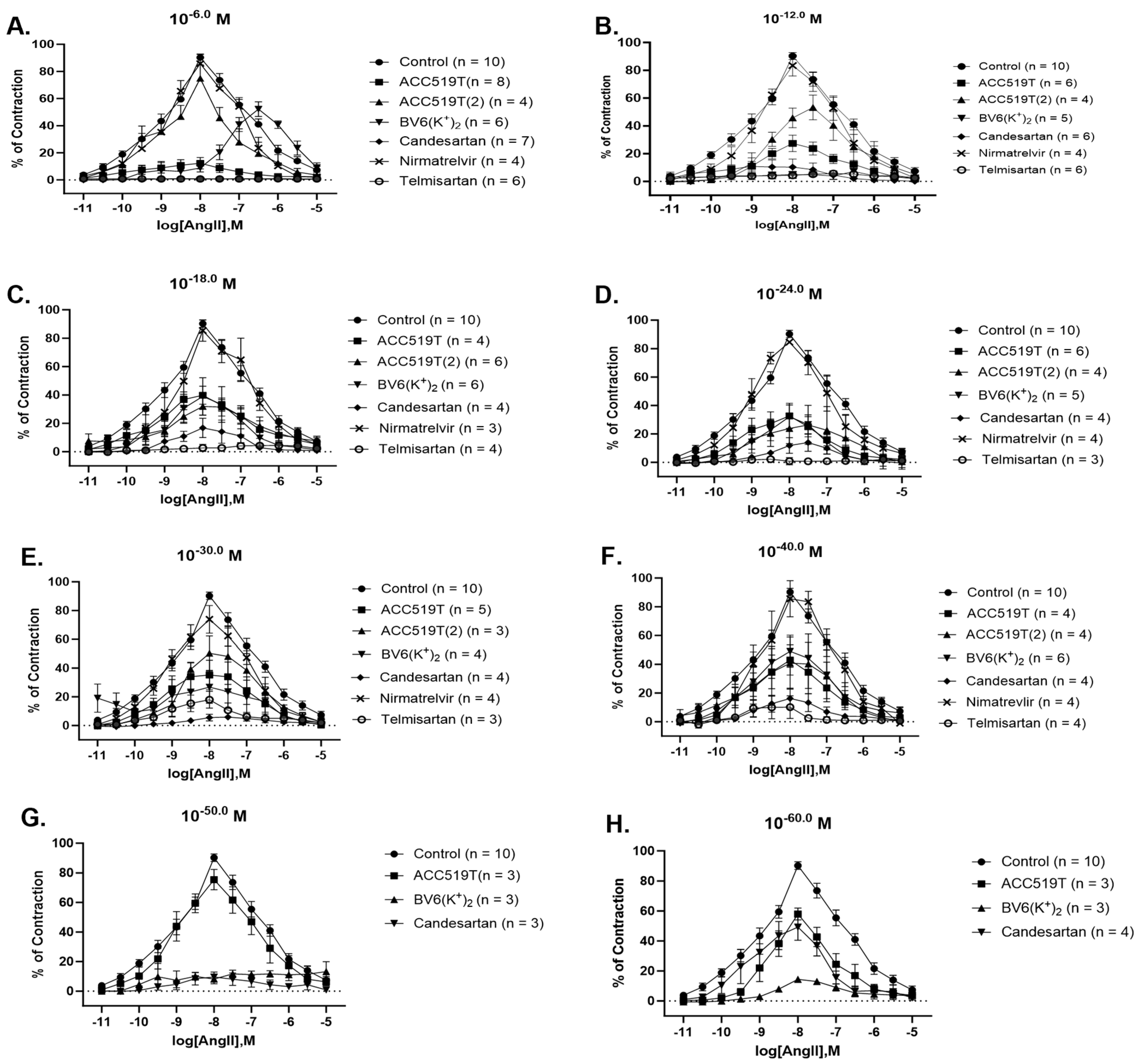
2.2. Known and Novel ARBs Reduce AngII-Mediated Contraction at Extremely Low Concentrations
2.3. ACC519T Enhances Contraction While ACC519T(2) and Low-Dose BV6(K+)2, Candesartan and Telmisartan Reduce Contraction to PE
2.4. Novel ARBs Reduce AngA-Mediated Contraction at Extremely Low Doses
2.5. Novel Bisartan Does Not Affect ACE2 Activity at Extremely Low Doses
3. Discussion
3.1. Bisartan BV6(K+)2 Increases ACE2 Metabolism of AngII into Ang(1–7)
3.2. Quantum Coherence, Hypersensitivity, and Receptor Entanglement as a Mechanism for Ultra-High Dilutions
3.3. Inverse Agonism at AT1R
3.4. ARBs and AngA
3.5. ARBs, PE and Agonism and Compensatory Mechanisms
3.6. ARBs as a COVID-19 Treatment
4. Materials and Methods
4.1. Chemicals, Pharmaceuticals, and Peptides
4.2. Synthesis of Experimental ARBs
4.3. Animal Model, Care, and Ethics Approval
4.4. Rabbit MAP Measuring
4.5. Anaesthesia and Humane Dispatch Protocol
4.6. Drug Incubations and Isometric Tension Myography Studies
4.7. Bisartan Incubation and ACE2 Activity
4.8. Statistical Analysis
5. Conclusions
Supplementary Materials
Author Contributions
Funding
Institutional Review Board Statement
Informed Consent Statement
Data Availability Statement
Acknowledgments
Conflicts of Interest
References
- Wilhelm, M.; Winkler, A.; Rief, W.; Doering, B.K. Effect of placebo groups on blood pressure in hypertension: A meta-analysis of beta-blocker trials. J. Am. Soc. Hypertens. 2016, 10, 917–929. [Google Scholar] [CrossRef] [PubMed]
 - Finniss, D.G.; Kaptchuk, T.J.; Miller, F.; Benedetti, F. Placebo effects: Biological, clinical and ethical advances. Lancet 2010, 375, 686. [Google Scholar] [CrossRef] [PubMed]
 - Frisaldi, E.; Shaibani, A.; Benedetti, F. Understanding the mechanisms of placebo and nocebo effects. Swiss Med. Wkly. 2020, 150, w20340. [Google Scholar] [CrossRef] [PubMed]
 - Manek, N.J.; Tiller, W.A. A new perspective on “the placebo effect”: Untangling the entanglement. Med. Hypotheses 2011, 77, 614–619. [Google Scholar] [CrossRef] [PubMed]
 - Beauvais, F. Possible contribution of quantum-like correlations to the placebo effect: Consequences on blind trials. Theor. Biol. Med. Model. 2017, 14, 12. [Google Scholar] [CrossRef] [PubMed]
 - Higgins, J.S.; Lloyd, L.T.; Sohail, S.H.; Allodi, M.A.; Otto, J.P.; Saer, R.G.; Wood, R.E.; Massey, S.C.; Ting, P.C.; Blankenship, R.E.; et al. Photosynthesis tunes quantum-mechanical mixing of electronic and vibrational states to steer exciton energy transfer. Proc. Natl. Acad. Sci. USA 2021, 118, e2018240118. [Google Scholar] [CrossRef] [PubMed]
 - Maeda, K.; Robinson, A.J.; Henbest, K.B.; Hogben, H.J.; Biskup, T.; Ahmad, M.; Schleicher, E.; Weber, S.; Timmel, C.R.; Hore, P.J. Magnetically sensitive light-induced reactions in cryptochrome are consistent with its proposed role as a magnetoreceptor. Proc. Natl. Acad. Sci. USA 2012, 109, 4774–4779. [Google Scholar] [CrossRef]
 - Slocombe, L.; Winokan, M.; Al-Khalili, J.; Sacchi, M. Quantum Tunnelling Effects in the Guanine-Thymine Wobble Misincorporation via Tautomerism. J. Phys. Chem. Lett. 2023, 14, 9–15. [Google Scholar] [CrossRef]
 - Turin, L. A spectroscopic mechanism for primary olfactory reception. Chem. Senses 1996, 21, 773–791. [Google Scholar] [CrossRef]
 - Lambert, N.; Chen, Y.-N.; Cheng, Y.-C.; Li, C.-M.; Chen, G.-Y.; Nori, F. Quantum biology. Nat. Phys. 2013, 9, 10–18. [Google Scholar] [CrossRef]
 - Elia, V.; Elia, L.; Marchettini, N.; Noli, E.; Tiezzi, E. Physico-chemical properties of aqueous extremely diluted solutions in relation to ageing. J. Therm. Anal. Calorim. 2008, 93, 1003–1011. [Google Scholar] [CrossRef]
 - Malarczyk, E.; Pazdzioch-Czochra, M.; Graz, M.; Kochmanska-Rdest, J.; Jarosz-Wilkolazka, A. Nonlinear changes in the activity of the oxygen-dependent demethylase system in Rhodococcus erythropolis cells in the presence of low and very low doses of formaldehyde. Nonlinear Biomed. Phys. 2011, 5, 9. [Google Scholar] [CrossRef] [PubMed]
 - Montagnier, L.; Aissa, J.; Ferris, S.; Montagnier, J.L.; Lavallee, C. Electromagnetic signals are produced by aqueous nanostructures derived from bacterial DNA sequences. Interdiscip. Sci. Comput. Life Sci. 2009, 1, 81–90. [Google Scholar] [CrossRef] [PubMed]
 - Benedetti, F. Placebo effects: From the neurobiological paradigm to translational implications. Neuron 2014, 84, 623–637. [Google Scholar] [CrossRef] [PubMed]
 - Chikramane, P.S.; Kalita, D.; Suresh, A.K.; Kane, S.G.; Bellare, J.R. Why extreme dilutions reach non-zero asymptotes: A nanoparticulate hypothesis based on froth flotation. Langmuir 2012, 28, 15864–15875. [Google Scholar] [CrossRef] [PubMed]
 - Mazzoccoli, G. Chronobiology Meets Quantum Biology: A New Paradigm Overlooking the Horizon? Front. Physiol. 2022, 13, 892582. [Google Scholar] [CrossRef] [PubMed]
 - Frabboni, S.; Gazzadi, G.C.; Grillo, V.; Pozzi, G. Elastic and inelastic electrons in the double-slit experiment: A variant of Feynman’s which-way set-up. Ultramicroscopy 2015, 154, 49–56. [Google Scholar] [CrossRef] [PubMed]
 - Carnal, O.; Mlynek, J. Young’s double-slit experiment with atoms: A simple atom interferometer. Phys. Rev. Lett. 1991, 66, 2689–2692. [Google Scholar] [CrossRef]
 - Arndt, M.; Nairz, O.; Vos-Andreae, J.; Keller, C.; van der Zouw, G.; Zeilinger, A. Wave-particle duality of C(60) molecules. Nature 1999, 401, 680–682. [Google Scholar] [CrossRef]
 - Kaur, M.; Singh, M. Quantum double-double-slit experiment with momentum entangled photons. Sci. Rep. 2020, 10, 11427. [Google Scholar] [CrossRef]
 - Romero, E.; Augulis, R.; Novoderezhkin, V.I.; Ferretti, M.; Thieme, J.; Zigmantas, D.; van Grondelle, R. Quantum Coherence in Photosynthesis for Efficient Solar Energy Conversion. Nat. Phys. 2014, 10, 676–682. [Google Scholar] [CrossRef] [PubMed]
 - Bono, I.; Del Giudice, E.; Gamberale, L.; Henry, M. Emergence of the Coherent Structure of Liquid Water. Water 2012, 4, 510–532. [Google Scholar] [CrossRef]
 - Clark, G.N.; Hura, G.L.; Teixeira, J.; Soper, A.K.; Head-Gordon, T. Small-angle scattering and the structure of ambient liquid water. Proc. Natl. Acad. Sci. USA 2010, 107, 14003–14007. [Google Scholar] [CrossRef] [PubMed]
 - Dutta, R.; Bagchi, B. Quantum Coherence and Its Signatures in Extended Quantum Systems. J. Phys. Chem. B 2020, 124, 4551–4563. [Google Scholar] [CrossRef] [PubMed]
 - Caligiuri, L.M. Coherence Domains in Condensed Matter as Storage “Devices” of Quantum Information. In Proceedings of the Future Technologies Conference; Arai, K., Ed.; Springer International Publishing: Cham, Switzerland, 2022. [Google Scholar]
 - Wheeler, M.A.; Smith, C.J.; Ottolini, M.; Barker, B.S.; Purohit, A.M.; Grippo, R.M.; Gaykema, R.P.; Spano, A.J.; Beenhakker, M.P.; Kucenas, S.; et al. Genetically targeted magnetic control of the nervous system. Nat. Neurosci. 2016, 19, 756–761. [Google Scholar] [CrossRef] [PubMed]
 - Duret, G.; Polali, S.; Anderson, E.D.; Bell, A.M.; Tzouanas, C.N.; Avants, B.W.; Robinson, J.T. Magnetic Entropy as a Proposed Gating Mechanism for Magnetogenetic Ion Channels. Biophys. J. 2019, 116, 454–468. [Google Scholar] [CrossRef] [PubMed]
 - Huang, H.; Delikanli, S.; Zeng, H.; Ferkey, D.M.; Pralle, A. Remote control of ion channels and neurons through magnetic-field heating of nanoparticles. Nat. Nanotechnol. 2010, 5, 602–606. [Google Scholar] [CrossRef] [PubMed]
 - Fuchs, F.D.; Whelton, P.K. High Blood Pressure and Cardiovascular Disease. Hypertension 2020, 75, 285–292. [Google Scholar] [CrossRef]
 - Wu, C.Y.; Hu, H.Y.; Chou, Y.J.; Huang, N.; Chou, Y.C.; Li, C.P. High Blood Pressure and All-Cause and Cardiovascular Disease Mortalities in Community-Dwelling Older Adults. Medicine 2015, 94, e2160. [Google Scholar] [CrossRef]
 - Mao, Y.; Ge, S.; Qi, S.; Tian, Q.B. Benefits and risks of antihypertensive medication in adults with different systolic blood pressure: A meta-analysis from the perspective of the number needed to treat. Front. Cardiovasc. Med. 2022, 9, 986502. [Google Scholar] [CrossRef]
 - Baena Diez, J.M.; Lopez Maldonado, N.; Navarro Guiu, E.; Alcayde Claveria, D.; Garcia Lareo, M.; Perez Orcero, A. Antihypertensive overtreatment in people 80 years old and older. Med. Clin. 2018, 150, 220–223. [Google Scholar] [CrossRef]
 - Divison-Garrote, J.A.; Ruilope, L.M.; de la Sierra, A.; de la Cruz, J.J.; Vinyoles, E.; Gorostidi, M.; Escobar-Cervantes, C.; Velilla-Zancada, S.M.; Segura, J.; Banegas, J.R. Magnitude of Hypotension Based on Office and Ambulatory Blood Pressure Monitoring: Results From a Cohort of 5066 Treated Hypertensive Patients Aged 80 Years and Older. J. Am. Med. Dir. Assoc. 2017, 18, 452.e1–452.e6. [Google Scholar] [CrossRef] [PubMed]
 - Silva, R.P.; Rodrigues, H. New Diagnostic Criteria for Overmedication in Systemic Arterial Hypertension. Tex. Heart Inst. J. 2022, 49, e207350. [Google Scholar] [CrossRef] [PubMed]
 - Patel, H.C.; Hayward, C.; Ozdemir, B.A.; Rosen, S.D.; Krum, H.; Lyon, A.R.; Francis, D.P.; Di Mario, C. Magnitude of blood pressure reduction in the placebo arms of modern hypertension trials: Implications for trials of renal denervation. Hypertension 2015, 65, 401–406. [Google Scholar] [CrossRef] [PubMed]
 - Agelis, G.; Resvani, A.; Durdagi, S.; Spyridaki, K.; Tumova, T.; Slaninova, J.; Giannopoulos, P.; Vlahakos, D.; Liapakis, G.; Mavromoustakos, T.; et al. The discovery of new potent non-peptide Angiotensin II AT1 receptor blockers: A concise synthesis, molecular docking studies and biological evaluation of N-substituted 5-butylimidazole derivatives. Eur. J. Med. Chem. 2012, 55, 358–374. [Google Scholar] [CrossRef] [PubMed]
 - Agelis, G.; Resvani, A.; Koukoulitsa, C.; Tůmová, T.; Slaninová, J.; Kalavrizioti, D.; Spyridaki, K.; Afantitis, A.; Melagraki, G.; Siafaka, A.; et al. Rational design, efficient syntheses and biological evaluation of N,N′-symmetrically bis-substituted butylimidazole analogs as a new class of potent Angiotensin II receptor blockers. Eur. J. Med. Chem. 2013, 62, 352–370. [Google Scholar] [CrossRef] [PubMed]
 - Ridgway, H.; Moore, G.J.; Mavromoustakos, T.; Tsiodras, S.; Ligielli, I.; Kelaidonis, K.; Chasapis, C.T.; Gadanec, L.K.; Zulli, A.; Apostolopoulos, V.; et al. Discovery of a new generation of angiotensin receptor blocking drugs: Receptor mechanisms and in silico binding to enzymes relevant to SARS-CoV-2. Comput. Struct. Biotechnol. J. 2022, 20, 2091–2111. [Google Scholar] [CrossRef] [PubMed]
 - Moore, G.J.; Ridgway, H.; Kelaidonis, K.; Chasapis, C.T.; Ligielli, I.; Mavromoustakos, T.; Bojarska, J.; Matsoukas, J.M. Actions of Novel Angiotensin Receptor Blocking Drugs, Bisartans, Relevant for COVID-19 Therapy: Biased Agonism at Angiotensin Receptors and the Beneficial Effects of Neprilysin in the Renin Angiotensin System. Molecules 2022, 27, 4854. [Google Scholar] [CrossRef]
 - Moore, G.J.; Pires, J.M.; Kelaidonis, K.; Gadanec, L.K.; Zulli, A.; Apostolopoulos, V.; Matsoukas, J.M. Receptor Interactions of Angiotensin II and Angiotensin Receptor Blockers-Relevance to COVID-19. Biomolecules 2021, 11, 979. [Google Scholar] [CrossRef]
 - Ridgway, H.; Chasapis, C.T.; Kelaidonis, K.; Ligielli, I.; Moore, G.J.; Gadanec, L.K.; Zulli, A.; Apostolopoulos, V.; Mavromoustakos, T.; Matsoukas, J.M. Understanding the Driving Forces That Trigger Mutations in SARS-CoV-2: Mutational Energetics and the Role of Arginine Blockers in COVID-19 Therapy. Viruses 2022, 14, 1029. [Google Scholar] [CrossRef]
 - Hu, Y.; Liu, L.; Lu, X. Regulation of Angiotensin-Converting Enzyme 2: A Potential Target to Prevent COVID-19? Front. Endocrinol. 2021, 12, 725967. [Google Scholar] [CrossRef] [PubMed]
 - Paz Ocaranza, M.; Riquelme, J.A.; Garcia, L.; Jalil, J.E.; Chiong, M.; Santos, R.A.S.; Lavandero, S. Counter-regulatory renin-angiotensin system in cardiovascular disease. Nat. Rev. Cardiol. 2020, 17, 116–129. [Google Scholar] [CrossRef] [PubMed]
 - Padda, R.S.; Shi, Y.; Lo, C.S.; Zhang, S.L.; Chan, J.S. Angiotensin-(1-7): A Novel Peptide to Treat Hypertension and Nephropathy in Diabetes? J. Diabetes Metab. 2015, 6, 1–6. [Google Scholar] [CrossRef]
 - Patel, V.B.; Zhong, J.C.; Grant, M.B.; Oudit, G.Y. Role of the ACE2/Angiotensin 1-7 Axis of the Renin-Angiotensin System in Heart Failure. Circ. Res. 2016, 118, 1313–1326. [Google Scholar] [CrossRef] [PubMed]
 - Magalhaes, G.S.; Rodrigues-Machado, M.D.G.; Motta-Santos, D.; Campagnole-Santos, M.J.; Santos, R.A.S. Activation of Ang-(1-7)/Mas Receptor Is a Possible Strategy to Treat Coronavirus (SARS-CoV-2) Infection. Front. Physiol. 2020, 11, 730. [Google Scholar] [CrossRef] [PubMed]
 - Woods, K.N.; Pfeffer, J.; Dutta, A.; Klein-Seetharaman, J. Vibrational resonance, allostery, and activation in rhodopsin-like G protein-coupled receptors. Sci. Rep. 2016, 6, 37290. [Google Scholar] [CrossRef] [PubMed]
 - Giraud, G.; Karolin, J.; Wynne, K. Low-frequency modes of peptides and globular proteins in solution observed by ultrafast OHD-RIKES spectroscopy. Biophys. J. 2003, 85, 1903–1913. [Google Scholar] [CrossRef]
 - Nibali, V.C.; D’Angelo, G.; Paciaroni, A.; Tobias, D.J.; Tarek, M. On the Coupling between the Collective Dynamics of Proteins and Their Hydration Water. J. Phys. Chem. Lett. 2014, 5, 1181–1186. [Google Scholar] [CrossRef]
 - Wiegant, F.A.; Prins, H.A.; Van Wijk, R. Postconditioning hormesis put in perspective: An overview of experimental and clinical studies. Dose-Response 2011, 9, 209–224. [Google Scholar] [CrossRef]
 - Wiegant, F.A.C.; Poot, S.A.H.; Boers-Trilles, V.E.; Schreij, A.M.A. Hormesis and Cellular Quality Control: A Possible Explanation for the Molecular Mechanisms that Underlie the Benefits of Mild Stress. Dose-Response 2013, 11, 413–430. [Google Scholar] [CrossRef]
 - Demangeat, J. Water proton NMR relaxation revisited: Ultrahighly diluted aqueous solutions beyond Avogadro’s limit prepared by iterative centesimal dilution under shaking cannot be considered as pure solvent. J. Mol. Liq. 2022, 360, 119500. [Google Scholar] [CrossRef]
 - Van Wassenhoven, M.; Goyens, M.; Henry, M.; Cumps, J.; Devos, P. Verification of Nuclear Magnetic Resonance Characterization of Traditional Homeopathically Manufactured Metal (Cuprum metallicum) and Plant (Gelsemium sempervirens) Medicines and Controls. Homeopathy 2021, 110, 42–51. [Google Scholar] [CrossRef] [PubMed]
 - Elia, V.; Niccoli, M. New Physico-Chemical Properties of Extremely Diluted Aqueous Solutions. J. Therm. Anal. Calorim. 2004, 75, 815–836. [Google Scholar] [CrossRef]
 - Schulte, J.; Endler, P.C. Update on preliminary elements of a theory of ultra high dilutions. Homeopathy 2015, 104, 337–342. [Google Scholar] [CrossRef] [PubMed]
 - Kontogeorgis, G.; Holster, A.; Kottaki, N.; Tsochantaris, E.; Topsoe, F.; Poulsen, J.; Bache, M.; Liang, X.; Bolm Nikolaj, S.; Kronhold, J. Water structure, properties and some applications—A review. Chem. Thermodyn. Therm. Anal. 2022, 6, 100053. [Google Scholar] [CrossRef]
 - Cheng, Y.K.; Rossky, P.J. The effect of vicinal polar and charged groups on hydrophobic hydration. Biopolymers 1999, 50, 742–750. [Google Scholar] [CrossRef]
 - Beauvais, F. Benveniste’s Experiments Explained by a Non-Conventional Experimenter Effect. Medicines 2018, 5, 28. [Google Scholar] [CrossRef] [PubMed]
 - Ullman, D. Exploring Possible Mechanisms of Hormesis and Homeopathy in the Light of Nanopharmacology and Ultra-High Dilutions. Dose-Response 2021, 19, 15593258211022983. [Google Scholar] [CrossRef]
 - Meessen, K. Water Memory Due to Chains of Nano-Pearls. J. Mod. Phys. 2018, 9, 2657–2724. [Google Scholar] [CrossRef]
 - Keller, A.; Vosshall, L.B. A psychophysical test of the vibration theory of olfaction. Nat. Neurosci. 2004, 7, 337–338. [Google Scholar] [CrossRef]
 - Block, E.; Batista, V.S.; Matsunami, H.; Zhuang, H.; Ahmed, L. The role of metals in mammalian olfaction of low molecular weight organosulfur compounds. Nat. Prod. Rep. 2017, 34, 529–557. [Google Scholar] [CrossRef] [PubMed]
 - Price, D.D.; Finniss, D.G.; Benedetti, F. A comprehensive review of the placebo effect: Recent advances and current thought. Annu. Rev. Psychol. 2008, 59, 565–590. [Google Scholar] [CrossRef] [PubMed]
 - Walach, H.; Teut, M. Scientific proving of ultra high dilutions on humans. Homeopathy 2015, 104, 322–327. [Google Scholar] [CrossRef] [PubMed]
 - Vallance, A.K. Can Biological Activity be Maintained at Ultra-High Dilution? An Overview of Homeopathy, Evidence, and Bayesian Philosophy. J. Altern. Complement. Med. 1998, 4, 49–76. [Google Scholar] [CrossRef] [PubMed]
 - Mathie, R.T.; Lloyd, S.M.; Legg, L.A.; Clausen, J.; Moss, S.; Davidson, J.R.; Ford, I. Randomised placebo-controlled trials of individualised homeopathic treatment: Systematic review and meta-analysis. Syst. Rev. 2014, 3, 142. [Google Scholar] [CrossRef] [PubMed]
 - Aerts, D.; Beltran Geriente, S.; de Bianchi, M.S.; Sozzo, S.; Van Sprundel, R.; Veloz, T. Quantum Theory Methods as a Possible Alternative for the Double-Blind Gold Standard of Evidence-Based Medicine: Outlining a New Research Program. Found. Sci. 2018, 24, 217–225. [Google Scholar] [CrossRef]
 - Aerts, D.; Sozzo, S. Quantum Structure in Cognition: Why and How Concepts Are Entangled. In Quantum Interaction, Proceedings of the 5th International Symposium, QI 2011, Aberdeen, UK, 26–29 June 2011; Lecture Notes in Computer Science; Song, D., Melucci, M., Frommholz, I., Zhang, P., Wang, L., Arafat, S., Eds.; Springer: Berlin/Heidelberg, Germany, 2011. [Google Scholar]
 - Aerts, D. Quantum structures due to fluctuations of the measurement situation. Int. J. Theor. Phys. 1993, 32, 2207–2220. [Google Scholar] [CrossRef]
 - Miura, S.; Fujino, M.; Hanzawa, H.; Kiya, Y.; Imaizumi, S.; Matsuo, Y.; Tomita, S.; Uehara, Y.; Karnik, S.S.; Yanagisawa, H.; et al. Molecular mechanism underlying inverse agonist of angiotensin II type 1 receptor. J. Biol. Chem. 2006, 281, 19288–19295. [Google Scholar] [CrossRef]
 - Miura, S.; Kiya, Y.; Kanazawa, T.; Imaizumi, S.; Fujino, M.; Matsuo, Y.; Karnik, S.S.; Saku, K. Differential bonding interactions of inverse agonists of angiotensin II type 1 receptor in stabilizing the inactive state. Mol. Endocrinol. 2008, 22, 139–146. [Google Scholar] [CrossRef]
 - Kellic, T.F.; Ntountaniotis, D.; Liapakis, G.; Tzakos, A.G.; Marvromoustakos, T. The dynamic properties of angiotensin II type 1 receptor inverse agonists in solution and in the receptor site. Arab. J. Chem. 2019, 12, 5072–5078. [Google Scholar] [CrossRef]
 - Duarte, D.A.; Parreiras, E.S.L.T.; Oliveira, E.B.; Bouvier, M.; Costa-Neto, C.M. Angiotensin II Type 1 Receptor Tachyphylaxis Is Defined by Agonist Residence Time. Hypertension 2022, 79, 115–125. [Google Scholar] [CrossRef] [PubMed]
 - Moore, G.J.; Franklin, K.J.; Nystrom, D.M.; Goghari, M.H. Structure–desensitization relationships of angiotensin analogues in the rat isolated uterus. Can. J. Physiol. Pharmacol. 1985, 63, 966–971. [Google Scholar] [CrossRef] [PubMed]
 - Moore, G.J.; Kwok, Y.C. Angiotensin receptors in resting smooth muscle are the low affinity sites observed in binding studies. Life Sci. 1987, 41, 505–511. [Google Scholar] [CrossRef] [PubMed]
 - Jankowski, V.; Vanholder, R.; van der Giet, M.; Tölle, M.; Karadogan, S.; Gobom, J.; Furkert, J.; Oksche, A.; Krause, E.; Anh Tran, T.N. Mass-spectrometric identification of a novel angiotensin peptide in human plasma. Arterioscler. Thromb. Vasc. Biol. 2007, 27, 297–302. [Google Scholar] [CrossRef] [PubMed]
 - Yang, R.; Smolders, I.; Vanderheyden, P.; Demaegdt, H.; Van Eeckhaut, A.; Vauquelin, G.; Lukaszuk, A.; Tourwé, D.; Chai, S.Y.; Albiston, A.L. Pressor and renal hemodynamic effects of the novel angiotensin A peptide are angiotensin II type 1A receptor dependent. Hypertension 2011, 57, 956–964. [Google Scholar] [CrossRef] [PubMed]
 - Coutinho, D.C.; Foureaux, G.; Rodrigues, K.D.; Salles, R.L.; Moraes, P.L.; Murça, T.M.; De Maria, M.L.; Gomes, E.R.; Santos, R.A.; Guatimosim, S. Cardiovascular effects of angiotensin A: A novel peptide of the renin–angiotensin system. J. Renin-Angiotensin-Aldosterone Syst. 2014, 15, 480–486. [Google Scholar] [CrossRef] [PubMed]
 - Siarkos, I.; Urso, V.; Sinagra, T.; Drago, F.; Salomone, S. Endothelium-dependent vasomotor effects of telmisartan in isolated rat femoral arteries. Pharmacol. Res. 2011, 63, 199–206. [Google Scholar] [CrossRef]
 - Duarte, M.; Pelorosso, F.; Nicolosi, L.N.; Victoria Salgado, M.; Vetulli, H.; Aquieri, A.; Azzato, F.; Castro, M.; Coyle, J.; Davolos, I.; et al. Telmisartan for treatment of COVID-19 patients: An open multicenter randomized clinical trial. EClinicalMedicine 2021, 37, 100962. [Google Scholar] [CrossRef]
 - Meng, J.; Xiao, G.; Zhang, J.; He, X.; Ou, M.; Bi, J.; Yang, R.; Di, W.; Wang, Z.; Li, Z.; et al. Renin-angiotensin system inhibitors improve the clinical outcomes of COVID-19 patients with hypertension. Emerg. Microbes Infect. 2020, 9, 757–760. [Google Scholar] [CrossRef]
 - Vaduganathan, M.; Vardeny, O.; Michel, T.; McMurray, J.J.V.; Pfeffer, M.A.; Solomon, S.D. Renin–Angiotensin–Aldosterone System Inhibitors in Patients with COVID-19. N. Engl. J. Med. 2020, 382, 1653–1659. [Google Scholar] [CrossRef]
 - Zhang, P.; Zhu, L.; Cai, J.; Lei, F.; Qin, J.-J.; Xie, J.; Liu, Y.-M.; Zhao, Y.-C.; Huang, X.; Lin, L.; et al. Association of Inpatient Use of Angiotensin-Converting Enzyme Inhibitors and Angiotensin II Receptor Blockers With Mortality Among Patients With Hypertension Hospitalized With COVID-19. Circ. Res. 2020, 126, 1671–1681. [Google Scholar] [CrossRef] [PubMed]
 - Liu, D.; Wu, P.; Gu, W.; Yang, C.; Yang, X.; Deng, X.; Xu, J.; Jiang, J.; Jiang, C. Potential of angiotensin II receptor blocker telmisartan in reducing mortality among hospitalized patients with COVID-19 compared with recommended drugs. Cell Discov. 2022, 8, 91. [Google Scholar] [CrossRef] [PubMed]
 - Elkahloun, A.G.; Saavedra, J.M. Candesartan could ameliorate the COVID-19 cytokine storm. Biomed. Pharmacother. 2020, 131, 110653. [Google Scholar] [CrossRef] [PubMed]
 - Izumi, Y.; Iwao, H. Angiotensin II Peptides. In Handbook of Biologically Active Peptides, 2nd ed.; Academic Press: Cambridge, MA, USA, 2013; pp. 1369–1376. [Google Scholar] [CrossRef]
 - Chang, Y.; Wei, W. Angiotensin II in inflammation, immunity and rheumatoid arthritis. Clin. Exp. Immunol. 2015, 179, 137–145. [Google Scholar] [CrossRef] [PubMed]
 - Apostolopoulos, V.; Bojarska, J.; Feehan, J.; Matsoukas, J.; Wolf, W. Smart therapies against global pandemics: A potential of short peptides. Front. Pharmacol. 2022, 13, 914467. [Google Scholar] [CrossRef] [PubMed]
 - Hammond, J.; Leister-Tebbe, H.; Gardner, A.; Abreu, P.; Bao, W.; Wisemandle, W.; Baniecki, M.; Hendrick, V.M.; Damle, B.; Simón-Campos, A.; et al. Oral Nirmatrelvir for High-Risk, Nonhospitalized Adults with COVID-19. N. Engl. J. Med. 2022, 386, 1397–1408. [Google Scholar] [CrossRef] [PubMed]
 - Burki, T. The future of Paxlovid for COVID-19. Lancet Respir. Med. 2022, 10, e68. [Google Scholar] [CrossRef] [PubMed]
 - Vuorio, A.; Kovanen, P.T.; Raal, F. Cholesterol-lowering drugs for high-risk hypercholesterolemia patients with COVID-19 while on Paxlovid™ therapy. Future Virol. 2022, 17, 761–765. [Google Scholar] [CrossRef]
 - Vuorio, A.; Kovanen, P.T.; Raal, F. Statin needs to be continued during Paxlovid therapy in COVID-19. Clin. Infect. Dis. 2022, 75, 2281–2282. [Google Scholar] [CrossRef]
 - Hornyik, T.; Rieder, M.; Castiglione, A.; Major, P.; Baczko, I.; Brunner, M.; Koren, G.; Odening, K.E. Transgenic rabbit models for cardiac disease research. Br. J. Pharmacol. 2022, 179, 938–957. [Google Scholar] [CrossRef]
 - Dasgupta, C.; Zhang, L. Angiotensin II receptors and drug discovery in cardiovascular disease. Drug Discov. Today 2011, 16, 22–34. [Google Scholar] [CrossRef]
 - Zhou, Y.; Chen, Y.; Dirksen, W.P.; Morris, M.; Periasamy, M. AT1b receptor predominantly mediates contractions in major mouse blood vessels. Circ. Res. 2003, 93, 1089–1094. [Google Scholar] [CrossRef] [PubMed]
 - Gadanec, L.K.; McSweeney, K.R.; Kubatka, P.; Caprnda, M.; Gaspar, L.; Prosecky, R.; Dragasek, J.; Kruzliak, P.; Apostolopoulos, V.; Zulli, A. Angiotensin II constricts mouse iliac arteries: Possible mechanism for aortic aneurysms. Mol. Cell. Biochem. 2023, in press. [Google Scholar] [CrossRef] [PubMed]
 - Zhou, Y.; Dirksen, W.P.; Babu, G.J.; Periasamy, M. Differential vasoconstrictions induced by angiotensin II: Role of AT1 and AT2 receptors in isolated C57BL/6J mouse blood vessels. Am. J. Physiol. Heart Circ. 2003, 285, H2797–H2803. [Google Scholar] [CrossRef] [PubMed]
 - Hus-Citharel, A.; Bouby, N.; Marchetti, J.; Chansel, D.; Goidin, D.; Gourdji, D.; Corvol, P.; Llorens-Cortes, C. Desensitization of type 1 angiotensin II receptor subtypes in the rat kidney. Endocrinology 2001, 142, 4683–4692. [Google Scholar] [CrossRef]
 






| log[AngII], M | ACC519T 10−6 M vs. Control  | ACC519T(2) 10−6 M vs. Control  | BV6(K+)2 10−6 M vs. Control  | Candesartan 10−6 M vs. Control  | Nirmatrelvir 10−6 M vs. Control  | Telmisartan 10−6 M vs. Control  | 
| −11.0 | ns | ns | ns | ns | ns | ns | 
| −10.5 | ns | ns | ns | ns | ns | ns | 
| −10.0 | p < 0.01 | ns | p < 0.01 | p < 0.001 | ns | p < 0.001 | 
| −9.5 | p < 0.0001 | ns | p < 0.0001 | p < 0.0001 | ns | p < 0.0001 | 
| −9.0 | p < 0.0001 | ns | p < 0.0001 | p < 0.0001 | ns | p < 0.0001 | 
| −8.5 | p < 0.0001 | ns | p < 0.0001 | p < 0.0001 | ns | p < 0.0001 | 
| −8.0 | p < 0.0001 | p < 0.05 | p < 0.0001 | p < 0.0001 | ns | p < 0.0001 | 
| −7.5 | p < 0.0001 | p < 0.0001 | p < 0.0001 | p < 0.0001 | ns | p < 0.0001 | 
| −7.0 | p < 0.0001 | p < 0.0001 | p < 0.01 | p < 0.0001 | ns | p < 0.0001 | 
| −6.5 | p < 0.0001 | p < 0.001 | ns | p < 0.0001 | ns | p < 0.0001 | 
| −6.0 | p < 0.0001 | ns | p < 0.001 | p < 0.0001 | ns | p < 0.0001 | 
| −5.5 | p < 0.05 | ns | ns | p < 0.05 | ns | p < 0.05 | 
| −5.0 | ns | ns | ns | ns | ns | ns | 
| log[AngII], M | ACC519T 10−12 M vs. Control  | ACC519T(2) 10−12 M vs. Control  | BV6(K+)2 10−12 M vs. Control  | Candesartan 10−12 M vs. Control  | Nirmatrelvir 10−12 M vs. Control  | Telmisartan 10−12 M vs. Control  | 
| −11.0 | ns | ns | ns | ns | ns | ns | 
| −10.5 | ns | ns | ns | ns | ns | ns | 
| −10.0 | ns | ns | ns | ns | ns | ns | 
| −9.5 | p < 0.05 | p < 0.05 | p < 0.01 | p < 0.01 | ns | p < 0.01 | 
| −9.0 | p < 0.001 | p < 0.01 | p < 0.001 | p < 0.001 | ns | p < 0.0001 | 
| −8.5 | p < 0.0001 | p < 0.01 | p < 0.0001 | p < 0.0001 | ns | p < 0.0001 | 
| −8.0 | p < 0.0001 | p < 0.0001 | p < 0.0001 | p < 0.0001 | ns | p < 0.0001 | 
| −7.5 | p < 0.0001 | ns | p < 0.0001 | p < 0.0001 | ns | p < 0.0001 | 
| −7.0 | p < 0.0001 | ns | ns | p < 0.0001 | ns | p < 0.0001 | 
| −6.5 | p < 0.01 | ns | ns | p < 0.0001 | ns | p < 0.0001 | 
| −6.0 | ns | ns | ns | ns | ns | ns | 
| −5.5 | ns | ns | ns | ns | ns | ns | 
| −5.0 | ns | ns | ns | ns | ns | ns | 
| log[AngII], M | ACC519T 10−18 M vs. Control  | ACC519T(2) 10−18 M vs. Control  | BV6(K+)2 10−18 M vs. Control  | Candesartan 10−18 M vs. Control  | Nirmatrelvir 10−18 M vs. Control  | Telmisartan 10−18 M vs. Control  | 
| −11.0 | ns | ns | ns | ns | ns | ns | 
| −10.5 | ns | ns | ns | ns | ns | ns | 
| −10.0 | ns | ns | ns | p < 0.05 | ns | ns | 
| −9.5 | ns | p < 0.01 | p < 0.05 | p < 0.001 | ns | p < 0.001 | 
| −9.0 | p < 0.05 | p < 0.0001 | p < 0.0001 | p < 0.0001 | ns | p < 0.0001 | 
| −8.5 | p < 0.01 | p < 0.0001 | p < 0.0001 | p < 0.0001 | ns | p < 0.0001 | 
| −8.0 | p < 0.0001 | p < 0.0001 | p < 0.0001 | p < 0.0001 | ns | p < 0.0001 | 
| −7.5 | p < 0.0001 | p < 0.0001 | p < 0.0001 | p < 0.0001 | ns | p < 0.0001 | 
| −7.0 | p < 0.001 | p < 0.0001 | p < 0.0001 | p < 0.0001 | ns | p < 0.0001 | 
| −6.5 | p < 0.01 | p < 0.01 | p < 0.0001 | p < 0.0001 | ns | p < 0.0001 | 
| −6.0 | ns | ns | p < 0.05 | p < 0.05 | ns | ns | 
| −5.5 | ns | ns | ns | ns | ns | ns | 
| −5.0 | ns | ns | ns | ns | ns | ns | 
| log[AngII], M | ACC519T 10−24 M vs. Control  | ACC519T(2) 10−24 M vs. Control  | BV6(K+)2 10−24 M vs. Control  | Candesartan 10−24 M vs. Control  | Nirmatrelvir 10−24 M vs. Control  | Telmisartan 10−24 M vs. Control  | 
| −11.0 | ns | ns | ns | ns | ns | ns | 
| −10.5 | ns | ns | ns | ns | ns | ns | 
| −10.0 | ns | ns | ns | ns | ns | ns | 
| −9.5 | ns | p < 0.01 | p < 0.05 | p < 0.01 | ns | p < 0.01 | 
| −9.0 | p < 0.05 | p < 0.01 | p < 0.01 | p < 0.0001 | ns | p < 0.0001 | 
| −8.5 | p < 0.0001 | p < 0.0001 | p < 0.0001 | p < 0.0001 | ns | p < 0.0001 | 
| −8.0 | p < 0.0001 | p < 0.0001 | p < 0.0001 | p < 0.0001 | ns | p < 0.0001 | 
| −7.5 | p < 0.0001 | p < 0.0001 | p < 0.0001 | p < 0.0001 | ns | p < 0.0001 | 
| −7.0 | p < 0.0001 | p < 0.001 | p < 0.0001 | p < 0.0001 | ns | p < 0.0001 | 
| −6.5 | p < 0.0001 | p < 0.05 | p < 0.0001 | p < 0.0001 | ns | p < 0.0001 | 
| −6.0 | ns | ns | p < 0.01 | ns | ns | ns | 
| −5.5 | ns | ns | ns | ns | ns | ns | 
| −5.0 | ns | ns | ns | ns | ns | ns | 
| log[AngII], M | ACC519T 10−30 M vs. Control  | ACC519T(2) 10−30 M vs. Control  | BV6(K+)2 10−30 M vs. Control  | Candesartan 10−30 M vs. Control  | Nirmatrelvir 10−30 M vs. Control  | Telmisartan 10−30 M vs. Control  | 
| −11.0 | ns | ns | ns | ns | ns | ns | 
| −10.5 | ns | ns | ns | ns | ns | ns | 
| −10.0 | ns | ns | ns | ns | ns | ns | 
| −9.5 | ns | ns | ns | p < 0.05 | ns | ns | 
| −9.0 | ns | p < 0.01 | ns | p < 0.001 | ns | p < 0.05 | 
| −8.5 | ns | p < 0.05 | ns | p < 0.0001 | ns | p < 0.001 | 
| −8.0 | p < 0.001 | p < 0.0001 | p < 0.0001 | p < 0.0001 | ns | p < 0.0001 | 
| −7.5 | p < 0.05 | p < 0.001 | p < 0.01 | p < 0.0001 | ns | p < 0.0001 | 
| −7.0 | p < 0.05 | p < 0.05 | p < 0.05 | p < 0.0001 | ns | p < 0.0001 | 
| −6.5 | p < 0.05 | ns | ns | p < 0.001 | ns | p < 0.01 | 
| −6.0 | ns | ns | ns | ns | ns | ns | 
| −5.5 | ns | ns | ns | ns | ns | ns | 
| −5.0 | ns | ns | ns | ns | ns | ns | 
| log[AngII], M | ACC519T 10−40 M vs. Control  | ACC519T(2) 10−40 M vs. Control  | BV6(K+)2 10−40 M vs. Control  | Candesartan 10−40 M vs. Control  | Nirmatrelvir 10−40 M vs. Control  | Telmisartan 10−40 M vs. Control  | 
| −11.0 | ns | ns | ns | ns | ns | ns | 
| −10.5 | ns | ns | ns | ns | ns | ns | 
| −10.0 | ns | ns | ns | ns | ns | ns | 
| −9.5 | ns | ns | ns | p < 0.01 | ns | p < 0.05 | 
| −9.0 | ns | ns | ns | p < 0.001 | ns | p < 0.01 | 
| −8.5 | p < 0.05 | p < 0.05 | ns | p < 0.0001 | ns | p < 0.0001 | 
| −8.0 | p < 0.0001 | p < 0.0001 | p < 0.0001 | p < 0.0001 | ns | p < 0.0001 | 
| −7.5 | p < 0.0001 | p < 0.001 | p < 0.001 | p < 0.0001 | ns | p < 0.0001 | 
| −7.0 | p < 0.01 | p < 0.05 | p < 0.05 | p < 0.0001 | ns | p < 0.0001 | 
| −6.5 | p < 0.01 | p < 0.05 | p < 0.01 | p < 0.001 | ns | p < 0.001 | 
| −6.0 | ns | ns | ns | ns | ns | ns | 
| −5.5 | ns | ns | ns | ns | ns | ns | 
| −5.0 | ns | ns | ns | ns | ns | ns | 
| log[AngII], M | ACC519T 10−50 M vs. Control  | BV6(K+)2 10−50 M vs. Control  | Candesartan 10−50 M vs. Control  | |||
| −11.0 | ns | ns | ns | |||
| −10.5 | ns | ns | ns | |||
| −10.0 | ns | ns | p < 0.05 | |||
| −9.5 | ns | p < 0.05 | p < 0.001 | |||
| −9.0 | ns | p < 0.0001 | p < 0.0001 | |||
| −8.5 | ns | p < 0.0001 | p < 0.0001 | |||
| −8.0 | ns | p < 0.0001 | p < 0.0001 | |||
| −7.5 | ns | p < 0.0001 | p < 0.0001 | |||
| −7.0 | ns | p < 0.0001 | p < 0.0001 | |||
| −6.5 | ns | p < 0.001 | p < 0.0001 | |||
| −6.0 | ns | ns | p < 0.05 | |||
| −5.5 | ns | ns | ns | |||
| −5.0 | ns | ns | ns | |||
| log[AngII], M | ACC519T 10−60 M vs. Control  | BV6(K+)2 10−60 M vs. Control  | Candesartan 10−60 M vs. Control  | |||
| −11.0 | ns | ns | ns | |||
| −10.5 | ns | ns | ns | |||
| −10.0 | ns | p < 0.05 | ns | |||
| −9.5 | p < 0.01 | p < 0.001 | ns | |||
| −9.0 | p < 0.05 | p < 0.0001 | ns | |||
| −8.5 | p < 0.05 | p < 0.0001 | p < 0.05 | |||
| −8.0 | p < 0.0001 | p < 0.0001 | p < 0.0001 | |||
| −7.5 | p < 0.0001 | p < 0.0001 | p < 0.0001 | |||
| −7.0 | p < 0.0001 | p < 0.0001 | p < 0.0001 | |||
| −6.5 | p < 0.01 | p < 0.0001 | p < 0.0001 | |||
| −6.0 | ns | ns | ns | |||
| −5.5 | ns | ns | ns | |||
| −5.0 | ns | ns | ns | |||
| log[PE], M | ACC519T 10−6.0 M vs. Control  | ACC519T(2) 10−6 M vs. Control  | BV6(K+)2 10−6 M vs. Control  | Candesartan 10−6 M vs. Control  | Nirmatrelvir 10−6 M vs. Control  | Telmisartan 10−6 M vs. Control  | 
| −9.0 | ns | ns | ns | ns | ns | ns | 
| −8.5 | ns | ns | ns | ns | ns | ns | 
| −8.0 | ns | ns | ns | ns | ns | ns | 
| −7.5 | p < 0.01 | ns | ns | ns | ns | ns | 
| −7.0 | p < 0.0001 | ns | ns | ns | ns | ns | 
| −6.5 | p < 0.0001 | ns | ns | ns | ns | ns | 
| −6.0 | p < 0.0001 | ns | ns | ns | ns | ns | 
| −5.5 | p < 0.0001 | ns | ns | ns | ns | ns | 
| −5.0 | p < 0.0001 | ns | ns | ns | ns | ns | 
| log[PE], M | ACC519T 10−12 M vs. Control  | ACC519T(2) 10−12 M vs. Control  | BV6(K+)2 10−12 M vs. Control  | Candesartan 10−12 M vs. Control  | Nirmatrelvir 10−12 M vs. Control  | Telmisartan 10−12 M vs. Control  | 
| −9.0 | ns | ns | ns | ns | ns | ns | 
| −8.5 | ns | ns | ns | ns | ns | ns | 
| −8.0 | ns | ns | ns | ns | ns | ns | 
| −7.5 | ns | ns | ns | ns | ns | ns | 
| −7.0 | ns | ns | ns | p < 0.01 | ns | ns | 
| −6.5 | ns | p < 0.05 | ns | p < 0.01 | ns | ns | 
| −6.0 | ns | p < 0.05 | ns | p < 0.01 | ns | ns | 
| −5.5 | ns | ns | ns | ns | ns | ns | 
| −5.0 | ns | ns | ns | ns | ns | ns | 
| log[PE], M | ACC519T 10−18 M vs. Control  | ACC519T(2) 10−18 M vs. Control  | BV6(K+)2 10−18 M vs. Control  | Candesartan 10−18 M vs. Control  | Nirmatrelvir 10−18 M vs. Control  | Telmisartan 10−18 M vs. Control  | 
| −9.0 | ns | ns | ns | ns | ns | ns | 
| −8.5 | ns | ns | ns | ns | ns | ns | 
| −8.0 | ns | ns | ns | ns | ns | ns | 
| −7.5 | ns | ns | ns | ns | ns | ns | 
| −7.0 | ns | p < 0.05 | ns | ns | ns | ns | 
| −6.5 | ns | p < 0.01 | ns | ns | ns | ns | 
| −6.0 | ns | p < 0.05 | ns | ns | ns | ns | 
| −5.5 | ns | ns | ns | ns | ns | ns | 
| −5.0 | ns | ns | ns | ns | ns | ns | 
| log[PE], M | ACC519T 10−24 M vs. Control  | ACC519T(2) 10−24 M vs. Control  | BV6(K+)2 10−24 M vs. Control  | Candesartan 10−24 M vs. Control  | Nirmatrelvir 10−24 M vs. Control  | Telmisartan 10−24 M vs. Control  | 
| −9.0 | ns | ns | ns | ns | ns | ns | 
| −8.5 | ns | ns | ns | ns | ns | ns | 
| −8.0 | ns | ns | ns | ns | ns | ns | 
| −7.5 | ns | ns | ns | ns | ns | ns | 
| −7.0 | ns | p < 0.05 | ns | ns | ns | ns | 
| −6.5 | ns | p < 0.01 | ns | ns | ns | ns | 
| −6.0 | ns | p < 0.0001 | ns | ns | ns | ns | 
| −5.5 | ns | p < 0.01 | ns | ns | ns | ns | 
| −5.0 | ns | p < 0.05 | ns | ns | ns | ns | 
| log[PE], M | ACC519T 10−30 M vs. Control  | ACC519T(2) 10−30 M vs. Control  | BV6(K+)2 10−30 M vs. Control  | Candesartan 10−30 M vs. Control  | Nirmatrelvir 10−30 M vs. Control  | Telmisartan 10−30 M vs. Control  | 
| −9.0 | ns | ns | ns | ns | ns | ns | 
| −8.5 | ns | ns | ns | ns | ns | ns | 
| −8.0 | ns | ns | ns | ns | ns | ns | 
| −7.5 | ns | ns | ns | ns | ns | ns | 
| −7.0 | ns | p < 0.01 | ns | ns | ns | ns | 
| −6.5 | ns | p < 0.01 | ns | ns | ns | ns | 
| −6.0 | ns | p < 0.05 | ns | p < 0.01 | ns | ns | 
| −5.5 | ns | ns | ns | p < 0.01 | ns | ns | 
| −5.0 | ns | ns | ns | p < 0.01 | ns | ns | 
| log[PE], M | ACC519T 10−40 M vs. Control  | ACC519T(2) 10−40 M vs. Control  | BV6(K+)2 10−40 M vs. Control  | Candesartan 10−40 M vs. Control  | Nirmatrelvir 10−40 M vs. Control  | Telmisartan 10−40 M vs. Control  | 
| −9.0 | ns | ns | ns | ns | ns | ns | 
| −8.5 | ns | ns | ns | ns | ns | ns | 
| −8.0 | ns | ns | ns | ns | ns | ns | 
| −7.5 | ns | ns | ns | ns | ns | ns | 
| −7.0 | ns | ns | ns | ns | ns | ns | 
| −6.5 | p < 0.05 | ns | ns | p < 0.05 | ns | p < 0.05 | 
| −6.0 | p < 0.0001 | ns | ns | p < 0.01 | ns | p < 0.01 | 
| −5.5 | p < 0.0001 | ns | ns | p < 0.01 | ns | p < 0.01 | 
| −5.0 | p < 0.0001 | ns | ns | p < 0.01 | ns | p < 0.01 | 
| log[PE], M | ACC519T 10−50 M vs. Control  | BV6(K+)2 10−50 M vs. Control  | Candesartan 10−50 M vs. Control  | |||
| −9.0 | ns | ns | ns | |||
| −8.5 | ns | ns | ns | |||
| −8.0 | ns | ns | p < 0.0001 | |||
| −7.5 | ns | ns | p < 0.0001 | |||
| −7.0 | ns | ns | p < 0.001 | |||
| −6.5 | ns | ns | p < 0.001 | |||
| −6.0 | ns | p < 0.05 | p < 0.05 | |||
| −5.5 | ns | p < 0.05 | ns | |||
| −5.0 | ns | ns | ns | |||
| log[PE], M | ACC519T 10−60 M vs. Control  | BV6(K+)2 10−60 M vs. Control  | Candesartan 10−60 M vs. Control  | |||
| −9.0 | ns | ns | ns | |||
| −8.5 | ns | ns | ns | |||
| −8.0 | ns | ns | ns | |||
| −7.5 | ns | ns | ns | |||
| −7.0 | ns | ns | ns | |||
| −6.5 | ns | ns | p < 0.05 | |||
| −6.0 | ns | ns | p < 0.05 | |||
| −5.5 | ns | ns | ns | |||
| −5.0 | ns | ns | ns | |||
| log[AngA], M | ACC519T 10−6 M vs. Control | ACC519T(2) 10−6 M vs. Control | BV6(K+)2 10−6 M vs. Control | 
| −11.0 | ns | ns | ns | 
| −10.5 | ns | ns | ns | 
| −10.0 | ns | ns | ns | 
| −9.5 | ns | p < 0.05 | p < 0.05 | 
| −9.0 | ns | p < 0.0001 | p < 0.0001 | 
| −8.5 | ns | p < 0.0001 | p < 0.0001 | 
| −8.0 | p < 0.01 | p < 0.0001 | p < 0.0001 | 
| −7.5 | p < 0.0001 | p < 0.0001 | p < 0.0001 | 
| −7.0 | p < 0.0001 | p < 0.0001 | p < 0.0001 | 
| −6.5 | p < 0.0001 | p < 0.0001 | p < 0.0001 | 
| −6.0 | p < 0.0001 | p < 0.0001 | p < 0.0001 | 
| −5.5 | p < 0.0001 | p < 0.0001 | p < 0.0001 | 
| −5.0 | ns | p < 0.001 | ns | 
| log[AngA], M | ACC519T 10−12 M vs. Control | ACC519T(2) 10−12 M vs. Control | BV6(K+)2 10−12 M vs. Control | 
| −11.0 | ns | ns | ns | 
| −10.5 | ns | ns | ns | 
| −10.0 | ns | ns | ns | 
| −9.5 | ns | p < 0.01 | p < 0.05 | 
| −9.0 | p < 0.001 | p < 0.0001 | p < 0.0001 | 
| −8.5 | p < 0.0001 | p < 0.0001 | p < 0.0001 | 
| −8.0 | p < 0.0001 | p < 0.0001 | p < 0.0001 | 
| −7.5 | p < 0.0001 | p < 0.0001 | p < 0.0001 | 
| −7.0 | p < 0.0001 | p < 0.0001 | p < 0.0001 | 
| −6.5 | p < 0.0001 | p < 0.0001 | p < 0.0001 | 
| −6.0 | p < 0.0001 | p < 0.0001 | p < 0.0001 | 
| −5.5 | p < 0.0001 | p < 0.0001 | p < 0.0001 | 
| −5.0 | ns | p < 0.01 | p < 0.05 | 
| log[AngA], M | ACC519T 10−18 M vs. Control | ACC519T(2) 10−18 M vs. Control | BV6(K+)2 10−18 M vs. Control | 
| −11.0 | ns | ns | ns | 
| −10.5 | ns | ns | ns | 
| −10.0 | ns | ns | ns | 
| −9.5 | ns | p < 0.05 | ns | 
| −9.0 | p < 0.001 | p < 0.0001 | p < 0.0001 | 
| −8.5 | p < 0.0001 | p < 0.0001 | p < 0.0001 | 
| −8.0 | p < 0.0001 | p < 0.0001 | p < 0.0001 | 
| −7.5 | p < 0.0001 | p < 0.0001 | p < 0.0001 | 
| −7.0 | p < 0.0001 | p < 0.0001 | p < 0.0001 | 
| −6.5 | p < 0.0001 | p < 0.0001 | p < 0.0001 | 
| −6.0 | p < 0.0001 | p < 0.0001 | p < 0.0001 | 
| −5.5 | p < 0.0001 | p < 0.0001 | p < 0.0001 | 
| −5.0 | ns | p < 0.01 | p < 0.05 | 
| log[AngA], M | ACC519T 10−24 M vs. Control | ACC519T(2) 10−24 M vs. Control | BV6(K+)2 10−24 M vs. Control | 
| −11.0 | ns | ns | ns | 
| −10.5 | ns | ns | ns | 
| −10.0 | ns | ns | ns | 
| −9.5 | ns | p < 0.01 | ns | 
| −9.0 | p < 0.0001 | p < 0.0001 | p < 0.0001 | 
| −8.5 | p < 0.0001 | p < 0.0001 | p < 0.0001 | 
| −8.0 | p < 0.0001 | p < 0.0001 | p < 0.0001 | 
| −7.5 | p < 0.0001 | p < 0.0001 | p < 0.0001 | 
| −7.0 | p < 0.0001 | p < 0.0001 | p < 0.0001 | 
| −6.5 | p < 0.0001 | p < 0.0001 | p < 0.0001 | 
| −6.0 | p < 0.0001 | p < 0.0001 | p < 0.0001 | 
| −5.5 | p < 0.0001 | p < 0.0001 | p < 0.0001 | 
| −5.0 | ns | p < 0.001 | p < 0.05 | 
| log[AngA], M | ACC519T 10−30 M vs. Control | ACC519T(2) 10−30 M vs. Control | BV6(K+)2 10−30 M vs. Control | 
| −11.0 | ns | ns | ns | 
| −10.5 | ns | ns | ns | 
| −10.0 | ns | ns | ns | 
| −9.5 | ns | p < 0.01 | p < 0.05 | 
| −9.0 | p < 0.0001 | p < 0.0001 | p < 0.0001 | 
| −8.5 | p < 0.0001 | p < 0.0001 | p < 0.0001 | 
| −8.0 | p < 0.0001 | p < 0.0001 | p < 0.0001 | 
| −7.5 | p < 0.0001 | p < 0.0001 | p < 0.0001 | 
| −7.0 | p < 0.0001 | p < 0.0001 | p < 0.0001 | 
| −6.5 | p < 0.0001 | p < 0.0001 | p < 0.0001 | 
| −6.0 | p < 0.0001 | p < 0.0001 | p < 0.0001 | 
| −5.5 | p < 0.0001 | p < 0.0001 | p < 0.0001 | 
| −5.0 | ns | p < 0.001 | ns | 
| log[AngA], M | ACC519T 10−40 M vs. Control | ACC519T(2) 10−40 M vs. Control | BV6(K+)2 10−40 M vs. Control | 
| −11.0 | ns | ns | ns | 
| −10.5 | ns | ns | ns | 
| −10.0 | ns | ns | ns | 
| −9.5 | ns | p < 0.05 | ns | 
| −9.0 | p < 0.001 | p < 0.0001 | p < 0.0001 | 
| −8.5 | p < 0.0001 | p < 0.0001 | p < 0.0001 | 
| −8.0 | p < 0.0001 | p < 0.0001 | p < 0.0001 | 
| −7.5 | p < 0.0001 | p < 0.0001 | p < 0.0001 | 
| −7.0 | p < 0.0001 | p < 0.0001 | p < 0.0001 | 
| −6.5 | p < 0.0001 | p < 0.0001 | p < 0.0001 | 
| −6.0 | p < 0.0001 | p < 0.0001 | p < 0.0001 | 
| −5.5 | p < 0.0001 | p < 0.0001 | p < 0.0001 | 
| −5.0 | ns | p < 0.001 | p < 0.05 | 
Disclaimer/Publisher’s Note: The statements, opinions and data contained in all publications are solely those of the individual author(s) and contributor(s) and not of MDPI and/or the editor(s). MDPI and/or the editor(s) disclaim responsibility for any injury to people or property resulting from any ideas, methods, instructions or products referred to in the content.  | 
© 2023 by the authors. Licensee MDPI, Basel, Switzerland. This article is an open access article distributed under the terms and conditions of the Creative Commons Attribution (CC BY) license (https://creativecommons.org/licenses/by/4.0/).
Share and Cite
Gadanec, L.K.; Swiderski, J.; Apostolopoulos, V.; Kelaidonis, K.; Vidali, V.P.; Canko, A.; Moore, G.J.; Matsoukas, J.M.; Zulli, A. Existence of Quantum Pharmacology in Sartans: Evidence in Isolated Rabbit Iliac Arteries. Int. J. Mol. Sci. 2023, 24, 17559. https://doi.org/10.3390/ijms242417559
Gadanec LK, Swiderski J, Apostolopoulos V, Kelaidonis K, Vidali VP, Canko A, Moore GJ, Matsoukas JM, Zulli A. Existence of Quantum Pharmacology in Sartans: Evidence in Isolated Rabbit Iliac Arteries. International Journal of Molecular Sciences. 2023; 24(24):17559. https://doi.org/10.3390/ijms242417559
Chicago/Turabian StyleGadanec, Laura Kate, Jordan Swiderski, Vasso Apostolopoulos, Kostantinos Kelaidonis, Veroniki P. Vidali, Aleksander Canko, Graham J. Moore, John M. Matsoukas, and Anthony Zulli. 2023. "Existence of Quantum Pharmacology in Sartans: Evidence in Isolated Rabbit Iliac Arteries" International Journal of Molecular Sciences 24, no. 24: 17559. https://doi.org/10.3390/ijms242417559
APA StyleGadanec, L. K., Swiderski, J., Apostolopoulos, V., Kelaidonis, K., Vidali, V. P., Canko, A., Moore, G. J., Matsoukas, J. M., & Zulli, A. (2023). Existence of Quantum Pharmacology in Sartans: Evidence in Isolated Rabbit Iliac Arteries. International Journal of Molecular Sciences, 24(24), 17559. https://doi.org/10.3390/ijms242417559
        
