Adjustment of the Structure of the Simplest Amino Acid Present in Nature—Glycine, toward More Environmentally Friendly Ionic Forms of Phenoxypropionate-Based Herbicides
Abstract
1. Introduction
2. Results and Discussion
2.1. Synthesis of Alkyldimethylglycine Hydrochlorides
2.2. Synthesis of Alkyldimethylglycinium 2-(2,4-Dichlorophenoxy)propionates
2.3. Physicochemical Properties of the Obtained Products
2.3.1. Solubility
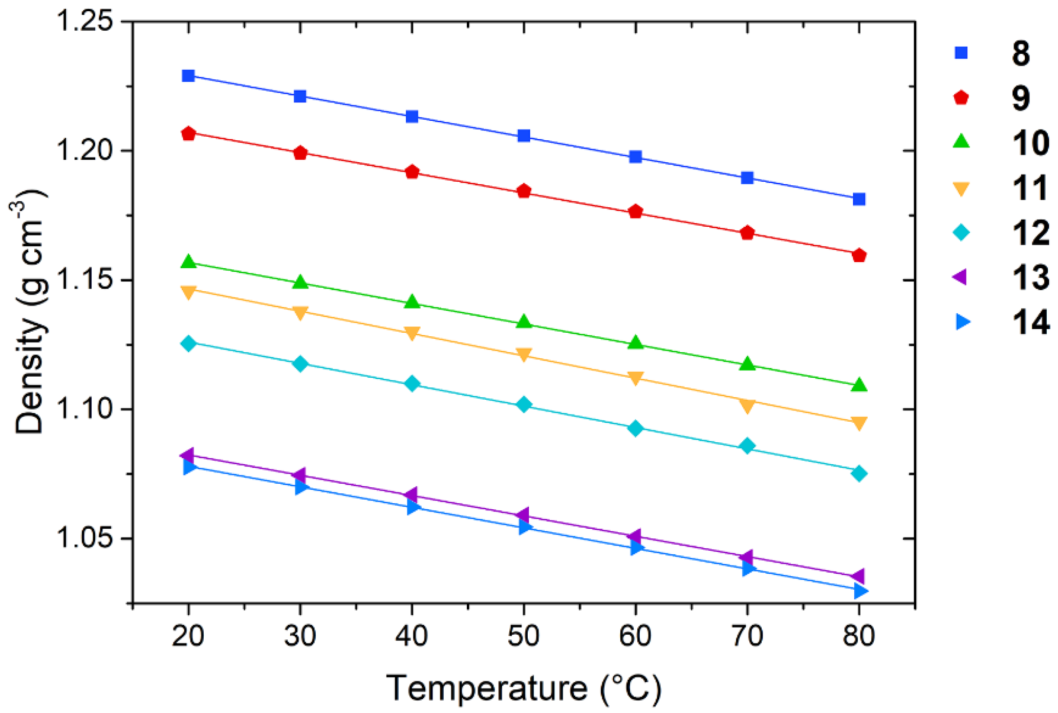
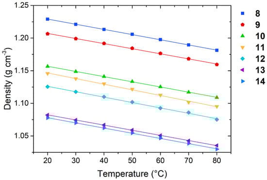
2.3.2. Density
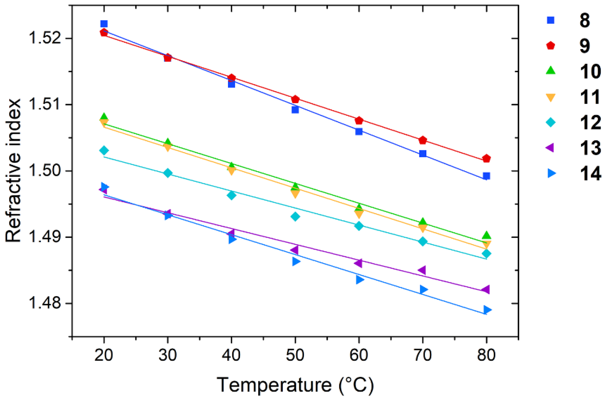
2.3.3. Refractive Index
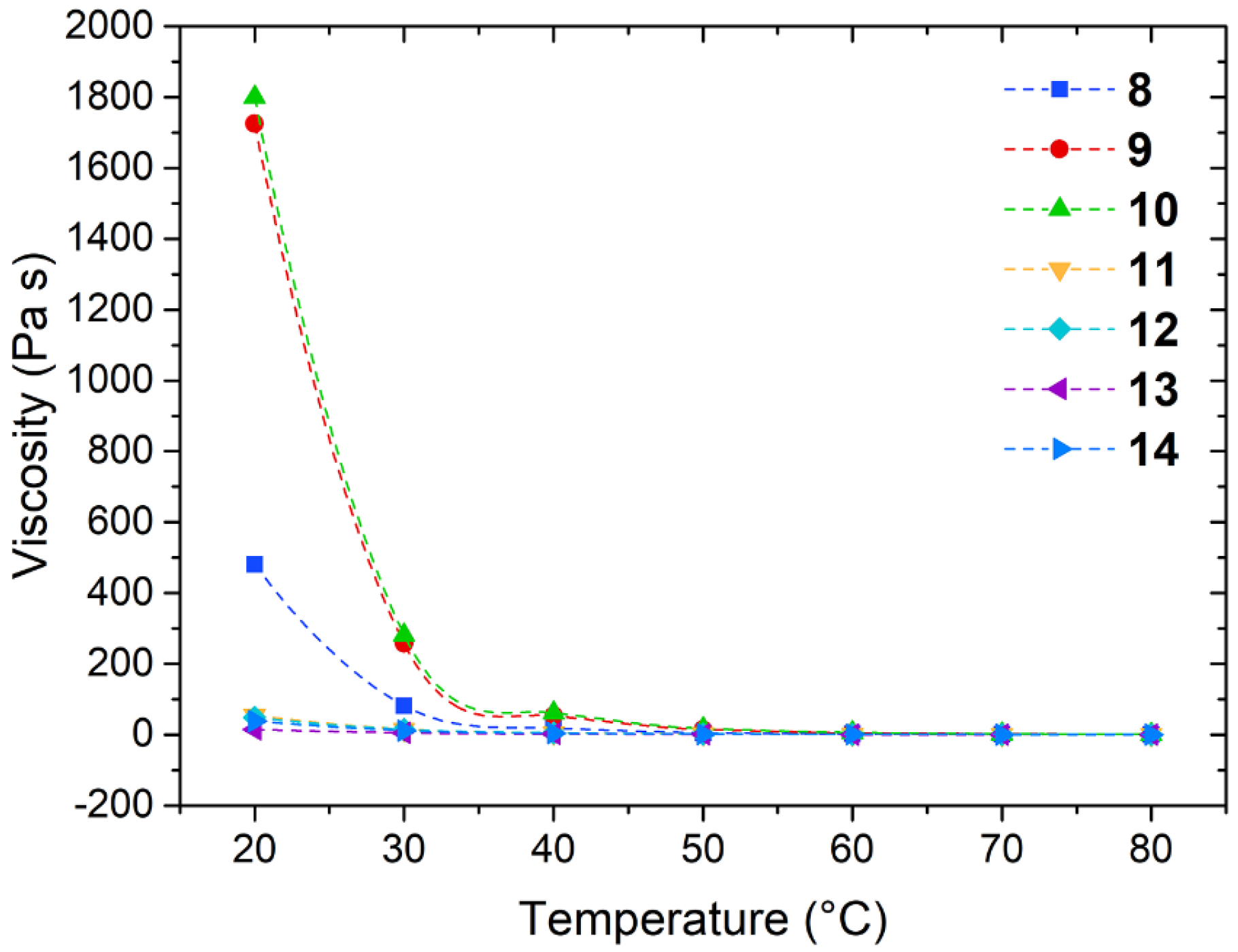
2.3.4. Viscosity
2.4. Biological Activity
3. Materials and Methods
3.1. Materials
3.2. Synthesis of Potassium Chloroacetate
3.3. Synthesis of Alkyldimethylglycine Zwitterions
3.4. Synthesis of Alkyldimethylglycine Hydrochlorides
3.5. Synthesis of Dimethylglycinium 2-(2,4-Dichlorophenoxy)propionates
3.6. Spectral Analysis
3.7. Melting Point
3.8. Solubility
3.9. Density
3.10. Refractive Index
3.11. Viscosity
3.12. Biological Activity
4. Conclusions
5. Patents
Supplementary Materials
Author Contributions
Funding
Institutional Review Board Statement
Informed Consent Statement
Data Availability Statement
Conflicts of Interest
References
- de Marco, B.A.; Rechelo, B.S.; Tótoli, E.G.; Kogawa, A.C.; Salgado, H.R.N. Evolution of Green Chemistry and Its Multidimensional Impacts: A Review. Saudi Pharm. J. 2019, 27, 1–8. [Google Scholar] [CrossRef] [PubMed]
- Stachowiak, W.; Wysocki, M.; Niemczak, M. “Bitter” Results: Toward Sustainable Synthesis of the Most Bitter Substances, Denatonium Saccharinate and Denatonium Benzoate, Starting from a Popular Anesthetic, Lidocaine. J. Chem. Educ. 2022, 99, 1604–1611. [Google Scholar] [CrossRef]
- Anastas, P.T.; Warner, J.C. Green Chemistry: Theory and Practice; Oxford University Press: Oxford, UK, 1998. [Google Scholar]
- Available online: https://www.linkedin.com/pulse/green-chemicals-market-size-share-growth-trends-analysis-hancock/ (accessed on 10 December 2022).
- Petkovic, M.; Seddon, K.R.; Rebelo, L.P.N.; Pereira, C.S. Ionic Liquids: A Pathway to Environmental Acceptability. Chem. Soc. Rev. 2011, 40, 1383–1403. [Google Scholar] [CrossRef] [PubMed]
- Salviulo, G.; Lavagnolo, M.C.; Dabalà, M.; Bernardo, E.; Polimeno, A.; Sambi, M.; Bonollo, F.; Gross, S. Enabling Circular Economy: The Overlooked Role of Inorganic Materials Chemistry. Eur. J. Chem. 2021, 27, 6676–6695. [Google Scholar] [CrossRef] [PubMed]
- Brzęczek-Szafran, A.; Więcek, P.; Guzik, M.; Chrobok, A. Combining Amino Acids and Carbohydrates Into Readily Biodegradable, Task Specific Ionic Liquids. RSC Adv. 2020, 10, 18355. [Google Scholar] [CrossRef]
- Aliu, E.; Kanungo, S.; Arnold, G.L. Amino Acid Disorders. Ann. Transl. Med. 2018, 6, 471. [Google Scholar] [CrossRef]
- Zhu, J.-F.; He, L.; Zhang, L.; Huang, M.; Tao, G.-H. Experimental and Theoretical Enthalpies of Formation of Glycine-Based Sulfate/Bisulfate Amino Acid Ionic Liquids. J. Phys. Chem. B 2012, 116, 113–119. [Google Scholar] [CrossRef]
- Petrosyan, A.M.; Ghazaryan, V.V.; Giester, G.; Fleck, M.; Tylczyński, Z.; Wiesner, M. Halogenides of Dimethylglycine in Comparison with Respective Salts of Glycine, Sarcosine and Betaine. J. Mol. Struct. 2018, 1158, 106–121. [Google Scholar] [CrossRef]
- Chen, J.; Zeng, X.; Cheng, L. Regulation Nature of Water-Choline Amino Acid Ionic Liquid Mixtures on the Disaggregation Behavior of Starch. Carbohydr. Polym. 2021, 272, 118474. [Google Scholar] [CrossRef]
- Świątek, E.; Ossowicz-Rupniewska, P.; Janus, E.; Nowak, A.; Sobolewski, P.; Duchnik, W.; Kucharski, Ł.; Klimowicz, A. Novel Naproxen Salts with Increased Skin Permeability. Pharmaceutics 2021, 13, 2110. [Google Scholar] [CrossRef]
- Stachowiak, W.; Smolibowski, M.; Kaczmarek, D.K.; Rzemieniecki, T.; Niemczak, M. Toward Revealing the Role of the Cation in the Phytotoxicity of the Betaine-Based Esterquats Comprising Dicamba Herbicide. Sci. Total Environ. 2022, 845, 157181. [Google Scholar] [CrossRef] [PubMed]
- Pernak, J.; Niemczak, M.; Chrzanowski, Ł.; Ławniczak, Ł.; Fochtman, P.; Marcinkowska, K.; Praczyk, T. Betaine and Carnitine Derivatives as Herbicidal Ionic Liquids. Chem. Eur. J. 2016, 22, 12012–12021. [Google Scholar] [CrossRef] [PubMed]
- Niemczak, M.; Sobiech, Ł.; Grzanka, M. Iodosulfuron-Methyl-Based Herbicidal Ionic Liquids Comprising Alkyl Betainate Cation as Novel Active Ingredients with Reduced Environmental Impact and Excellent Efficacy. J. Agric. Food Chem. 2020, 68, 13661–13671. [Google Scholar] [CrossRef] [PubMed]
- Zajac, A.; Kukawka, R.; Pawlowska-Zygarowicz, A.; Stolarska, O.; Smiglak, M. Ionic Liquids as Bioactive Chemical Tools for Use in Agriculture and the Preservation of Agricultural Products. Green Chem. 2018, 20, 4764–4789. [Google Scholar] [CrossRef]
- Niemczak, M.; Biedziak, A.; Czerniak, K.; Marcinkowska, K. Preparation and Characterization of New Ionic Liquid Forms of 2,4-DP Herbicide. Tetrahedron 2017, 73, 7315–7325. [Google Scholar] [CrossRef]
- Brillas, E.; Cabot, P.-L.; Rodríguez, R.M.; Arias, C.; Garrido, J.A.; Oliver, R. Degradation of the Herbicide 2,4-DP by Catalyzed Ozonation Using the O3/Fe2+/UVA System. Appl. Catal. B 2004, 51, 117–127. [Google Scholar] [CrossRef]
- Yıldırım, B.; Yeşiloğlu, T.; İncesu, M.; Kamiloğlu, M.U.; Çimen, B.; Tamer, Ş. Effects of 2,4-DP (2,4-Dichlorophenoxypropionic Acid) Plant Growth Regulator on Fruit Size and Yield of Valencia Oranges (Citrus sinensis Osb.). N. Z. J. Crop. Hortic. Sci. 2012, 40, 55–64. [Google Scholar] [CrossRef]
- Müller, R.H.; Babel, W. Delftia Acidovorans MC1 Resists High Herbicide Concentrations—A Study of Nutristat Growth on (RS)-2-(2,4-Dichlorophenoxy)Propionate and 2,4-Dichlorophenoxyacetate. Biosci. Biotechnol. Biochem. 2004, 68, 622–630. [Google Scholar] [CrossRef]
- Ventura, S.P.M.; e Silva, F.A.; Gonçalves, A.M.M.; Pereira, J.L.; Gonçalves, F.; Coutinho, J.A.P. Ecotoxicity Analysis of Cholinium-Based Ionic Liquids to Vibrio Fischeri Marine Bacteria. Ecotoxicol. Environ. Saf. 2014, 102, 48–54. [Google Scholar] [CrossRef]
- Wang, X.; Imai, T.; Higuchi, T.; Sekine, M. Effect and Behavior of Tetraalkylammonium on Anaerobic Microorganisms-Biodegradation, Toxicity, and Recovery of Anareobic Activity. J. JSWE 2008, 31, 659–664. [Google Scholar] [CrossRef]
- Hora, P.I.; Pati, S.G.; McNamara, P.J.; Arnold, W.A. Increased Use of Quaternary Ammonium Compounds during the SARS-CoV-2 Pandemic and Beyond: Consideration of Environmental Implications. Environ. Sci. Technol. Lett. 2020, 7, 622–631. [Google Scholar] [CrossRef]
- Inácio, Â.S.; Costa, G.N.; Domingues, N.S.; Santos, M.S.; Moreno, A.J.M.; Vaz, W.L.C.; Vieira, O.V. Mitochondrial Dysfunction Is the Focus of Quaternary Ammonium Surfactant Toxicity to Mammalian Epithelial Cells. Antimicrob. Agents Chemother. 2013, 57, 2631–2639. [Google Scholar] [CrossRef] [PubMed]
- Hayes, R.; Warr, G.G.; Atkin, R. Structure and Nanostructure in Ionic Liquids. Chem. Rev. 2015, 115, 6357–6426. [Google Scholar] [CrossRef] [PubMed]
- Niemczak, M.; Rzemieniecki, T.; Biedziak, A.; Marcinkowska, K.; Pernak, J. Synthesis and Structure–Property Relationships in Herbicidal Ionic Liquids and Their Double Salts. ChemPlusChem 2018, 83, 529–541. [Google Scholar] [CrossRef] [PubMed]
- Pernak, J.; Rzemieniecki, T.; Klejdysz, T.; Qu, F.; Rogers, R.D. Conversion of Quinine Derivatives into Biologically Active Ionic Liquids: Advantages, Multifunctionality, and Perspectives. ACS Sustain. Chem. Eng. 2020, 8, 9263–9267. [Google Scholar] [CrossRef]
- Feder-Kubis, J.; Wnętrzak, A.; Suchodolski, J.; Tomasz Mitkowski, P.; Krasowska, A. Imidazolium Room-Temperature Ionic Liquids with Alkoxymethyl Substituent: A Quest for Improved Microbiological Selectivity. Chem. Eng. J. 2022, 442, 136062. [Google Scholar] [CrossRef]
- Sheldon, R.A. Metrics of Green Chemistry and Sustainability: Past, Present, and Future. ACS Sustain. Chem. Eng. 2018, 6, 32–48. [Google Scholar] [CrossRef]
- Tang, G.; Liu, Y.; Ding, G.; Zhang, W.; Liang, Y.; Fan, C.; Dong, H.; Yang, J.; Kong, D.; Cao, Y. Ionic Liquids Based on Bromoxynil for Reducing Adverse Impacts on the Environment and Human Health. New J. Chem. 2017, 41, 8650–8655. [Google Scholar] [CrossRef]
- Wang, W.; Zhu, J.; Tang, G.; Huo, H.; Zhang, W.; Liang, Y.; Dong, H.; Yang, J.; Cao, Y. Novel Herbicide Ionic Liquids Based on Nicosulfuron with Increased Efficacy. New J. Chem. 2019, 43, 827–833. [Google Scholar] [CrossRef]
- Wang, W.; Liang, Y.; Yang, J.; Tang, G.; Zhou, Z.; Tang, R.; Dong, H.; Li, J.; Cao, Y. Ionic Liquid Forms of Mesotrione with Enhanced Stability and Reduced Leaching Risk. ACS Sustain. Chem. Eng. 2019, 7, 16620–16628. [Google Scholar] [CrossRef]
- Stachowiak, W.; Rzemieniecki, T.; Klejdysz, T.; Pernak, J.; Niemczak, M. “Sweet” Ionic Liquids Comprising the Acesulfame Anion—Synthesis, Physicochemical Properties and Antifeedant Activity towards Stored Product Insects. New J. Chem. 2020, 44, 7017–7028. [Google Scholar] [CrossRef]
- Niemczak, M.; Rzemieniecki, T.; Sobiech, Ł.; Skrzypczak, G.; Praczyk, T.; Pernak, J. Influence of the Alkyl Chain Length on the Physicochemical Properties and Biological Activity in a Homologous Series of Dichlorprop-Based Herbicidal Ionic Liquids. J. Mol. Liq. 2019, 276, 431–440. [Google Scholar] [CrossRef]
- Rahim, A.H.; Yunus, N.M.; Hamzah, W.S.; Sarwono, A.; Muhammad, N. Low-Viscosity Ether-Functionalized Ionic Liquids as Solvents for the Enhancement of Lignocellulosic Biomass Dissolution. Processes 2021, 9, 261. [Google Scholar] [CrossRef]
- Navia, P.; Troncoso, J.; Romaní, L. Isobaric Thermal Expansivity Behaviour against Temperature and Pressure of Associating Fluids. J. Chem. Thermodyn. 2010, 42, 23–27. [Google Scholar] [CrossRef]
- Othman Zailani, N.H.; Yunus, N.M.; Ab Rahim, A.H.; Bustam, M.A. Thermophysical Properties of Newly Synthesized Ammonium-Based Protic Ionic Liquids: Effect of Temperature, Anion and Alkyl Chain Length. Processes 2020, 8, 742. [Google Scholar] [CrossRef]
- Rzemieniecki, T.; Gwiazdowska, D.; Rybak, K.; Materna, K.; Juś, K.; Pernak, J. Synthesis, Properties, and Antimicrobial Activity of 1-Alkyl-4-Hydroxy-1-Methylpiperidinium Ionic Liquids with Mandelate Anion. ACS Sustain. Chem. Eng. 2019, 7, 15053–15063. [Google Scholar] [CrossRef]
- Almeida, H.F.D.; Lopes-da-Silva, J.A.; Freire, M.G.; Coutinho, J.A.P. Surface Tension and Refractive Index of Pure and Water-Saturated Tetradecyltrihexylphosphonium-Based Ionic Liquids. J. Chem. Thermodyn. 2013, 57, 372–379. [Google Scholar] [CrossRef]
- Lin, J.; Pozharski, E.; Wilson, M.A. Short Carboxylic Acid–Carboxylate Hydrogen Bonds Can Have Fully Localized Protons. Biochemistry 2017, 56, 391–402. [Google Scholar] [CrossRef]
- Yu, G.; Zhao, D.; Wen, L.; Yang, S.; Chen, X. Viscosity of Ionic Liquids: Database, Observation, and Quantitative Structure-Property Relationship Analysis. AIChE J. 2012, 58, 2885–2899. [Google Scholar] [CrossRef]
- Tokuda, H.; Hayamizu, K.; Ishii, K.; Susan, M.A.B.H.; Watanabe, M. Physicochemical Properties and Structures of Room Temperature Ionic Liquids. 2. Variation of Alkyl Chain Length in Imidazolium Cation. J. Phys. Chem. B 2005, 109, 6103–6110. [Google Scholar] [CrossRef]
- Wu, T.Y.; Su, S.G.; Gung, S.T.; Lin, M.W.; Lin, Y.C.; Ou-Yang, W.C.; Sun, I.W.; Lai, C.A. Synthesis and Characterization of Protic Ionic Liquids Containing Cyclic Amine Cations and Tetrafluoroborate Anion. J. Iran. Chem. Soc. 2011, 8, 149–165. [Google Scholar] [CrossRef]
- Magina, S.; Barros-Timmons, A.; Ventura, S.P.M.; Evtuguin, D. v Evaluating the Hazardous Impact of Ionic Liquids—Challenges and Opportunities. J. Hazard. Mater. 2021, 412, 125215. [Google Scholar] [CrossRef]
- Mezzetta, A.; Guazzelli, L.; Seggiani, M.; Pomelli, C.S.; Puccini, M.; Chiappe, C. A General Environmentally Friendly Access to Long Chain Fatty Acid Ionic Liquids (LCFA-ILs). Green Chem. 2017, 19, 3103–3111. [Google Scholar] [CrossRef]
- Annunziata, M.G.; Ciarmiello, L.F.; Woodrow, P.; Dell’Aversana, E.; Carillo, P. Spatial and Temporal Profile of Glycine Betaine Accumulation in Plants Under Abiotic Stresses. Front. Plant Sci. 2019, 10, 230. [Google Scholar] [CrossRef] [PubMed]
- Sakamoto, A.; Murata, N. The Role of Glycine Betaine in the Protection of Plants from Stress: Clues from Transgenic Plants. Plant Cell Environ. 2002, 25, 163–171. [Google Scholar] [CrossRef] [PubMed]
- Ashraf, M.; Foolad, M.R. Roles of Glycine Betaine and Proline in Improving Plant Abiotic Stress Resistance. Environ. Exp. Bot. 2007, 59, 206–216. [Google Scholar] [CrossRef]
- Stachowiak, W.; Kaczmarek, D.K.; Rzemieniecki, T.; Niemczak, M. Sustainable Design of New Ionic Forms of Vitamin B3 and Their Utilization as Plant Protection Agents. J. Agric. Food Chem. 2022, 70, 8222–8232. [Google Scholar] [CrossRef] [PubMed]
- Wilms, W.; Woźniak-Karczewska, M.; Syguda, A.; Niemczak, M.; Ławniczak, Ł.; Pernak, J.; Rogers, R.D.; Chrzanowski, Ł. Herbicidal Ionic Liquids: A Promising Future for Old Herbicides? Review on Synthesis, Toxicity, Biodegradation, and Efficacy Studies. J. Agric. Food Chem. 2020, 68, 10456–10488. [Google Scholar] [CrossRef]
- Meftaul, I.M.; Venkateswarlu, K.; Dharmarajan, R.; Annamalai, P.; Asaduzzaman, M.; Parven, A.; Megharaj, M. Controversies over Human Health and Ecological Impacts of Glyphosate: Is It to Be Banned in Modern Agriculture? Environ. Pollut. 2020, 263, 114372. [Google Scholar] [CrossRef]
- Defarge, N.; Spiroux de Vendômois, J.; Séralini, G.E. Toxicity of Formulants and Heavy Metals in Glyphosate-Based Herbicides and Other Pesticides. Toxicol. Rep. 2018, 5, 156–163. [Google Scholar] [CrossRef]
- Bradberry, S.M.; Proudfoot, A.T.; Vale, J.A. Glyphosate Poisoning. Toxicol. Rev. 2004, 23, 159–167. [Google Scholar] [CrossRef] [PubMed]
- Vogel, A.I.; Furniss, B.S.; Hannaford, A.J.; Smith, P.W.G.; Tatchell, A.R. Textbook of Practical Organic Chemistry, 5th ed.; Vogel, Ed.; Wiley John & Sons Inc.: New York, NY, USA, 1989; pp. 1203–1204. [Google Scholar]
- Snyder, L.R. Classification of the Solvent Properties of Common Liquids. J. Chromatogr. A 1974, 92, 223–230. [Google Scholar] [CrossRef]








| No | R | Yield (%) | Appearance at 25 °C | Melting Point (°C) | 
|---|---|---|---|---|
| 1 | C4H9 | 80 | Solid | 119–123 | 
| 2 | C6H13 | 70 | Solid | 150–156 | 
| 3 | C8H17 | 75 | Solid | 154–160 | 
| 4 | C10H21 | 89 | Solid | 152–158 | 
| 5 | C12H25 | 90 | Solid | 158–160 | 
| 6 | C14H29 | 91 | Solid | 142–148 | 
| 7 | C16H33 | 93 | Solid | 129–134 | 
| No | R | Yield (%) | Appearance at 25 °C | Content of Water a (%) | 
|---|---|---|---|---|
| 8 | C4H9 | 93 | Liquid | 1.12 | 
| 9 | C6H13 | 91 | Liquid | 1.44 | 
| 10 | C8H17 | 96 | Liquid | 1.36 | 
| 11 | C10H21 | 95 | Liquid | 1.52 | 
| 12 | C12H25 | 91 | Liquid | 1.63 | 
| 13 | C14H29 | 90 | Liquid | 1.18 | 
| 14 | C16H33 | 90 | Liquid | 0.90 | 
| 1 | 2 | 3 | 4 | 5 | 6 | 7 | 8 | 9 | 10 | ||
|---|---|---|---|---|---|---|---|---|---|---|---|
| No | R | 9.0 a | 6.6 | 6.5 | 6.2 | 5.4 | 4.4 | 4.3 | 4.3 | 2.3 | 0.0 | 
| 1 | C4H9 | + | + | + | – | – | – | – | – | – | – | 
| 2 | C6H13 | + | + | + | – | – | – | – | – | – | – | 
| 3 | C8H17 | + | + | ± | – | – | – | ± | – | – | – | 
| 4 | C10H21 | + | + | ± | – | – | – | ± | – | – | – | 
| 5 | C12H25 | ± | + | ± | – | – | – | ± | – | – | – | 
| 6 | C14H29 | – | ± | ± | – | – | – | – | – | – | – | 
| 7 | C16H33 | – | ± | – | – | – | ± | – | – | – | – | 
| 8 | C4H9 | – | + | + | + | + | + | – | + | + | – | 
| 9 | C6H13 | – | ± | ± | ± | + | + | ± | + | + | – | 
| 10 | C8H17 | – | ± | ± | ± | + | + | ± | + | + | – | 
| 11 | C10H21 | – | + | ± | + | + | + | – | + | + | – | 
| 12 | C12H25 | – | + | + | + | + | + | ± | + | + | ± | 
| 13 | C14H29 | – | + | ± | + | + | + | ± | + | + | ± | 
| 14 | C16H33 | – | + | ± | + | + | + | + | + | + | ± | 
| No | λ·104 (K−1) | V (nm3) | UPOT (kJ·mol−1) | Sº (J·K−1·mol−1) | nD20 | Ea (kJ·mol−1) | η∞ | 
|---|---|---|---|---|---|---|---|
| 8 | 6.6 | 0.5327 | 393.2 | 693.6 | 1.5224 | 104.6 | −37.1 | 
| 9 | 6.6 | 0.5813 | 384.9 | 754.1 | 1.5209 | 109.4 | −37.8 | 
| 10 | 7.0 | 0.6409 | 375.9 | 828.4 | 1.5079 | 106.5 | −36.6 | 
| 11 | 7.7 | 0.6934 | 368.9 | 893.8 | 1.5074 | 76.7 | −27.7 | 
| 12 | 7.5 | 0.7473 | 362.3 | 961.0 | 1.5031 | 73.5 | −26.5 | 
| 13 | 7.4 | 0.8203 | 354.4 | 1052.0 | 1.4972 | 65.1 | −24.2 | 
| 14 | 7.5 | 0.8669 | 349.8 | 1110.1 | 1.4976 | 74.0 | −26.9 | 
| Disclaimer/Publisher’s Note: The statements, opinions and data contained in all publications are solely those of the individual author(s) and contributor(s) and not of MDPI and/or the editor(s). MDPI and/or the editor(s) disclaim responsibility for any injury to people or property resulting from any ideas, methods, instructions or products referred to in the content. | 
© 2023 by the authors. Licensee MDPI, Basel, Switzerland. This article is an open access article distributed under the terms and conditions of the Creative Commons Attribution (CC BY) license (https://creativecommons.org/licenses/by/4.0/).
Share and Cite
Olejniczak, A.; Stachowiak, W.; Rzemieniecki, T.; Niemczak, M. Adjustment of the Structure of the Simplest Amino Acid Present in Nature—Glycine, toward More Environmentally Friendly Ionic Forms of Phenoxypropionate-Based Herbicides. Int. J. Mol. Sci. 2023, 24, 1360. https://doi.org/10.3390/ijms24021360
Olejniczak A, Stachowiak W, Rzemieniecki T, Niemczak M. Adjustment of the Structure of the Simplest Amino Acid Present in Nature—Glycine, toward More Environmentally Friendly Ionic Forms of Phenoxypropionate-Based Herbicides. International Journal of Molecular Sciences. 2023; 24(2):1360. https://doi.org/10.3390/ijms24021360
Chicago/Turabian StyleOlejniczak, Adriana, Witold Stachowiak, Tomasz Rzemieniecki, and Michał Niemczak. 2023. "Adjustment of the Structure of the Simplest Amino Acid Present in Nature—Glycine, toward More Environmentally Friendly Ionic Forms of Phenoxypropionate-Based Herbicides" International Journal of Molecular Sciences 24, no. 2: 1360. https://doi.org/10.3390/ijms24021360
APA StyleOlejniczak, A., Stachowiak, W., Rzemieniecki, T., & Niemczak, M. (2023). Adjustment of the Structure of the Simplest Amino Acid Present in Nature—Glycine, toward More Environmentally Friendly Ionic Forms of Phenoxypropionate-Based Herbicides. International Journal of Molecular Sciences, 24(2), 1360. https://doi.org/10.3390/ijms24021360
 
        




 
       