Plasma Cytokine Profiling Reveals Differences between Silicotic Patients with Simple Silicosis and Those with Progressive Massive Fibrosis Caused by Engineered Stone
Abstract
1. Introduction
2. Results
2.1. Characteristics of the Study Population
2.2. Analysis of Plasma Cytokines
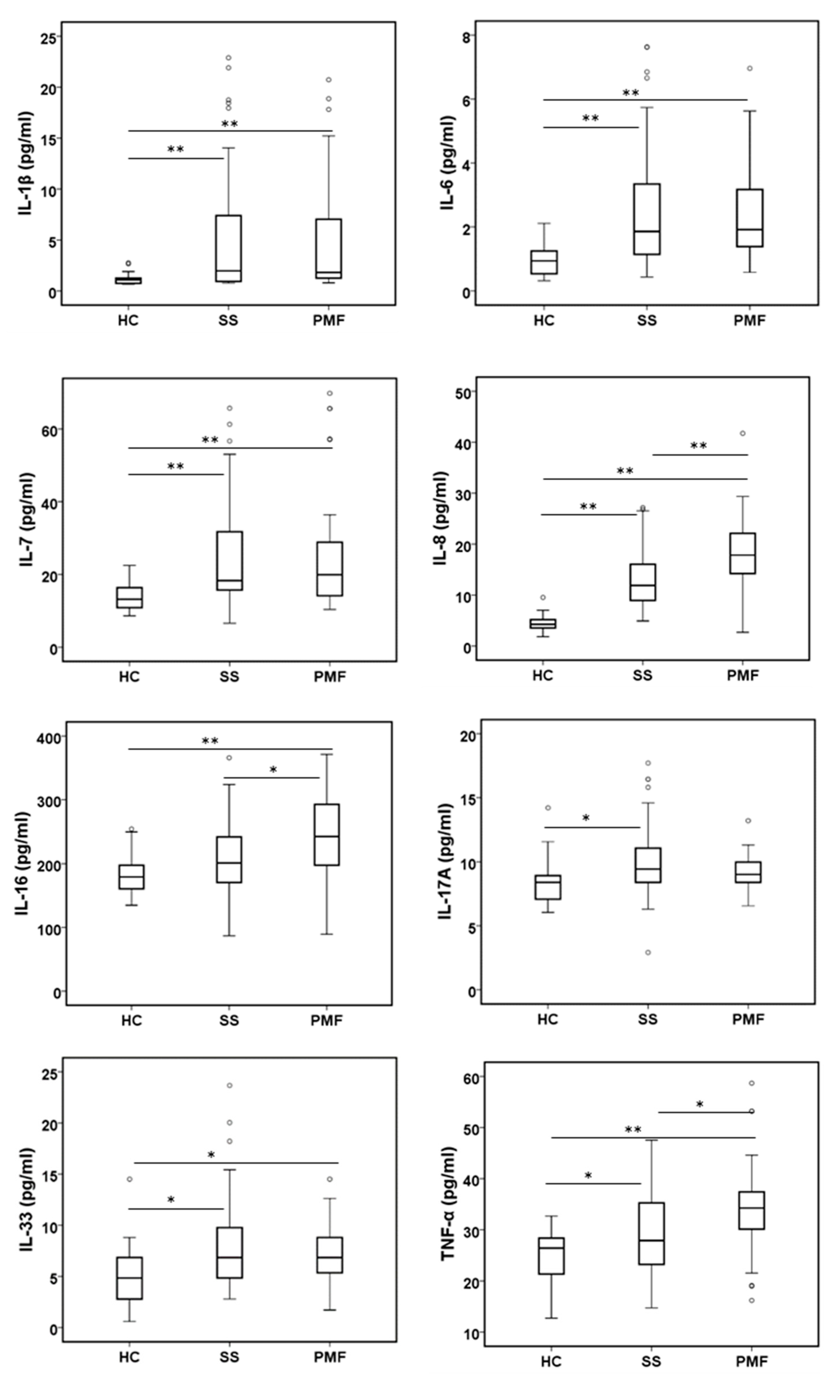
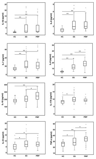
2.2.1. Pro-Inflammatory Cytokines
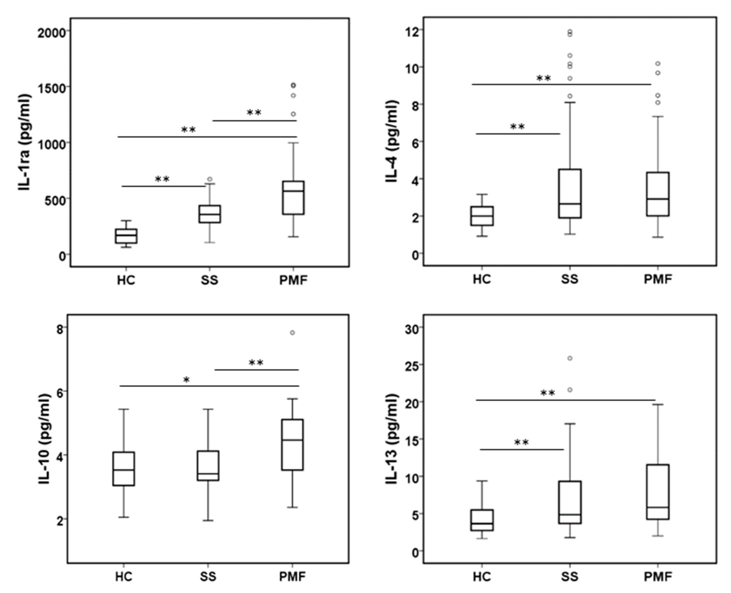
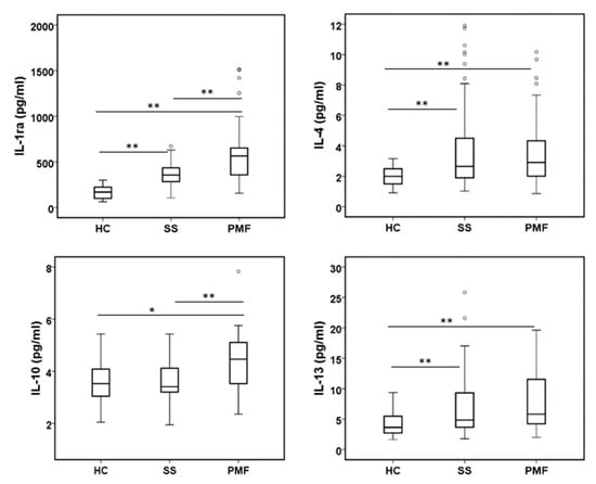
2.2.2. Anti-Inflammatory Cytokines
2.2.3. TH1/TH2 Cytokine Profiles in Diagnosed Silicosis Patients
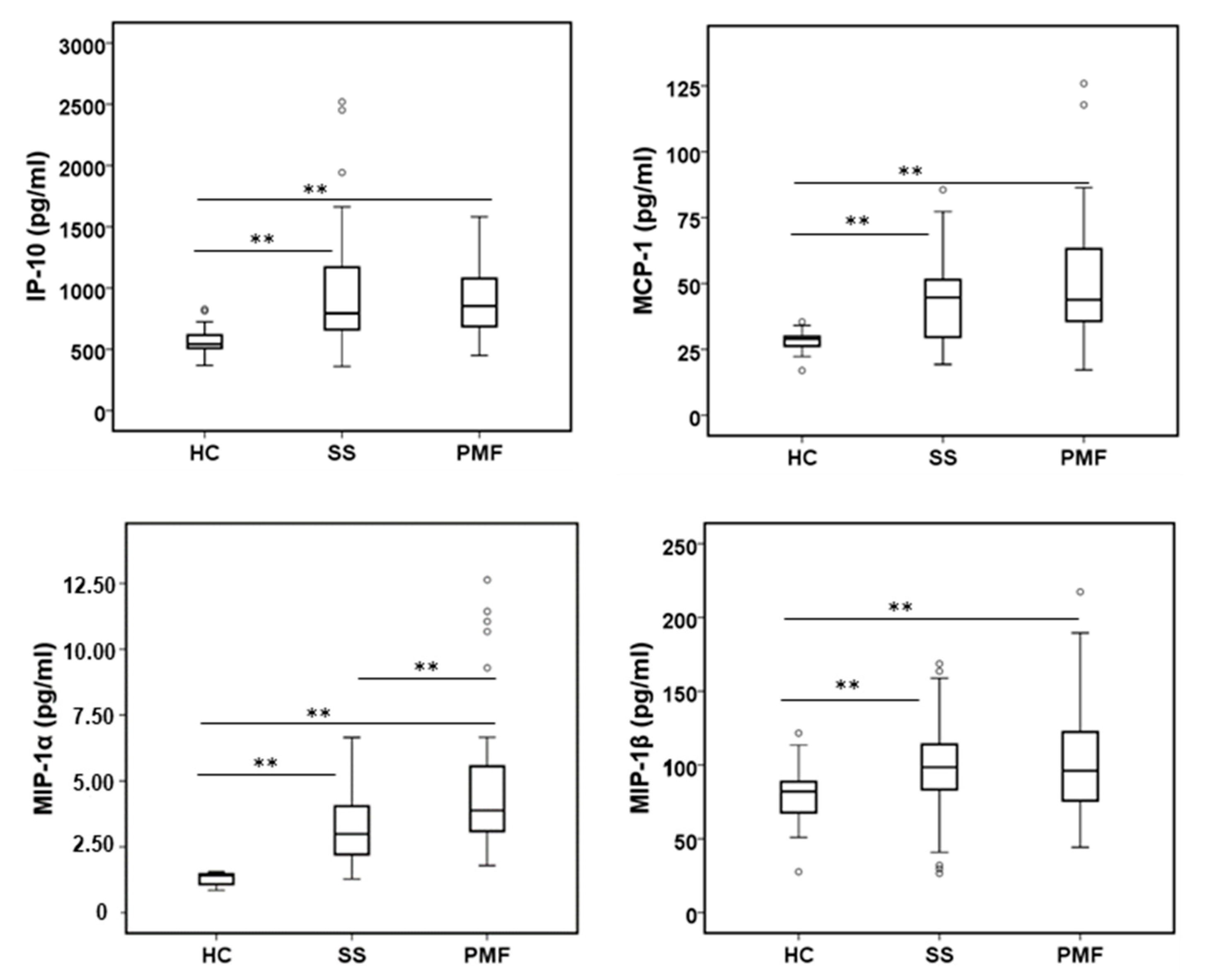
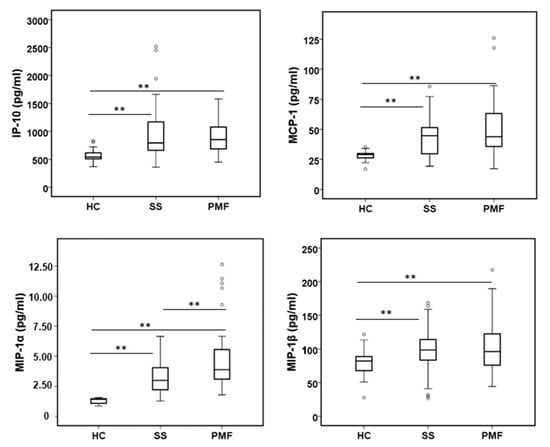
2.2.4. Chemokines
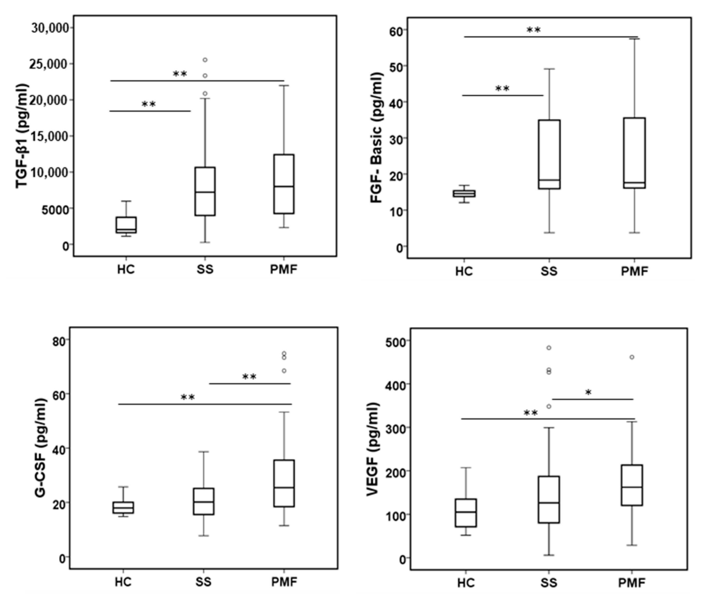
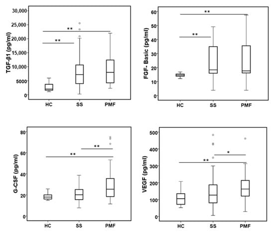
2.2.5. Growth Factors
3. Discussion
4. Materials and Methods
4.1. Subjects of the Study
4.2. Ethics
4.3. Plasma Cytokine Analysis
4.4. Statistics
5. Conclusions
Author Contributions
Funding
Institutional Review Board Statement
Informed Consent Statement
Data Availability Statement
Conflicts of Interest
References
- Leung, C.C.; Yu, I.T.; Chen, W. Silicosis. Lancet 2012, 379, 2008–2018. [Google Scholar] [CrossRef] [PubMed]
- Hoy, R.F.; Chambers, D.C. Silica-related diseases in the modern world. Allergy 2020, 75, 2805–2817. [Google Scholar] [CrossRef] [PubMed]
- Kramer, M.R.; Blanc, P.D.; Fireman, E.; Amital, A.; Guber, A.; Rhahman, N.A.; Shitrit, D. Artificial stone silicosis [corrected]: Disease resurgence among artificial stone workers. Chest 2012, 142, 419–424. [Google Scholar] [CrossRef] [PubMed]
- Perez-Alonso, A.; Cordoba-Dona, J.A.; Millares-Lorenzo, J.L.; Figueroa-Murillo, E.; Garcia-Vadillo, C.; Romero-Morillos, J. Outbreak of silicosis in Spanish quartz conglomerate workers. Int. J. Occup. Environ. Health 2014, 20, 26–32. [Google Scholar] [CrossRef]
- Heinzerling, A.; Cummings, K.J.; Flattery, J.; Weinberg, J.L.; Materna, B.; Harrison, R. Radiographic Screening Reveals High Burden of Silicosis among Workers at an Engineered Stone Countertop Fabrication Facility in California. Am. J. Respir. Crit. Care Med. 2021, 203, 764–766. [Google Scholar] [CrossRef]
- Kirby, T. Australia reports on audit of silicosis for stonecutters. Lancet 2019, 393, 861. [Google Scholar] [CrossRef]
- Leso, V.; Fontana, L.; Romano, R.; Gervetti, P.; Iavicoli, I. Artificial Stone Associated Silicosis: A Systematic Review. Int. J. Environ. Res. Public Health 2019, 16, 568. [Google Scholar] [CrossRef]
- Hoy, R.F.; Glass, D.C.; Dimitriadis, C.; Hansen, J.; Hore-Lacy, F.; Sim, M.R. Identification of early-stage silicosis through health screening of stone benchtop industry workers in Victoria, Australia. Occup. Environ. Med. 2021, 78, 296–302. [Google Scholar] [CrossRef]
- Wu, N.; Xue, C.; Yu, S.; Ye, Q. Artificial stone-associated silicosis in China: A prospective comparison with natural stone-associated silicosis. Respirology 2020, 25, 518–524. [Google Scholar] [CrossRef]
- Leon-Jimenez, A.; Hidalgo-Molina, A.; Conde-Sanchez, M.A.; Perez-Alonso, A.; Morales-Morales, J.M.; Garcia-Gamez, E.M.; Cordoba-Dona, J.A. Artificial Stone Silicosis: Rapid Progression Following Exposure Cessation. Chest 2020, 158, 1060–1068. [Google Scholar] [CrossRef]
- Hamilton, R.F., Jr.; Thakur, S.A.; Holian, A. Silica binding and toxicity in alveolar macrophages. Free Radic. Biol. Med. 2008, 44, 1246–1258. [Google Scholar] [CrossRef] [PubMed]
- Peeters, P.M.; Perkins, T.N.; Wouters, E.F.; Mossman, B.T.; Reynaert, N.L. Silica induces NLRP3 inflammasome activation in human lung epithelial cells. Part. Fibre Toxicol. 2013, 10, 3. [Google Scholar] [CrossRef] [PubMed]
- Garcia-Nunez, A.; Jimenez-Gomez, G.; Hidalgo-Molina, A.; Cordoba-Dona, J.A.; Leon-Jimenez, A.; Campos-Caro, A. Inflammatory indices obtained from routine blood tests show an inflammatory state associated with disease progression in engineered stone silicosis patients. Sci. Rep. 2022, 12, 8211. [Google Scholar] [CrossRef] [PubMed]
- Nakanishi, K. Unique Action of Interleukin-18 on T Cells and Other Immune Cells. Front. Immunol. 2018, 9, 763. [Google Scholar] [CrossRef] [PubMed]
- Blanco-Perez, J.J.; Blanco-Dorado, S.; Rodriguez-Garcia, J.; Gonzalez-Bello, M.E.; Salgado-Barreira, A.; Caldera-Diaz, A.C.; Pallares-Sanmartin, A.; Fernandez-Villar, A.; Gonzalez-Barcala, F.J. Serum levels of inflammatory mediators as prognostic biomarker in silica exposed workers. Sci. Rep. 2021, 11, 13348. [Google Scholar] [CrossRef]
- Jiang, P.R.; Cao, Z.; Qiu, Z.L.; Pan, J.W.; Zhang, N.; Wu, Y.F. Plasma levels of TNF-alpha and MMP-9 in patients with silicosis. Eur. Rev. Med. Pharmacol. Sci. 2015, 19, 1716–1720. [Google Scholar]
- Sato, T.; Saito, Y.; Inoue, S.; Shimosato, T.; Takagi, S.; Kaneko, T.; Ishigatsubo, Y. Serum heme oxygenase-1 as a marker of lung function decline in patients with chronic silicosis. J. Occup. Environ. Med. 2012, 54, 1461–1466. [Google Scholar] [CrossRef]
- Huang, H.B.; Huang, J.L.; Xu, X.T.; Huang, K.B.; Lin, Y.J.; Lin, J.B.; Zhuang, X.B. Serum neuron-specific enolase: A promising biomarker of silicosis. World J. Clin. Cases 2021, 9, 1016–1025. [Google Scholar] [CrossRef]
- Chen, Y.; Li, C.; Lu, Y.; Zhuang, H.; Gu, W.; Liu, B.; Liu, F.; Sun, J.; Yan, B.; Weng, D.; et al. IL-10-Producing CD1d(hi)CD5(+) Regulatory B Cells May Play a Critical Role in Modulating Immune Homeostasis in Silicosis Patients. Front. Immunol. 2017, 8, 110. [Google Scholar] [CrossRef]
- Braz, N.F.; Carneiro, A.P.; Amorim, M.R.; de Oliveira Ferreira, F.; Lacerda, A.C.; Silva de Miranda, A.; Teixeira, M.M.; Teixeira, A.L.; Mendonca, V.A. Association between inflammatory biomarkers in plasma, radiological severity, and duration of exposure in patients with silicosis. J. Occup. Environ. Med. 2014, 56, 493–497. [Google Scholar] [CrossRef]
- Xue, C.; Wu, N.; Li, X.; Qiu, M.; Du, X.; Ye, Q. Serum concentrations of Krebs von den Lungen-6, surfactant protein D, and matrix metalloproteinase-2 as diagnostic biomarkers in patients with asbestosis and silicosis: A case-control study. BMC Pulm. Med. 2017, 17, 144. [Google Scholar] [CrossRef] [PubMed]
- Zhu, Y.; Duan, X.Y.; Cheng, Y.Q.; Yao, X.J.; Xu, H.; Zhang, K.S.; Li, F.S.; Yang, F.; Liu, L.H.; Yuan, X.J. Evaluation of differential serum expression of three factors and pulmonary function in patients with silicosis. Int. J. Occup. Med. Environ. Health 2021, 34, 527–540. [Google Scholar] [CrossRef] [PubMed]
- Miao, R.M.; Zhang, X.T.; Yan, Y.L.; He, E.Q.; Guo, P.; Zhang, Y.Y.; Zhao, D.K.; Yang, Z.G.; Chen, J.; Yao, M.Y.; et al. Change of serum TGF-beta1 and TNF-alpha in silicosis patients. Zhonghua Lao Dong Wei Sheng Zhi Ye Bing Za Zhi 2011, 29, 606–607. [Google Scholar]
- Thongtip, S.; Siviroj, P.; Prapamontol, T.; Deesomchok, A.; Wisetborisut, A.; Nangola, S.; Khacha-Ananda, S. A suitable biomarker of effect, club cell protein 16, from crystalline silica exposure among Thai stone-carving workers. Toxicol. Ind. Health 2020, 36, 287–296. [Google Scholar] [CrossRef]
- Lassalle, P.; Gosset, P.; Aerts, C.; Fournier, E.; Lafitte, J.J.; Degreef, J.M.; Wallaert, B.; Tonnel, A.B.; Voisin, C. Abnormal secretion of interleukin-1 and tumor necrosis factor alpha by alveolar macrophages in coal worker’s pneumoconiosis: Comparison between simple pneumoconiosis and progressive massive fibrosis. Exp. Lung Res. 1990, 16, 73–80. [Google Scholar] [CrossRef]
- Piguet, P.F.; Collart, M.A.; Grau, G.E.; Sappino, A.P.; Vassalli, P. Requirement of tumour necrosis factor for development of silica-induced pulmonary fibrosis. Nature 1990, 344, 245–247. [Google Scholar] [CrossRef] [PubMed]
- Gosset, P.; Lassalle, P.; Vanhee, D.; Wallaert, B.; Aerts, C.; Voisin, C.; Tonnel, A.B. Production of tumor necrosis factor-alpha and interleukin-6 by human alveolar macrophages exposed in vitro to coal mine dust. Am. J. Respir. Cell Mol. Biol. 1991, 5, 431–436. [Google Scholar] [CrossRef]
- Schins, R.P.; Borm, P.J. Epidemiological evaluation of release of monocyte TNF-alpha as an exposure and effect marker in pneumoconiosis: A five year follow up study of coal workers. Occup. Environ. Med. 1995, 52, 441–450. [Google Scholar] [CrossRef]
- Lee, J.S.; Shin, J.H.; Lee, J.O.; Lee, K.M.; Kim, J.H.; Choi, B.S. Serum Levels of Interleukin-8 and Tumor Necrosis Factor-alpha in Coal Workers’ Pneumoconiosis: One-year Follow-up Study. Saf. Health Work 2010, 1, 69–79. [Google Scholar] [CrossRef]
- Ulker, O.; Yucesoy, B.; Demir, O.; Tekin, I.; Karakaya, A. Serum and BAL cytokine and antioxidant enzyme levels at different stages of pneumoconiosis in coal workers. Hum. Exp. Toxicol. 2008, 27, 871–877. [Google Scholar] [CrossRef]
- Braz, N.F.; Carneiro, A.P.; Avelar, N.C.; Miranda, A.S.; Lacerda, A.C.; Teixeira, M.M.; Teixeira, A.L.; Mendonca, V.A. Influence of Cytokines and Soluble Receptors in the Quality of Life and Functional Capacity of Workers Exposed to Silica. J. Occup. Environ. Med. 2016, 58, 272–276. [Google Scholar] [CrossRef] [PubMed]
- Zhai, R.; Liu, G.; Ge, X.; Bao, W.; Wu, C.; Yang, C.; Liang, D. Serum levels of tumor necrosis factor-alpha (TNF-alpha), interleukin 6 (IL-6), and their soluble receptors in coal workers’ pneumoconiosis. Respir. Med. 2002, 96, 829–834. [Google Scholar] [CrossRef] [PubMed]
- Zhai, R.; Ge, X.; Li, H.; Tang, Z.; Liao, R.; Kleinjans, J. Differences in cellular and inflammatory cytokine profiles in the bronchoalveolar lavage fluid in bagassosis and silicosis. Am. J. Ind. Med. 2004, 46, 338–344. [Google Scholar] [CrossRef]
- Fouad, M.M.; Ramadan, M.A. Serum intracellular adhesion molecule-1 and interleukin-8 as predictors of pulmonary impairment among workers in secondary copper smelters. Int. Arch. Occup. Environ. Health 2021, 95, 365–375. [Google Scholar] [CrossRef]
- Lee, J.S.; Shin, J.H.; Choi, B.S. Serum levels of IL-8 and ICAM-1 as biomarkers for progressive massive fibrosis in coal workers’ pneumoconiosis. J. Korean Med. Sci. 2015, 30, 140–144. [Google Scholar] [CrossRef] [PubMed]
- Yao, S.Q.; He, Q.C.; Yuan, J.X.; Chen, J.; Chen, G.; Lu, Y.; Bai, Y.P.; Zhang, C.M.; Yuan, Y.; Xu, Y.J. Role of Fas/FasL pathway-mediated alveolar macrophages releasing inflammatory cytokines in human silicosis. Biomed. Environ. Sci. 2013, 26, 930–933. [Google Scholar] [CrossRef] [PubMed]
- Patterson, K.C.; Franek, B.S.; Muller-Quernheim, J.; Sperling, A.I.; Sweiss, N.J.; Niewold, T.B. Circulating cytokines in sarcoidosis: Phenotype-specific alterations for fibrotic and non-fibrotic pulmonary disease. Cytokine 2013, 61, 906–911. [Google Scholar] [CrossRef]
- Wang, G.L.; Gao, H.X.; Wang, Y.L.; Wei, X.; Liu, Y.Z.; Lu, J.H.; Li, L.; Wang, H.B.; Zhao, L.; Rong, Y.X.; et al. Serum IP-10 and IL-7 levels are associated with disease severity of coronavirus disease 2019. Cytokine 2021, 142, 155500. [Google Scholar] [CrossRef] [PubMed]
- Mathy, N.L.; Scheuer, W.; Lanzendorfer, M.; Honold, K.; Ambrosius, D.; Norley, S.; Kurth, R. Interleukin-16 stimulates the expression and production of pro-inflammatory cytokines by human monocytes. Immunology 2000, 100, 63–69. [Google Scholar] [CrossRef]
- Conti, P.; Kempuraj, D.; Kandere, K.; Di Gioacchino, M.; Reale, M.; Barbacane, R.C.; Castellani, M.L.; Mortari, U.; Boucher, W.; Letourneau, R.; et al. Interleukin-16 network in inflammation and allergy. Allergy Asthma Proc. 2002, 23, 103–108. [Google Scholar]
- Yu, Y.; Wang, R.; Pan, Z.; Zhang, H.; Zhang, W.; Wang, H.; Yang, F.; Zhang, H. The discriminant analysis of the silicosis’s induction on cytokines in phlegm and combined multi-markers. Zhonghua Lao Dong Wei Sheng Zhi Ye Bing Za Zhi 2015, 33, 332–336. [Google Scholar] [PubMed]
- Chen, Y.; Li, C.; Weng, D.; Song, L.; Tang, W.; Dai, W.; Yu, Y.; Liu, F.; Zhao, M.; Lu, C.; et al. Neutralization of interleukin-17A delays progression of silica-induced lung inflammation and fibrosis in C57BL/6 mice. Toxicol. Appl. Pharmacol. 2014, 275, 62–72. [Google Scholar] [CrossRef] [PubMed]
- Lo Re, S.; Dumoutier, L.; Couillin, I.; Van Vyve, C.; Yakoub, Y.; Uwambayinema, F.; Marien, B.; van den Brule, S.; Van Snick, J.; Uyttenhove, C.; et al. IL-17A-producing gammadelta T and Th17 lymphocytes mediate lung inflammation but not fibrosis in experimental silicosis. J. Immunol. 2010, 184, 6367–6377. [Google Scholar] [CrossRef] [PubMed]
- Fanny, M.; Nascimento, M.; Baron, L.; Schricke, C.; Maillet, I.; Akbal, M.; Riteau, N.; Le Bert, M.; Quesniaux, V.; Ryffel, B.; et al. The IL-33 Receptor ST2 Regulates Pulmonary Inflammation and Fibrosis to Bleomycin. Front. Immunol. 2018, 9, 1476. [Google Scholar] [CrossRef] [PubMed]
- Tahtinen, S.; Tong, A.J.; Himmels, P.; Oh, J.; Paler-Martinez, A.; Kim, L.; Wichner, S.; Oei, Y.; McCarron, M.J.; Freund, E.C.; et al. IL-1 and IL-1ra are key regulators of the inflammatory response to RNA vaccines. Nat. Immunol. 2022, 23, 532–542. [Google Scholar] [CrossRef] [PubMed]
- Misson, P.; Brombacher, F.; Delos, M.; Lison, D.; Huaux, F. Type 2 immune response associated with silicosis is not instrumental in the development of the disease. Am. J. Physiol. Lung Cell. Mol. Physiol. 2007, 292, L107–L113. [Google Scholar] [CrossRef]
- Wang, M.; Wang, S.; Song, Z.; Ji, X.; Zhang, Z.; Zhou, J.; Ni, C. Associations of IL-4, IL-4R, and IL-13 gene polymorphisms in coal workers’ pneumoconiosis in China: A case-control study. PLoS ONE 2011, 6, e22624. [Google Scholar] [CrossRef]
- Bao, L.; Hao, C.; Liu, S.; Zhang, L.; Wang, J.; Wang, D.; Li, Y.; Yao, W. Dendritic cells trigger imbalance of Th1/Th2 cells in silica dust exposure rat model via MHC-II, CD80, CD86 and IL-12. RSC Adv. 2018, 8, 26108–26115. [Google Scholar] [CrossRef]
- Wu, C.; Luo, Z.; Pang, B.; Wang, W.; Deng, M.; Jin, R.; Muhataer, X.; Li, Y.; Li, Q.; Yang, X. Associations of Pulmonary Fibrosis with Peripheral Blood Th1/Th2 Cell Imbalance and EBF3 Gene Methylation in Uygur Pigeon Breeder’s Lung Patients. Cell. Physiol. Biochem. 2018, 47, 1141–1151. [Google Scholar] [CrossRef]
- Kitasato, Y.; Hoshino, T.; Okamoto, M.; Kato, S.; Koda, Y.; Nagata, N.; Kinoshita, M.; Koga, H.; Yoon, D.Y.; Asao, H.; et al. Enhanced expression of interleukin-18 and its receptor in idiopathic pulmonary fibrosis. Am. J. Respir. Cell Mol. Biol. 2004, 31, 619–625. [Google Scholar] [CrossRef]
- Nadif, R.; Mintz, M.; Marzec, J.; Jedlicka, A.; Kauffmann, F.; Kleeberger, S.R. IL18 and IL18R1 polymorphisms, lung CT and fibrosis: A longitudinal study in coal miners. Eur. Respir. J. 2006, 28, 1100–1105. [Google Scholar] [CrossRef] [PubMed]
- Pryhuber, G.S.; Huyck, H.L.; Baggs, R.; Oberdorster, G.; Finkelstein, J.N. Induction of chemokines by low-dose intratracheal silica is reduced in TNFR I (p55) null mice. Toxicol. Sci. 2003, 72, 150–157. [Google Scholar] [CrossRef] [PubMed]
- Lee, J.S.; Shin, J.H.; Lee, K.M.; Hwang, J.H.; Baek, J.E.; Kim, J.H.; Choi, B.S. Serum levels of TGF-beta1 and MCP-1 as biomarkers for progressive coal workers’ pneumoconiosis in retired coal workers: A three-year follow-up study. Ind. Health 2014, 52, 129–136. [Google Scholar] [CrossRef] [PubMed]
- Tager, A.M.; Kradin, R.L.; LaCamera, P.; Bercury, S.D.; Campanella, G.S.; Leary, C.P.; Polosukhin, V.; Zhao, L.H.; Sakamoto, H.; Blackwell, T.S.; et al. Inhibition of pulmonary fibrosis by the chemokine IP-10/CXCL10. Am. J. Respir. Cell Mol. Biol. 2004, 31, 395–404. [Google Scholar] [CrossRef]
- Zhang, Z.Q.; Tian, H.T.; Liu, H.; Xie, R. The role of macrophage-derived TGF-beta1 on SiO2-induced pulmonary fibrosis: A review. Toxicol. Ind. Health 2021, 37, 240–250. [Google Scholar] [CrossRef]
- Jagirdar, J.; Begin, R.; Dufresne, A.; Goswami, S.; Lee, T.C.; Rom, W.N. Transforming growth factor-beta (TGF-beta) in silicosis. Am. J. Respir. Crit. Care Med. 1996, 154 Pt 1, 1076–1081. [Google Scholar] [CrossRef]
- Barbarin, V.; Nihoul, A.; Misson, P.; Arras, M.; Delos, M.; Leclercq, I.; Lison, D.; Huaux, F. The role of pro- and anti-inflammatory responses in silica-induced lung fibrosis. Respir. Res. 2005, 6, 112. [Google Scholar] [CrossRef]
- Toda, M.; Mizuguchi, S.; Minamiyama, Y.; Yamamoto-Oka, H.; Aota, T.; Kubo, S.; Nishiyama, N.; Shibata, T.; Takemura, S. Pirfenidone suppresses polarization to M2 phenotype macrophages and the fibrogenic activity of rat lung fibroblasts. J. Clin. Biochem. Nutr. 2018, 63, 58–65. [Google Scholar] [CrossRef]
- Song, X.; Shi, Y.; You, J.; Wang, Z.; Xie, L.; Zhang, C.; Xiong, J. D-4F, an apolipoprotein A-I mimetic, suppresses IL-4 induced macrophage alternative activation and pro-fibrotic TGF-beta1 expression. Pharm. Biol. 2019, 57, 470–476. [Google Scholar] [CrossRef]
- Gyorfi, A.H.; Matei, A.E.; Distler, J.H.W. Targeting TGF-beta signaling for the treatment of fibrosis. Matrix Biol. 2018, 68–69, 8–27. [Google Scholar] [CrossRef]
- Zhang, J.; Cui, J.; Li, X.; Hao, X.; Guo, L.; Wang, H.; Liu, H. Increased secretion of VEGF-C from SiO2-induced pulmonary macrophages promotes lymphangiogenesis through the Src/eNOS pathway in silicosis. Ecotoxicol. Environ. Saf. 2021, 218, 112257. [Google Scholar] [CrossRef] [PubMed]
- Hamada, N.; Kuwano, K.; Yamada, M.; Hagimoto, N.; Hiasa, K.; Egashira, K.; Nakashima, N.; Maeyama, T.; Yoshimi, M.; Nakanishi, Y. Anti-vascular endothelial growth factor gene therapy attenuates lung injury and fibrosis in mice. J. Immunol. 2005, 175, 1224–1231. [Google Scholar] [CrossRef] [PubMed]
- Hamada, H.; Vallyathan, V.; Cool, C.D.; Barker, E.; Inoue, Y.; Newman, L.S. Mast cell basic fibroblast growth factor in silicosis. Am. J. Respir. Crit. Care Med. 2000, 161, 2026–2034. [Google Scholar] [CrossRef]
- Herseth, J.I.; Volden, V.; Schwarze, P.E.; Lag, M.; Refsnes, M. IL-1beta differently involved in IL-8 and FGF-2 release in crystalline silica-treated lung cell co-cultures. Part. Fibre Toxicol. 2008, 5, 16. [Google Scholar] [CrossRef] [PubMed]
- Zhao, H.; Jiang, Z.; Lv, R.; Li, X.; Xing, Y.; Gao, Y.; Lv, D.; Si, Y.; Wang, J.; Li, J.; et al. Transcriptome profile analysis reveals a silica-induced immune response and fibrosis in a silicosis rat model. Toxicol. Lett. 2020, 333, 42–48. [Google Scholar] [CrossRef] [PubMed]
- Azoulay, E.; Herigault, S.; Levame, M.; Brochard, L.; Schlemmer, B.; Harf, A.; Delclaux, C. Effect of granulocyte colony-stimulating factor on bleomycin-induced acute lung injury and pulmonary fibrosis. Crit. Care Med. 2003, 31, 1442–1448. [Google Scholar] [CrossRef]
- Adach, K.; Suzuki, M.; Sugimoto, T.; Suzuki, S.; Niki, R.; Oyama, A.; Uetsuka, K.; Nakamaya, H.; Doi, K. Granulocyte colony-stimulating factor exacerbates the acute lung injury and pulmonary fibrosis induced by intratracheal administration of bleomycin in rats. Exp. Toxicol. Pathol. 2002, 53, 501–510. [Google Scholar] [CrossRef]
- Chaudhary, N.I.; Roth, G.J.; Hilberg, F.; Muller-Quernheim, J.; Prasse, A.; Zissel, G.; Schnapp, A.; Park, J.E. Inhibition of PDGF, VEGF and FGF signalling attenuates fibrosis. Eur. Respir. J. 2007, 29, 976–985. [Google Scholar] [CrossRef]
- Adamcakova, J.; Mokra, D. New Insights into Pathomechanisms and Treatment Possibilities for Lung Silicosis. Int. J. Mol. Sci. 2021, 22, 4162. [Google Scholar] [CrossRef]





| HC (n = 22) | SS (n = 53) | PMF (n = 38) | p | |
|---|---|---|---|---|
| Age * | 36.4 ± 8.3 | 40.1 ± 7.7 | 41 ± 6.2 | 0.052 ⁺ |
| Starting Exposure Age * | - | 21.2 ± 7.4 | 21.4 ± 4.3 | 0.142 ⁺⁺ |
| Duration of Exposure * | - | 13.1 ± 6.7 | 13.3 ± 6.1 | 0.968 ⁺⁺ |
| Years since cessation of exposure to blood draw * | - | 6.4 ± 2.7 | 7.3 ± 2.5 | 0.058 ⁺⁺ |
| Smoking status ** | 0.099 ⁺⁺⁺ | |||
| Non-Smoker | 15 (65.2) | 22 (41.5) | 15 (39.5) | |
| Ex-Smoker | 5 (21.7) | 26 (49.1) | 21 (55.3) | |
| Smoker | 3 (13) | 5 (9.4) | 2 (5.3) | |
| FEV₁ (mL) * | nd | 3386 ± 647 | 2961 ± 631 | 0.003 |
| FEV₁ (%) * | nd | 87.8 ± 14 | 76.5 ± 14.8 | <0.0001 |
| FVC (mL) * | nd | 4341 ± 748 | 3961 ± 783 | 0.022 |
| FVC (%) * | nd | 90.1 ± 13.3 | 82.3 ± 14.8 | 0.01 |
| FEV₁/FVC * | nd | 0.77 ± 0.05 | 0.74 ± 0.07 | 0.009 |
| DLCO (mmol/min/kPa) * | nd | 9.2 ± 1.7 | 8.3 ± 1.4 | 0.006 |
| DLCO (%) * | nd | 85.4 ± 14.8 | 77.6 ± 14 | 0.014 |
| Groups Compared | Cytokines Augmented (→) |
|---|---|
| HC → SS | IL-1β, IL-1RA, IL-4, IL-6, IL-7, IL-8, IL-13, IL-15*, IL-17A, IL-18, IL-33, TNF-α, IP-10, MCP-1, MIP-1α, MIP-1β, TGF-β1, FGF-basic |
| HC → PMF | IL-1β, IL-1RA, IL-4, IL-6, IL-7, IL-8, IL-9, IL-10, IL-13, IL-15 *, IL-16, IL-18, IL-33, TNF-α, IP-10, MCP-1, MIP-1α, MIP-1β, TGF-β1, FGF-basic, G-CSF, VEGF |
| SS → PMF | IL-1RA, IL-8, IL-10, IL-16, IL-18, TNF-α, MIP-1α, G-CSF, VEGF |
| Progressive increase HC → SS → PMF | IL-1RA, IL-8, IL-18, TNF-α, MIP-1α |
| No significant differences between any of the groups | IL-2, IL-3, IL-5, IL-12 (p70), IL-23, Eotaxin, GM-CSF, IFN-γ, PDGF-BB, RANTES, CXCL1/GROα |
Disclaimer/Publisher’s Note: The statements, opinions and data contained in all publications are solely those of the individual author(s) and contributor(s) and not of MDPI and/or the editor(s). MDPI and/or the editor(s) disclaim responsibility for any injury to people or property resulting from any ideas, methods, instructions or products referred to in the content. |
© 2023 by the authors. Licensee MDPI, Basel, Switzerland. This article is an open access article distributed under the terms and conditions of the Creative Commons Attribution (CC BY) license (https://creativecommons.org/licenses/by/4.0/).
Share and Cite
Campos-Caro, A.; Jiménez-Gómez, G.; García-Núñez, A.; Hidalgo-Molina, A.; León-Jiménez, A. Plasma Cytokine Profiling Reveals Differences between Silicotic Patients with Simple Silicosis and Those with Progressive Massive Fibrosis Caused by Engineered Stone. Int. J. Mol. Sci. 2023, 24, 1541. https://doi.org/10.3390/ijms24021541
Campos-Caro A, Jiménez-Gómez G, García-Núñez A, Hidalgo-Molina A, León-Jiménez A. Plasma Cytokine Profiling Reveals Differences between Silicotic Patients with Simple Silicosis and Those with Progressive Massive Fibrosis Caused by Engineered Stone. International Journal of Molecular Sciences. 2023; 24(2):1541. https://doi.org/10.3390/ijms24021541
Chicago/Turabian StyleCampos-Caro, Antonio, Gema Jiménez-Gómez, Alejandro García-Núñez, Antonio Hidalgo-Molina, and Antonio León-Jiménez. 2023. "Plasma Cytokine Profiling Reveals Differences between Silicotic Patients with Simple Silicosis and Those with Progressive Massive Fibrosis Caused by Engineered Stone" International Journal of Molecular Sciences 24, no. 2: 1541. https://doi.org/10.3390/ijms24021541
APA StyleCampos-Caro, A., Jiménez-Gómez, G., García-Núñez, A., Hidalgo-Molina, A., & León-Jiménez, A. (2023). Plasma Cytokine Profiling Reveals Differences between Silicotic Patients with Simple Silicosis and Those with Progressive Massive Fibrosis Caused by Engineered Stone. International Journal of Molecular Sciences, 24(2), 1541. https://doi.org/10.3390/ijms24021541

