Assessment of Plasma and Cerebrospinal Fluid Biomarkers in Different Stages of Alzheimer’s Disease and Frontotemporal Dementia
Abstract
1. Introduction
2. Results
2.1. Demographic and Clinical Description of Participants
2.2. Correlations between Plasma and CSF Biomarkers Levels
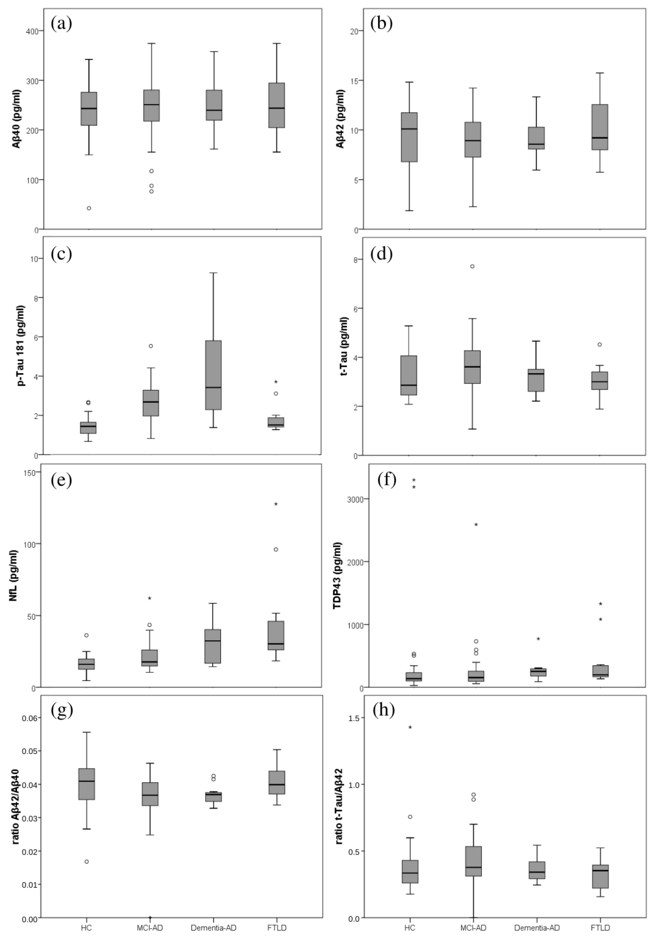
2.3. Plasma Biomarkers Levels in Participants Groups
2.4. Multivariant Analysis in AD Diagnosis Model’s Development
2.5. Plasma Biomarkers and Clinical Variables Correlation
3. Discussion
4. Materials and Methods
4.1. Participants and Samples Collection
4.2. Equipment and Commercial Kits
4.3. Plasma Sample Treatment and Biomarkers Determination
4.4. Statistical Analysis
5. Conclusions
Author Contributions
Funding
Institutional Review Board Statement
Informed Consent Statement
Data Availability Statement
Acknowledgments
Conflicts of Interest
References
- Snowden, J.S.; Neary, D.; Mann, D.M.A. Frontotemporal Dementia. Br. J. Psychiatry 2002, 180, 140–143. [Google Scholar] [CrossRef]
- Ratnavalli, E.; Brayne, C.; Dawson, K.; Hodges, J.R. The Prevalence of Frontotemporal Dementia. Neurology 2002, 58, 1615–1621. [Google Scholar] [CrossRef] [PubMed]
- Blennow, K.; Zetterberg, H. Biomarkers for Alzheimer’s Disease: Current Status and Prospects for the Future. J. Intern. Med. 2018, 284, 643–663. [Google Scholar] [CrossRef] [PubMed]
- Tapiola, T.; Alafuzoff, I.; Herukka, S.K.; Parkkinen, L.; Hartikainen, P.; Soininen, H.; Pirttilä, T. Cerebrospinal fluid {beta}-amyloid 42 and tau proteins as biomarkers of Alzheimer-type pathologic changes in the brain. Arch. Neurol. 2009, 66, 382–389. [Google Scholar] [CrossRef] [PubMed]
- Buerger, K.; Ewers, M.; Pirttilä, T.; Zinkowski, R.; Alafuzoff, I.; Teipel, S.J.; DeBernardis, J.; Kerkman, D.; McCulloch, C.; Soininen, H.; et al. CSF Phosphorylated Tau Protein Correlates with Neocortical Neurofibrillary Pathology in Alzheimer’s Disease. Brain 2006, 129, 3035–3041. [Google Scholar] [CrossRef]
- Seppälä, T.T.; Nerg, O.; Koivisto, A.M.; Rummukainen, J.; Puli, L.; Zetterberg, H.; Pyykkö, O.T.; Helisalmi, S.; Alafuzoff, I.; Hiltunen, M.; et al. CSF Biomarkers for Alzheimer Disease Correlate with Cortical Brain Biopsy Findings. Neurology 2012, 78, 1568–1575. [Google Scholar] [CrossRef] [PubMed]
- Hansson, O.; Zetterberg, H.; Vanmechelen, E.; Vanderstichele, H.; Andreasson, U.; Londos, E.; Wallin, A.; Minthon, L.; Blennow, K. Evaluation of Plasma Abeta(40) and Abeta(42) as Predictors of Conversion to Alzheimer’s Disease in Patients with Mild Cognitive Impairment. Neurobiol. Aging 2010, 31, 357–367. [Google Scholar] [CrossRef]
- Bjerke, M.; Engelborghs, S. Cerebrospinal fluid biomarkers for early and differential Alzheimer’s disease diagnosis. J. Alzheimers Dis. 2018, 62, 1199–1209. [Google Scholar] [CrossRef]
- Tan, C.-C.; Yu, J.-T.; Tan, L. Biomarkers for Preclinical Alzheimer’s Disease. J. Alzheimers Dis. 2014, 42, 1051–1069. [Google Scholar] [CrossRef]
- Lewczuk, P.; Riederer, P.; O’Bryant, S.E.; Verbeek, M.M.; Dubois, B.; Visser, P.J.; Jellinger, K.A.; Engelborghs, S.; Ramirez, A.; Parnetti, L.; et al. Cerebrospinal Fluid and Blood Biomarkers for Neurodegenerative Dementias: An Update of the Consensus of the Task Force on Biological Markers in Psychiatry of the World Federation of Societies of Biological Psychiatry. World J. Biol. Psychiatry 2018, 19, 244–328. [Google Scholar] [CrossRef]
- Ehrenberg, A.J.; Khatun, A.; Coomans, E.; Betts, M.J.; Capraro, F.; Thijssen, E.H.; Senkevich, K.; Bharucha, T.; Jafarpour, M.; Young, P.N.E.; et al. Relevance of Biomarkers across Different Neurodegenerative Diseases. Alzheimers Res. Ther. 2020, 12, 56. [Google Scholar] [CrossRef] [PubMed]
- Chatterjee, P.; Elmi, M.; Goozee, K.; Shah, T.; Sohrabi, H.R.; Dias, C.B.; Pedrini, S.; Shen, K.; Asih, P.R.; Dave, P.; et al. Ultrasensitive Detection of Plasma Amyloid-β as a Biomarker for Cognitively Normal Elderly Individuals at Risk of Alzheimer’s Disease. J. Alzheimers Dis. 2019, 71, 775–783. [Google Scholar] [CrossRef]
- Janelidze, S.; Stomrud, E.; Palmqvist, S.; Zetterberg, H.; van Westen, D.; Jeromin, A.; Song, L.; Hanlon, D.; Tan Hehir, C.A.; Baker, D.; et al. Plasma β-Amyloid in Alzheimer’s Disease and Vascular Disease. Sci. Rep. 2016, 6, 26801. [Google Scholar] [CrossRef] [PubMed]
- Meyer, D. Comparison of ELISA- and SIMOA-based quantification of plasma Aβ ratios for early detection of cerebral amyloidosis. Alzheimer’s Res. Ther. 2020, 12, 162. [Google Scholar] [CrossRef] [PubMed]
- Rembach, A.; Faux, N.G.; Watt, A.D.; Pertile, K.K.; Rumble, R.L.; Trounson, B.O.; Fowler, C.J.; Roberts, B.R.; Perez, K.A.; Li, Q.-X.; et al. Changes in Plasma Amyloid Beta in a Longitudinal Study of Aging and Alzheimer’s Disease. Alzheimers Dement. 2014, 10, 53–61. [Google Scholar] [CrossRef]
- Yamashita, K.; Miura, M.; Watanabe, S.; Ishiki, K.; Arimatsu, Y.; Kawahira, J.; Kubo, T.; Sasaki, K.; Arai, T.; Hagino, K.; et al. Fully Automated and Highly Specific Plasma β-Amyloid Immunoassays Predict β-Amyloid Status Defined by Amyloid Positron Emission Tomography with High Accuracy. Alzheimers Res. Ther. 2022, 14, 86. [Google Scholar] [CrossRef]
- Janelidze, S.; Mattsson, N.; Palmqvist, S.; Smith, R.; Beach, T.G.; Serrano, G.E.; Chai, X.; Proctor, N.K.; Eichenlaub, U.; Zetterberg, H.; et al. Plasma P-Tau181 in Alzheimer’s Disease: Relationship to Other Biomarkers, Differential Diagnosis, Neuropathology and Longitudinal Progression to Alzheimer’s Dementia. Nat. Med. 2020, 26, 379–386. [Google Scholar] [CrossRef]
- Hansson, O.; Cullen, N.; Zetterberg, H.; Blennow, K.; Mattsson-Carlgren, N.; the Alzheimer’s Disease Neuroimaging Initiative. Plasma Phosphorylated Tau181 and Neurodegeneration in Alzheimer’s Disease. Ann. Clin. Transl. Neurol. 2021, 8, 259–265. [Google Scholar] [CrossRef]
- Tissot, C.; Therriault, J.; Kunach, P. Comparing tau status determined via plasma pTau181, pTau231 and [18F] MK6240 tau-PET. EBioMedicine 2022, 76, 103837. [Google Scholar] [CrossRef]
- Milà-Alomà, M.; Ashton, N.J.; Shekari, M.; Salvadó, G.; Ortiz-Romero, P.; Montoliu-Gaya, L.; Benedet, A.L.; Karikari, T.K.; Lantero-Rodriguez, J.; Vanmechelen, E.; et al. Plasma P-Tau231 and p-Tau217 as State Markers of Amyloid-β Pathology in Preclinical Alzheimer’s Disease. Nat. Med. 2022, 28, 1797–1801. [Google Scholar] [CrossRef]
- Doré, V.; Doecke, J.D.; Saad, Z.S.; Triana-Baltzer, G.; Slemmon, R.; Krishnadas, N.; Bourgeat, P.; Huang, K.; Burnham, S.; Fowler, C.; et al. Plasma P217+tau versus NAV4694 Amyloid and MK6240 Tau PET across the Alzheimer’s Continuum. Alzheimers Dement. 2022, 14, e12307. [Google Scholar] [CrossRef]
- Cho, H.J.; Schulz, P.; Venkataraman, L.; Caselli, R.J.; Sierks, M.R. Sex-Specific Multiparameter Blood Test for the Early Diagnosis of Alzheimer’s Disease. Int. J. Mol. Sci. 2022, 23, 15670. [Google Scholar] [CrossRef] [PubMed]
- Cullen, N.C.; Leuzy, A.; Janelidze, S.; Palmqvist, S.; Svenningsson, A.L.; Stomrud, E.; Dage, J.L.; Mattsson-Carlgren, N.; Hansson, O. Plasma Biomarkers of Alzheimer’s Disease Improve Prediction of Cognitive Decline in Cognitively Unimpaired Elderly Populations. Nat. Commun. 2021, 12, 3555. [Google Scholar] [CrossRef]
- Leuzy, A.; Mattsson-Carlgren, N.; Palmqvist, S.; Janelidze, S.; Dage, J.L.; Hansson, O. Blood-based Biomarkers for Alzheimer’s Disease. EMBO Mol. Med. 2022, 14, e14408. [Google Scholar] [CrossRef] [PubMed]
- Janelidze, S.; Palmqvist, S.; Leuzy, A.; Stomrud, E.; Verberk, I.M.W.; Zetterberg, H.; Ashton, N.J.; Pesini, P.; Sarasa, L.; Allué, J.A.; et al. Detecting Amyloid Positivity in Early Alzheimer’s Disease Using Combinations of Plasma Aβ42/Aβ40 and P-tau. Alzheimers Dement. 2022, 18, 283–293. [Google Scholar] [CrossRef] [PubMed]
- Illán-Gala, I.; Lleo, A.; Karydas, A.; Staffaroni, A.M.; Zetterberg, H.; Sivasankaran, R.; Grinberg, L.T.; Spina, S.; Kramer, J.H.; Ramos, E.M.; et al. Plasma Tau and Neurofilament Light in Frontotemporal Lobar Degeneration and Alzheimer Disease. Neurology 2021, 96, e671–e683. [Google Scholar] [CrossRef] [PubMed]
- Santangelo, R.; Agosta, F.; Masi, F.; Spinelli, E.G.; Cecchetti, G.; Caso, F.; Mandelli, A.; Cardamone, R.; Barbieri, A.; Furlan, R.; et al. Plasma Neurofilament Light Chain Levels and Cognitive Testing as Predictors of Fast Progression in Alzheimer’s Disease. Eur. J. Neurol. 2021, 28, 2980–2988. [Google Scholar] [CrossRef]
- Li, D.; Zhang, L.; Nelson, N.W.; Mielke, M.M.; Yu, F. Plasma Neurofilament Light and Future Declines in Cognition and Function in Alzheimer’s Disease in the FIT-AD Trial. J. Alzheimers Dis. Rep. 2021, 5, 601–611. [Google Scholar] [CrossRef]
- Pereira, J.B.; Janelidze, S.; Smith, R.; Mattsson-Carlgren, N.; Palmqvist, S.; Teunissen, C.E.; Zetterberg, H.; Stomrud, E.; Ashton, N.J.; Blennow, K.; et al. Plasma GFAP Is an Early Marker of Amyloid-β but Not Tau Pathology in Alzheimer’s Disease. Brain 2021, 144, 3505–3516. [Google Scholar] [CrossRef]
- Smirnov, D.S.; Ashton, N.J.; Blennow, K.; Zetterberg, H.; Simrén, J.; Lantero-Rodriguez, J.; Karikari, T.K.; Hiniker, A.; Rissman, R.A.; Salmon, D.P.; et al. Plasma Biomarkers for Alzheimer’s Disease in Relation to Neuropathology and Cognitive Change. Acta Neuropathol. 2022, 143, 487–503. [Google Scholar] [CrossRef] [PubMed]
- Palmqvist, S.; Tideman, P.; Cullen, N.; Zetterberg, H.; Blennow, K.; Alzheimer’s Disease Neuroimaging Initiative; Dage, J.L.; Stomrud, E.; Janelidze, S.; Mattsson-Carlgren, N.; et al. Prediction of Future Alzheimer’s Disease Dementia Using Plasma Phospho-Tau Combined with Other Accessible Measures. Nat. Med. 2021, 27, 1034–1042. [Google Scholar] [CrossRef] [PubMed]
- Chatterjee, P.; Pedrini, S.; Ashton, N.J.; Tegg, M.; Goozee, K.; Singh, A.K.; Karikari, T.K.; Simrén, J.; Vanmechelen, E.; Armstrong, N.J.; et al. Diagnostic and Prognostic Plasma Biomarkers for Preclinical Alzheimer’s Disease. Alzheimers Dement. 2022, 18, 1141–1154. [Google Scholar] [CrossRef] [PubMed]
- Brickman, A.M.; Manly, J.J.; Honig, L.S.; Sanchez, D.; Reyes-Dumeyer, D.; Lantigua, R.A.; Lao, P.J.; Stern, Y.; Vonsattel, J.P.; Teich, A.F.; et al. Plasma P-Tau181, p-Tau217, and Other Blood-Based Alzheimer’s Disease Biomarkers in a Multi-Ethnic, Community Study. Alzheimers Dement. 2021, 17, 1353–1364. [Google Scholar] [CrossRef] [PubMed]
- Elahi, F.M.; Casaletto, K.B.; La Joie, R.; Walters, S.M.; Harvey, D.; Wolf, A.; Edwards, L.; Rivera-Contreras, W.; Karydas, A.; Cobigo, Y.; et al. Plasma Biomarkers of Astrocytic and Neuronal Dysfunction in Early- and Late-Onset Alzheimer’s Disease. Alzheimers Dement. 2020, 16, 681–695. [Google Scholar] [CrossRef]
- Qin, Q. TREM2, microglia, and Alzheimer’s disease. Mech. Ageing Dev. 2021, 195, 111438. [Google Scholar] [CrossRef]
- Nelson, P.T.; Dickson, D.W.; Trojanowski, J.Q.; Jack, C.R.; Boyle, P.A.; Arfanakis, K.; Rademakers, R.; Alafuzoff, I.; Attems, J.; Brayne, C.; et al. Limbic-Predominant Age-Related TDP-43 Encephalopathy (LATE): Consensus Working Group Report. Brain 2019, 142, 1503–1527. [Google Scholar] [CrossRef]
- Meneses, A.; Koga, S.; O’Leary, J.; Dickson, D.W.; Bu, G.; Zhao, N. TDP-43 Pathology in Alzheimer’s Disease. Mol. Neurodegener. 2021, 16, 84–99. [Google Scholar] [CrossRef]
- Robinson, J.L.; Richardson, H.; Xie, S.X.; Suh, E.; Van Deerlin, V.M.; Alfaro, B.; Loh, N.; Porras-Paniagua, M.; Nirschl, J.J.; Wolk, D.; et al. The Development and Convergence of Co-Pathologies in Alzheimer’s Disease. Brain 2021, 144, 953–962. [Google Scholar] [CrossRef]
- Zetterberg, H.; Schott, J.M. Blood Biomarkers for Alzheimer’s Disease and Related Disorders. Acta Neurol. Scand. 2022, 146, 51–55. [Google Scholar] [CrossRef]
- Thijssen, E.H.; La Joie, R.; Strom, A.; Fonseca, C.; Iaccarino, L.; Wolf, A.; Spina, S.; Allen, I.E.; Cobigo, Y.; Heuer, H.; et al. Plasma Phosphorylated Tau 217 and Phosphorylated Tau 181 as Biomarkers in Alzheimer’s Disease and Frontotemporal Lobar Degeneration: A Retrospective Diagnostic Performance Study. Lancet Neurol. 2021, 20, 739–752. [Google Scholar] [CrossRef]
- Das, S.; Dewit, N.; Jacobs, D.; Pijnenburg, Y.A.L.; In ’t Veld, S.G.J.G.; Coppens, S.; Quaglia, M.; Hirtz, C.; Teunissen, C.E.; Vanmechelen, E. A Novel Neurofilament Light Chain ELISA Validated in Patients with Alzheimer’s Disease, Frontotemporal Dementia, and Subjective Cognitive Decline, and the Evaluation of Candidate Proteins for Immunoassay Calibration. Int. J. Mol. Sci. 2022, 23, 7221. [Google Scholar] [CrossRef] [PubMed]
- Li, Y.; Schindler, S.E.; Bollinger, J.G.; Ovod, V.; Mawuenyega, K.G.; Weiner, M.W.; Shaw, L.M.; Masters, C.L.; Fowler, C.J.; Trojanowski, J.Q.; et al. Validation of Plasma Amyloid-β 42/40 for Detecting Alzheimer Disease Amyloid Plaques. Neurology 2022, 98, e688–e699. [Google Scholar] [CrossRef] [PubMed]
- Mielke, M.M.; Aakre, J.A.; Algeciras-Schimnich, A.; Proctor, N.K.; Machulda, M.M.; Eichenlaub, U.; Knopman, D.S.; Vemuri, P.; Graff-Radford, J.; Jack, C.R., Jr.; et al. Comparison of CSF Phosphorylated Tau 181 and 217 for Cognitive Decline. Alzheimers Dement. 2022, 18, 602–611. [Google Scholar] [CrossRef] [PubMed]
- Mielke, M.M.; Hagen, C.E.; Xu, J.; Chai, X.; Vemuri, P.; Lowe, V.J.; Airey, D.C.; Knopman, D.S.; Roberts, R.O.; Machulda, M.M.; et al. Plasma Phospho-Tau181 Increases with Alzheimer’s Disease Clinical Severity and Is Associated with Tau- and Amyloid-Positron Emission Tomography. Alzheimers Dement. 2018, 14, 989–997. [Google Scholar] [CrossRef] [PubMed]
- Tatebe, H.; Kasai, T.; Ohmichi, T.; Kishi, Y.; Kakeya, T.; Waragai, M.; Kondo, M.; Allsop, D.; Tokuda, T. Quantification of Plasma Phosphorylated Tau to Use as a Biomarker for Brain Alzheimer Pathology: Pilot Case-Control Studies Including Patients with Alzheimer’s Disease and down Syndrome. Mol. Neurodegener. 2017, 12, 63–74. [Google Scholar] [CrossRef] [PubMed]
- O’Connor, A.; Karikari, T.K.; Poole, T.; Ashton, N.J.; Lantero Rodriguez, J.; Khatun, A.; Swift, I.; Heslegrave, A.J.; Abel, E.; Chung, E.; et al. Plasma Phospho-Tau181 in Presymptomatic and Symptomatic Familial Alzheimer’s Disease: A Longitudinal Cohort Study. Mol. Psychiatry 2021, 26, 5967–5976. [Google Scholar] [CrossRef]
- Moscoso, A.; Grothe, M.J.; Ashton, N.J.; Karikari, T.K.; Lantero Rodríguez, J.; Snellman, A.; Suárez-Calvet, M.; Blennow, K.; Zetterberg, H.; Schöll, M.; et al. Longitudinal Associations of Blood Phosphorylated Tau181 and Neurofilament Light Chain with Neurodegeneration in Alzheimer Disease. JAMA Neurol. 2021, 78, 396. [Google Scholar] [CrossRef]
- Müller, S.; Preische, O.; Göpfert, J.C.; Yañez, V.A.C.; Joos, T.O.; Boecker, H.; Düzel, E.; Falkai, P.; Priller, J.; Buerger, K.; et al. Tau Plasma Levels in Subjective Cognitive Decline: Results from the DELCODE Study. Sci. Rep. 2017, 7, 9529. [Google Scholar] [CrossRef]
- Chouliaras, L.; Thomas, A.; Malpetti, M.; Donaghy, P.; Kane, J.; Mak, E.; Savulich, G.; Prats-Sedano, M.A.; Heslegrave, A.J.; Zetterberg, H.; et al. Differential Levels of Plasma Biomarkers of Neurodegeneration in Lewy Body Dementia, Alzheimer’s Disease, Frontotemporal Dementia and Progressive Supranuclear Palsy. J. Neurol. Neurosurg. Psychiatry 2022, 93, 651–658. [Google Scholar] [CrossRef]
- Blennow, K.; Hampel, H.; Weiner, M.; Zetterberg, H. Cerebrospinal Fluid and Plasma Biomarkers in Alzheimer Disease. Nat. Rev. Neurol. 2010, 6, 131–144. [Google Scholar] [CrossRef]
- Toledo, J.B.; Vanderstichele, H.; Figurski, M. Factors affecting Aβ plasma levels and their utility as biomarkers in ADNI. Acta Neuropathol. 2011, 122, 401–413. [Google Scholar] [CrossRef]
- Hansson, O.; Stomrud, E.; Vanmechelen, E.; Östling, S.; Gustafson, D.R.; Zetterberg, H.; Blennow, K.; Skoog, I. Evaluation of Plasma Aβ as Predictor of Alzheimer’s Disease in Older Individuals without Dementia: A Population-Based Study. J. Alzheimers Dis. 2012, 28, 231–238. [Google Scholar] [CrossRef] [PubMed]
- Pesaresi, M.; Lovati, C.; Bertora, P.; Mailland, E.; Galimberti, D.; Scarpini, E.; Quadri, P.; Forloni, G.; Mariani, C. Plasma Levels of Beta-Amyloid (1-42) in Alzheimer’s Disease and Mild Cognitive Impairment. Neurobiol. Aging 2006, 27, 904–905. [Google Scholar] [CrossRef] [PubMed]
- Chiu, M.-J.; Yang, S.-Y.; Chen, T.-F.; Lin, C.-H.; Yang, F.-C.; Chen, W.-P.; Zetterberg, H.; Blennow, K. Synergistic Association between Plasma Aβ1–42 and p-Tau in Alzheimer’s Disease but Not in Parkinson’s Disease or Frontotemporal Dementia. ACS Chem. Neurosci. 2021, 12, 1376–1383. [Google Scholar] [CrossRef] [PubMed]
- Lewczuk, P.; Ermann, N.; Andreasson, U.; Schultheis, C.; Podhorna, J.; Spitzer, P.; Maler, J.M.; Kornhuber, J.; Blennow, K.; Zetterberg, H. Plasma Neurofilament Light as a Potential Biomarker of Neurodegeneration in Alzheimer’s Disease. Alzheimers Res. Ther. 2018, 10, 71. [Google Scholar] [CrossRef] [PubMed]
- Benedet, A.L.; Leuzy, A.; Pascoal, T.A.; Ashton, N.J.; Mathotaarachchi, S.; Savard, M.; Therriault, J.; Kang, M.S.; Chamoun, M.; Schöll, M.; et al. Stage-Specific Links between Plasma Neurofilament Light and Imaging Biomarkers of Alzheimer’s Disease. Brain 2020, 143, 3793–3804. [Google Scholar] [CrossRef]
- O’Bryant, S.; Petersen, M.; Hall, J.; Johnson, L.; Yaffe, K.; Braskie, M.; Toga, A.W.; Rissman, R.A.; HABLE study team. Characterizing Plasma NfL in a Community-Dwelling Multi-Ethnic Cohort: Results from the HABLE Study. Alzheimers Dement. 2022, 18, 240–250. [Google Scholar] [CrossRef]
- Corbet, G.A.; Wheeler, J.R.; Parker, R.; Weskamp, K. TDP43 Ribonucleoprotein Granules: Physiologic Function to Pathologic Aggregates. RNA Biol. 2021, 18 (Suppl. 1), 128–138. [Google Scholar] [CrossRef]
- Kuiperij, H.B.; Versleijen, A.A.M.; Beenes, M.; Verwey, N.A.; Benussi, L.; Paterlini, A.; Binetti, G.; Teunissen, C.E.; Raaphorst, J.; Schelhaas, H.J.; et al. Tau rather than TDP-43 proteins are potential cerebrospinal fluid biomarkers for frontotemporal lobar degeneration subtypes: A pilot study. J. Alzheimers Dis. 2016, 55, 585–595. [Google Scholar] [CrossRef]
- Foulds, P.; McAuley, E.; Gibbons, L.; Davidson, Y.; Pickering-Brown, S.M.; Neary, D.; Snowden, J.S.; Allsop, D.; Mann, D.M.A. TDP-43 Protein in Plasma May Index TDP-43 Brain Pathology in Alzheimer’s Disease and Frontotemporal Lobar Degeneration. Acta Neuropathol. 2008, 116, 141–146. [Google Scholar] [CrossRef]
- Feneberg, E.; Gray, E.; Ansorge, O.; Talbot, K.; Turner, M.R. Towards a TDP-43-Based Biomarker for ALS and FTLD. Mol. Neurobiol. 2018, 55, 7789–7801. [Google Scholar] [CrossRef]
- Hendricks, R.; Baker, D.; Brumm, J.; Davancaze, T.; Harp, C.; Herman, A.; von Büdingen, H.-C.; Townsend, M.; Fischer, S.K. Establishment of Neurofilament Light Chain Simoa Assay in Cerebrospinal Fluid and Blood. Bioanalysis 2019, 11, 1405–1418. [Google Scholar] [CrossRef]
- Aschenbrenner, A.J.; Li, Y.; Henson, R.L.; Volluz, K.; Hassenstab, J.; Verghese, P.; West, T.; Meyer, M.R.; Kirmess, K.M.; Fagan, A.M.; et al. Comparison of Plasma and CSF Biomarkers in Predicting Cognitive Decline. Ann. Clin. Transl. Neurol. 2022, 9, 1739–1751. [Google Scholar] [CrossRef] [PubMed]
- Syrjanen, J.A.; Campbell, M.R.; Algeciras-Schimnich, A.; Vemuri, P.; Graff-Radford, J.; Machulda, M.M.; Bu, G.; Knopman, D.S.; Jack, C.R., Jr.; Petersen, R.C.; et al. Associations of Amyloid and Neurodegeneration Plasma Biomarkers with Comorbidities. Alzheimers Dement. 2022, 18, 1128–1140. [Google Scholar] [CrossRef] [PubMed]
- Gerards, M.; Schild, A.-K.; Meiberth, D.; Rostamzadeh, A.; Vehreschild, J.J.; Wingen-Heimann, S.; Johannis, W.; Martino Adami, P.; Onur, O.A.; Ramirez, A.; et al. Alzheimer’s Disease Plasma Biomarkers Distinguish Clinical Diagnostic Groups in Memory Clinic Patients. Dement. Geriatr. Cogn. Disord. 2022, 51, 182–192. [Google Scholar] [CrossRef] [PubMed]
- Jiao, B.; Liu, H.; Guo, L.; Liao, X.; Zhou, Y.; Weng, L.; Xiao, X.; Zhou, L.; Wang, X.; Jiang, Y.; et al. Performance of Plasma Amyloid β, Total Tau, and Neurofilament Light Chain in the Identification of Probable Alzheimer’s Disease in South China. Front. Aging Neurosci. 2021, 13, 749649. [Google Scholar] [CrossRef]
- Kokkinou, M.; Beishon, L.C.; Smailagic, N.; Noel-Storr, A.H.; Hyde, C.; Ukoumunne, O.; Worrall, R.E.; Hayen, A.; Desai, M.; Ashok, A.H.; et al. Plasma and Cerebrospinal Fluid ABeta42 for the Differential Diagnosis of Alzheimer’s Disease Dementia in Participants Diagnosed with Any Dementia Subtype in a Specialist Care Setting. Cochrane Database Syst. Rev. 2021, 2, CD010945. [Google Scholar] [CrossRef]
- Chiu, P.-Y.; Yang, F.-C.; Chiu, M.-J.; Lin, W.-C.; Lu, C.-H.; Yang, S.-Y. Relevance of Plasma Biomarkers to Pathologies in Alzheimer’s Disease, Parkinson’s Disease and Frontotemporal Dementia. Sci. Rep. 2022, 12, 17919. [Google Scholar] [CrossRef]
- Benussi, A.; Cantoni, V.; Rivolta, J.; Archetti, S.; Micheli, A.; Ashton, N.; Zetterberg, H.; Blennow, K.; Borroni, B. Classification Accuracy of Blood-Based and Neurophysiological Markers in the Differential Diagnosis of Alzheimer’s Disease and Frontotemporal Lobar Degeneration. Alzheimers Res. Ther. 2022, 14, 155. [Google Scholar] [CrossRef]
- Huang, H.-C.; Tseng, Y.-M.; Chen, Y.-C.; Chen, P.-Y.; Chiu, H.-Y. Diagnostic Accuracy of the Clinical Dementia Rating Scale for Detecting Mild Cognitive Impairment and Dementia: A Bivariate Meta-Analysis. Int. J. Geriatr. Psychiatry 2021, 36, 239–251. [Google Scholar] [CrossRef]
- Li, Y.; Xiong, C.; Aschenbrenner, A.J.; Chang, C.-H.; Weiner, M.W.; Nosheny, R.L.; Mungas, D.; Bateman, R.J.; Hassenstab, J.; Moulder, K.L.; et al. Item Response Theory Analysis of the Clinical Dementia Rating. Alzheimer Dement. 2021, 17, 534–542. [Google Scholar] [CrossRef] [PubMed]
- Tsoi, K.K.F.; Chan, J.Y.C.; Hirai, H.W.; Wong, S.Y.S.; Kwok, T.C.Y. Cognitive Tests to Detect Dementia: A Systematic Review and Meta-Analysis: A Systematic Review and Meta-Analysis. JAMA Intern. Med. 2015, 175, 1450–1458. [Google Scholar] [CrossRef] [PubMed]
- Mitchell, A.J. A Meta-Analysis of the Accuracy of the Mini-Mental State Examination in the Detection of Dementia and Mild Cognitive Impairment. J. Psychiatr. Res. 2009, 43, 411–431. [Google Scholar] [CrossRef]
- Encinas, M.; Gramunt-Fombuena, S.; Guia, B.; Hernanz, C.; Barbera, A. Spanish translation and adaptation of the repeatable battery for the assessment of neuropsychological status (RBANS) Form A in a pilot sample. Neurologia 2012, 27, 531–546. [Google Scholar] [CrossRef]
- Freilich, B.M.; Hyer, L.A. Relation of the Repeatable Battery for Assessment of Neuropsychological Status to Measures of Daily Functioning in Dementia. Psychol. Rep. 2007, 101, 119–129. [Google Scholar] [CrossRef]
- Duff, K.; Humphreys Clark, J.D.; O’Bryant, S.E.; Mold, J.W.; Schiffer, R.B.; Sutker, P.B. Utility of the RBANS in Detecting Cognitive Impairment Associated with Alzheimer’s Disease: Sensitivity, Specificity, and Positive and Negative Predictive Powers. Arch. Clin. Neuropsychol. 2008, 23, 603–612. [Google Scholar] [CrossRef] [PubMed]
- Randolph, C.; Tierney, M.C.; Mohr, E.; Chase, T.N. The Repeatable Battery for the Assessment of Neuropsychological Status (RBANS): Preliminary Clinical Validity. J. Clin. Exp. Neuropsychol. 1998, 20, 310–319. [Google Scholar] [CrossRef]
- Rascovsky, K.; Hodges, J.R.; Knopman, D.; Mendez, M.F.; Kramer, J.H.; Neuhaus, J.; van Swieten, J.C.; Seelaar, H.; Dopper, E.G.P.; Onyike, C.U.; et al. Sensitivity of Revised Diagnostic Criteria for the Behavioural Variant of Frontotemporal Dementia. Brain 2011, 134 Pt 9, 2456–2477. [Google Scholar] [CrossRef]
- Simoa® Technology. Available online: https://www.quanterix.com/simoa-technology/ (accessed on 20 June 2022).
- R Core Team. R: A Language and Environment for Statistical Computing; R Foundation for Statistical Computing: Vienna, Austria, 2022; Available online: https://www.R-project.org/ (accessed on 19 December 2022).
- Posit Team. RStudio: Integrated Development Environment for R; Posit Software PBC: Boston, MA, USA, 2022; Available online: http://www.posit.co/ (accessed on 19 December 2022).
- Kucheryavskiy, S. mdatools—R package for chemometrics. Chemom. Intell. Lab. Syst. 2020, 198, 103937. [Google Scholar] [CrossRef]


| HC (n = 22) | MCI-AD (n = 33) | Dementia-AD (n = 12) | FTLD (n = 11) | p Values (Kruskal–Wallis a Mann–Whitney b–f) | |
|---|---|---|---|---|---|
| Sex (female, n, (%)) | 8 (36%) | 20 (61%) | 6 (50%) | 5 (46%) | 0.364 |
| Age (years, median (IQR)) | 70 (65–72) | 67 (64–72) | 70 (67–74) | 63 (59–67) | 0.029 a,* 0.588 b 0.122 c 0.069 d <0.01 e,* <0.02 f,* |
| CSF Aβ40 (pg mL−1) | 10979 (8872–15338) | 11610 (9891–15793) | 13844 (11950–19678) | 13371 (8258–15610) | 0.332 a 0.483 b 0.082 c 0.914 d 0.295 e 1 f |
| CSF Aβ42 (pg mL−1) | 1323 (1119–1686) | 635 (500–767) | 674 (494–758) | 937 (814–1543) | <0.01 a,* <0.01 b,* 0.97 c <0.01 d,* <0.01 e,* <0.05 f,* |
| CSF t-Tau (pg mL−1) | 235 (185–308) | 551 (361–765) | 978 (659–1186) | 351 (259–406) | <0.01 a,* <0.01 b,* <0.01 c,* 0.053 d <0.01 e,* <0.03 f,* |
| CSF p-Tau181 (pg mL−1) | 49 (33–62) | 92 (50–117) | 175 (121–208) | 42 (37–70) | <0.01 a,* <0.01 b,* <0.01 c,* <0.05 d,* <0.01 e,* 0.665 f |
| CSF NfL (pg mL−1) | 589 (523–775) | 952 (744–1331) | 1408 (1304–1992) | 1607 (1190–4341) | <0.01 a,* <0.01 b,* <0.01 c,* <0.01 d,* 0.223 e <0.01 f,* |
| CSF t-Tau/Aβ42 | 0.17 (0.13–0.21) | 0.79 (0.46–1.06) | 1.4 (1.28–1.85) | 0.34 (0.27–0.48) | <0.01 a,* <0.05 b,* <0.01 c,* <0.01 d,* <0.01 e,* <0.01 f,* |
| CSF Aβ42/Aβ40 | 0.11 (0.104–0.122) | 0.054 (0.048–0.059) | 0.043 (0.037–0.05) | 0.096 (0.064–0.109) | <0.01 a,* <0.01 b,* <0.05 c,* <0.01 d,* <0.01 e,* <0.05 f,* |
| MMSE (score, median (IQR)) | 28.5 (26–29) | 25 (22.5–26.5) | 16.5 (12.75–18.75) | 19 (16–25) | <0.01 a,* <0.01 b,* <0.01 c,* 0.093 d 0.118 e <0.01 f,* |
| CDR (score, median (IQR)) | 0 (0–0.5) | 0.5 (0.5–0.5) | 1 (0.5–1) | 1 (0.5–1) | <0.01 a,* <0.01 b,* <0.01 c,* <0.05 d,* 0.740 e <0.01 f,* |
| RBANS-DM (score, median (IQR)) | - | 61 (51.5–68) | 45 (10.75–50) | 54 (47–62) | <0.01 a,* <0.01 b,* <0.01 c,* 0.979 d <0.02 e,* <0.02 f,* |
| Plasma Biomarkers (r, p) | |||||||||
|---|---|---|---|---|---|---|---|---|---|
| Aβ42 | Aβ40 | t-Tau | p-Tau181 | NfL | Ratio Aβ42/Aβ40 | Ratio t-Tau/Aβ42 | TDP-43 | ||
| CSF biomarkers (r, p) | Aβ42 | 0.102 (p = 0.38) | - 0.045 (p = 0.77) | −0.053 (p = 0.65) | - 0.441 (p < 0.01) | −0.008 (p = 0.95) | 0.277 (p = 0.01) * | 0.059 (p = 0.61) | 0.14 (p = 0.21) |
| Aβ40 | 0.136 (p = 0.32) | 0.065 (p = 0.63) | −1.48 (p = 0.28) | 0.094 (p = 0.48) | 0.051 (p = 0.71) | 0.082 (p = 0.54) | −0.144 (p = 0.28) | −0.035 (p = 0.79) | |
| t-Tau | −0.099 (p = 0.39) | −0.045 (p = 0.69) | −0.089 (p = 0.45) | 0.611 (p < 0.01) * | 0.138 (p = 0.234) | −0.27 (p = 0.02) * | −0.093 (p = 0.41) | −0.091 (p = 0.43) | |
| p-Tau181 | −0.087 (p = 0.45) | −0.014 (p = 0.9) | −0.091 (p = 0.43) | 0.649 (p < 0.01) * | 0.066 (p = 57) | −0.297 (p < 0.01) | −0.13 (p = 0.26) | −0.035 (p = 0.79) | |
| NfL | −0.125 (p = 0.36) | −0.18 (p = 0.18) | −0.138 (p = 0.31) | −0.089 (p = 0.5) | 0.86 (p < 0.01) * | 0.088 (p = 0.51) | −0.03 (p = 0.82) | −0.17 (p = 0.9) | |
| Ratio Aβ42/Aβ40 | −0.019 (p = 0.89) | 0.032 (p = 0.81) | 0.01 (p = 0.94) | 0.064 (p = 0.63) | −0.083 (p = 0.54) | −0.037 (p = 0.78) | 0.001 (p = 0.99) | −0.031 (p = 0.82) | |
| Ratio t-Tau/Aβ42 | −0.13 (p = 0.32) | 0.20 (p = 0.88) | −0.16 (p = 0.25) | 0.605 (p < 0.01) * | −0.004 (p = 0.97) | −0.497 (p < 0.01) * | −0.225 (p = 0.08) | −0.22 (p = 0.09) | |
| (Median (IQR)) (pg mL−1) | HC (n = 22) | MCI-AD (n = 33) | Dementia-AD (n = 12) | FTLD (n = 11) | p-Value Kruskal–Wallis | p-Value Mann–Whitney |
|---|---|---|---|---|---|---|
| Aβ42 | 10.1 (6.76–11.97) | 8.92 (7.08–10.8) | 8.56 (7.91–10.65) | 9.2(7.33–12.81) | 0.378 | 0.481 a 0.63 b 0.75 c 0.88 d 0.46 e 0.45 f |
| Aβ40 | 243 (207–278) | 250 (213–281) | 239 (216–289) | 243 (192–305) | 0.998 | 0.897 a 0.83 b 0.93 c 0.99 d 0.98 e 0.88 f |
| t-Tau | 2.86 (2.45–4.06) | 3.61 (2.8–4.36) | 3.32 (2.58–3.54) | 3.00 (2.56–3.44) | 0.373 | 0.255 a 0.87 b 0.96 c 0.21 d 0.15 e 0.65 f |
| p-Tau181 | 1.44 (1.07–1.65) | 2.68 (1.94–3.29) | 3.42 (2.16–5.98) | 1.51 (1.35–2.01) | 0.01 * | <0.01 a,* <0.01 b,* 0.09 c 0.09 d <0.03 e,* <0.01 f,* |
| NfL | 16 (12.21–20.06) | 17.69 (14.87–26.34) | 32.35 (16.61–41.49) | 30.31 (25.21–51.68) | 0.01 * | 0.06 a <0.01 b,* <0.01 c,* <0.02 d,* <0.01 e,* 0.49 f |
| TDP-43 | 136 (97–261) | 154 (94–268) | 253 (172–300) | 199 (165–361) | 0.53 | 0.47 a 0.12 b 0.08 c 0.12 d 0.08 e 1 f |
| Ratio Aβ42/Aβ40 | 0.04 (0.034–0.044) | 0.036 (0.033–0.041) | 0.036 (0.034–0.037) | 0.039 (0.036–0.043) | 0.04 * | <0.02 a,* 0.09 b 0.99 c 0.87 d <0.04 e,* 0.06 f |
| Ratio t-Tau/Aβ42 | 0.33 (0.25–0.45) | 0.37 (0.31–0.54) | 0.34 (0.28–0.43) | 0.352 (0.2–0.34) | 0.058 | 0.327 a 0.93 b 0.51 c 0.3 d 0.21 e 0.52 f |
| PLS Model | AUC (95% CI) | p Value | Sensitivity (%, 95% CI) | Specificity (%, 95% CI) | PPV (%, 95% CI) | NPV (%, 95% CI) |
|---|---|---|---|---|---|---|
| HC vs. MCI-AD | 0.802 (0.685–0.918) | <0.01 * | 69.7 (52.7–82.6) | 86.4 (66.7–95.3) | 88.5 (71.0–96.0) | 65.5 (47.3–80.1) |
| HC vs. AD (MCI- + dementia) | 0.809 (0.704–0.914) | <0.01 * | 73.3 (59.0–84.0) | 86.4 (66.7–95.3) | 91.7 (78.2–97.1) | 61.3 (43.8–76.3) |
| MCI-AD vs. FTLD | 0.813 (0.687–0.938) | <0.01 * | 75.8 (59.0–87.2) | 81.8 (52.3–94.9) | 92.6 (76.6–97.9) | 52.9 (31.0–73.8) |
| AD (MCI-AD+ dementia-AD) vs. FTLD | 0.796 (0.679–0.913) | <0.01 * | 62.2 (47.6–74.9) | 100 (74.1–100) | 100 (87.9–100) | 39.3 (23.6–57.6) |
| MCI-AD vs. HC | AD vs. HC | MCI-AD vs. FTLD | AD vs. FTLD | |
|---|---|---|---|---|
| Aβ40 | 0.010 | −0.001 | −0.061 | −0.022 |
| p-Tau181 | 0.526 | 0.381 | 0.282 | 0.247 |
| Aβ42 | −0.110 | −0.105 | −0.154 | −0.232 |
| t-Tau | −0.029 | 0.032 | 0.155 | 0.098 |
| NfL | 0.162 | 0.220 | −0.396 | −0.413 |
| TDP-43 | −0.178 | −0.117 | −0.096 | −0.075 |
| MCI-AD vs. HC | AD vs. HC | MCI-AD vs. FTLD | AD vs. FTLD | |
|---|---|---|---|---|
| a | 0.117 | 0.317 | 0.804 | 1.086 |
| b | 7.66 × 10−5 | −4.22 × 10−6 | −3.89 × 10−4 | −1.33 × 10−4 |
| c | 0.252 | 0.117 | 0.122 | 0.063 |
| d | −1.71 × 10−2 | −1.65 × 10−2 | −2.09 × 10−2 | −3.10 × 10−2 |
| e | −1.21 × 10−2 | 1.36 × 10−2 | 5.55 × 10−2 | 3.48 × 10−2 |
| f | 8.25 × 10−3 | 9.02 × 10−3 | −7.99 × 10−3 | −8.16 × 10−3 |
| g | −1.31 × 10−4 | −0.90 × 10−4 | −0.96 × 10−4 | −0.77 × 10−4 |
| r (p) | Aβ40 (pg mL−1) | Aβ42 (pg mL−1) | p-Tau181 (pg mL−1) | t-Tau (pg mL−1) | NfL (pg mL−1) | TDP-43 (pg mL−1) | Ratio t-Tau/Aβ42 | Ratio Aβ42/Aβ40 |
|---|---|---|---|---|---|---|---|---|
| Age (years) | 0.49 (0.67) | −0857 (0.48) | −0.21 (0.86) | −0.52 (0.65) | −0.004 (0.97) | −0.134 (0.24) | −0.39 (0.74) | −0.297 (<0.01) * |
| CDR (score) | 0.13 (0.25) | 0.181 (0.12) | 0.12 (0.3) | 0.05 (0.69) | 0.363 (<0.01) * | −0.07 (0.53) | −0.146 (0.2) | 0.11 (0.34) |
| MMSE (score) | 0.039 (0.75) | 0.087 (0.43) | −0.39 (<0.01) * | 0.17 (0.15) | −0.535 (<0.01) * | −0.002 (0.98) | 0.12 (0.29) | 0.585 (0.58) |
| RBANS-DM (score) | −0.15 (0.2) | −0.06 (0.618) | 0.75 (0.52) | 0.357 (<0.01) * | −0.09 (0.44) | 0.335 (<0.01) * | 0.331 (<0.01) * | 0.087 (0.45) |
Disclaimer/Publisher’s Note: The statements, opinions and data contained in all publications are solely those of the individual author(s) and contributor(s) and not of MDPI and/or the editor(s). MDPI and/or the editor(s) disclaim responsibility for any injury to people or property resulting from any ideas, methods, instructions or products referred to in the content. |
© 2023 by the authors. Licensee MDPI, Basel, Switzerland. This article is an open access article distributed under the terms and conditions of the Creative Commons Attribution (CC BY) license (https://creativecommons.org/licenses/by/4.0/).
Share and Cite
Álvarez-Sánchez, L.; Peña-Bautista, C.; Ferré-González, L.; Balaguer, A.; Baquero, M.; Casanova-Estruch, B.; Cháfer-Pericás, C. Assessment of Plasma and Cerebrospinal Fluid Biomarkers in Different Stages of Alzheimer’s Disease and Frontotemporal Dementia. Int. J. Mol. Sci. 2023, 24, 1226. https://doi.org/10.3390/ijms24021226
Álvarez-Sánchez L, Peña-Bautista C, Ferré-González L, Balaguer A, Baquero M, Casanova-Estruch B, Cháfer-Pericás C. Assessment of Plasma and Cerebrospinal Fluid Biomarkers in Different Stages of Alzheimer’s Disease and Frontotemporal Dementia. International Journal of Molecular Sciences. 2023; 24(2):1226. https://doi.org/10.3390/ijms24021226
Chicago/Turabian StyleÁlvarez-Sánchez, Lourdes, Carmen Peña-Bautista, Laura Ferré-González, Angel Balaguer, Miguel Baquero, Bonaventura Casanova-Estruch, and Consuelo Cháfer-Pericás. 2023. "Assessment of Plasma and Cerebrospinal Fluid Biomarkers in Different Stages of Alzheimer’s Disease and Frontotemporal Dementia" International Journal of Molecular Sciences 24, no. 2: 1226. https://doi.org/10.3390/ijms24021226
APA StyleÁlvarez-Sánchez, L., Peña-Bautista, C., Ferré-González, L., Balaguer, A., Baquero, M., Casanova-Estruch, B., & Cháfer-Pericás, C. (2023). Assessment of Plasma and Cerebrospinal Fluid Biomarkers in Different Stages of Alzheimer’s Disease and Frontotemporal Dementia. International Journal of Molecular Sciences, 24(2), 1226. https://doi.org/10.3390/ijms24021226

