Genetic and Lifestyle-Related Factors Influencing Serum Hyper-Propionylcarnitine Concentrations and Their Association with Metabolic Syndrome and Cardiovascular Disease Risk
Abstract
:1. Introduction
2. Results
2.1. Characteristics of Participants with and without MetS
2.2. Serum Carnitine, Acylcarnitine, and Amino Acid Concentrations
2.3. Incidence of MetS and Its Components According to Serum Propionylcarnitine Concentrations
2.4. Serum Propionylcarnitine Concentrations According to Nutrient Intake
2.5. Genetic Variants Associated with Serum Propionylcarnitine Concentrations
2.6. Binding Free Energy of Food Components to Wild and Mutated Types of CELSR2_rs629301
2.7. PRS of Genetic Variants Selected with Their Interaction to Influence Serum Hyper-Propionylcarnitine Concentrations
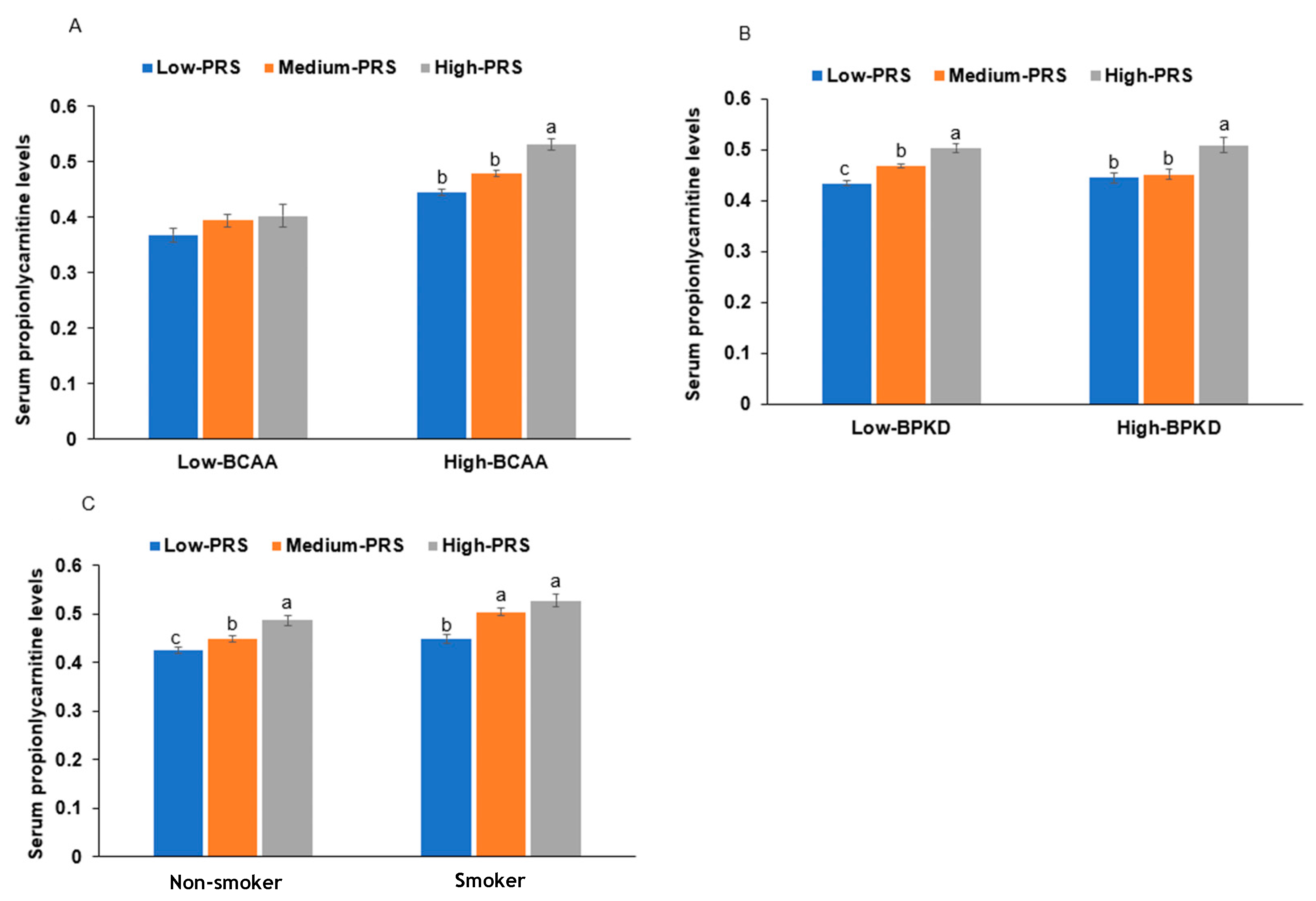
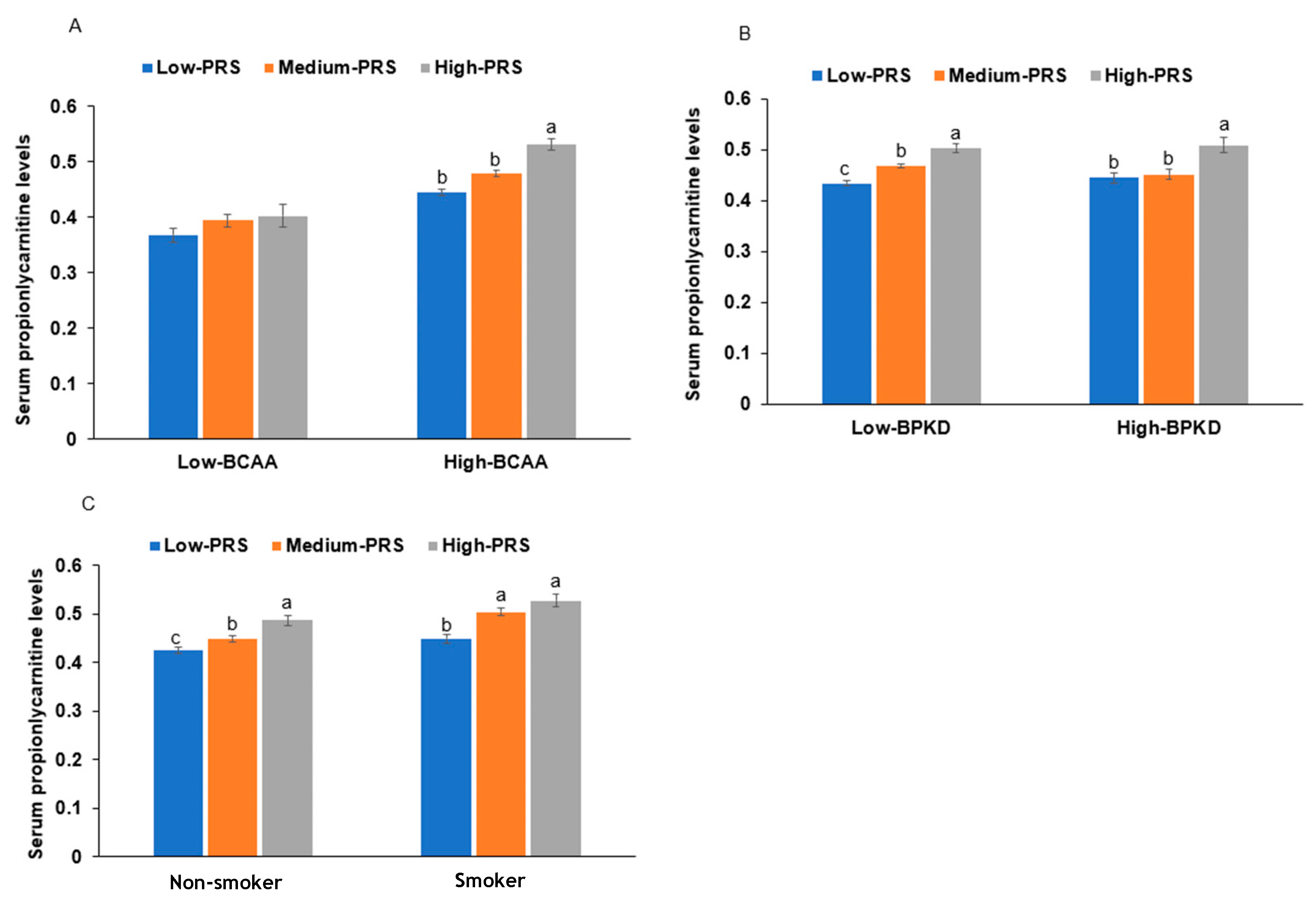
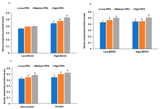
2.8. PRS Interaction with Lifestyle Factors
3. Discussion
4. Materials and Methods
4.1. Participants
4.2. Demographic Data, Anthropometric and Biochemical Measurements
4.3. History of Lifestyle-Related Factors
4.4. Assessment of Food and Nutrient Intake by a Semi-Quantitative Food Frequency Questionnaire (SQFFQ)
4.5. Determination of Serum Metabolite Concentrations
4.6. Genotyping and Quality Control
4.7. GWAS for Risk of Serum Hyper-Propionylcarnitine Concentrations and Interaction between Genetic Variants by a Generalized Multifactor Dimensionality Reduction (GMDR) Method
4.8. Genotype-Tissue Expression (GTEx) of Genetic Mutations
4.9. Molecular Docking of CELSR2 Possessing 3′UTR Mutation with Food Compounds
4.10. Statistical Analysis
5. Conclusions
Supplementary Materials
Author Contributions
Funding
Institutional Review Board Statement
Informed Consent Statement
Data Availability Statement
Conflicts of Interest
References
- Guembe, M.J.; Fernandez-Lazaro, C.I.; Sayon-Orea, C.; Toledo, E.; Moreno-Iribas, C.; Cosials, J.B.; Reyero, J.B.; Martínez, J.D.; Diego, P.G.; Uche, A.M.G.; et al. Risk for cardiovascular disease associated with metabolic syndrome and its components: A 13-year prospective study in the RIVANA cohort. Cardiovasc. Diabetol. 2020, 19, 195. [Google Scholar] [CrossRef]
- Liu, M.; Park, S. A causal relationship between alcohol intake and type 2 diabetes mellitus: A two-sample Mendelian randomization study. Nutr. Metab. Cardiovasc. Dis. 2022, 32, 2865–2876. [Google Scholar] [CrossRef]
- Liu, M.; Park, S. A Causal Relationship between Vitamin C Intake with Hyperglycemia and Metabolic Syndrome Risk: A Two-Sample Mendelian Randomization Study. Antioxidants 2022, 11, 857. [Google Scholar] [CrossRef]
- Bjørndal, B.; Alterås, E.K.; Lindquist, C.; Svardal, A.; Skorve, J.; Berge, R.K. Associations between fatty acid oxidation, hepatic mitochondrial function, and plasma acylcarnitine levels in mice. Nutr. Metab. 2018, 15, 10. [Google Scholar] [CrossRef]
- Libert, D.M.; Nowacki, A.S.; Natowicz, M.R. Metabolomic analysis of obesity, metabolic syndrome, and type 2 diabetes: Amino acid and acylcarnitine levels change along a spectrum of metabolic wellness. PeerJ 2018, 6, e5410. [Google Scholar] [CrossRef] [PubMed]
- Holeček, M. Branched-chain amino acids in health and disease: Metabolism, alterations in blood plasma, and as supplements. Nutr. Metab. 2018, 15, 33. [Google Scholar] [CrossRef]
- Zhao, Y.; Cholewa, J.; Shang, H.; Yang, Y.; Ding, X.; Wang, Q.; Su, Q.; Zanchi, N.E.; Xia, Z. Advances in the Role of Leucine-Sensing in the Regulation of Protein Synthesis in Aging Skeletal Muscle. Front. Cell Dev. Biol. 2021, 9, 646482. [Google Scholar] [CrossRef] [PubMed]
- Mann, G.; Mora, S.; Madu, G.; Adegoke, O.A.J. Branched-chain Amino Acids: Catabolism in Skeletal Muscle and Implications for Muscle and Whole-body Metabolism. Front. Physiol. 2021, 12, 702826. [Google Scholar] [CrossRef] [PubMed]
- He, Y.; Hong, X.-H.-Z.; Xu, M.; Liu, Y.-F.; Xu, Y.-J. Association of branched-chain fatty acids with metabolic syndrome: A systematic review and meta-analysis of observational studies. Food Funct. 2023, 14, 6312–6319. [Google Scholar] [CrossRef]
- Moreno-Vedia, J.; Llop, D.; Rodríguez-Calvo, R.; Plana, N.; Amigó, N.; Rosales, R.; Esteban, Y.; Girona, J.; Masana, L.; Ibarretxe, D. Serum branch-chained amino acids are increased in type 2 diabetes and associated with atherosclerotic cardiovascular disease. Cardiovasc. Diabetol. 2023, 22, 249. [Google Scholar] [CrossRef]
- Wu, Q.; Li, J.; Sun, X.; He, D.; Cheng, Z.; Li, J.; Zhang, X.; Xie, Y.; Zhu, Y.; Lai, M. Multi-stage metabolomics and genetic analyses identified metabolite biomarkers of metabolic syndrome and their genetic determinants. EBioMedicine 2021, 74, 103707. [Google Scholar] [CrossRef]
- Wedekind, R.; Rothwell, J.A.; Viallon, V.; Keski-Rahkonen, P.; Schmidt, J.A.; Chajes, V.; Katzke, V.; Johnson, T.; Santucci de Magistris, M.; Krogh, V.; et al. Determinants of blood acylcarnitine concentrations in healthy individuals of the European Prospective Investigation into Cancer and Nutrition. Clin. Nutr. 2022, 41, 1735–1745. [Google Scholar] [CrossRef]
- Silva, Y.P.; Bernardi, A.; Frozza, R.L. The Role of Short-Chain Fatty Acids From Gut Microbiota in Gut-Brain Communication. Nat. Rev. Gastroenterol. Hepatol. 2020, 11, 461–478. [Google Scholar] [CrossRef]
- Gao, X.; Zhang, W.; Wang, Y.; Pedram, P.; Cahill, F.; Zhai, G.; Randell, E.; Gulliver, W.; Sun, G. Serum metabolic biomarkers distinguish metabolically healthy peripherally obese from unhealthy centrally obese individuals. Nutr. Metab. 2016, 13, 33. [Google Scholar] [CrossRef]
- Auguet, T.; Bertran, L.; Capellades, J.; Abelló, S.; Aguilar, C.; Sabench, F.; Del Castillo, D.; Correig, X.; Yanes, O.; Richart, C. LC/MS-Based Untargeted Metabolomics Analysis in Women with Morbid Obesity and Associated Type 2 Diabetes Mellitus. Int. J. Mol. Sci. 2023, 24, 7761. [Google Scholar] [CrossRef]
- Gómez-Amores, L.; Mate, A.; Revilla, E.; Santa-María, C.; Vázquez, C.M. Antioxidant activity of propionyl-L-carnitine in liver and heart of spontaneously hypertensive rats. Life Sci. 2006, 78, 1945–1952. [Google Scholar] [CrossRef] [PubMed]
- Mingorance, C.; Gonzalez del Pozo, M.; Dolores Herrera, M.; Alvarez de Sotomayor, M. Oral supplementation of propionyl-l-carnitine reduces body weight and hyperinsulinaemia in obese Zucker rats. Br. J. Nutr. 2009, 102, 1145–1153. [Google Scholar] [CrossRef] [PubMed]
- Mingorance, C.; Duluc, L.; Chalopin, M.; Simard, G.; Ducluzeau, P.H.; Herrera, M.D.; Alvarez de Sotomayor, M.; Andriantsitohaina, R. Propionyl-L-carnitine corrects metabolic and cardiovascular alterations in diet-induced obese mice and improves liver respiratory chain activity. PLoS ONE 2012, 7, e34268. [Google Scholar] [CrossRef]
- Gander, J.; Carrard, J.; Gallart-Ayala, H.; Borreggine, R.; Teav, T.; Infanger, D.; Colledge, F.; Streese, L.; Wagner, J.; Klenk, C.; et al. Metabolic Impairment in Coronary Artery Disease: Elevated Serum Acylcarnitines Under the Spotlights. Front. Cardiovasc. Med. 2021, 8, 792350. [Google Scholar] [CrossRef] [PubMed]
- Siddik, M.A.B.; Shin, A.C. Recent Progress on Branched-Chain Amino Acids in Obesity, Diabetes, and Beyond. Endocrinol. Metab. 2019, 34, 234–246. [Google Scholar] [CrossRef]
- Vanweert, F.; Schrauwen, P.; Phielix, E. Role of branched-chain amino acid metabolism in the pathogenesis of obesity and type 2 diabetes-related metabolic disturbances BCAA metabolism in type 2 diabetes. Nutr. Diab 2022, 12, 35. [Google Scholar] [CrossRef] [PubMed]
- Chae, M.; Park, H.S.; Park, K. Association between dietary branched-chain amino acid intake and skeletal muscle mass index among Korean adults: Interaction with obesity. Nutr. Res. Pract. 2021, 15, 203–212. [Google Scholar] [CrossRef] [PubMed]
- Yu, L.; Zhu, Q.; Li, Y.; Song, P.; Zhang, J. Dietary Branched-Chain Amino Acids (BCAAs) and Risk of Dyslipidemia in a Chinese Population. Nutrients 2022, 14, 1824. [Google Scholar] [CrossRef] [PubMed]
- Riemersma, M.; Hazebroek, M.R.; Helderman-van den Enden, A.T.J.M.; Salomons, G.S.; Ferdinandusse, S.; Brouwers, M.C.G.J.; van der Ploeg, L.; Heymans, S.; Glatz, J.F.C.; van den Wijngaard, A.; et al. Propionic acidemia as a cause of adult-onset dilated cardiomyopathy. Eur. J. Human. Genet. 2017, 25, 1195–1201. [Google Scholar] [CrossRef]
- Khalyfa, A.; Warren, W.; Andrade, J.; Bottoms, C.A.; Rice, E.S.; Cortese, R.; Kheirandish-Gozal, L.; Gozal, D. Transcriptomic Changes of Murine Visceral Fat Exposed to Intermittent Hypoxia at Single Cell Resolution. Int. J. Mol. Sci. 2020, 22, 261. [Google Scholar] [CrossRef]
- Kleiboeker, B.; Lodhi, I.J. Peroxisomal regulation of energy homeostasis: Effect on obesity and related metabolic disorders. Mol. Metab. 2022, 65, 101577. [Google Scholar] [CrossRef]
- Liu, T.; Liu, N.; Wang, Y.; Li, T.; Zhang, M. Differential expression of coagulation pathway-related proteins in diabetic urine exosomes. Cardiovasc. Diabetol. 2023, 22, 145. [Google Scholar] [CrossRef]
- Jackisch, L.; Kumsaiyai, W.; Moore, J.D.; Al-Daghri, N.; Kyrou, I.; Barber, T.M.; Randeva, H.; Kumar, S.; Tripathi, G.; McTernan, P.G. Differential expression of Lp-PLA2 in obesity and type 2 diabetes and the influence of lipids. Diabetologia 2018, 61, 1155–1166. [Google Scholar] [CrossRef]
- Tan, L.; Lu, X.; Danser, A.H.J.; Verdonk, K. The Role of Chemerin in Metabolic and Cardiovascular Disease: A Literature Review of Its Physiology and Pathology from a Nutritional Perspective. Nutrients 2023, 15, 2878. [Google Scholar] [CrossRef]
- Cui, J.; Pang, J.; Lin, Y.-J.; Gong, H.; Wang, Z.-H.; Li, Y.-X.; Li, J.; Wang, Z.; Jiang, P.; Dai, D.-P.; et al. Adipose-specific deletion of Kif5b exacerbates obesity and insulin resistance in a mouse model of diet-induced obesity. FASEB J. 2017, 31, 2533–2547. [Google Scholar] [CrossRef]
- Kitamoto, A.; Kitamoto, T.; Nakamura, T.; Matsuo, T.; Nakata, Y.; Hyogo, H.; Ochi, H.; Kamohara, S.; Miyatake, N.; Kotani, K.; et al. CDH13 Polymorphisms are Associated with Adiponectin Levels and Metabolic Syndrome Traits Independently of Visceral Fat Mass. J. Atheroscler. Thromb. 2016, 23, 309–319. [Google Scholar] [CrossRef] [PubMed]
- Tan, J.; Che, Y.; Liu, Y.; Hu, J.; Wang, W.; Hu, L.; Zhou, Q.; Wang, H.; Li, J. CELSR2 deficiency suppresses lipid accumulation in hepatocyte by impairing the UPR and elevating ROS level. FASEB J. 2021, 35, e21908. [Google Scholar] [CrossRef]
- Small, A.M.; Peloso, G.M.; Linefsky, J.; Aragam, J.; Galloway, A.; Tanukonda, V.; Wang, L.C.; Yu, Z.; Sunitha Selvaraj, M.; Farber-Eger, E.H.; et al. Multiancestry Genome-Wide Association Study of Aortic Stenosis Identifies Multiple Novel Loci in the Million Veteran Program. Circulation 2023, 147, 942–955. [Google Scholar] [CrossRef]
- Kim, Y.; Han, B.-G.; KoGES Group. Cohort Profile: The Korean Genome and Epidemiology Study (KoGES) Consortium. Int. J. Epidemiol. 2017, 46, e20. [Google Scholar] [CrossRef]
- Yang, S.J.; Kwak, S.-Y.; Jo, G.; Song, T.-J.; Shin, M.-J. Serum metabolite profile associated with incident type 2 diabetes in Koreans: Findings from the Korean Genome and Epidemiology Study. Sci. Rep. 2018, 8, 8207. [Google Scholar] [CrossRef]
- Hur, H.J.; Yang, H.J.; Kim, M.J.; Lee, K.H.; Kim, M.S.; Park, S. Association of Polygenic Variants with Type 2 Diabetes Risk and Their Interaction with Lifestyles in Asians. Nutrients 2022, 14, 3222. [Google Scholar] [CrossRef]
- Yuan, H.; Liu, L.; Zhou, J.; Zhang, T.; Daily, J.W.; Park, S. Bioactive Components of Houttuynia cordata Thunb and Their Potential Mechanisms Against COVID-19 Using Network Pharmacology and Molecular Docking Approaches. J. Med. Food 2022, 25, 355–366. [Google Scholar] [CrossRef]
- Yang, Y.; Shi, C.-Y.; Xie, J.; Dai, J.-H.; He, S.-L.; Tian, Y. Identification of potential dipeptidyl peptidase (DPP)-IV inhibitors among Moringa oleifera phytochemicals by virtual screening, molecular docking analysis, ADME/T-based prediction, and in vitro analyses. Molecules 2020, 25, 189. [Google Scholar] [CrossRef] [PubMed]
- Shin, S.; Kim, S.; Joung, H. Evidence-based approaches for establishing the 2015 Dietary Reference Intakes for Koreans. Nutr Res Pract 2018, 12, 459–468. [Google Scholar] [CrossRef] [PubMed]




| Non-MetS (n = 2001) | MetS (n = 579) | Adjusted OR and 95% CI | |
|---|---|---|---|
| Age (years) 1 | 52.4 ± 0.18 | 54.0 ± 0.31 *** | 1.495 (1.088–2.056) |
| Gender (male, %) | 910 (46.9) | 313 (48.9) | 1.034 (0.728–1.468) |
| Education (number, %) | |||
| Middle school High school >High school | 1108 (57.5) 566 (29.4) 252 (13.1) | 387 (61.1) 179 (28.1) 68 (10.7) | 1 0.933 (0.701–1.243) 0.804 (0.546–1.184) |
| Residence area (number, %) | |||
| Rural City | 1074 (55.4) 866 (44.6) | 356 (55.6) 284 (44.4) | 1 1.316 (0.979–1.769) |
| Physical activity (Yes, Number, %) 2 | 1051 (56.2) | 350 (56.7) | 0.982 (0.779–1.237) |
| Alcohol (g/day) 3 | 9.41 ± 0.45 | 11.2 ± 0.79 * | 1.377 (1.014–1.870) |
| Nonsmoker (Number, %) Former Current | 1143 (59.6) 284 (14.8) 491 (25.6) | 363 (57.4) 104 (16.4) 166 (26.2) | 1 0.968 (0.652–1.438) 0.963 (0.670–1.384) |
| Non-MetS (n = 2001) | MetS (n = 579) | Adjusted OR and 95% CI | |
|---|---|---|---|
| Carnitine (µM) | 50.4 ± 0.24 | 50.7 ± 0.46 | 1.074 (0.852–1.353) |
| Acetylcarnitine (µM) | 7.06 ± 0.06 | 6.81 ± 0.11 * | 0.774 (0.612–0.979) |
| Propionlycarnitine (µM) | 0.455 ± 0.004 | 0.479 ± 0.007 ** | 1.454 (1.163–1.817) |
| Butanoylcarnitine (µM) | 0.201 ± 0.002 | 0.209 ± 0.004 | 1.138 (0.912–1.421) |
| Varelyoylcarnitine (µM) | 0.149 ± 0.002 | 0.155 ± 0.003 | 1.262 (1.003–1.590) |
| Valine (µM) | 217 ± 0.93 | 231 ± 1.75 *** | 1.908 (1.530–2.378) |
| Isoleucine (µM) | 81.8 ± 0.43 | 87.8 ± 0.82 *** | 1.983 (1.580–2.489) |
| Leucine (µM) | 173 ± 0.80 | 182 ± 1.52 *** | 1.498 (1.194–1.880) |
| BCAA (µM) | 595 ± 2.45 | 622 ± 4.63 *** | 1.531 (1.224–1.916) |
| Methionine (µM) | 24.2 ± 0.15 | 25.1 ± 0.28 ** | 1.139 (0.903–1.437) |
| Threonine (µM) | 142 ± 0.76 | 139 ± 1.44 | 0.979 (0.778–1.232) |
| Tyrosine (µM) | 71.0 ± 0.34 | 74.6 ± 0.64 *** | 1.597 (1.283–1.988) |
| Lysine (µM) | 205 ± 1.02 | 208 ± 1.94 | 1.046 (0.833–1.313) |
| Alanine (µM) | 496 ± 2.69 | 538 ± 5.09 *** | 1.972 (1.591–2.444) |
| Tryptophan (µM) | 62.4 ± 0.30 | 63.5 ± 0.56 | 1.220 (0.970–1.536) |
| Dietary valine (g/day) | 3.43 ± 0.18 | 3.33 ± 0.34 * | 0.903 (0.627–1.300) |
| Dietary isoleucine (g/day) | 2.70 ± 0.17 | 2.61 ± 0.33 * | 0.814 (0.582–1.138) |
| Dietary leucine (g/day) | 4.23 ± 0.028 | 4.11 ± 0.052 * | 0.873 (0.607–1.254) |
| Dietary BCAA (g/day) | 10.4 ± 0.06 | 10.0 ± 0.118 * | 0.849 (0.597–1.209) |
| Dietary methionine (g/day) | 9.57 ± 0.011 | 9.22 ± 0.021 | 0.992 (0.728–1.352) |
| Dietary tyrosine (g/day) | 1.46 ± 0.013 | 1.42 ± 0.026 | 1.011 (0.735–1.391) |
| Low-PC (n = 1918) | High-PC (n = 633) | Adjusted ORs and 95% CI | |
|---|---|---|---|
| MetS (number, %) | 406 (21.0) | 173 (26.9) ** | 1.389 (1.107–1.742) |
| Body mass index (kg/m2) 1 | 24.6 ± 0.08 | 25.1 ± 0.15 * | 1.250 (1.025–1.525) |
| Waist circumferences (cm) 2 | 82.8 ± 0.20 | 84.4 ± 0.36 *** | 1.417 (1.057–1.899) |
| Body fat (%) 3 | 26.7 ± 0.14 | 27.5 ± 0.24 ** | 1.298 (1.055–1.598) |
| Lean body mass (%) 4 | 69.5 ± 0.12 | 66.6 ± 0.24 ** | 0.581 (0.382–0.883) |
| Serum glucose at 0 min (mg/dL) 5 | 87.8 ± 0.45 | 87.3 ± 0.78 | 1.180 (0.837–1.663) |
| Serum glucose at 60 min (mg/dL) 6 | 154 ± 1.23 | 159 ± 2.22 | 1.258 (1.039–1.523) |
| Serum glucose at 120 min (mg/dL) 7 | 125 ± 1.23 | 140 ± 2.51 *** | 1.041 (0.847–1.279) |
| HbA1c (%) 8 | 5.74 ± 0.02 | 5.84 ± 0.03 ** | 1.314 (0.950–1.817) |
| Serum insulin at 0 min (mU/L) 9 | 7.81 ± 0.11 | 8.01 ± 0.20 | 1.209 (0.968–1.509) |
| Serum insulin at 60 (mU/L) 10 | 31.8 ± 0.78 | 34.5 ± 1.39 | 1.076 (0.867–1.336) |
| Serum insulin at 120 (mU/L) 11 | 27.7 ± 0.69 | 31.3 ± 1.24 * | 1.277 (1.029–1.586) |
| HOMA-IR 12 | 1.69 ± 0.03 | 1.76 ± 0.05 * | 1.345 (1.112–1.626) |
| HOMA-B 13 | 156.2 ± 3.56 | 144.9 ± 6.40 | 0.907 (0.738–1.113) |
| Serum total cholesterol (mg/dL) 14 | 194 ± 0.82 | 195 ± 1.46 | 0.956 (0.732–1.249) |
| Serum HDL-C (mg/dL) 15 | 45.2 ± 0.23 | 43.3 ± 0.41 *** | 1.387 (1.131–1.701) |
| Serum LDL-C (mg/dL) 16 | 116.1 ± 0.77 | 115.9 ± 1.37 | 0.953 (0.771–1.177) |
| Serum TG (mg/dL) 17 | 161.3 ± 2.55 | 179.5 ± 4.55 ** | 1.586 (1.309–1.922) |
| SBP (mmHg) 18 | 117.8 ± 0.39 | 120.8 ± 0.69 *** | 1.336 (1.065–1.675) |
| DBP (mmHg) 19 | 75.4 ± 0.25 | 78.0 ± 0.45 | 1.870 (1.436–2.435) |
| CHD (number, %) | 30 (1.55) | 21 (3.27) ** | 1.906 (1.025–3.544) |
| Chr 1 | SNP 2 | Position | Mi 3 | Ma 4 | OR 5 | SE | 6 p-Value Adjusted | Gene Names | Functional Consequence | 7 MAF | 8 p-Value for HWE |
|---|---|---|---|---|---|---|---|---|---|---|---|
| 1 | rs629301 | 109818306 | G | T | 1.64 | 0.127 | 9.17 × 10−6 | CELSR2 | 3′ UTR | 0.059 | 0.295 |
| 5 | rs4290997 | 94430813 | T | C | 1.34 | 0.07 | 2.84 × 10−5 | MCTP1 | Intron | 0.402 | 0.74 |
| 5 | rs153197 | 132727692 | T | C | 0.594 | 0.126 | 3.65 × 10−5 | FSTL4 | Intron | 0.108 | 0.408 |
| 6 | rs223231 | 143781637 | C | G | 1.382 | 0.082 | 8.16 × 10−6 | PEX3 | Intron | 0.201 | 0.716 |
| 11 | rs2070850 | 46741495 | C | T | 1.343 | 0.07 | 2.51 × 10−5 | F2 | Intron | 0.403 | 0.507 |
| 12 | rs7315943 | 108709475 | T | G | 3.102 | 0.272 | 3.17 × 10−5 | CMKLR1 | Intron | 0.015 | 0.725 |
| 15 | rs2350480 | 90203253 | A | C | 1.334 | 0.072 | 4.67 × 10−5 | KIF7 | Intron | 0.326 | 0.561 |
| 16 | rs9933938 | 83699603 | A | T | 1.66 | 0.11 | 3.69 × 10−6 | CDH13 | NMD transcript | 0.094 | 0.851 |
| 19 | rs7252136 | 48604234 | C | T | 0.666 | 0.102 | 7.25 × 10−6 | PLA2G4C | NMD transcript | 0.149 | 0.802 |
| 22 | rs910543 | 47556391 | G | A | 0.718 | 0.085 | 9.46 × 10−5 | TBC1D22A | NMD transcript | 0.249 | 0.363 |
| Low PRS | Medium PRS | High PRS | p-Value for Interaction | |
|---|---|---|---|---|
| Low-serum BCAA 1 High-serum BCAA | 1 1 | 1.294 (0.544–3.081) 2.193 (1.668–2.883) | 2.928 (1.070–8.015) 3.933 (2.789–5.545) | 0.0452 |
| Low-KBD 2 High-KBD | 1 1 | 2.043 (1.583–2.636) 2.021 (1.178–3.467) | 3.711 (2.699–5.102) 3.477 (1.734–6.969) | 0.7085 |
| Low-NBFD 2 High-NBFD | 1 1 | 1.966 (1.576–2.453) 2.119 (1.234–3.640) | 3.221 (2.432–4.266) 4.164 (2.133–8.130) | 0.9681 |
| Low-BPKD 2 High-BPKD | 1 1 | 2.076 (1.604–2.686) 1.176 (0.704–1.966) | 3.762 (2.729–5.186) 3.956 (2.156–7.259) | 0.0044 |
| Low-RMD 2 High-RMD | 1 1 | 1.977 (1.585–2.466) 1.939 (1.199–3.135) | 3.229 (2.439–4.276) 2.680 (1.458–4.923) | 0.6944 |
| Nonsmoker Smoker | 1 1 | 1.749 (1.230–2.488) 2.645 (1.803–3.881) | 3.416 (2.223–5.247) 4.677 (2.872–7.615) | 0.0686 |
| Low-alcohol 3 High-alcohol | 1 1 | 1.857 (1.405–2.456) 2.532 (1.354–4.733) | 3.173 (2.233–4.510) 6.494 (2.977–14.16) | 0.2214 |
| Low-exercise 4 High-exercise | 1 1 | 1.839 (1.368–2.471) 2.555 (1.560–4.183) | 3.418 (2.365–4.940) 5.899 (3.170–10.98) | 0.3791 |
Disclaimer/Publisher’s Note: The statements, opinions and data contained in all publications are solely those of the individual author(s) and contributor(s) and not of MDPI and/or the editor(s). MDPI and/or the editor(s) disclaim responsibility for any injury to people or property resulting from any ideas, methods, instructions or products referred to in the content. |
© 2023 by the authors. Licensee MDPI, Basel, Switzerland. This article is an open access article distributed under the terms and conditions of the Creative Commons Attribution (CC BY) license (https://creativecommons.org/licenses/by/4.0/).
Share and Cite
Lee, Y.-H.; Park, S. Genetic and Lifestyle-Related Factors Influencing Serum Hyper-Propionylcarnitine Concentrations and Their Association with Metabolic Syndrome and Cardiovascular Disease Risk. Int. J. Mol. Sci. 2023, 24, 15810. https://doi.org/10.3390/ijms242115810
Lee Y-H, Park S. Genetic and Lifestyle-Related Factors Influencing Serum Hyper-Propionylcarnitine Concentrations and Their Association with Metabolic Syndrome and Cardiovascular Disease Risk. International Journal of Molecular Sciences. 2023; 24(21):15810. https://doi.org/10.3390/ijms242115810
Chicago/Turabian StyleLee, Yong-Hwa, and Sunmin Park. 2023. "Genetic and Lifestyle-Related Factors Influencing Serum Hyper-Propionylcarnitine Concentrations and Their Association with Metabolic Syndrome and Cardiovascular Disease Risk" International Journal of Molecular Sciences 24, no. 21: 15810. https://doi.org/10.3390/ijms242115810
APA StyleLee, Y.-H., & Park, S. (2023). Genetic and Lifestyle-Related Factors Influencing Serum Hyper-Propionylcarnitine Concentrations and Their Association with Metabolic Syndrome and Cardiovascular Disease Risk. International Journal of Molecular Sciences, 24(21), 15810. https://doi.org/10.3390/ijms242115810

