The Biocompatibility Analysis of Artificial Mucin-Like Glycopolymers
Abstract
1. Introduction
2. Results
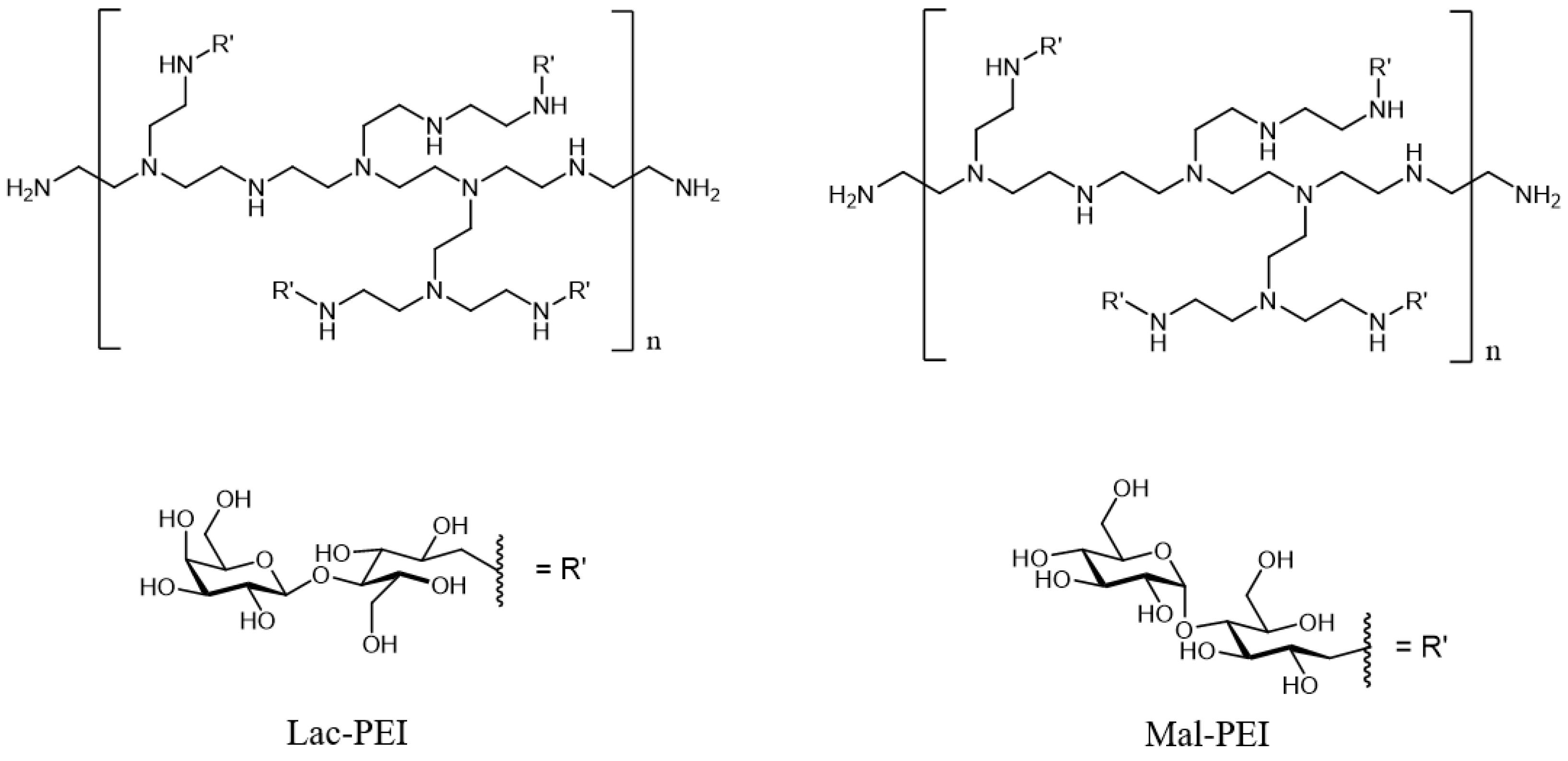
2.1. Synthesis and Characterization of Glycopolymers
2.2. Cytotoxicity/Viability Tests
2.3. Determination of the Metabolic Activity
2.4. Live/Dead Assay
2.5. Proliferation Analysis
2.6. Analysis of Epithelial Markers
3. Discussion
4. Materials and Methods
4.1. Materials and Methods for Artificial Glycopolymer Synthesis
4.2. Synthesis of Glycopolymers
4.3. Phenol-Sulfuric Acid Assay for Determination of the Sugar Content of Glycosylated PEI
4.4. Cell Culture
4.5. Cytotoxicity/Viability Tests
4.6. Determination of Metabolic Activity
4.7. Live/Dead Assay
4.8. Immunocytochemistry
4.9. Statistical Analysis
Supplementary Materials
Author Contributions
Funding
Institutional Review Board Statement
Informed Consent Statement
Data Availability Statement
Acknowledgments
Conflicts of Interest
References
- Tan, D.T.; Pullum, K.W.; Buckley, R.J. Medical applications of scleral contact lenses: 1. A retrospective analysis of 343 cases. Cornea 1995, 14, 121–129. [Google Scholar] [CrossRef]
- Tan, D.T.; Pullum, K.W.; Buckley, R.J. Medical applications of scleral contact lenses: 2. Gas-permeable scleral contact lenses. Cornea 1995, 14, 130–137. [Google Scholar] [CrossRef]
- Pullum, K.W.; Whiting, M.A.; Buckley, R.J. Scleral contact lenses: The expanding role. Cornea 2005, 24, 269–277. [Google Scholar] [CrossRef]
- Foss, A.J.; Trodd, T.C.; Dart, J.K. Current indications for scleral contact lenses. CLAO J. 1994, 20, 115–118. [Google Scholar]
- Lim, P.; Ridges, R.; Jacobs, D.S.; Rosenthal, P. Treatment of persistent corneal epithelial defect with overnight wear of a prosthetic device for the ocular surface. Am. J. Ophthalmol. 2013, 156, 1095–1101. [Google Scholar] [CrossRef]
- Dumbleton, K.; Woods, C.A.; Jones, L.W.; Fonn, D. The impact of contemporary contact lenses on contact lens discontinuation. Eye Contact Lens 2013, 39, 93–99. [Google Scholar] [CrossRef]
- Qian, L.; Wei, W. Identified risk factors for dry eye syndrome: A systematic review and meta-analysis. PLoS ONE 2022, 17, e0271267. [Google Scholar] [CrossRef]
- Craig, J.P.; Willcox, M.D.P.; Argüeso, P.; Maissa, C.; Stahl, U.; Tomlinson, A.; Wang, J.; Yokoi, N.; Stapleton, F. Members of TFOS International Workshop on Contact Lens Discomfort The TFOS International Workshop on Contact Lens Discomfort: Report of the contact lens interactions with the tear film subcommittee. Invest. Ophthalmol. Vis. Sci. 2013, 54, TFOS123–56. [Google Scholar] [CrossRef]
- Chang, A.Y.; Purt, B. Biochemistry, Tear Film. In StatPearls; StatPearls Publishing: Treasure Island, FL, USA, 2022. [Google Scholar]
- Nichols, J.J.; King-Smith, P.E. Thickness of the pre- and post-contact lens tear film measured in vivo by interferometry. Investig. Ophthalmol. Vis. Sci. 2003, 44, 68–77. [Google Scholar] [CrossRef]
- Gipson, I.K.; Argüeso, P. Role of mucins in the function of the corneal and conjunctival epithelia. Int. Rev. Cytol. 2003, 231, 1–49. [Google Scholar]
- Desseyn, J.-L.; Tetaert, D.; Gouyer, V. Architecture of the large membrane-bound mucins. Gene 2008, 410, 215–222. [Google Scholar] [CrossRef]
- Authimoolam, S.P.; Dziubla, T.D. Biopolymeric mucin and synthetic polymer analogs: Their structure, function and role in biomedical applications. Polymers 2016, 8, 71. [Google Scholar] [CrossRef]
- Hill, H.D.; Reynolds, J.A.; Hill, R.L. Purification, composition, molecular weight, and subunit structure of ovine submaxillary mucin. J. Biol. Chem. 1977, 252, 3791–3798. [Google Scholar] [CrossRef]
- Thornton, D.J.; Rousseau, K.; McGuckin, M.A. Structure and function of the polymeric mucins in airways mucus. Annu. Rev. Physiol. 2008, 70, 459–486. [Google Scholar] [CrossRef]
- Kwan, C.-S.; Cerullo, A.R.; Braunschweig, A.B. Design and Synthesis of Mucin-Inspired Glycopolymers. ChemPlusChem 2020, 85, 2704–2721. [Google Scholar] [CrossRef]
- Miura, Y.; Hoshino, Y.; Seto, H. Glycopolymer Nanobiotechnology. Chem. Rev. 2016, 116, 1673–1692. [Google Scholar] [CrossRef]
- Davis, B.G.; Robinson, M.A. Drug delivery systems based on sugar-macromolecule conjugates. Curr. Opin. Drug Discov. Devel. 2002, 5, 279–288. [Google Scholar]
- Suriano, F.; Pratt, R.; Tan, J.P.K.; Wiradharma, N.; Nelson, A.; Yang, Y.-Y.; Dubois, P.; Hedrick, J.L. Synthesis of a family of amphiphilic glycopolymers via controlled ring-opening polymerization of functionalized cyclic carbonates and their application in drug delivery. Biomaterials 2010, 31, 2637–2645. [Google Scholar] [CrossRef]
- Zheng, C.; Guo, Q.; Wu, Z.; Sun, L.; Zhang, Z.; Li, C.; Zhang, X. Amphiphilic glycopolymer nanoparticles as vehicles for nasal delivery of peptides and proteins. Eur. J. Pharm. Sci. 2013, 49, 474–482. [Google Scholar] [CrossRef]
- Tang, J.S.J.; Smaczniak, A.D.; Tepper, L.; Rosencrantz, S.; Aleksanyan, M.; Dähne, L.; Rosencrantz, R.R. Glycopolymer Based LbL Multilayer Thin Films with Embedded Liposomes. Macromol. Biosci. 2022, 22, e2100461. [Google Scholar] [CrossRef]
- Guzman-Aranguez, A.; Argüeso, P. Structure and biological roles of mucin-type O-glycans at the ocular surface. Ocul. Surf. 2010, 8, 8–17. [Google Scholar] [CrossRef] [PubMed]
- Argueso, P.; Guzman-Aranguez, A. Inhibition of T-Synthase Promotes Endocytosis and Nanoparticle Uptake in Corneal Epithelial Cells. In Proceedings of the Annual Conference of the Society-for-Glycobiology, St. Pete Beach, FL, USA, 7–10 November 2010. [Google Scholar]
- Decher, G.; Hong, J.D.; Schmitt, J. Buildup of ultrathin multilayer films by a self-assembly process: III. Consecutively alternating adsorption of anionic and cationic polyelectrolytes on charged surfaces. Thin Solid Films 1992, 210–211, 831–835. [Google Scholar] [CrossRef]
- Silva, D.; Sousa, H.C.; de Gil, M.H.; Santos, L.F.; Moutinho, G.M.; Serro, A.P.; Saramago, B. Antibacterial layer-by-layer coatings to control drug release from soft contact lenses material. Int. J. Pharm. 2018, 553, 186–200. [Google Scholar] [CrossRef] [PubMed]
- Peyratout, C.S.; Dähne, L. Tailor-made polyelectrolyte microcapsules: From multilayers to smart containers. Angew. Chem. Int. Ed. 2004, 43, 3762–3783. [Google Scholar] [CrossRef] [PubMed]
- Park, H.; Walta, S.; Rosencrantz, R.R.; Körner, A.; Schulte, C.; Elling, L.; Richtering, W.; Böker, A. Micelles from self-assembled double-hydrophilic PHEMA-glycopolymer-diblock copolymers as multivalent scaffolds for lectin binding. Polym. Chem. 2016, 7, 878–886. [Google Scholar] [CrossRef]
- Shi, D.; Ran, M.; Huang, H.; Zhang, L.; Li, X.; Chen, M.; Akashi, M. Preparation of glucose responsive polyelectrolyte capsules with shell crosslinking via the layer-by-layer technique and sustained release of insulin. Polym. Chem. 2016, 7, 6779–6788. [Google Scholar] [CrossRef]
- Böker, A.; Rosencrantz, R.R. Glycopolymers by RAFT Polymerization as Functional Surfaces for Galectin-3. Macromolecular 2019, 220, 1900293. [Google Scholar] [CrossRef]
- Babiuch, K.; Wyrwa, R.; Wagner, K.; Seemann, T.; Hoeppener, S.; Becer, C.R.; Linke, R.; Gottschaldt, M.; Weisser, J.; Schnabelrauch, M.; et al. Functionalized, biocompatible coating for superparamagnetic nanoparticles by controlled polymerization of a thioglycosidic monomer. Biomacromolecules 2011, 12, 681–691. [Google Scholar] [CrossRef]
- Fischer, D.; Bieber, T.; Li, Y.; Elsässer, H.P.; Kissel, T. A novel non-viral vector for DNA delivery based on low molecular weight, branched polyethylenimine: Effect of molecular weight on transfection efficiency and cytotoxicity. Pharm. Res. 1999, 16, 1273–1279. [Google Scholar] [CrossRef]
- Rusanov, A.L.; Luzgina, N.G.; Lisitsa, A.V. Sodium Dodecyl Sulfate Cytotoxicity towards HaCaT Keratinocytes: Comparative Analysis of Methods for Evaluation of Cell Viability. Bull. Exp. Biol. Med. 2017, 163, 284–288. [Google Scholar] [CrossRef]
- Bilalis, P.; Tziveleka, L.-A.; Varlas, S.; Iatrou, H. pH-Sensitive nanogates based on poly(l-histidine) for controlled drug release from mesoporous silica nanoparticles. Polym. Chem. 2016, 7, 1475–1485. [Google Scholar] [CrossRef]
- Iwasaki, T.; Tokuda, Y.; Kotake, A.; Okada, H.; Takeda, S.; Kawano, T.; Nakayama, Y. Cellular uptake and in vivo distribution of polyhistidine peptides. J. Control. Release 2015, 210, 115–124. [Google Scholar] [CrossRef] [PubMed]
- Yang, C.-J.; Nguyen, D.D.; Lai, J.-Y. Poly(l-Histidine)-Mediated on-Demand Therapeutic Delivery of Roughened Ceria Nanocages for Treatment of Chemical Eye Injury. Adv. Sci. 2023, e2302174. [Google Scholar] [CrossRef] [PubMed]
- Godbey, W.T.; Barry, M.A.; Saggau, P.; Wu, K.K.; Mikos, A.G. Poly(ethylenimine)-mediated transfection: A new paradigm for gene delivery. J. Biomed. Mater. Res. 2000, 51, 321–328. [Google Scholar] [CrossRef] [PubMed]
- Khansarizadeh, M.; Mokhtarzadeh, A.; Rashedinia, M.; Taghdisi, S.M.; Lari, P.; Abnous, K.H.; Ramezani, M. Identification of possible cytotoxicity mechanism of polyethylenimine by proteomics analysis. Hum. Exp. Toxicol. 2016, 35, 377–387. [Google Scholar] [CrossRef] [PubMed]
- Kafil, V.; Omidi, Y. Cytotoxic impacts of linear and branched polyethylenimine nanostructures in a431 cells. Bioimpacts 2011, 1, 23–30. [Google Scholar]
- Godbey, W.T.; Wu, K.K.; Mikos, A.G. Size matters: Molecular weight affects the efficiency of poly(ethylenimine) as a gene delivery vehicle. J. Biomed. Mater. Res. 1999, 45, 268–275. [Google Scholar] [CrossRef]
- Shi, S.; Guo, Q.; Kan, B.; Fu, S.; Wang, X.; Gong, C.; Deng, H.; Luo, F.; Zhao, X.; Wei, Y.; et al. A novel poly(epsilon-caprolactone)-pluronic-poly(epsilon-caprolactone) grafted polyethyleneimine(PCFC-g-PEI), Part 1, synthesis, cytotoxicity, and in vitro transfection study. BMC Biotechnol. 2009, 9, 65. [Google Scholar] [CrossRef][Green Version]
- Saqafi, B.; Rahbarizadeh, F. Effect of PEI surface modification with PEG on cytotoxicity and transfection efficiency. Micro Nano Lett. 2018, 13, 1090–1095. [Google Scholar] [CrossRef]
- Wong, E.H.H.; Khin, M.M.; Ravikumar, V.; Si, Z.; Rice, S.A.; Chan-Park, M.B. Modulating Antimicrobial Activity and Mammalian Cell Biocompatibility with Glucosamine-Functionalized Star Polymers. Biomacromolecules 2016, 17, 1170–1178. [Google Scholar] [CrossRef]
- Fischer, D.; Li, Y.; Ahlemeyer, B.; Krieglstein, J.; Kissel, T. In vitro cytotoxicity testing of polycations: Influence of polymer structure on cell viability and hemolysis. Biomaterials 2003, 24, 1121–1131. [Google Scholar] [CrossRef] [PubMed]
- Kim, S.-J.; Ise, H.; Goto, M.; Komura, K.; Cho, C.-S.; Akaike, T. Gene delivery system based on highly specific recognition of surface-vimentin with N-acetylglucosamine immobilized polyethylenimine. Biomaterials 2011, 32, 3471–3480. [Google Scholar] [CrossRef]
- Araki-Sasaki, K.; Ohashi, Y.; Sasabe, T.; Hayashi, K.; Watanabe, H.; Tano, Y.; Handa, H. An SV40-immortalized human corneal epithelial cell line and its characterization. Invest. Ophthalmol. Vis. Sci. 1995, 36, 614–621. [Google Scholar] [PubMed]
- Greco, D.; Vellonen, K.-S.; Turner, H.C.; Häkli, M.; Tervo, T.; Auvinen, P.; Wolosin, J.M.; Urtti, A. Gene expression analysis in SV-40 immortalized human corneal epithelial cells cultured with an air-liquid interface. Mol. Vis. 2010, 16, 2109–2120. [Google Scholar] [PubMed]
- Tang, J.S.J.; Rosencrantz, S.; Tepper, L.; Chea, S.; Klöpzig, S.; Krüger-Genge, A.; Storsberg, J.; Rosencrantz, R.R. Functional Glyco-Nanogels for Multivalent Interaction with Lectins. Molecules 2019, 24, 1865. [Google Scholar] [CrossRef] [PubMed]








| Glycopolymer | Mw [g/mol] | Mn [g/mol] | Đ | Sulfation Degree [Sulfate/Monomer Unit] | Sugar Content [wt%] |
|---|---|---|---|---|---|
| PGalNAcMAm | 89,000 | 4600 | 19 | — | — |
| PLacMAm-1 | 136,000 | 1900 | 72 | — | — |
| PLacMAm-2 | 43,000 | 1800 | 25 | — | — |
| S-Lac-1 | 199,000 | 9500 | 21 | 0.75 | — |
| S-Lac-2 | 116,000 | 3100 | 37 | 1.16 | — |
| S-Lac-3 | 90,000 | 4800 | 19 | 1.68 | — |
| Lac-PEI-1.8k | 7500 | 4500 | 1.7 | — | 12.3 |
| Lac-PEI-10k | 16,000 | 9000 | 1.7 | — | 14.6 |
| Lac-PEI-25k | 42,000 | 14,000 | 2.9 | — | 13.6 |
| Lac-PEI-750k | 4,830,000 | 20,000 | 242 | — | 16.2 |
| Mal-PEI-750k | 2400 | 1100 | 2.2 | — | 32.4 |
| Neutrally Charged Glycopolymers | |
|---|---|
| Poly(N-acetylgalactosamine methacrylamide) | PGalNAcMAm |
| Poly(lactose methacrylamide) | PLacMAm-1 |
| Poly(lactose methacrylamide) | PLacMAm-2 |
| Positively Charged Glycopolymers | |
| Lactose (Lac) functionalized PEI | Lac-PEI-1.8k |
| Lac functionalized PEI | Lac-PEI-10k |
| Lac functionalized PEI | Lac-PEI-25k |
| Lac functionalized PEI | Lac-PEI-750k |
| Maltose (Mal) functionalized PEI | Mal-PEI-750k |
| Negatively Charged Glycopolymers | |
| Sulfated Poly(lactose methacrylamide) | S-Lac-1 |
| Sulfated Poly(lactose methacrylamide) | S-Lac-2 |
| Sulfated Poly(lactose methacrylamide) | S-Lac-3 |
| N-Acetyl-D-galactosamine (GalNAc; ≥99%) | Carbosynth, Compton, UK |
| d-lactose monohydrate (Lac; ≥96%) | Carbosynth |
| Methacryloyl chloride (purum, dist., ≥97%) | Sigma-Aldrich, St. Louis, MO, USA |
| Polyethyleneimine solution (branched, 50 wt.%, average Mn 60,000 by GPC, average Mw 750,000 by LS) | Sigma-Aldrich |
| Silica gel (high purity grade, pore size 60 Å, N,N,-dimethylformamide (≥99%) | Sigma-Aldrich |
| 4,4′-azobis(4-cyanovaleric acid) (≥98%) | Sigma-Aldrich |
| Ammonium carbonate ((NH4)2CO3; ≥30.5% NH3, extra pure) | Carl Roth, Karlsruhe, Germany |
| Sodium carbonate (Na2CO3; ≥99%, anhydrous) | Carl Roth |
| Acetonitrile (ACN; ≥99.8%, for preparative HPLC) | Carl Roth |
| Methanol (MeOH; ≥98.8%) | VWR, Radnor, PA, USA |
| Deuterium oxide | VWR |
| Diethyl ether (Et2O; p. a.) | Chemsolute, Renningen, Germany |
| Tetrahydrofuran (THF) | Chemsolute |
| Chlorosulfonic acid (97%) | Acros Organics, Geel, Belgium |
| Lac-PEI-1.8k | Lac-PEI-10k | Lac-PEI-25k | Lac-PEI-750k | Mal-PEI-750k | |
|---|---|---|---|---|---|
| Lactose monohydrate per monomer unit | 8 equiv | 8 equiv | 8 equiv | 7 equiv | 7 equiv |
| NaCNBH3 per Lac | 5.0 equiv | 5.0 equiv | 5.0 equiv | 3.5 equiv | 3.5 equiv |
| Target Protein | Animal | Clone | Manufacturer | Catalog Number | Dilution |
|---|---|---|---|---|---|
| Ki-67 | Rabbit | Polyclonal | Abcam, Cambridge, UK | ab15580 | 1:100 |
| Pax6 | Rabbit | Polyclonal | Abcam | ab5790 | 1:50 |
| BCRP/ABCG2 | Mouse | BXP-21 | Abcam | ab3380 | 1:50 |
| Cy2 | Donkey | Polyclonal | Jackson ImmunoResearch, West Grove, PA, USA | 711-225-152 | 1:50 |
| Cy3 | Donkey | Polyclonal | Jackson ImmunoResearch | 715-165-151 | 1:100 |
Disclaimer/Publisher’s Note: The statements, opinions and data contained in all publications are solely those of the individual author(s) and contributor(s) and not of MDPI and/or the editor(s). MDPI and/or the editor(s) disclaim responsibility for any injury to people or property resulting from any ideas, methods, instructions or products referred to in the content. |
© 2023 by the authors. Licensee MDPI, Basel, Switzerland. This article is an open access article distributed under the terms and conditions of the Creative Commons Attribution (CC BY) license (https://creativecommons.org/licenses/by/4.0/).
Share and Cite
Trosan, P.; Tang, J.S.J.; Rosencrantz, R.R.; Daehne, L.; Smaczniak, A.D.; Staehlke, S.; Chea, S.; Fuchsluger, T.A. The Biocompatibility Analysis of Artificial Mucin-Like Glycopolymers. Int. J. Mol. Sci. 2023, 24, 14150. https://doi.org/10.3390/ijms241814150
Trosan P, Tang JSJ, Rosencrantz RR, Daehne L, Smaczniak AD, Staehlke S, Chea S, Fuchsluger TA. The Biocompatibility Analysis of Artificial Mucin-Like Glycopolymers. International Journal of Molecular Sciences. 2023; 24(18):14150. https://doi.org/10.3390/ijms241814150
Chicago/Turabian StyleTrosan, P., J. S. J. Tang, R. R. Rosencrantz, L. Daehne, A. Debrassi Smaczniak, S. Staehlke, S. Chea, and T. A. Fuchsluger. 2023. "The Biocompatibility Analysis of Artificial Mucin-Like Glycopolymers" International Journal of Molecular Sciences 24, no. 18: 14150. https://doi.org/10.3390/ijms241814150
APA StyleTrosan, P., Tang, J. S. J., Rosencrantz, R. R., Daehne, L., Smaczniak, A. D., Staehlke, S., Chea, S., & Fuchsluger, T. A. (2023). The Biocompatibility Analysis of Artificial Mucin-Like Glycopolymers. International Journal of Molecular Sciences, 24(18), 14150. https://doi.org/10.3390/ijms241814150

