Photocatalytic and Cathode Active Abilities of Ni-Substituted α-FeOOH Nanoparticles
Abstract
:1. Introduction
2. Results and Discussion
2.1. XRD Patterns of α-NixFe1−xOOH NPs
2.2. Thermogravimetric and Differential Thermal Analysis (TG-DTA) of α-NixFe1−xOOH
2.3. FTIR Spectra of α-NixFe1−xOOH NPs
2.4. XAFS Spectra of α-NixFe1−xOOH NPs
2.5. 57Fe-Mössbauer Spectra of α-NixFe1−xOOH NPs
2.6. TEM Observation of α-NixFe1−xOOH NPs
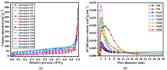
2.7. BET and BJH Analysis of α-NixFe1−xOOH NPs
2.8. Bandgap Energy Derived from DRS of α-NixFe1−xOOH NPs
2.9. Photo-Fenton Catalytic Ability of α-NixFe1−xOOH NPs
2.10. Electrical Properties—Solid-State Impedance Spectra and DC Conductivity
2.11. The Electrochemical Properties of α-NixFe1−xOOH NPs/Li- and Na-Ion Batteries
3. Materials and Methods
3.1. Preparation of α-NixFe1−xOOH NPs
3.2. Structural Characterization
3.3. Photocatalytic Activity
3.4. Solid-State Impedance Spectroscopy (SS-IS) of α-NixFe1−xOOH NPs
3.5. Preparation of SIB Containing α-NixFe1−xOOH NPs Cathode
4. Conclusions
Supplementary Materials
Author Contributions
Funding
Institutional Review Board Statement
Informed Consent Statement
Data Availability Statement
Conflicts of Interest
References
- Alangari, A.; Alqahtani, M.S.; Mateen, A.; Kalam, M.A.; Alshememry, A.; Ali, R.; Kazi, M.; Ghamdi, K.M.A.; Syed, R. Iron oxide nanoparticles: Preparation, characterization, and assessment of antimicrobial and anticancer activity. Adsorp. Sci. Technol. 2022, 9, 1562051. [Google Scholar] [CrossRef]
- Devi, H.S.; Singh, T.D. Iron oxide nanoparticles synthesis through a benign approach and its catalytic application. Perspect. Sci. 2016, 8, 287–289. [Google Scholar] [CrossRef]
- Tharani, K.; Christy, A.J.; Sagadevan, S.; Nehru, L.C. Photocatalytic and antibacterial performance of iron oxide nanoparticles formed by the combustion method. Chem. Phys. Lett. 2021, 771, 138524. [Google Scholar] [CrossRef]
- Wu, W.; Xiao, X.; Zhang, S.; Ren, F.; Jiang, C. Facile method to synthesize magnetic iron oxides/TiO2 hybrid nanoparticles and their photodegradation application of methylene blue. Nanoscale Res. Lett. 2011, 533, 1–15. [Google Scholar] [CrossRef]
- Tao, R.; Qu, M.; Zhang, S.; Quan, F.; Zhang, M.; Shen, W.; Mei, Y. Preparation of FeOOH supported by melamine sponge and its application for efficient phosphate removal. J. Environ. Chem. Eng. 2022, 10, 108064. [Google Scholar] [CrossRef]
- Zhong, Z.; Li, R.; Lin, W.; Xu, X.; Tian, X.; Lia, X.; Chen, X.; Kang, L. One-dimensional nanocrystals of cobalt perylene diimide polymer with in situ generated FeOOH for efficient photocatalytic water oxidation. Appl. Catal. B Environ. 2020, 260, 118–135. [Google Scholar] [CrossRef]
- Wang, L.; Nhat, T.N.; Zhang, Y.; Bi, Y.; Schmuki, P. Enhanced solar water splitting by swift charge separation in Au/FeOOH sandwiched single-crystalline Fe2O3 nanoflake photoelectrodes. Chem. Sus. Chem. 2017, 10, 2720–2727. [Google Scholar] [CrossRef]
- Huang, Y.; Xie, M.; Wang, Z.; Jiang, Y.; Huang, Q.; Bai, X.; Li, L.; Wu, F.; Chen, R. All-iron sodium-ion full-cells assembled via stable porous goethite nanorods with low strain and fast kinetics. Nano Energy 2019, 60, 294–304. [Google Scholar] [CrossRef]
- Liu, H.; Zou, J.; Ding, Y.; Liu, B.; Wang, Y. Novel α-FeOOH corner-truncated tetragonal prisms: Crystal structure, growth mechanism and lithium storage properties. J. Appl. Electrochem. 2019, 49, 657–669. [Google Scholar] [CrossRef]
- Pascariu, P.; Gherasim, C.; Airinei, A. Metal oxide nanostructures (MONs) as photocatalysts for ciprofloxacin degradation. Int. J. Mol. Sci. 2023, 24, 9564. [Google Scholar] [CrossRef] [PubMed]
- Krehula, S.; Ristić, M.; Petrović, Ž.; Krehula, L.K.; Mitar, I.; Musić, S. Effects of Cu doping on the microstructural, thermal, optical and photocatalytic properties of α-FeOOH and α-Fe2O3 1D nanoparticles. J. Alloys Compd. 2019, 802, 290–300. [Google Scholar] [CrossRef]
- Popov, N.; Krehula, S.; Ristić, M.; Kuzmann, E.; Homonnay, Z.; Bošković, M.; Stanković, D.; Kubuki, S.; Musić, S. Influence of Cr doping on the structural, magnetic, optical and photocatalytic properties of α-Fe2O3 nanorods. J. Phys. Chem. Solids 2021, 148, 109699. [Google Scholar] [CrossRef]
- Kobzi, B.; Watanabe, Y.; Akiyama, K.; Kuzmann, E.; Homonnay, Z.; Krehula, S.; Ristić, M.; Nishida, T.; Kubuki, S. 57Fe-Mössbauer study and methylene blue decomposing effect of nanoparticle mixtures composed of metallic iron and maghemite. J. Alloys Compd. 2017, 722, 94–100. [Google Scholar] [CrossRef]
- Zhang, B.; Khan, I.; Nagase, Y.; Ali, A.S.; Krehula, S.; Risti´c, M.; Music, S.; Kubuki, S. Highly covalent FeIII-O bonding in photo-Fenton active Sn-doped goethite nanoparticles. Mater. Chem. Phys. 2022, 287, 126247. [Google Scholar] [CrossRef]
- Darehnaranji, K.; Taghizadeh, S.M.; Mirzaei, E.; Berenjian, A.; Ebrahimi Nezhad, A. Size tuned synthesis of FeOOH nanorods toward self-assembled nanoarchitectonics. Langmuir 2021, 37, 115–123. [Google Scholar] [CrossRef]
- Shannon, R.D. Revised effective ionic radii and systematic studies of interatomic distances in halides and chalcogenides. Acta Cryst. A 1976, 32, 751–767. [Google Scholar] [CrossRef]
- Gerth, J. Unit-cell dimensions of pure and trace metal-associated goethites. Geochim. Cosmochim. Acta 1990, 54, 363–371. [Google Scholar] [CrossRef]
- Ishikawa, T.; Nagashima, A.; Kandori, K. Structure of nickel-doped α-FeOOH. J. Mater. Sci. 1991, 26, 6231–6236. [Google Scholar] [CrossRef]
- Cornell, R.M.; Schneider, W.; Giovanoli, R. The effect of nickel on the conversion of amorphous iron (III) hydroxide into more crystalline iron oxides in alkaline media. J. Chem. Technol. Biot. 1992, 53, 73–79. [Google Scholar] [CrossRef]
- Valášková, M.; Leštinský, P.; Matějová, L.; Klemencová, K.; Ritz, M.; Schimpf, C.; Motylenko, M.; Rafaja, D.; Bělík, J. Hematites Precipitated in Alkaline Precursors: Comparison of Structural and Textural Properties for Methane Oxidation. Int. J. Mol. Sci. 2022, 23, 8163. [Google Scholar] [CrossRef]
- Cheng, W.; Lindholm, J.; Holmboe, M.; Luong, N.T.; Shchukarev, A.; Ilton, E.S.; Hanna, K.; Boily, J.F. Nanoscale Hydration in Layered Manganese Oxides. Langmuir 2021, 37, 666–674. [Google Scholar] [CrossRef] [PubMed]
- Krehula, S.; Ristić, M.; Mitar, I.; Wu, C.; Li, X.; Jiang, L.; Wang, J.; Sun, G.; Zhang, T.; Perović, M.; et al. Synthesis and Properties of Ni-doped Goethite and Ni-doped Hematite Nanorods. Croat. Chem. Acta 2018, 91, 389–401. [Google Scholar] [CrossRef]
- Sayyed, M.I.; Abdo, M.A.; Ali, H.E.; Ahmed, H.A.; Sadeq, M.S. Influence NiO on the structure, elastic properties and buildup factor of BaO-CdO-borosilicate glasses. Phys. Scr. 2023, 98, 075937. [Google Scholar] [CrossRef]
- Amini, M.; Mousazade, Y.; Zand, Z.; Bagherzadeh, M.; Najafpour, M.M. Ultra-small and highly dispersive iron oxide hydroxide as an efficient catalyst for oxidation reactions: A Swiss-army-knife catalyst. Sci. Rep. 2021, 11, 6642. [Google Scholar] [CrossRef] [PubMed]
- Aoyagi, T.; Fujieda, T.; Toyama, T.; Kono, K.; Takamatsu, D.; Hirano, T.; Naito, T.; Hayashi, Y.; Takizawa, H. Electrochemical properties and in-situ XAFS observation of Li2O-V2O5-P2O5-Fe2O3 quaternary-glass and crystallized-glass cathodes. J. Non-Cryst. Solids 2016, 453, 28–35. [Google Scholar] [CrossRef]
- Ibrahim, A.; Kubo, K.; Watanabe, S.; Shiba, S.; Khan, I.; Zhang, B.; Homonnay, Z.; Kuzmann, E.; Pavić, L.; Santić, A.; et al. Enhancement of electrical conductivity and thermal stability of Iron- or Tin- substituted vanadate glass and glass-ceramics nanocomposite to be applied as a high-performance cathode active material in sodium-ion batteries. J. Alloys Compd. 2023, 930, 167366. [Google Scholar] [CrossRef]
- Latif, C.; Negara, V.S.I.; Wongtepa, W.; Thamatkeng, P.; Zainuri, M.; Pratapa, S. Fe K-Edge X-ray absorption near-edge spectroscopy (XANES) and X-ray diffraction (XRD) analyses of LiFePO4 and its base materials. J. Phys. Conf. Ser. 2018, 985, 12021. [Google Scholar] [CrossRef]
- Li, W.; Li, F.; Yang, H.; Wu, X.; Zhang, P.; Shan, Y.; Sun, L. A bio-inspired coordination polymer as outstanding water oxidation catalyst via second coordination sphere engineering. Nat. Commun. 2019, 10, 5074. [Google Scholar] [CrossRef]
- Ibrahim, A.; Arita, Y.; Ali, A.S.; Khan, I.; Zhang, B.; Razum, M.; Pavić, L.; Santić, A.; Homonnay, Z.; Kuzmann, E.; et al. Impact of adding Fe ions on the local structure and electrochemical performance of P2O5-V2O5 glass and glass ceramics used as a cathode in LIBs. J. Phys. Chem. Solids 2023, 179, 111391. [Google Scholar] [CrossRef]
- Ismail, A.S.M.; Torregrosa, I.G.; Vollenbroek, J.C.; Folkertsma, L.; Bomer, J.G.; Haarman, T.; Ghiasi, M.; Schellhorn, M.; Nachtegaal, M.; Odijk, M.; et al. Detection of spontaneous FeOOH formation at the hematite/Ni (Fe)OOH interface during photoelectrochemical water splitting by operando X-ray absorption spectroscopy. ACS Catal. 2021, 19, 12324–12335. [Google Scholar] [CrossRef]
- Chang, G.; Zhou, Y.; Wang, J.; Zhang, H.; Yan, P.; Wu, H.B.; Yu, X.Y. Dynamic reconstructed RuO2/NiFeOOH with coherent interface for efficient seawater oxidation. Small 2023, 19, 2206768. [Google Scholar] [CrossRef] [PubMed]
- Wan, X.; Liu, Q.; Liu, J.; Liu, S.; Liu, X.; Zheng, L.; Shang, J.; Yu, R.; Shui, J. Iron atom-cluster interactions increase activity and improve durability in Fe-N-C fuel cells. Nat. Commun. 2022, 13, 2963. [Google Scholar] [CrossRef] [PubMed]
- Khan, I.; Zhang, B.; Matsuda, K.; Bingham, P.A.; Kitajou, A.; Inoishi, A.; Okada, S.; Yoshioka, S.; Nishida, T.; Homonnay, Z.; et al. Development of electrically conductive ZrO2-CaO-Fe2O3-V2O5 glass and glass-ceramics as a new cathode active material for Na-ion batteries with high performance. J. Alloys Compd. 2022, 899, 163309. [Google Scholar] [CrossRef]
- Zhao, S.; Wang, Y.; Dong, J.; He, C.T.; Yin, H.; An, P.; Zhao, K.; Zhang, X.; Gao, C.; Zhang, L.; et al. Ultrathin metal-organic framework nanosheets for electrocatalytic oxygen evolution. Energy 2016, 1, 16184. [Google Scholar] [CrossRef]
- Jia, C.; Zhen, C.; Yin, L.; Zhu, H.; Du, P.; Han, A.; Liu, G.; Cheng, H.M. Topologic transition-induced abundant undercoordinated Fe active sites in NiFeOOH for superior oxygen evolution. Nano Energy 2023, 106, 108044. [Google Scholar] [CrossRef]
- Pavlenko, V.; Khosravi, S.; Żółtowska, S.; Haruna, A.B.; Zahid, M.; Mansurov, Z.; Supiyeva, Z.; Galal, A.; Ozoemena, K.I.; Abbas, Q.; et al. A comprehensive review of template-assisted porous carbons: Modern preparation methods and advanced applications. Mater. Sci. Eng. R Rep. 2022, 149, 1006820. [Google Scholar] [CrossRef]
- Alothman, Z.A. A Review: Fundamental aspects of silicate mesoporous materials. Materials 2012, 5, 2874–2902. [Google Scholar] [CrossRef]
- Barsotti, E.; Tan, S.P.; Piri, M.; Chen, J.H. Capillary-condensation hysteresis in naturally-occurring nanoporous media. Fuel 2020, 263, 116441. [Google Scholar] [CrossRef]
- Blaker, C.; Muthmann, J.; Pasel, C.; Bathen, D. Characterization of activated carbon adsorbents -state of the art and novel approaches. A Chem. Bio. Eng. Rev. 2019, 6, 119–138. [Google Scholar] [CrossRef]
- Landi, S., Jr.; Segundo, I.R.; Freitas, E.; Vasilevskiy, M.; Carneiro, J.; Tavares, C.J. Use and misuse of the Kubelka-Munk function to obtain the band gap energy from diffuse reflectance measurements. Solid State Commun. 2022, 341, 114573. [Google Scholar] [CrossRef]
- Tauc, J.; Grigorovici, R.; Vancu, A. Optical properties and electronic structure of amorphous germanium. Phys. Status Solidi 1966, 15, 627–637. [Google Scholar] [CrossRef]
- Sherman, D.M.; Waite, T.D. Electronic spectra of Fe3+ oxides and oxide hydroxide in the near IR to near UV. Am. Miner. 1985, 70, 1262–1269. [Google Scholar]
- Arunachalam, M.; Lee, D.G.; Das, P.K.; Subhash, K.R.; Ahn, K.S.; Kang, S.H. Surface engineering of Ba-doped TiO2 nanorods by Bi2O3 passivation and (NiFe)OOH Co-catalyst layers for efficient and stable solar water oxidation. Int. J. Hydrogen Energy 2022, 47, 40920–40931. [Google Scholar] [CrossRef]
- Vijaya, K.P.; Jafar, A.A.; Karthikeyan, M. Synthesis and characterization of NiO nanoparticles by chemical as well as green routes and their comparisons with respect to cytotoxic effect and toxicity studies in microbial and MCF-7 cancer cell models. SN Appl. Sci. 2019, 1, 1083. [Google Scholar] [CrossRef]
- Schumacher, B.; Bach, H.; Spitzer, P.; Obrzut, J. Electrical properties. In Springer Handbook of Materials Measurement Methods; Springer: Berlin/Heidelberg, Germany, 2011; pp. 431–484. [Google Scholar] [CrossRef]
- Zhou, L.; Huang, Z.H.; Kang, F.; Lv, R. Bimetallic substrate induction synthesis of binder-free electrocatalysts for stable seawater oxidation at industrial current densities. Chem. Eng. J. 2023, 458, 141457. [Google Scholar] [CrossRef]
- Wang, H.; Peng, L.; Li, G.; Zhang, W.; Liang, Z.; Zhao, H.; An, T. Photocatalytic ozonation inactivation of bioaerosols by NiFeOOH nanosheets in situ grown on nickel foam. Appl. Catal. B Environ. 2023, 324, 122273. [Google Scholar] [CrossRef]
- Guskos, N.; Papadopoulos, G.J.; Likodimos, V.; Patapis, S.; Yarmis, D.; Przepiera, A.; Przepiera, K.; Majszczyk, J.; Typek, J.; Wabia, M.; et al. Photoacoustic, EPR and electrical conductivity investigations of three synthetic mineral pigments: Hematite, goethite and magnetite. Mater. Res. Bull. 2002, 37, 1051–1061. [Google Scholar] [CrossRef]
- Pavić, L.; Skoko, Ž.; Gajović, A.; Su, D.; Milanković, A.M. Electrical transport in iron phosphate glass-ceramics. J. Non-Cryst. Solids 2018, 502, 44–53. [Google Scholar] [CrossRef]
- Šantić, A.; Banhatti, R.D.; Pavić, L.; Ertap, H.; Yüksek, M.; Karabulut, M.; Milanković, A.M. Polaronic transport in iron phosphate glasses containing HfO2 and CeO2. Phys. Chem. Chem. Phys. 2017, 19, 3999–4009. [Google Scholar] [CrossRef]
- Milanković, A.M.; Pavić, L.; Ertap, H.; Karabulut, M. Polaronic mobility in boron doped iron phosphate glasses: Influence of structural disorder on summerfield scaling. J. Am. Ceram. Soc. 2012, 95, 2007–2014. [Google Scholar] [CrossRef]
- Pavić, L.; Sklepić, K.; Skoko, Z.; Tricot, G.; Mosner, P.; Koudelka, L.; Milanković, A.M. Ionic conductivity of lithium germanium phosphate glass-ceramics. J. Phys. Chem. C 2019, 123, 23312–23322. [Google Scholar] [CrossRef]
- Alexandrov, V.; Rosso, K.M. Electron transport in pure and substituted iron oxyhydroxides by small-polaron migration. J. Chem. Phys. 2014, 140, 234701. [Google Scholar] [CrossRef] [PubMed]
- Porter, I.J.; Cushing, S.K.; Carneiro, L.M.; Lee, A.; Ondry, J.C.; Dahl, J.C.; Chang, H.T.; Alivisatos, A.P.; Leone, S.R. Photoexcited small polaron formation in goethite (α-FeOOH) nanorods probed by transient extreme ultraviolet spectroscopy. J. Phys. Chem. Lett. 2018, 9, 4120–4124. [Google Scholar] [CrossRef] [PubMed]
- Su, N.; Sun, M.; Wang, Q.; Jin, J.; Sui, J.; Liu, C.; Gao, C. Pressure-induced mixed protonic-electronic to pure electronic conduction transition in goethite. J. Phys. Chem. C 2021, 125, 2713–2718. [Google Scholar] [CrossRef]
- Beda, A.; Vaulot, C.; Rabuel, F.; Morcrette, M.; Ghimbeu, C.M. The role of specific and active surface areas in optimizing hard carbon irreversible capacity loss in sodium ion batteries. Energy Adv. 2022, 1, 185–190. [Google Scholar] [CrossRef]
- Wrogemann, M.; Fromm, O.; Deckwirth, F.; Beltrop, K.; Heckmann, A.; Winter, M.; Placke, T. Impact of degree of graphitization, surface properties and particle size distribution on electrochemical performance of carbon anodes for potassium-ion batteries. Batter. Supercaps. 2022, 5, e202200045. [Google Scholar] [CrossRef]















| Sample | Major Crystalline Phase | Lattice Parameters (Å) | V (Å3) | FWHM (110) (Deg.) | d100 (Å) | Space Group | % of Constituent Phases | |||||
|---|---|---|---|---|---|---|---|---|---|---|---|---|
| (Å) | (Degree) | |||||||||||
| a | b | c | α | β | γ | |||||||
| Ni0 | FeOOH | 4.6215 | 9.9585 | 3.0249 | 90 | 90 | 90 | 143 (17) | 0.587 (7) | 4.1945 (4) | Pbnm | 100 |
| Ni5 | FeOOH | 4.6223 (1) | 9.9565 (1) | 3.0260 (1) | 90 | 90 | 90 | 148 (19) | 0.570 (7) | 4.1957 (4) | Pbnm | 100 |
| Ni10 | FeOOH | 4.6255 (1) | 9.9834 (2) | 3.0273 (1) | 90 | 90 | 90 | 148 (2) | 0.572 (8) | 4.1985 (5) | Pbnm | 100 |
| Ni15 | FeOOH | 4.6255 (1) | 9.9999 (3) | 3.0289 (1) | 90 | 90 | 90 | 159 (4) | 0.530 (13) | 4.206 (2) | Pnma | 100 |
| Ni20 | FeOOH | 4.6240 (1) | 9.9815 (2) | 3.0287 (1) | 90 | 90 | 90 | 194 (3) | 0.436 (7) | 4.1945 (5) | Pnma | 100 |
| Ni30 | FeOOH | 4.6330 (1) | 9.9845 (2) | 3.0245 (1) | 90 | 90 | 90 | 168 (4) | 0.503 (12) | 4.184 (2) | Pnma | 92.37 |
| αNi(OH)2 | 3.2006 (1) | 3.2006 (1) | 23.456 (5) | 90 | 90 | 120 | - | - | - | R3m:H | 7.63 | |
| Ni40 | FeOOH | 4.6247 (1) | 9.9792 (2) | 3.0268 (1) | 90 | 90 | 90 | 183 (4) | 0.461 (11) | 4.199 (19) | Pnma | 91.93 |
| αNi(OH)2 | 3.1932 (1) | 3.1932 (1) | 23.445 (4) | 90 | 90 | 120 | - | - | - | R3m:H | 8.07 | |
| Ni50 | FeOOH | 4.6240 (1) | 9.9723 (2) | 3.0242 (1) | 90 | 90 | 90 | 173 (4) | 0.487 (12) | 4.199 (18) | Pnma | 90.65 |
| αNi(OH)2 | 3.0972 (1) | 3.0972 (1) | 23.972 (7) | 90 | 90 | 120 | - | - | - | R3m:H | 9.35 | |
| Sample | Component | A (%) | δ (mms−1) | Δ (mms−1) | Γ (mms−1) | Bhf (T) | Phase |
|---|---|---|---|---|---|---|---|
| Ni0 | sextet | 95.2 | 0.36 ± 0.01 | −0.26 ± 0.01 | 0.88 ± 0.01 | 32.95 | Goethite |
| doublet | 4.8 | 0.53 ± 0.01 | 1.73 ± 0.01 | 0.19 ± 0.01 | - | superparamagnetic | |
| Ni10 | sextet | 74.4 | 0.43 ± 0.01 | −0.26 ± 0.01 | 0.86 ± 0.01 | 28.23 | Goethite |
| doublet | 25.6 | 0.34 ± 0.01 | 0.71 ± 0.01 | 0.78 ± 0.02 | - | superparamagnetic | |
| Ni20 | sextet | 17.1 | 0.33 ± 0.11 | −0.13 ± 0.16 | 2.63 ± 0.28 | 27.84 | Goethite |
| doublet | 82.9 | 0.38 ± 0.01 | 0.65 ± 0.01 | 0.55 ± 0.01 | - | superparamagnetic | |
| Ni30 | sextet | 19.2 | 0.31 ± 0.06 | −0.10 ± 0.12 | 1.48 ± 0.17 | 27.16 | Goethite |
| doublet | 80.8 | 0.38 ± 0.01 | 0.64 ± 0.01 | 0.53 ± 0.01 | - | superparamagnetic | |
| Ni40 | doublet | 100 | 0.38 ± 0.01 | 0.62 ± 0.01 | 0.52 ± 0.01 | - | superparamagnetic |
| Ni50 | doublet | 100 | 0.38 ± 0.01 | 0.58 ± 0.01 | 0.49 ± 0.01 | - | superparamagnetic |
| Sample | Component | A (%) | δ (mms−1) | Δ (mms−1) | Γ (mms−1) | Bhf (T) | Phase |
|---|---|---|---|---|---|---|---|
| Ni20 | sextet | 2.61 | 0.25 ± 0.01 | −0.10 ± 0.01 | 0.33 ± 0.26 | 27.72 | Goethite |
| doublet | 50.25 | 0.34 ± 0.01 | 0.84 ± 0.04 | 0.53 ± 0.01 | - | amorphous | |
| doublet | 47.14 | 0.33 ± 0.01 | 0.51 ± 0.02 | 0.42 ± 0.02 | - | Superparamagnetic | |
| Ni30 | sextet | 15.72 | 0.29 ± 0.01 | −0.14 ± 0.01 | 1.11 ± 0.21 | 27.08 | Goethite |
| doublet | 51.81 | 0.33 ± 0.01 | 0.79 ± 0.02 | 0.48 ± 0.01 | - | amorphous | |
| doublet | 32.46 | 0.33 ± 0.01 | 0.45 ± 0.01 | 0.37 ± 0.01 | - | Superparamagnetic | |
| Ni40 | doublet | 42.27 | 0.33 ± 0.01 | 0.85 ± 0.03 | 0.46 ± 0.01 | - | amorphous |
| doublet | 57.73 | 0.33 ± 0.01 | 0.48 ± 0.01 | 0.37 ± 0.01 | - | Superparamagnetic | |
| Ni50 | doublet | 39.45 | 0.33 ± 0.01 | 0.84 ± 0.02 | 0.44 ± 0.01 | - | amorphous |
| doublet | 60.55 | 0.33 ± 0.01 | 0.47 ± 0.01 | 0.35 ± 0.01 | - | Superparamagnetic |
| Sample | Ave. Length (nm) | Ave. Width (nm) | Ave. Ratio (Length/Width) |
|---|---|---|---|
| Ni0 | 181 ± 83 [14] | 21.6 ± 6.6 [14] | 9.6 ± 6.5 [14] |
| Ni10 | 141 ± 54 | 33.2 ± 11.2 | 4.6 ± 2.0 |
| Ni20 | 263 ± 179 | 42.9 ± 13.9 | 6.3 ± 3.6 |
| Sample | BET SSA (m2 g−1) | Pore Diameter (nm) | Pore Volume (cm3 g−1) | Bandgap (eV) | k/10−3 min−1 |
|---|---|---|---|---|---|
| Ni0 | 45.1 | 2.51 | 0.60 | 2.71 | 6.2 ± 0.1 |
| Ni5 | 59.9 | 2.51 | 0.59 | 2.65 | 7.6 ± 0.1 |
| Ni10 | 73.9 | 2.51 | 0.51 | 2.55 | 14.6 ± 0.6 |
| Ni15 | 135 | 1.99 | 0.39 | 2.43 | 3.3 ± 0.1 |
| Ni20 | 174.0 | 1.99 | 0.44 | 2.47 | 3.2 ± 0.1 |
| Ni30 | 145.0 | 2.24 | 0.19 | 2.06 | 2.8 ± 0.1 |
| Ni40 | 96.3 | 2.24 | 0.11 | 2.13 | 5.6 ± 0.1 |
| Ni50 | 117.3 | 3.88 | 0.15 | 2.15 | 3.95 ± 0.2 |
| Glass | σDC a/ (Ω cm)−1 | EDC/kJmol−1 | /(Ω cm)−1 |
|---|---|---|---|
| Ni10 | 5.52 × 10−10 | 73.0 | 1.42 |
| Ni20 | 1.82 × 10−10 | 80.4 | 1.99 |
| Ni30 | 3.56 × 10−11 | 82.1 | 1.55 |
| Ni40 | 1.41 × 10−11 | 82.5 | 1.22 |
| Ni50 | 5.30 × 10−12 | 80.5 | 0.39 |
| Sample | 5 mAh g−1 | 50 mA mAh g−1 | ||
|---|---|---|---|---|
| Discharge Capacity (mAh g−1) | Capacity Retention (%) | Discharge Capacity (mAh g−1) | Capacity Retention (%) | |
| Ni0 | 1069 | 0.4 | 333 | 20.3 |
| Ni10 | 363 | 7.4 | 350 | 12.4 |
| Ni20 | 271 | 0.4 | 494 | 9.6 |
| Ni30 | 250 | 0.9 | - | - |
| Sample | 5 mAh g−1 | 50 mA mAh g−1 | ||
|---|---|---|---|---|
| Discharge Capacity (mAh g−1) | Capacity Retention (%) | Discharge Capacity (mAh g−1) | Capacity Retention (%) | |
| Ni0 | 110 | 31.7 | - | - |
| Ni10 | 116 | 21.6 | - | - |
| Ni20 | 223 | 12.7 | 107 | 49.4 |
| Ni30 | 189 | 21.3 | 101 | 45.8 |
| Ni50 | 202 | 27.7 | 95 | 37.6 |
| Sample Code | [Fe] (mol L−1) | [Ni] (mol L−1) | |
|---|---|---|---|
| Ni0 | 0.100 | 0 | 0 |
| Ni5 | 0.095 | 0.005 | 5 |
| Ni10 | 0.090 | 0.010 | 10 |
| Ni15 | 0.085 | 0.015 | 15 |
| Ni20 | 0.080 | 0.020 | 20 |
| Ni30 | 0.070 | 0.030 | 30 |
| Ni40 | 0.060 | 0.040 | 40 |
| Ni50 | 0.050 | 0.050 | 50 |
Disclaimer/Publisher’s Note: The statements, opinions and data contained in all publications are solely those of the individual author(s) and contributor(s) and not of MDPI and/or the editor(s). MDPI and/or the editor(s) disclaim responsibility for any injury to people or property resulting from any ideas, methods, instructions or products referred to in the content. |
© 2023 by the authors. Licensee MDPI, Basel, Switzerland. This article is an open access article distributed under the terms and conditions of the Creative Commons Attribution (CC BY) license (https://creativecommons.org/licenses/by/4.0/).
Share and Cite
Ibrahim, A.; Shiraishi, M.; Homonnay, Z.; Krehula, S.; Marciuš, M.; Bafti, A.; Pavić, L.; Kubuki, S. Photocatalytic and Cathode Active Abilities of Ni-Substituted α-FeOOH Nanoparticles. Int. J. Mol. Sci. 2023, 24, 14300. https://doi.org/10.3390/ijms241814300
Ibrahim A, Shiraishi M, Homonnay Z, Krehula S, Marciuš M, Bafti A, Pavić L, Kubuki S. Photocatalytic and Cathode Active Abilities of Ni-Substituted α-FeOOH Nanoparticles. International Journal of Molecular Sciences. 2023; 24(18):14300. https://doi.org/10.3390/ijms241814300
Chicago/Turabian StyleIbrahim, Ahmed, Mikan Shiraishi, Zoltán Homonnay, Stjepko Krehula, Marijan Marciuš, Arijeta Bafti, Luka Pavić, and Shiro Kubuki. 2023. "Photocatalytic and Cathode Active Abilities of Ni-Substituted α-FeOOH Nanoparticles" International Journal of Molecular Sciences 24, no. 18: 14300. https://doi.org/10.3390/ijms241814300
APA StyleIbrahim, A., Shiraishi, M., Homonnay, Z., Krehula, S., Marciuš, M., Bafti, A., Pavić, L., & Kubuki, S. (2023). Photocatalytic and Cathode Active Abilities of Ni-Substituted α-FeOOH Nanoparticles. International Journal of Molecular Sciences, 24(18), 14300. https://doi.org/10.3390/ijms241814300

