Next Article in Journal
Urokinase System in Pathogenesis of Pulmonary Fibrosis: A Hidden Threat of COVID-19
Previous Article in Journal
The Cellular Abundance of Chemoreceptors, Chemosensory Signaling Proteins, Sensor Histidine Kinases, and Solute Binding Proteins of Pseudomonas aeruginosa Provides Insight into Sensory Preferences and Signaling Mechanisms
 
 
Font Type:
Arial Georgia Verdana
Font Size:
Aa Aa Aa
Line Spacing:
Column Width:
Background:
Article

AaCaMKs Positively Regulate Development, Infection Structure Differentiation and Pathogenicity in Alternaria alternata, Causal Agent of Pear Black Spot

1
College of Food Science and Engineering, Gansu Agricultural University, Lanzhou 730070, China
2
Institute of Postharvest and Food Sciences, The Volcani Center, Agricultural Research Organization, Rishon LeZion 7505101, Israel
*
Author to whom correspondence should be addressed.
Int. J. Mol. Sci. 2023, 24(2), 1381; https://doi.org/10.3390/ijms24021381
Submission received: 27 November 2022 / Revised: 29 December 2022 / Accepted: 9 January 2023 / Published: 10 January 2023
(This article belongs to the Section Molecular Microbiology)

Abstract

Calcium/calmodulin-dependent protein kinase (CaMK), a key downstream target protein in the Ca2+ signaling pathway of eukaryotes, plays an important regulatory role in the growth, development and pathogenicity of plant fungi. Three AaCaMKs (AaCaMK1, AaCaMK2 and AaCaMK3) with conserved PKC_like superfamily domains, ATP binding sites and ACT sites have been cloned from Alternaria alternata, However, their regulatory mechanism in A. alternata remains unclear. In this study, the function of the AaCaMKs in the development, infection structure differentiation and pathogenicity of A. alternata was elucidated through targeted gene disruption. The single disruption of AaCaMKs had no impact on the vegetative growth and spore morphology but significantly influenced hyphae growth, sporulation, biomass accumulation and melanin biosynthesis. Further expression analysis revealed that the AaCaMKs were up-regulated during the infection structure differentiation of A. alternata on hydrophobic and pear wax substrates. In vitro and in vivo analysis further revealed that the deletion of a single AaCaMKs gene significantly reduced the A. alternata conidial germination, appressorium formation and infection hyphae formation. In addition, pharmacological analysis confirmed that the CaMK specific inhibitor, KN93, inhibited conidial germination and appressorium formation in A. alternata. Meanwhile, the AaCaMKs genes deficiency significantly reduced the A. alternata pathogenicity. These results demonstrate that AaCaMKs regulate the development, infection structure differentiation and pathogenicity of A. alternata and provide potential targets for new effective fungicides.

1. Introduction

Alternaria alternata, the causal agent of pear black spot, is a serious latent pathogen of mango [1], citrus [2], and pear [3], among other fruits, during their developmental period. It infects the fruits via the styles or peel during the growing season and remains latent until fruit maturity when it causes severe postharvest losses and food safety concerns. Pre-infection, A. alternata undergoes a series of processes to prepare for its infection, including forming a specialized infection structure necessary for its pathogenicity [4]. Precisely, the spores attach and germinate into the infective structure on the fruit surface, initiating the infection process. During this process, several signal pathways participate in external and internal signal transduction in response to the physical and chemical cues on the fruit surface. However, the growth patterns and development of A. alternata are more complex. Therefore, understanding the molecular mechanisms underlying host and A. alternata interactions is critical for effectively controlling the postharvest diseases caused by A. alternata.
The plant epidermis can protect the plants against pathogen infection; however, its hydrophobic [5], waxy [6], and other physicochemical cues also have inductive effects on pathogen infection. For example, in Ustilago maydis, the cuticle induces the hyphae and appressorium differentiation [7], while in Magnaporthe oryzae, the appressorium formation was induced on hydrophobic substrates [8]. In addition, the hydrophobic and pear wax substrates stimulate the differentiation of the A. alternata infection structure [9]. At the same time, AaPKAc and AaPDEL/AaPDEH in cAMP/PKA pathway [10,11], AaPLCs in Ca2+ signaling pathway [12], AaHog1 in the MAPK cascades pathway [13], and transmembrane protein AaSho1 [14] are involved in the differentiation of A. alternata infection structure under hydrophobic and pear wax substrates. However, how the pathogen responds to host epidermal signals until the initiation of the infection needs to be elucidated further.
Ca2+ is a common second messenger that mediates several physiological processes through the phosphorylate downstream target proteins calmodulin, CaMK and calcineurin [15]. The Ca2+ signal transduction pathway is one of the most important pathways in eukaryotes, involved in regulating various physiological processes, such as growth, spore germination, appressorium formation and pathogenicity [16,17,18].
CaMK is a key target protein in the Ca2+ signaling pathway, which regulates the growth, stress response and pathogenicity of pathogens [19,20]. For example, the deletion of CaMK in Puccinia striiformis f. sp. tritici, led to reduced vegetative growth and virulence loss. In the filamentous fungal pathogen Neurospora crassa, CaMK regulated the growth, thermo-tolerance and stress responses [21]. Similarly, CaMK regulates cell cycling, osmotic stressing and mating in Saccharomyces cerevisiae [22] and the growth, environmental stress tolerance and pathogenicity of Arthrobotrys oligospora [23]. However, the specific roles of CaMK in A. alternata development, infection structure differentiation and pathogenicity remain unknown.
Currently, three isotypes of calcium/calmodulin-dependent protein kinase, AaCaMK1, AaCaMK2 and AaCaMK3, which are 1212, 1200 and 2349 bp long, respectively, have been cloned from A. alternata [24]. Further bioinformatics analysis revealed that the three CaMK contain the protein kinase catalytic-like superfamily domains (PKC_Like Superfamily). The conserved kinase domains of AaCaMK1 and AaCaMK2 belong to the catalytic domain of CaMK ser/thr protein kinase (STKc_CaMK), while that of AaCaMK3 belongs to the catalytic domain of liver kinase B1 (LKB1) and calmodulin-dependent protein kinase kinase (CaMKK) (STKc_LKB1_CaMKK). The homology analysis revealed that the homology of AaCaMK1, AaCaMK2 and AaCaMK3 with Setosphaeria turcica CAK1, CAK2 and CAK3 was as high as 94.32, 97.49 and 86.57%, respectively. Thus, we speculated that AaCaMKs might regulate the development and pathogenicity of A. alternata. In this study, the function of AaCaMKs in the development, differentiation of the infection structure and pathogenicity of A. alternata was elucidated through molecular biology and pharmacological methods. The results enhance our understanding of fungal biology, which is useful in developing better disease control strategies.

2. Results

2.1. AaCaMKs Are Not Essential for the Vegetative Growth of A. alternata but Are Indispensable for Sporulation and Biomass Accumulation

To assess the function of AaCaMKs in A. alternata, the gene deletion mutants, ΔAaCaMK1, ΔAaCaMK2, ΔAaCaMK3 and complementary strains ΔAaCaMK1-C, ΔAaCaMK2-C and ΔAaCaMK3-C were obtained by homologous recombination and PEG-mediated protoplast transformation. The wild-type (WT), ΔAaCaMKs and the complementary strain ΔAaCaMKs-C spore and hyphae morphology on PDA at 3, 5 and 7 days of incubation revealed that the colony morphology and growth of these strains were comparable (Figure 1A,B). However, ΔAaCaMK1 and ΔAaCaMK3 mutants produced a large number of conidia, 2-fold higher than WT, whereas the conidia produced by ΔAaCaMK2 mutant was 24% less than WT (Figure 2A). Compared to the WT strain, the single deletion AaCaMKs recorded a significantly reduced biomass accumulation after 5 d of incubation (Figure 2B). However, sporulation and biomass accumulation defects were rescued in ΔAaCaMKs-C strains. These results implied that the deletion of the AaCaMKs gene had no significant effect on the A. alternata growth; rather, it was involved in the sporulation and biomass accumulation.

2.2. AaCaMKs Regulate Hyphae Morphology Development in A. alternata

Observations under the scanning electron microscope revealed that the WT strain spores were elliptical and full of content and were nearly the same as those of the ΔAaCaMKs mutants (Figure 3A). In addition, the WT strain hyphae grew luxuriantly with many lateral branches but appeared short with abnormal branching in ΔAaCaMK1 and ΔAaCaMK3. However, in the ΔAaCaMK2 strain, the hyphae were not remarkably different from the WT strain (Figure 3B). These results imply that AaCaMKs played a key role in A. alternata hyphae growth.

2.3. Expression Analysis of AaCaMKs Gene during A. alternata Growth and Development

The expression levels of AaCaMK2 and AaCaMK3 were significantly lower than AaCaMK1 in the WT, implying that under normal conditions, these three genes all play a role in A. alternata growth and development. However, AaCaMK1 had a stronger regulatory role (Figure 4A). However, compared to the WT, the expression levels of AaCaMK2 and AaCaMK3 were dramatically up-regulated in ΔAaCaMK1 (Figure 4B), suggesting that AaCaMK2 and AaCaMK3 together played complementary roles when AaCaMK1 was knocked-out. Besides, AaCaMK1 was up-regulated in ΔAaCaMK2, while AaCaMK3 was down-regulated compared to the control (WT) (Figure 4C), implying that AaCaMK1 played a major role in the ΔAaCaMK2 mutant. The expression levels of AaCaMK1 and AaCaMK2 were up-regulated in ΔAaCaMK3 compared to the WT (Figure 4D), implying that they both play a role in ΔAaCaMK3 mutant. These results suggested that AaCaMKs may cooperatively regulate the growth and development of A. alternata.

2.4. AaCaMKs Are Crucial for the A. alternata Infection Structure Differentiation Induced on the Hydrophobic and Pear Wax Substrates

2.4.1. AaCaMKs Are Up-Regulated during A. alternata Infection Structural Differentiation

The qRT-PCR analysis revealed that AaCaMKs were significantly up-regulated during the A. alternata infection structural differentiation in hydrophobic and pear wax substrates. However, AaCaMK3 expression was lower than AaCaMK1 and AaCaMK2 (Figure 5A,B). On the hydrophobic substrate, AaCaMKs were significantly up-regulated at the appressorium (6 h) and infection hyphae formation stages (8 h) compared to the spore germination stage (2 h). Nevertheless, AaCaMK1 and AaCaMK2 reached the highest expression at the appressorium formation stage (6 h), with expressions 7 and 12-fold that of the control, respectively. However, AaCaMK3 had the highest expression at the infection hyphae formation stage (8 h), which was 15-fold that of the control (Figure 5A). Similarly, compared to the spore germination stage (2 h), the expression level of AaCaMKs genes was significantly up-regulated at all stages of A. alternata infection structure differentiation under the pear wax-induced substrate. However, the expression of AaCaMK1, AaCaMK2, and AaCaMK3 reached the highest levels during the germ tube elongation stage (4 h), with expression levels 5, 9 and 12 times that of spore germination stage (2 h), respectively (Figure 5B). Therefore, AaCaMKs were involved in the infection structural differentiation of A. alternata induced on hydrophobic and pear wax substrates.

2.4.2. In Vitro Test

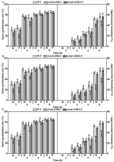
Spore germination and appressorium formation are key steps in fungal development and pathogenesis. The findings in this study revealed that spore germination and appressorium formation was significantly reduced in AaCaMKs deletion mutants with hydrophobic and pear wax substrates (p < 0.05). Precisely, appressorium formation in ΔAaCaMK1, ΔAaCaMK2 and ΔAaCaMK3 was significantly decreased to 14, 56 and 23% of WT under hydrophobic induction at 6 h post-inoculation, and 35, 56 and 64% on pear wax extract coated surface, respectively. However, the spore germination and appressorium formation of ΔAaCaMKs-C strains were almost recovered to the WT level (Figure 6).

2.4.3. In Vivo Test

The appressorium and infective hyphae formation of WT, ΔAaCaMKs and ΔAaCaMKs-C were observed on the pear fruit peel. Compared to the WT, the appressorium formation on ΔAaCaMK1, ΔAaCaMK2 and ΔAaCaMK3 were reduced by 52, 45 and 51% at 6 h of induction, respectively (Figure 7A). After 12 h post-inoculation, the infection hyphae formation levels in ΔAaCaMK1, ΔAaCaMK2 and ΔAaCaMK3 were significantly reduced by 65, 74 and 65% compared to the WT, respectively (Figure 7B).

2.5. KN93 Inhibited A. alternata Spore Germination and Appressorium Formation

The KN93 treatment inhibited A. alternata conidial germination and appressorium formation in a dose-dependent manner. However, the appressorium formation was significantly inhibited (Figure 8A,B). Precisely, the A. alternata spore germination was 43% lower than the control 2 h after being treated with 40 µM KN93 (Figure 8A). Furthermore, adding 20 µM KN93 into the A. alternata conidial suspension drastically decreased the appressorium formation to approximately 84% after 4 h incubation at 28 °C on a hydrophobic substrate. At the same time, treatment with 40 µM KN93 completely inhibited the appressorium formation (Figure 8B). Additionally, the spore germination and appressorium formation on hydrophobic and pear wax substrates treated with KN93 were consistently lower than for the untreated substrates (Figure 8C,D). At 8 h post-treatment, the appressorium formation on KN93 treated hydrophobic and pear wax substrates was significantly reduced by 53 and 30%, respectively (Figure 8D). These results further confirmed that AaCaMKs regulated the A. alternata infection structural differentiation.

2.6. AaCaMKs Regulate A. alternata Virulence

The analysis of AaCaMKs role in the A. alternata pathogenicity using infection assays on ‘Zaosu’ pear fruit revealed that the WT, ΔAaCaMKs and ΔAaCaMKs-C A. alternata caused typical black spots on pears 3 d post-inoculation. As shown in Figure 9, ΔAaCaMKs exhibited a 56~61% reduction in lesion diameters on pear fruit 5 d after inoculation. However, the pear fruit lesion area caused by ΔAaCaMKs-C was equal to that of the WT. These results implied that AaCaMKs were required for A. alternata pathogenicity.

2.7. AaCaMKs Regulate the Melanin Content of A. alternata

The intracellular melanin content of ΔAaCaMK1 and ΔAaCaMK3 were significantly higher than WT. While the intracellular melanin content in ΔAaCaMK2 was not significantly changed, the melanin contents of ΔAaCaMK1 and ΔAaCaMK3 were significantly increased by 39 and 75%, respectively, compared to the WT (Figure 10A). In contrast, the extracellular melanin content of ΔAaCaMKs was significantly lower than WT. Precisely, the melanin content of ΔAaCaMK1 and ΔAaCaMK2 was decreased by 47 and 59%, respectively (Figure 10B). These results imply that AaCaMKs regulate the melanin content in A. alternata.

3. Discussion

CaMK is a serine/threonine protein kinase that plays significant and conserved roles in regulating growth, conidial germination, appressorium formation, stress response and pathogenicity in many fungal pathogens. For example, CaMK regulates conidial germination, appressorium formation, melanin production and pathogenicity in M. oryzae [25,26]. In addition, the deletion of the CaMK gene in Aspergillus nidulans caused a defect in nuclear division and spores germination; thus, the disruption of CMKB is lethal [27]. Recent reports have also revealed that Cmk2 has an additional function of calcium tolerance in budding yeast [28].
In this study, three single deletion mutants (ΔAaCaMK1, ΔAaCaMK2 and ΔAaCaMK3) and complementary strains (ΔAaCaMK1-C, ΔAaCaMK2-C and ΔAaCaMK3-C) of AaCaMKs were constructed from the WT A. alternata. Phenotype analysis revealed that the targeted deletion of AaCaMKs affected sporulation and biomass accumulation. In contrast, the single deletion of AaCaMKs had no significant impact on A. alternata vegetative growth and spore morphology compared to the WT. Similarly, the deletion of the CaMK gene resulted in significant sporulation defects, and the CpkB mutant did not affect the vegetative growth of S. nodorum [29]. In M. oryzae, CaMK deletion mutants also showed strong growth defects and produced reduced conidia [30]. These results indicate that the roles of CaMK vary among the different plant fungal pathogens. At the same time, the expression analysis revealed that the deletion of a single AaCaMK increases the expression of the other two genes to complement the defects. Alternatively, AaCaMKs could have functional redundancy in regulating A. alternata growth and development, or the AaCaMKs positively or negatively regulate each other. This could be a direct or indirect regulation. Similarly, Kumar et al. [21] found that camk-1 regulates the growth and development of N. crassa using a gene deletion mutant, although there might be a camk-1 substitute gene.
The plant epidermis can effectively prevent water transpiration and reduce mechanical damage and insect infection. It also plays an important role in pathogen recognition and infection structure formation [31,32,33]. Several studies have revealed that the hydrophobic and pear wax substrates induce appressorium differentiation of plant pathogenic fungi [7,9,31,34,35]. Herein, the expression level of AaCaMK1, AaCaMK2 and AaCaMK3 were significantly up-regulated during the A.alternata infection structural differentiation, implying that AaCaMKs is involved in the differentiation of the A. alternata infection structure induced by hydrophobic and pear wax substrates. These results are similar to the previous report in S. turcica, where the expression levels of CaMK were significantly up-regulated during the infection structural differentiation [20]. In addition, the PsCaMKL1 expression was up-regulated at the early infection stages of Puccinia striiformis f. sp. tritici [36]. However, the deletion of ΔAaCaMKs caused a considerable reduction in spore germination and appressorium formation based on the in vivo and in vitro tests, which suggests a potential role of AaCaMKs in regulating the differentiation of the infection structure of A. alternata. This is consistent with the findings of Hu et al. [26], who reported that the CaMK gene in M. oryzae was involved in regulating spore germination and appressorium formation. Liu et al. [19] also demonstrated delayed conidial germination and appressorial formation in the MoCMK1 deletion mutant of M. oryzae. KN93, a specific inhibitor of CaMK, also significantly inhibited A. alternata spore germination and appressorium formation in a dose-dependent manner. Precisely, the spore germination and appressorium formation of A. alternata treated with KN93 were significantly inhibited by hydrophobic and pear wax substrates, similar to the findings in previous studies using M. oryzae, Bipolarismayd and Puccinia striiformis f. sp. Tritici [26,37,38].
Generally, melanin is interconnected with the development and pathogenicity of fungal pathogens [39,40]. Interestingly, we found that AaCaMKs could affect melanin biosynthesis in A. alternata, but not the colony color. Similarly, the CaMK disturbance inhibits melanin biosynthesis in C. gloeosporioides [41]. However, the specific regulatory mechanism of melanin biosynthesis by CaMK is unclear. A thorough analysis of A. alternata inoculation on wounded pear fruit revealed that AaCaMKs were correlated with A. alternata pathogenicity. Hu et al. [26] also reported that CaMK regulates pathogenicity in M. oryzae. Similarly, functional studies on CpkB and CpkC genes have demonstrated that CaMK plays significant roles in Stagonospora nodorum pathogenicity [29]. However, the specific regulation mechanism still needs to be studied further by constructing AaCaMKs gene double deletion and triple deletion mutants.

4. Materials and Methods

4.1. Fungal Strain, Vector, Reagents and Fruits

The wild type (WT) A. alternata strain JT-03 was isolated from infected pear fruit and cultured on potato dextrose agar (PDA) at 28 °C for 5 d. The pCAMBIA1300-HPH and pC-NEO-NGFP vectors were provided by the Chinese Academy of Sciences. The pear wax used in the experiments was extracted from pears as described by Yin et al. [42] and then prepared as a 0.1% wax solution. KN93 and Gelbond PAG film were purchased from TopScience (Shanghai, China) and Univ-bio (Shanghai, China). The pear (Pyrus bretchneideri ‘Zaosu’) was harvested from a Tiaoshan Farm in Jingtai County, Gansu Province, China.

4.2. Construction of AaCaMKs Deletion Mutants and Complementation

The AaCaMKs knock-out vector was constructed based on a homologous recombination strategy (Figure S1). Two homologous recombination sequences (5′ and 3′ flank) flanking the target gene were amplified on the WT A. alternata strain using the primer pair AaCaMK1/2/3-up and AaCaMK1/2/3-down (Table S1) and then inserted at the multiple cloning sites on pCHPH upstream and downstream of hph, respectively. Next, the plasmid vectors were transferred into the WT strain by PEG-mediated protoplast transformation [43]. The transformants were selected based on their growth on PDA containing 0.08 g L−1 hygromycin B, followed by screening and confirmation by PCR and qRT-PCR (Tables S2 and S3).
Subsequently, the AaCaMKs complementation strains (ΔAaCaMKs-C) were constructed following the method highlighted by Chen et al. [44]. Next, the complementation vectors were constructed by amplifying the cDNA of AaCaMKs and transformed into the ΔAaCaMKs mutants by PEG-mediated protoplast transformation. Successful complementation was then screened with G418 (0.25 g L−1). and the complementary strain ΔAaCaMKs-C was verified by PCR. The primers used are listed in Table S4.

4.3. Growth and Development Assays

4.3.1. Determination of Vegetative Growth, Sporulation and Biomass of A. alternata

A. alternata growth and conidiation were detected as previously described [10]. Precisely, the PDA medium was inoculated with 2 µL spore suspensions (1 × 105 spores mL−1) of WT A. alternata, ΔAaCaMKs and ΔAaCaMKs-C strains and incubated at 28 °C. Their growth was examined at 3, 5 and 7 d, respectively.
For the sporulation assay, the conidia were collected and resuspended in 10 mL of ddH2O, then filtered to remove the hyphae and impurities after incubating at 28 °C for 3 d. The number of conidia collected was counted under a microscope using a hemocytometer. For the biomass estimation assay, the spore suspensions were inoculated on PDA, covered with sterile cellophane sheets and incubated at 28 °C for 5 d, after which the mycelia and cellophane sheets were removed and weighed. The experiments were replicated thrice.

4.3.2. Spore and Hyphae Morphology

The spore morphology was assessed according to the method described by Hu et al. [45]. The WT and ΔAaCaMKs spore suspensions were centrifuged (5000× g, 5 min), then washed in three changes of PBS, and fixed in 2.5% glutaraldehyde for 3 h. Next, the spores were dehydrated by graded concentrations of ethanol (30, 50, 70, 80, 90 and 95%), and then isoamyl acetate was added. The spore morphology was observed under scanning electron microscope (SEM) (JSM-5600LV) at 3000 magnification. The hyphae morphology was characterized as described by Jimdjio et al. [46]. Briefly, 2 µL of WT and ΔAaCaMKs spore suspension were inoculated on PDA, covered with sterile cellophane, and then incubated at 28 °C for 3 d. The hyphae growing at the edge of the cellophane were cut and placed on a slide, then observed under a electron microscope and photographed.

4.4. Real-Time Quantitative Reverse Polymerase Chain (qRT-PCR) Reaction

The spore suspensions were inoculated on the hydrophobic and pear wax-coated hydrophobic film, incubated at 28 °C for 2, 4, 6 and 8 h and then harvested. Next, the total RNA was extracted from A. alternata JT-03 using the TRNzol reagent (TIANGEN, Beijing, China), and 2 µg of the extracted RNA was reverse transcribed to cDNA for qRT-PCR (Takara, Dalian, China). The expression level of the target gene on the respective days was calculated according to Livak and Schmittgen [47]. GAPDH was used as the reference gene. The primers used during qRT-PCR are listed in Table S3.

4.5. Infection Structure Formation Assays

WT, ΔAaCaMKs and ΔAaCaMKs-C spore suspensions (20 µL each) were dripped onto hydrophobic and pear wax-coated hydrophobic film with three replicates and incubated at 28 °C. The percentage spore germination and appressorium formation were calculated under a microscope at 2, 4, 6 and 8 h after incubation. To further demonstrate the effect of AaCaMKs on the A. alternata infection structure formation in vivo, pear fruits were cut into small pieces (3 × 3 × 1 cm), and 20 µL of WT, ΔAaCaMKs and ΔAaCaMKs-C spores suspension were inoculated on pear peel surface. The subsequent method was referred to by Tang et al. [9]. All assays were performed in triplicate.

4.6. Pharmacological Test

KN93, a specific inhibitor of CaMK, was dissolved in dimethyl sulfoxide (DMSO). Next, A. alternata spores were suspended in KN93 at concentrations of 0 (CK), 10, 20, 30 and 40 µM, and 20 µL of each spore suspension was inoculated on the hydrophobic film and incubated at 28 °C. Subsequently, observations were made under the microscope every 2 h for 8 h. In addition, 20 µL of each spore suspension was inoculated onto hydrophobic and pear wax substrates and cultured at 28 °C, followed by observation under the microscope at 2, 4, 6 and 8 h post-inoculation.

4.7. Melanin Extraction and Measurement

Melanin was extracted and estimated following the method described by Gao et al. [48] in potato dextrose broth (PDB) incubated at 28 °C with shaking for 6 d. Briefly, the mycelia and filtrates were separated using four layers of gauze. Next, the filtrates were adjusted to pH 2 and centrifuged (8000× g, 30 min) to obtain the precipitates consisting of extracellular melanin. The mycelium obtained by filtration was then dried, and 0.25 g was accurately weighed and boiled in 30 mL of 1 M NaOH for 5 h. Subsequently, the mycelia were filtered, and the filtrate was adjusted to pH 2 and centrifuged (8000× g, 30 min) to obtain the intracellular melanin (precipitate).
Next, 5 mL of 7 M HCl was added to the precipitate and boiled for 2 h, then centrifuged (8000× g, 30 min), and the supernatant was discarded. The precipitate was then dissolved in 1 M NaOH and adjusted to pH 2 using 7 M HCl, while the supernatant was discarded after centrifugation (8000× g, 30 min). Finally, the precipitate was dissolved and fixed in 1 M NaOH, and its absorbance was measured at 400 nm using a UV spectrophotometer, using 1 M NaOH as a blank control. The results were presented in standard curve: y = x + 0.111/0.791 (x: the absorbance value of the sample measured at 400 nm; y: melanin content).

4.8. Pathogenicity Assays

For the pear infection assay, the pear fruits were disinfected using 1% sodium hypochlorite for 2 min, and three wounds were uniformly inflicted on the equator of each pear using sterile punching nails (3 mm in diameter and 5 mm in depth). Next, 20 µL of WT, ΔAaCaMKs and ΔAaCaMKs-C spore suspensions were inoculated into each wound. The pear fruits were then placed in plastic boxes and stored at room temperature. The lesion diameter was measured at 3, 5, 7 and 9 d after inoculation. Each treatment had nine fruits replicated three times.

4.9. Statistical Analysis

All assays in this study were replicated at least three times. Origin 8.5 was used for mapping. The average and standard error (±SE) were calculated in Microsoft Excel 2016. The statistical analysis was performed using SPSS 18.0. The differences between the means were compared using Duncan’s multiple range test at p < 0.05.

5. Conclusions

Three single deletion mutants and complementary strains of AaCaMKs were successfully constructed, and the functions of AaCaMKs in growth, development, infection structure differentiation and pathogenicity of A. alternata were elucidated. Our findings demonstrate that AaCaMKs are essential for sporulation, biomass accumulation, hyphae growth, melanin biosynthesis, infection structure differentiation and pathogenicity of A. alternata, but are not required for the growth and spore morphology. Therefore, AaCaMKs play diverse and essential roles in A. alternata. These results will widen our knowledge of the molecular mechanisms of disease progression caused by A. alternata, and provide potential drug targets for developing new effective fungicides.

Supplementary Materials

The following supporting information can be downloaded at: https://www.mdpi.com/article/10.3390/ijms24021381/s1.

Author Contributions

Conceptuilization, Q.J. and D.B.P.; methodology, Q.J., R.M. and Y.B.; moftware, Q.J, Y.L. (Yongxiang Liu) and R.L.; validation, Q.J. and Y.Y.; formal analysis, Q.J., Y.L. (Yongxiang Liu) and Y.L. (Yongcai Li); investigation, Q.J., M.Z. and R.M.; resoureces, Q.J., R.M. and Y.B.; data curation, Q.J.; writing—original draft preparation, Q.J.; writing—review and editing, Q.J. and Y.L. (Yongcai Li); visualization, Q.J.; supervision, Q.J. and Y.L. (Yongxiang Liu); project administration, Q.J. and Y.L. (Yongcai Li); funding acquisition, Y.L. (Yongcai Li). All authors have read and agreed to the published version of the manuscript.

Funding

This research was funded by the National Natural Science Foundation of China, grant number 31860456 and 32060567.

Institutional Review Board Statement

Not applicable.

Informed Consent Statement

Not applicable.

Data Availability Statement

The datasets generated and analyzed during the current study are available from the corresponding author on reasonable request.

Acknowledgments

The authors would like to thank the anonymous reviewers for helpful comments.

Conflicts of Interest

The authors declare no conflict of interest.

References

  1. Prusky, D.; Shalom, Y.; Kobiler, I.; Akerman, M.; Fuchs, Y. The level of quiescent infection of Alternaria alternata in mango fruits at harvest determines the postharvest treatment applied for the control of rots during storage. Postharvest Biol. Technol. 2002, 25, 339–347. [Google Scholar] [CrossRef]
  2. Tsai, H.C.; Chung, K.R. Calcineurin phosphatase and phospholipase C are required for developmental and pathological functions in the citrus fungal pathogen Alternaria alternata. Microbiology 2014, 160, 1453–1465. [Google Scholar] [CrossRef] [PubMed]
  3. Tanahashi, M.; Nakano, T.; Akamatsu, H.; Kodama, M.; Otani, H.; Osaki-Oka, K. Alternaria alternata apple pathotype (A. mali) causes black spot of European pear. Eur. J. Plant Pathol. 2016, 145, 787–795. [Google Scholar] [CrossRef]
  4. Li, Y.C.; Bi, Y. Occurrence and infection of Alternaria rot of Pingguoli pear, Pyrus pyrifolia. Acta Phytopathol. Sin. 2006, 33, 131–135. [Google Scholar]
  5. Shaw, B.D.; Hoch, H.C. Ca2+ regulation of Phyllosticta ampelicida pycnidiospore germination and appressorium formation. Fungal Genet. Biol. 2000, 31, 43–53. [Google Scholar] [CrossRef]
  6. Silva-Moreno, E.; Brito-Echeverría, J.; López, M.; Rios, J.; Balic, L.; Campos-Vargas, R.; Polanco, R. Effect of cuticular waxes compounds from table grapes on growth, germination and gene expression in Botrytis cinerea. World J. Microbiol. Biotechnol. 2016, 32, 74. [Google Scholar] [CrossRef]
  7. Mendoza, A.; Berndt, P.; Djamei, A.; Weise, C.; Linne, U.; Marahiel, M.; Vranes, M.; Kamper, J.; Kahmann, R. Physical-chemical plant-derived signals induce differentiation in Ustilago maydis. Mol. Microbiol. 2009, 71, 895–911. [Google Scholar] [CrossRef] [PubMed]
  8. Lee, Y.H.; Dean, R.A. Hydrophobicity of contact surface induces appressorium formation in Magnaporthe grisea. FEMS Microbiol. Lett. 2010, 115, 71–75. [Google Scholar] [CrossRef]
  9. Tang, Y.; Li, Y.C.; Bi, Y.; Wang, Y. Role of pear fruit cuticular wax and surface hydrophobicity in regulating the prepenetration phase of Alternaria alternata infection. J. Phytopathol. 2017, 165, 313–322. [Google Scholar] [CrossRef]
  10. Zhang, M.; Li, Y.C.; Wang, T.L.; Bi, Y.; Li, R.; Huang, Y.; Mao, R.Y.; Jiang, Q.Q.; Liu, Y.X.; Prusky, D.B. AaPKAc regulates differentiation of infection structures induced by physicochemical signals from pear fruit cuticular wax, secondary metabolism, and pathogenicity of Alternaria alternata. Front. Plant Sci. 2021, 12, 642601. [Google Scholar] [CrossRef]
  11. Mao, R.Y.; Jiang, Q.Q.; Li, Y.C.; Bi, Y.; Liu, Y.X.; Huang, Y.; Zhang, M. Cloning and expression analysis of phosphodiesterase PDE gene in infection structure differentiation of Alternaria alternata. Nucl. Agric. Sci. 2022, 36, 728–737. [Google Scholar]
  12. Huang, Y.; Li, Y.C.; Li, D.M.; Bi, Y.; Prusky, D.B.; Dong, Y.P.; Wang, T.L.; Zhang, M.; Zhang, X.M.; Liu, Y.X. Phospholipase C from Alternaria alternata is induced by physiochemical cues on the pear fruit surface that dictate infection structure differentiation and pathogenicity. Front. Microbiol. 2020, 11, 1279. [Google Scholar] [CrossRef] [PubMed]
  13. Zhang, M.; Wang, T.L.; Li, Y.C.; Bi, Y.; Li, R.; Yuan, J.; Xu, W.Y.; Prusky, D.B. AaHog1 regulates infective structural differentiation mediated by physicochemical signals from pear fruit cuticular wax, stress response, and Alternaria alternata pathogenicity. J. Fungi 2022, 8, 266. [Google Scholar] [CrossRef] [PubMed]
  14. Liu, Y.X.; Li, Y.C.; Ma, L.; Deng, H.W.; Huang, Y.; Jiang, Q.Q.; Yang, Y.Y.; Bi, Y.; Prusky, D.B. The transmembrane protein AaSho1 is essential for appressorium formation and secondary metabolism but dispensable for vegetative growth in pear fungal Alternaria alternata. Fungal Biol. 2022, 126, 139–148. [Google Scholar] [CrossRef] [PubMed]
  15. Kraus, P.R.; Nichols, C.B.; Heitman, J. Calcium and calcineurin-independent roles for calmodulin in Cryptococcus neoformans morphogenesis and high temperature growth. Eukaryot. Cell 2005, 4, 1079–1087. [Google Scholar] [CrossRef]
  16. Karunakaran, M.; Nair, N.V.; Rho, H.S.; Lee, Y.H. Effects of Ca2+/calmodulin mediated signaling on spore germination and appressorium development in Colletotrichum falcatum Went. Acta Phytopathol. Entomol. Hung. 2006, 41, 249–260. [Google Scholar] [CrossRef]
  17. Wang, J.; Xie, Y.X.; Pu, J.J.; Zhang, X.; Qi, Y.X.; Huang, J.S. Calcium/calmodulin-dependent signaling for prepenetration development in Phyllosticta musarum. Chin. J. Trop. Crops 2008, 29, 641–647. [Google Scholar]
  18. Ma, X.; Shi, J.; Li, Y.; Han, Y. Ascospore germination characteristics and the ultrastructure observation of fruit body of Pseudopeziza medicaginis. Microbiology 2020, 47, 3564–3576. [Google Scholar]
  19. Liu, X.H.; Lu, J.P.; Dong, B.; Gu, Y.; Lin, F.C. Disruption of MoCMK1, encoding a putative calcium/calmodulin-dependent kinase in Magnaporthe oryzae. Microbiol. Res. 2009, 8, 7. [Google Scholar] [CrossRef]
  20. Wu, D.; Zhao, Z.T.; Li, Z.Y.; Yang, Z.; Zha, Y.H.; Sheng, K.; Cao, Z.Y.; Dong, J.G.; Tian, F.F. Identification and expression pattern analysis of calcium/calmodulin-dependent protein kinases (CaMKs) gene family in Setosphaeria turcica. J. Agric. Biotechnol. 2015, 23, 1020–1030. [Google Scholar]
  21. Kumar, R.; Tamuli, R. Calcium/calmodulin-dependent kinases are involved in growth, thermotolerance, oxidative stress survival, and fertility in Neurospora crassa. Arch. Microbiol. 2014, 196, 295–305. [Google Scholar] [CrossRef] [PubMed]
  22. Zelter, A.; Bencina, M.; Bowman, B.J.; Yarden, O.; Read, N.D. A comparative genomic analysis of the calcium signaling machinery in Neurospora crassa, Magnaporthe grisea, and Saccharomyces cerevisiae. Fungal Genet. Biol. 2004, 41, 827–841. [Google Scholar] [CrossRef] [PubMed]
  23. Zhen, Z.Y.; Zhang, G.S.; Yang, L. Characterization and functional analysis of calcium/calmodulin-dependent protein kinases (CaMKs) in the nematode-trapping fungus Arthrobotrys oligospora. Appl. Microbiol. Biotechnol. 2019, 103, 819–832. [Google Scholar] [CrossRef] [PubMed]
  24. Jiang, Q.Q.; Mao, R.Y.; Li, Y.C.; Bi, Y.; Liu, Y.X.; Huang, Y.; Zhang, M.; Wang, T.L. Cloning, bioinformatics and expression analysis of AaCaMK gene on infection structure differentiation of Alternaria alternata, causal agent of pear black spot. Microbiology 2021, 48, 4664–4676. [Google Scholar]
  25. Lee, S.C.; Lee, Y.H. Calcium/calmodulin-dependent signaling for appressorium formation in the plant pathogenic fungus Magnaporthe grisea. Mol. Cells 1999, 8, 698–704. [Google Scholar]
  26. Hu, F.; Wang, C.L.; Lu, J.P.; Lin, F.C. Analysis on cloning and function of dependent CAMK gene of Magnaporthe oryzae. J. Xinjiang Agric. Univ. 2008, 31, 20–24. [Google Scholar]
  27. Joseph, J.D.; Means, A.R. Identification and characterization of two Ca2+/CaM-dependent protein kinases required for normal nuclear division in Aspergillus nidulans. J. Biol. Chem. 2000, 275, 38230–38238. [Google Scholar] [CrossRef]
  28. Xu, H.H.; Fang, T.S.; Yan, H.B.; Jiang, L.H. The protein kinase Cmk2 negatively regulates the calcium/calcineurin signalling pathway and expression of calcium pump genes PMR1 and PMC1 in budding yeast. Cell Commun. Signal. 2019, 17, 7. [Google Scholar] [CrossRef]
  29. Solomon, P.S.; Rybak, K.; Trengove, R.D.; Oliver, R.P. Investigating the role of calcium/calmodulin-dependent protein kinases in Stagonospora nodorum. Mol. Microbiol. 2006, 62, 367–381. [Google Scholar] [CrossRef]
  30. Nguyen, Q.B.; Kadotani, N.; Kasahara, S.; Tose, Y.; Mayama, S.; Nakayashiki, H. Systematic functional analysis of calcium-signalling proteins in the genome of the rice-blast fungus, Magnaporthe oryzae, using a high-throughput RNA-silencing system. Mol. Microbiol. 2008, 68, 1348–1365. [Google Scholar] [CrossRef]
  31. Müller, C.; Riederer, M. Plant surface properties in chemical ecology. J. Chem. Ecol. 2005, 31, 2621–2651. [Google Scholar] [CrossRef]
  32. Liu, W.D.; Zhou, X.Y.; Li, G.T.; Li, L.; Kong, L.G.; Wang, C.F.; Zhang, H.F.; Xu, J.R. Multiple plant surface signals are sensed by different mechanisms in the rice blast fungus for appressorium formation. PLoS Pathog. 2011, 7, e1001261. [Google Scholar] [CrossRef]
  33. Li, Y.C.; Yin, Y.; Chen, S.J.; Bi, Y.; Ge, Y.H. Chemical composition of cuticular waxes during fruit development of Pingguoli pear and their potential role on early events of Alternaria alternata infection. Funct. Plant Biol. 2014, 41, 313–320. [Google Scholar] [CrossRef]
  34. Pollard, M.; Beisson, F.; Li, Y.H.; Ohlrogge, J.B. Building lipid barriers: Biosynthesis of cutin and suberin. Trends Plant Sci. 2008, 13, 236–246. [Google Scholar] [CrossRef]
  35. Santos, I.B.D.; Lopes, M.D.S.; Bini, A.P.; Tschoeke, B.A.P.; Verssani, B.A.W.; Figureueredo, E.F.; Cataldi, T.R.; Marques, J.P.R.; Silva, L.D.; Labate, C.A.; et al. The eucalyptus cuticular waxes contribute in preformed defense against Austropuccinia psidii. Front. Plant Sci. 2019, 9, 1978. [Google Scholar] [CrossRef] [PubMed]
  36. Jiao, M.; Yu, D.; Tan, C.L.; Guo, J.; Lan, D.Y.; Han, E.; Qi, T.; Voegele, R.T.; Kang, Z.S.; Guo, J. Basidiomycete-specific PsCaMKL1 encoding a CaMK-like protein kinase is required for full virulence of Puccinia striiformis f. sp. tritici. Environ. Microbiol. 2017, 19, 4177–4189. [Google Scholar] [CrossRef] [PubMed]
  37. Zhao, J.X.; Chen, Y.; Wang, L.A. Ca2+ signaling pathway involved in Bipolarismayd is conidium germination and appressorium formation. Microbiology 2005, 32, 4. [Google Scholar]
  38. Qin, J.; Huang, C.M.; He, F.X.; Zhu, X.G.; Zhang, Y.; Kang, Z.S.; Guo, J. Function of a calcium-dependent protein kinase gene Pscamk in Puccinia striiformis f. sp. tritici. Acta Microbiol. Sin. 2014, 54, 1296–1303. [Google Scholar]
  39. Akihiro, M.; Junichi, K.; Tsutomu, K. Insertional mutagenesis and characterization of apolyketide synthase gene (PKS1) required for melanin biosynthesis in Bipolaris oryzae. FEMS Microbiol. Lett. 2004, 238, 1–8. [Google Scholar]
  40. Li, B.Q.; Chen, Y.; Zhang, Z.Q.; Qin, G.Z.; Chen, T.; Tian, S.P. Molecular basis and regulation of pathogenicity and patulin biosynthesis in Penicillium expansum. Compr. Rev. Food Sci. Food Saf. 2020, 19, 3416–3438. [Google Scholar] [CrossRef]
  41. Kim, Y.K.; Li, D.; Kolattukudy, P.E. Induction of Ca2+-calmodulin signaling by hard-surface contact primes Colletotrichum gloeosporioides conidia to germinata and form appressoria. J. Bacteriol. 1998, 180, 5144–5150. [Google Scholar] [CrossRef] [PubMed]
  42. Yin, Y.; Bi, Y.; Chen, S.J.; Li, Y.C.; Wang, Y.; Ge, Y.H.; Ding, B.; Li, Y.C.; Zhang, Z. Chemical composition and antifungal activity of cuticular wax isolated from Asian pear fruit (cv. Pingguoli). Sci. Hortic. 2001, 129, 577–582. [Google Scholar] [CrossRef]
  43. Li, B.X.; He, F.; Liu, J.J.; Zhao, Y.C.; Sun, W.B.; Cao, H.J.; Liu, F.Q. Established genetic transformation of Alternaria alternata and pathogenicity analysis of the RFP labeled transform ants. Acta Phytopathol. Sin. 2018, 48, 648–655. [Google Scholar]
  44. Chen, Y.; Li, B.Q.; Xu, X.D.; Zhang, Z.Q.; Tian, S.P. The pH responsive PacC transcription factor plays pivotal roles in virulence and patulin biosynthesis in Penicillium expansum. Environ. Microbiol. 2018, 20, 4063–4078. [Google Scholar] [CrossRef]
  45. Hu, C.H.; Xu, Q.; Sun, X.; Yu, H.; Yuan, Y.Q. Several biological typical samples preparation methods of scanning electron microscope. Hubei Agric. Sci. 2016, 55, 5389–5392. [Google Scholar]
  46. Jimdjio, C.K.; Xue, H.L.; Bi, Y.; Nan, M.N.; Zhang, R.; Liu, Q.L.; Pu, L.M. Effect of ambient pH on growth, pathogenicity, and patulin production of Penicillium expansum. Toxins 2021, 13, 550. [Google Scholar] [CrossRef] [PubMed]
  47. Livak, K.J.; Schmittgen, T.D. Analysis of relative gene expression data using real-time quantitative PCR and the 2−ΔΔCT Method. Methods 2001, 25, 402–408. [Google Scholar] [CrossRef] [PubMed]
  48. Gao, J.X.; Jing, J.; Chen, J. Elementary coordinated expression research on genes related to the synthesis of pathogenesis-related melanin and toxin in Cochliobolus lunatus. J. Shanghai Jiao Tong Univ. 2015, 33, 54–58. [Google Scholar]
Figure 1. The colony morphology (A) and growth rates (B) of A. alternata on PDA medium 5 d after incubation at 28 °C. Vertical lines indicate the standard error (±SE) of the means. Different letters indicate significant differences (p < 0.05).
Figure 1. The colony morphology (A) and growth rates (B) of A. alternata on PDA medium 5 d after incubation at 28 °C. Vertical lines indicate the standard error (±SE) of the means. Different letters indicate significant differences (p < 0.05).
Ijms 24 01381 g001
Figure 2. The sporulation rate (A) and biomass (B) of A. alternata on PDA medium 5 d after incubation at 28 °C. Bars indicate standard error (±SE). Different letters indicate significant differences (p < 0.05).
Figure 2. The sporulation rate (A) and biomass (B) of A. alternata on PDA medium 5 d after incubation at 28 °C. Bars indicate standard error (±SE). Different letters indicate significant differences (p < 0.05).
Ijms 24 01381 g002aIjms 24 01381 g002b
Figure 3. The spore (A) and hyphae morphology (B) of A. alternata. The black arrow indicates the abnormal branching hyphae.
Figure 3. The spore (A) and hyphae morphology (B) of A. alternata. The black arrow indicates the abnormal branching hyphae.
Ijms 24 01381 g003
Figure 4. The transcription levels of AaCaMKs genes. The expression level of the AaCaMKs gene in WT strains was plotted as a control. (A) Expression levels of AaCaMK1, AaCaMK2 and AaCaMK3 in WT. (B) Expression levels of AaCaMK2 and AaCaMK3 in ΔAaCaMK1. (C) Expression levels of AaCaMK1 and AaCaMK3 in ΔAaCaMK2. (D) Expression levels of AaCaMK1 and AaCaMK2 in ΔAaCaMK3. Bars indicate standard error (±SE). Different letters indicate significant differences (p < 0.05).
Figure 4. The transcription levels of AaCaMKs genes. The expression level of the AaCaMKs gene in WT strains was plotted as a control. (A) Expression levels of AaCaMK1, AaCaMK2 and AaCaMK3 in WT. (B) Expression levels of AaCaMK2 and AaCaMK3 in ΔAaCaMK1. (C) Expression levels of AaCaMK1 and AaCaMK3 in ΔAaCaMK2. (D) Expression levels of AaCaMK1 and AaCaMK2 in ΔAaCaMK3. Bars indicate standard error (±SE). Different letters indicate significant differences (p < 0.05).
Ijms 24 01381 g004
Figure 5. Relative expression levels of AaCaMKs during the infection structure differentiation stage of A. alternata on hydrophobic (A) and pear wax (B) substrates by qRT-PCR. Vertical lines indicate the standard error (±SE) of the means. Different letters indicate significant differences (p < 0.05).
Figure 5. Relative expression levels of AaCaMKs during the infection structure differentiation stage of A. alternata on hydrophobic (A) and pear wax (B) substrates by qRT-PCR. Vertical lines indicate the standard error (±SE) of the means. Different letters indicate significant differences (p < 0.05).
Ijms 24 01381 g005
Figure 6. The spore germination and appressorium formation of AaCaMK1 (A), AaCaMK2 (B) and AaCaMK3 (C) induced by hydrophobic (H) and pear wax (P). Bars indicate standard error (±SE). Different letters indicate significant differences (p < 0.05).
Figure 6. The spore germination and appressorium formation of AaCaMK1 (A), AaCaMK2 (B) and AaCaMK3 (C) induced by hydrophobic (H) and pear wax (P). Bars indicate standard error (±SE). Different letters indicate significant differences (p < 0.05).
Ijms 24 01381 g006
Figure 7. The A. alternata appressorium (A) and infection hyphae (B) formation on intact pear epidermis. Vertical lines indicate standard error (±SE). Different letters indicate significant differences (p < 0.05).
Figure 7. The A. alternata appressorium (A) and infection hyphae (B) formation on intact pear epidermis. Vertical lines indicate standard error (±SE). Different letters indicate significant differences (p < 0.05).
Ijms 24 01381 g007
Figure 8. A. alternata spore germination and appressorium formation following treatment with KN93. (A) A. alternata spore germination at different KN93 concentrations; (B) A. alternata appressorium formation at different KN93 concentrations; (C) A. alternata spore germination following treatment with KN93 under hydrophobic (H) and pear wax (P) substrates; (D) A. alternata appressorium formation following treatment with KN93 using hydrophobic (H) and pear wax (P) substrates. The ddH2O was used as a control. The vertical line indicates a standard error (±SE). Different letters indicate significant differences (p < 0.05).
Figure 8. A. alternata spore germination and appressorium formation following treatment with KN93. (A) A. alternata spore germination at different KN93 concentrations; (B) A. alternata appressorium formation at different KN93 concentrations; (C) A. alternata spore germination following treatment with KN93 under hydrophobic (H) and pear wax (P) substrates; (D) A. alternata appressorium formation following treatment with KN93 using hydrophobic (H) and pear wax (P) substrates. The ddH2O was used as a control. The vertical line indicates a standard error (±SE). Different letters indicate significant differences (p < 0.05).
Ijms 24 01381 g008aIjms 24 01381 g008b
Figure 9. The disease progression (A) and lesion diameter (B). Means and standard deviations were calculated from three replicates. Different letters in the graph indicate statistical differences (p < 0.05).
Figure 9. The disease progression (A) and lesion diameter (B). Means and standard deviations were calculated from three replicates. Different letters in the graph indicate statistical differences (p < 0.05).
Ijms 24 01381 g009aIjms 24 01381 g009b
Figure 10. A. alternata melanin content. (A) The intracellular melanin content in WT, ΔAaCaMK1, ΔAaCaMK2 and ΔAaCaMK3. (B) The extracellular melanin content in WT, ΔAaCaMK1, ΔAaCaMK2 and ΔAaCaMK3. Bars represent standard deviations of means of three replicates. Different letters in the graph indicate statistical differences (p < 0.05).
Figure 10. A. alternata melanin content. (A) The intracellular melanin content in WT, ΔAaCaMK1, ΔAaCaMK2 and ΔAaCaMK3. (B) The extracellular melanin content in WT, ΔAaCaMK1, ΔAaCaMK2 and ΔAaCaMK3. Bars represent standard deviations of means of three replicates. Different letters in the graph indicate statistical differences (p < 0.05).
Ijms 24 01381 g010
Disclaimer/Publisher’s Note: The statements, opinions and data contained in all publications are solely those of the individual author(s) and contributor(s) and not of MDPI and/or the editor(s). MDPI and/or the editor(s) disclaim responsibility for any injury to people or property resulting from any ideas, methods, instructions or products referred to in the content.

Share and Cite

MDPI and ACS Style

Jiang, Q.; Li, Y.; Mao, R.; Bi, Y.; Liu, Y.; Zhang, M.; Li, R.; Yang, Y.; Prusky, D.B. AaCaMKs Positively Regulate Development, Infection Structure Differentiation and Pathogenicity in Alternaria alternata, Causal Agent of Pear Black Spot. Int. J. Mol. Sci. 2023, 24, 1381. https://doi.org/10.3390/ijms24021381

AMA Style

Jiang Q, Li Y, Mao R, Bi Y, Liu Y, Zhang M, Li R, Yang Y, Prusky DB. AaCaMKs Positively Regulate Development, Infection Structure Differentiation and Pathogenicity in Alternaria alternata, Causal Agent of Pear Black Spot. International Journal of Molecular Sciences. 2023; 24(2):1381. https://doi.org/10.3390/ijms24021381

Chicago/Turabian Style

Jiang, Qianqian, Yongcai Li, Renyan Mao, Yang Bi, Yongxiang Liu, Miao Zhang, Rong Li, Yangyang Yang, and Dov B. Prusky. 2023. "AaCaMKs Positively Regulate Development, Infection Structure Differentiation and Pathogenicity in Alternaria alternata, Causal Agent of Pear Black Spot" International Journal of Molecular Sciences 24, no. 2: 1381. https://doi.org/10.3390/ijms24021381

APA Style

Jiang, Q., Li, Y., Mao, R., Bi, Y., Liu, Y., Zhang, M., Li, R., Yang, Y., & Prusky, D. B. (2023). AaCaMKs Positively Regulate Development, Infection Structure Differentiation and Pathogenicity in Alternaria alternata, Causal Agent of Pear Black Spot. International Journal of Molecular Sciences, 24(2), 1381. https://doi.org/10.3390/ijms24021381

Note that from the first issue of 2016, this journal uses article numbers instead of page numbers. See further details here.

Article Metrics

Back to TopTop