The Antidepressant Activity of a Taurine-Containing Derivative of 4-Phenylpyrrolidone-2 in a Model of Chronic Unpredictable Mild Stress
Abstract
1. Introduction
2. Results
- Dep_Flu (Fluoxetine)—n = 12, therapy with Fluoxetine 15 mg/kg (oral administration).
- Dep_NaCl (control group treated with saline)—n = 12, IP administration of physiological saline.
- Int (intact animals)—n = 12, not exposed to depressive stimuli and not receiving any medications.
2.1. Behavioral Tests
2.2. Monoamine Concentration Studies
3. Discussion
4. Materials and Methods
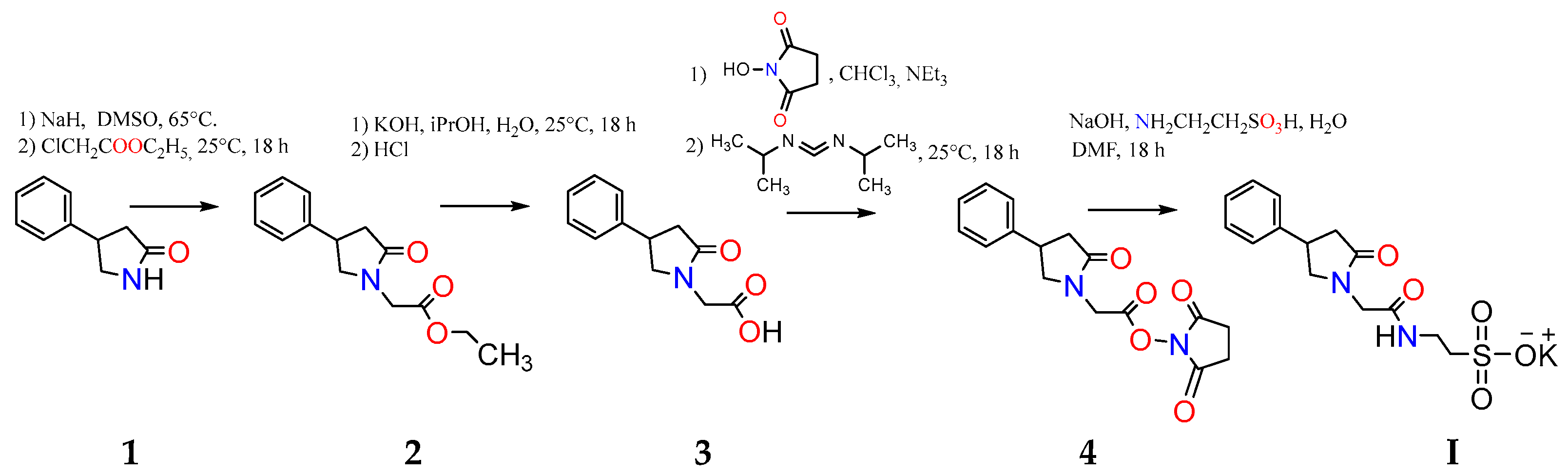
4.1. Chemistry
4.2. Animals Models
4.3. Treatment (Administration of Compounds)
4.4. Behavioral Test for Efficacy Measurement
4.5. Behavioral Tests
4.6. Monoamine Concentration Studies (LC-MS)
4.7. Measurement of Hormones and Inflammatory Factors
Supplementary Materials
Author Contributions
Funding
Institutional Review Board Statement
Informed Consent Statement
Data Availability Statement
Conflicts of Interest
References
- World Health Organization. Depression and Other Common Mental Disorders: Global Health Estimates; World Health Organization: Geneva, Switzerland, 2017. [Google Scholar]
- Wise, J. NICE guidance on depression: 35 health organisations demand “full and proper” revision. BMJ 2019, 365, l2356. [Google Scholar] [CrossRef]
- Artigas, F.; Bortolozzi, A.; Celada, P. Can we increase speed and efficacy of antidepressant treatments? Part I: General aspects and monoamine-based strategies. Eur. Neuropsychopharmacol. 2018, 28, 445–456. [Google Scholar]
- Al-Harbi, K.S. Treatment-resistant depression: Therapeutic trends, challenges, and future directions. Patient Prefer. Adherence 2012, 6, 369–388. [Google Scholar] [CrossRef]
- Kostev, K.; Weber, K.; Riedel-Heller, S.; von Vultée, C.; Bohlken, J. Increase in depression and anxiety disorder diagnoses during the COVID-19 pandemic in children and adolescents followed in pediatric practices in Germany. Eur. Child. Adolesc. Psychiatry 2023, 32, 873–879. [Google Scholar]
- Rafeyan, R.; Papakostas, G.I.; Jackson, W.C.; Trivedi, M.H. Inadequate Response to Treatment in Major Depressive Disorder: Augmentation and Adjunctive Strategies. J. Clin. Psychiatry 2020, 81, 27570. [Google Scholar] [CrossRef]
- Borozdenko, D.A.; Khovanova, S.S.; Kiseleva, N.M.; Negrebetsky, V.V. Modeling Depression. Med. J. Russ. Fed. 2019, 25, 176–180. [Google Scholar]
- Filimonov, D.A.; Druzhilovskiy, D.S.; Lagunin, A.; Gloriozova, T.; Rudik, A.V.; Dmitriev, A.V.; Pogodin, P.; Poroikov, V. Computer-aided prediction of biological activity spectra for chemical compounds: Opportunities and limitation. Biomed. Chem. Res. Methods 2018, 1, e00004. [Google Scholar]
- Borozdenko, D.; Lyakhmun, D.N.; Golubev, Y.V.; Tarasenko, D.; Negrebetsky, V. Study of the new 4-phenylpyrrolidinone-2 derivative pharmacokinetics and neuroprotective effect in the ischemic stroke animal model. Bull. Russ. State Med. Univ. 2020, 1, 49–56. [Google Scholar]
- Borozdenko, D.A.; Ezdoglian, A.A.; Shmigol, T.A.; Gonchar, D.I.; Lyakhmun, D.N.; Tarasenko, D.V.; Golubev, Y.V.; Cherkashova, E.A.; Namestnikova, D.D.; Gubskiy, I.L.; et al. A Novel Phenylpyrrolidine Derivative: Synthesis and Effect on Cognitive Functions in Rats with Experimental Ishemic Stroke. Molecules 2021, 26, 6124. [Google Scholar]
- Dulawa, S.C.; Holick, K.A.; Gundersen, B.; Hen, R. Effects of chronic fluoxetine in animal models of anxiety and depression. Neuropsychopharmacology 2004, 29, 1321–1330. [Google Scholar] [CrossRef]
- Pawluski, J.L.; van Donkelaar, E.; Abrams, Z.; Houbart, V.; Fillet, M.; Steinbusch HW, M.; Charlier, T.D. Fluoxetine Dose and Administration Method Differentially Affect Hippocampal Plasticity in Adult Female Rats. Neural Plast. 2014, 2014, 123026. [Google Scholar] [CrossRef]
- Perić, I.; Stanisavljević, A.; Gass, P.; Filipović, D. Fluoxetine reverses behavior changes in socially isolated rats: Role of the hippocampal GSH-dependent defense system and proinflammatory cytokines. Eur. Arch. Psychiatry Clin. Neurosci. 2017, 267, 737–749. [Google Scholar] [CrossRef]
- Dawson, C.A.; Horvath, S.M. Swimming in small laboratory animals. Med. Sci. Sport. 1970, 2, 51–78. [Google Scholar]
- Opel, N.; Redlich, R.; Zwanzger, P.; Grotegerd, D.; Arolt, V.; Heindel, W.; Konrad, C.; Kugel, H.; Dannlowski, U. Hippocampal Atrophy in Major Depression: A Function of Childhood Maltreatment Rather than Diagnosis? Neuropsychopharmacology 2014, 39, 2723–2731. [Google Scholar]
- Xu, S.; Liu, Y.; Pu, J.; Gui, S.; Zhong, X.; Tian, L.; Song, X.; Qi, X.; Wang, H.; Xie, P. Chronic Stress in a Rat Model of Depression Disturbs the Glutamine-Glutamate-GABA Cycle in the Striatum, Hippocampus, and Cerebellum. Neuropsychiatr. Dis. Treat. 2020, 16, 557–570. [Google Scholar] [CrossRef]
- Hillhouse, T.M.; Porter, J.H. A brief history of the development of antidepressant drugs: From monoamines to glutamate. Exp. Clin. Psychopharmacol. 2015, 23, 1–21. [Google Scholar] [CrossRef]
- Blackburn, T.P. Depressive disorders: Treatment failures and poor prognosis over the last 50 years. Pharmacol. Res. Perspect. 2019, 7, e00472. [Google Scholar] [CrossRef]
- Kvarta, M.D.; Bradbrook, K.E.; Dantrassy, H.M.; Bailey, A.M.; Thompson, S.M. Corticosterone mediates the synaptic and behavioral effects of chronic stress at rat hippocampal temporoammonic synapses. J. Neurophysiol. 2015, 114, 1713–1724. [Google Scholar] [CrossRef]
- Miller, A.H.; Raison, C.L. The role of inflammation in depression: From evolutionary imperative to modern treatment target. Nat. Rev. Immunol. 2016, 16, 22–34. [Google Scholar] [CrossRef]
- Amruta, N.; Chastain, W.H.; Paz, M.; Solch, R.J.; Murray-Brown, I.C.; Befeler, J.B.; Gressett, T.E.; Longo, M.T.; Engler-Chiurazzi, E.B.; Bix, G. SARS-CoV-2 mediated neuroinflammation and the impact of COVID-19 in neurological disorders. Cytokine Growth Factor. Rev. 2021, 58, 1–15. [Google Scholar]
- Young, K.; Singh, G. Biological Mechanisms of Cancer-Induced Depression. Front. Psychiatry 2018, 9, 299. [Google Scholar] [CrossRef]
- Holt, R.I.; de Groot, M.; Golden, S.H. Diabetes and depression. Curr. Diab Rep. 2014, 14, 491. [Google Scholar] [CrossRef]
- Malykh, A.G.; Sadaie, M.R. Piracetam and piracetam-like drugs: From basic science to novel clinical applications to CNS disorders. Drugs 2010, 70, 287–312. [Google Scholar] [CrossRef]
- Li Petri, G.; Raimondi, M.V.; Spanò, V.; Holl, R.; Barraja, P.; Montalbano, A. Pyrrolidine in Drug Discovery: A Versatile Scaffold for Novel Biologically Active Compounds. Top. Curr. Chem. 2021, 379, 34. [Google Scholar] [CrossRef]
- Veinberg, G.; Vorona, M.; Zvejniece, L.; Vilskersts, R.; Vavers, E.; Liepinsh, E.; Kazoka, H.; Belyakov, S.; Mishnev, A.; Kuznecovs, J.; et al. Synthesis and biological evaluation of 2-(5-methyl-4-phenyl-2-oxopyrrolidin-1-yl)-acetamide stereoisomers as novel positive allosteric modulators of sigma-1 receptor. Bioorganic Med. Chem. 2013, 21, 2764–2771. [Google Scholar] [CrossRef]
- Genton, P.; Van Vleymen, B. Piracetam and levetiracetam: Close structural similarities but different pharmacological and clinical profiles. Epileptic Disord. 2000, 2, 99–105. [Google Scholar]
- Wu, G.F.; Ren, S.; Tang, R.Y.; Xu, C.; Zhou, J.Q.; Lin, S.M.; Feng, Y.; Yang, Q.H.; Hu, J.M.; Yang, J.C. Antidepressant effect of taurine in chronic unpredictable mild stress-induced depressive rats. Sci. Rep. 2017, 7, 4989. [Google Scholar] [CrossRef]
- Mattucci-Schiavone, L.; Ferko, A.P. Acute effects of taurine and a taurine antagonist on ethanol-induced central nervous system depression. Eur. J. Pharmacol. 1985, 113, 275–278. [Google Scholar] [CrossRef]
- Shipov, A.; Kramarova, E.; Negrebetsky, V.; Pogozhikh, S.; Yu, I. Synthesis, Molecular and Crystal Structure of PHE Notropyl. Bull. RSMU 2006, 1, 56–61. [Google Scholar]
- Hamon, M.; Blier, P. Monoamine neurocircuitry in depression and strategies for new treatments. Prog. Neuropsychopharmacol. Biol. Psychiatry 2013, 45, 54–63. [Google Scholar] [CrossRef]
- O’Mahony, C.M.; Clarke, G.; Gibney, S.; Dinan, T.G.; Cryan, J.F. Strain differences in the neurochemical response to chronic restraint stress in the rat: Relevance to depression. Pharmacol. Biochem. Behav. 2011, 97, 690–699. [Google Scholar] [CrossRef]
- Torres IL, S.; Gamaro, G.D.; Vasconcellos, A.P.; Silveira, R.; Dalmaz, C. Effects of Chronic Restraint Stress on Feeding Behavior and on Monoamine Levels in Different Brain Structures in Rats. Neurochem. Res. 2002, 27, 519–525. [Google Scholar] [CrossRef]
- Willner, P. The chronic mild stress (CMS) model of depression: History, evaluation and usage. Neurobiol. Stress. 2017, 6, 78–93. [Google Scholar] [CrossRef]
- Jayakumar, S.; Raghunath, G.; Ilango, S.; Vijayakumar, J.; Vijayaraghavan, R. Effect of Fluoxetine on the Hippocampus of Wistar Albino Rats in Cold Restraint Stress Model. J. Clin. Diagn. Res. 2017, 11, Af01–Af06. [Google Scholar] [CrossRef]
- Machado, D.G.; Cunha, M.P.; Neis, V.B.; Balen, G.O.; Colla, A.; Grando, J.; Brocardo, P.S.; Bettio LE, B.; Capra, J.C.; Rodrigues AL, S. Fluoxetine reverses depressive-like behaviors and increases hippocampal acetylcholinesterase activity induced by olfactory bulbectomy. Pharmacol. Biochem. Behav. 2012, 103, 220–229. [Google Scholar] [CrossRef]
- Young, E.A.; Altemus, M.; Lopez, J.F.; Kocsis, J.H.; Schatzberg, A.F.; deBattista, C.; Zubieta, J.-K. HPA axis activation in major depression and response to fluoxetine: A pilot study. Psychoneuroendocrinology 2004, 29, 1198–1204. [Google Scholar] [CrossRef]
- Poirier, G.L.; Hitora-Imamura, N.; Sandi, C. Emergence in extinction of enhanced and persistent responding to ambiguous aversive cues is associated with high MAOA activity in the prelimbic cortex. Neurobiol. Stress. 2016, 5, 1–7. [Google Scholar] [CrossRef][Green Version]
- Rebai, R.; Jasmin, L.; Boudah, A. The antidepressant effect of melatonin and fluoxetine in diabetic rats is associated with a reduction of the oxidative stress in the prefrontal and hippocampal cortices. Brain Res. Bull. 2017, 134, 142–150. [Google Scholar] [CrossRef]
- Labots, M.; Van Lith, H.A.; Ohl, F.; Arndt, S.S. The modified hole board—Measuring behavior, cognition and social interaction in mice and rats. J. Vis. Exp. 2015, 98, e52529. [Google Scholar]
- Sestakova, N.; Puzserova, A.; Kluknavsky, M.; Bernatova, I. Determination of motor activity and anxiety-related behaviour in rodents: Methodological aspects and role of nitric oxide. Interdiscip. Toxicol. 2013, 6, 126–135. [Google Scholar] [CrossRef]
- Arrant, A.E.; Schramm-Sapyta, N.L.; Kuhn, C.M. Use of the light/dark test for anxiety in adult and adolescent male rats. Behav. Brain Res. 2013, 256, 119–127. [Google Scholar] [CrossRef]
- Walf, A.A.; Frye, C.A. The use of the elevated plus maze as an assay of anxiety-related behavior in rodents. Nat. Protoc. 2007, 2, 322–328. [Google Scholar] [CrossRef]








| Groups | SW/Water Ratio Day 2 | SW/Water Ratio Week 1 | SW/Water Ratio Week 2 |
|---|---|---|---|
| Responders to CUMS (n = 36) | 80 ± 6 | 74 ± 8 | 62 ± 10 ↓ |
| Intact (n = 12) | 80 ± 8 | 84 ± 5 | 78 ± 8 |
| Non-responders to CUMS (n = 2) | 78 ± 4 | 78 ± 8 | 76 ± 12 |
| Days | 0 | 1 | 2 | 7 | 9 | 14 | 15 | 21 | 28 | 30 | 31 | 33 | 34 | 35 |
|---|---|---|---|---|---|---|---|---|---|---|---|---|---|---|
| CUMS | ||||||||||||||
| Administration of the compounds/controls | Daily | |||||||||||||
| Hole-board test | ||||||||||||||
| Sucrose test | ||||||||||||||
| Weight measurement | ||||||||||||||
| Open-field test | ||||||||||||||
| Light–dark box test | ||||||||||||||
| Elevated plus maze test | ||||||||||||||
| Forced swimming test | ||||||||||||||
| Groups | SW/Water Ratio Week 2 | SW/Water Ratio Week 3 | SW/Water Ratio Week 4 |
|---|---|---|---|
| Dep_C1 (n = 12) | 62 ± 10 | 68 ± 8 | 70 ± 10 |
| Dep_Flu (n =12) | 72 ± 10 | 74 ± 6 | |
| Dep_NaCl (n =12) | 64 ± 6 ↓ | 62 ± 12 ↓ | |
| Int (n = 12) | 78 ± 8 | 79 ± 4 | 80 ± 8 |
| Stress Factors | Study Day |
|---|---|
| Food deprivation for 24 h | 10, 14, 17 |
| Water deprivation for 12 h | 6, 12, 19 |
| Cold stress for 30 min (+6 °C) | 2, 9, 16 |
| Soft atraumatic tail clip (for 1 min; the lateral part of the tail 2 cm from the tip). | 3, 8, 20 |
| Hot plate test (for 1 min, T 50 °C) | 5, 13, 15 |
| Mixing of the cage animals (2 “new” and 2 “old” rats in the cage) | 4, 7, 21 |
| Light/dark cycle reversal (turning on the light from 20.00 to 8.00 and turning off the light source from 8.00 to 20.00) | 1, 11, 18 |
Disclaimer/Publisher’s Note: The statements, opinions and data contained in all publications are solely those of the individual author(s) and contributor(s) and not of MDPI and/or the editor(s). MDPI and/or the editor(s) disclaim responsibility for any injury to people or property resulting from any ideas, methods, instructions or products referred to in the content. |
© 2023 by the authors. Licensee MDPI, Basel, Switzerland. This article is an open access article distributed under the terms and conditions of the Creative Commons Attribution (CC BY) license (https://creativecommons.org/licenses/by/4.0/).
Share and Cite
Borozdenko, D.A.; Gonchar, D.I.; Bogorodova, V.I.; Tarasenko, D.V.; Kramarova, E.P.; Khovanova, S.S.; Golubev, Y.V.; Kiseleva, N.M.; Shmigol, T.A.; Ezdoglian, A.A.; et al. The Antidepressant Activity of a Taurine-Containing Derivative of 4-Phenylpyrrolidone-2 in a Model of Chronic Unpredictable Mild Stress. Int. J. Mol. Sci. 2023, 24, 16564. https://doi.org/10.3390/ijms242316564
Borozdenko DA, Gonchar DI, Bogorodova VI, Tarasenko DV, Kramarova EP, Khovanova SS, Golubev YV, Kiseleva NM, Shmigol TA, Ezdoglian AA, et al. The Antidepressant Activity of a Taurine-Containing Derivative of 4-Phenylpyrrolidone-2 in a Model of Chronic Unpredictable Mild Stress. International Journal of Molecular Sciences. 2023; 24(23):16564. https://doi.org/10.3390/ijms242316564
Chicago/Turabian StyleBorozdenko, Denis A., Darya I. Gonchar, Vlada I. Bogorodova, Dmitri V. Tarasenko, Evgeniya P. Kramarova, Svetlana S. Khovanova, Yaroslav V. Golubev, Nina M. Kiseleva, Tatiana A. Shmigol, Aiarpi A. Ezdoglian, and et al. 2023. "The Antidepressant Activity of a Taurine-Containing Derivative of 4-Phenylpyrrolidone-2 in a Model of Chronic Unpredictable Mild Stress" International Journal of Molecular Sciences 24, no. 23: 16564. https://doi.org/10.3390/ijms242316564
APA StyleBorozdenko, D. A., Gonchar, D. I., Bogorodova, V. I., Tarasenko, D. V., Kramarova, E. P., Khovanova, S. S., Golubev, Y. V., Kiseleva, N. M., Shmigol, T. A., Ezdoglian, A. A., Sobyanin, K. A., Negrebetsky, V. V., & Baukov, Y. I. (2023). The Antidepressant Activity of a Taurine-Containing Derivative of 4-Phenylpyrrolidone-2 in a Model of Chronic Unpredictable Mild Stress. International Journal of Molecular Sciences, 24(23), 16564. https://doi.org/10.3390/ijms242316564

