The Single-Dose Application of Interleukin-4 Ameliorates Secondary Brain Damage in the Early Phase after Moderate Experimental Traumatic Brain Injury in Mice
Abstract
1. Introduction
2. Results
2.1. Histological Assessment
2.1.1. Lesion Volume
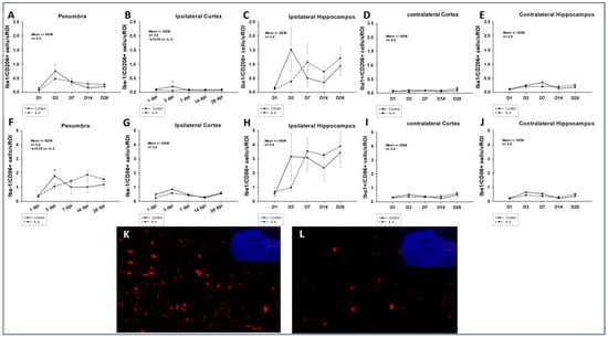
2.1.2. Macrophage Invasion
2.1.3. Astroglial Response
2.1.4. Neuronal Apoptosis
2.1.5. Myelinization
2.1.6. Oligodendroglial Regeneration
2.2. Functional Outcome
2.2.1. Body Weight
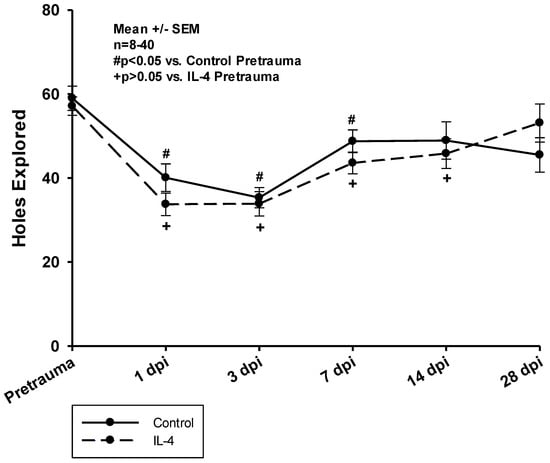
2.2.2. Hole Board
2.2.3. Video Open Field
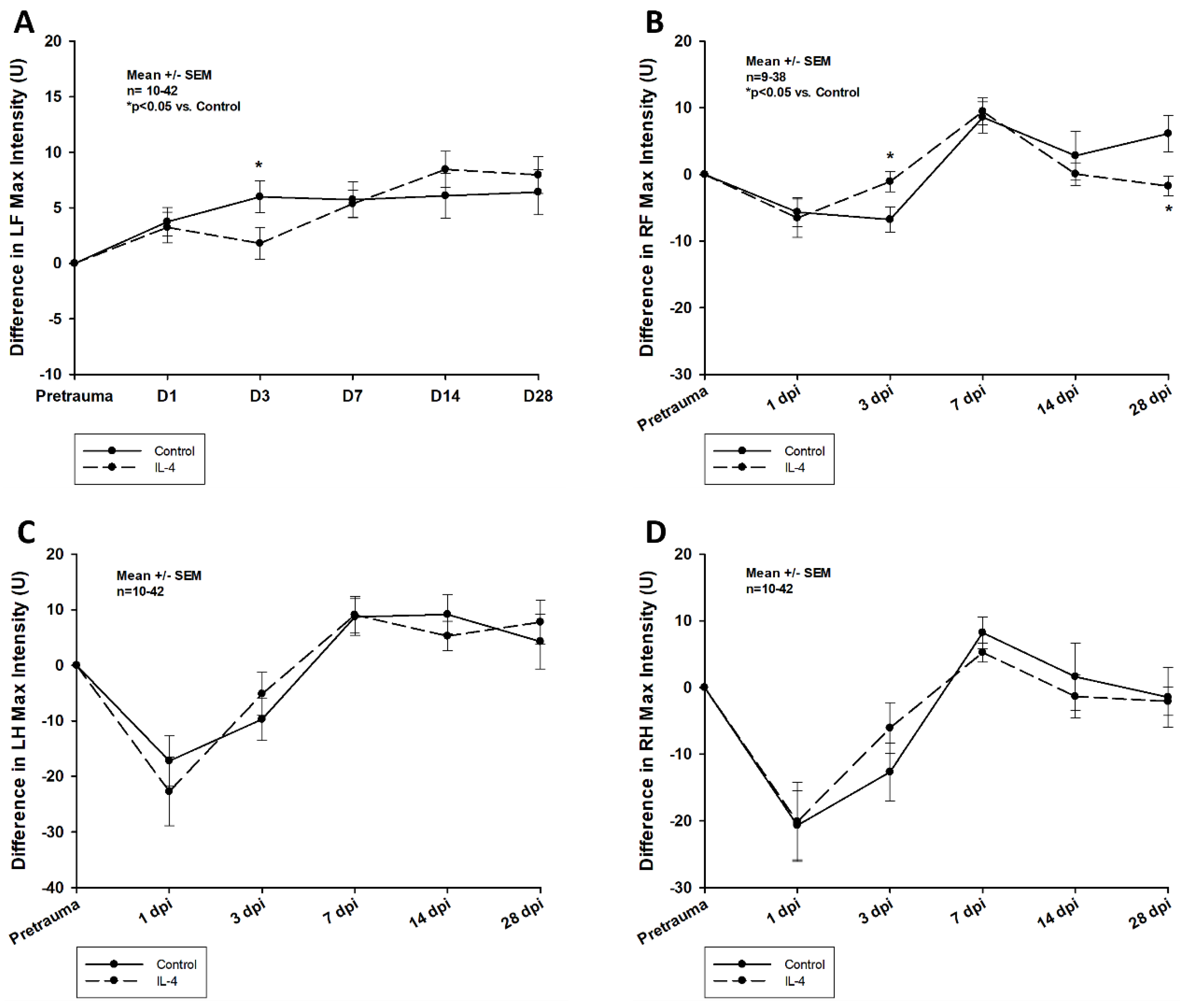
2.2.4. CatWalkXT®
3. Discussion
3.1. The Early Single-Dose Application of IL-4 Leads to a Significant Reduction in Lesion Volume
3.2. The Neuroprotective Effect of IL-4 Seems to Be Mediated by an Attenuation of the Inflammatory Response
3.3. The Single Dose IL-4 Treatment Did Not Improve Oligodendroglial Regeneration or Myelinization
3.4. The Effect of IL-4 on Structural Damage Is Greater Than on Neurological Function
3.5. Limitations
4. Materials and Methods
4.1. Animals
4.2. Controlled Cortical Impact (CCI)
4.3. Drug Administration
4.4. Histological Assessment
4.5. Determination of Lesion Size
4.6. Immunofluorescent Staining
4.7. Imaging Analysis
4.8. Functional Assessment
4.8.1. Hole Board (HB)
4.8.2. Video Open Field
4.8.3. CatWalkXT®
4.9. Data Analysis
5. Conclusions
Supplementary Materials
Author Contributions
Funding
Institutional Review Board Statement
Informed Consent Statement
Data Availability Statement
Conflicts of Interest
References
- Haarbauer-Krupa, J.; Pugh, M.J.; Prager, E.M.; Harmon, N.; Wolfe, J.; Yaffe, K. Epidemiology of Chronic Effects of Traumatic Brain Injury. J. Neurotrauma 2021, 38, 3235–3247. [Google Scholar] [CrossRef]
- Brazinova, A.; Rehorcikova, V.; Taylor, M.S.; Buckova, V.; Majdan, M.; Psota, M.; Peeters, W.; Feigin, V.; Theadom, A.; Holkovic, L.; et al. Epidemiology of Traumatic Brain Injury in Europe: A Living Systematic Review. J. Neurotrauma 2021, 38, 1411–1440. [Google Scholar] [CrossRef]
- Gardner, R.C.; Bahorik, A.; Kornblith, E.S.; Allen, I.E.; Plassman, B.L.; Yaffe, K. Systematic Review, Meta-Analysis, and Population Attributable Risk of Dementia Associated with Traumatic Brain Injury in Civilians and Veterans. J. Neurotrauma 2023, 40, 620–634. [Google Scholar] [CrossRef] [PubMed]
- Carney, N.; Totten, A.M.; O’Reilly, C.; Ullman, J.S.; Hawryluk, G.W.; Bell, M.J.; Bratton, S.L.; Chesnut, R.; Harris, O.A.; Kissoon, N.; et al. Guidelines for the Management of Severe Traumatic Brain Injury, Fourth Edition. Neurosurgery 2017, 80, 6–15. [Google Scholar] [CrossRef] [PubMed]
- Maas, A.I.; Murray, G.; Henney, H., 3rd; Kassem, N.; Legrand, V.; Mangelus, M.; Muizelaar, J.P.; Stocchetti, N.; Knoller, N.; on behalf of the Pharmos TBI investigators. Efficacy and safety of dexanabinol in severe traumatic brain injury: Results of a phase III randomised, placebo-controlled, clinical trial. Lancet Neurol. 2006, 5, 38–45. [Google Scholar] [CrossRef] [PubMed]
- Skolnick, B.E.; Maas, A.I.; Narayan, R.K.; van der Hoop, R.G.; MacAllister, T.; Ward, J.D.; Nelson, N.R.; Stocchetti, N.; Investigators, S.T. A clinical trial of progesterone for severe traumatic brain injury. N. Engl. J. Med. 2014, 371, 2467–2476. [Google Scholar] [CrossRef]
- Zafonte, R.D.; Bagiella, E.; Ansel, B.M.; Novack, T.A.; Friedewald, W.T.; Hesdorffer, D.C.; Timmons, S.D.; Jallo, J.; Eisenberg, H.; Hart, T.; et al. Effect of citicoline on functional and cognitive status among patients with traumatic brain injury: Citicoline Brain Injury Treatment Trial (COBRIT). JAMA 2012, 308, 1993–2000. [Google Scholar] [CrossRef] [PubMed]
- Unterberg, A.W.; Stover, J.; Kress, B.; Kiening, K.L. Edema and brain trauma. Neuroscience 2004, 129, 1021–1029. [Google Scholar] [CrossRef]
- Bourgeois-Tardif, S.; De Beaumont, L.; Rivera, J.C.; Chemtob, S.; Weil, A.G. Role of innate inflammation in traumatic brain injury. Neurol. Sci. 2021, 42, 1287–1299. [Google Scholar] [CrossRef]
- Jacquens, A.; Needham, E.J.; Zanier, E.R.; Degos, V.; Gressens, P.; Menon, D. Neuro-Inflammation Modulation and Post-Traumatic Brain Injury Lesions: From Bench to Bed-Side. Int. J. Mol. Sci. 2022, 23, 11193. [Google Scholar] [CrossRef]
- Plesnila, N. The immune system in traumatic brain injury. Curr. Opin. Pharmacol. 2016, 26, 110–117. [Google Scholar] [CrossRef] [PubMed]
- Lassaren, P.; Lindblad, C.; Frostell, A.; Carpenter, K.L.H.; Guilfoyle, M.R.; Hutchinson, P.J.A.; Helmy, A.; Thelin, E.P. Systemic inflammation alters the neuroinflammatory response: A prospective clinical trial in traumatic brain injury. J. Neuroinflamm. 2021, 18, 221. [Google Scholar] [CrossRef]
- Nizamutdinov, D.; Shapiro, L.A. Overview of Traumatic Brain Injury: An Immunological Context. Brain Sci. 2017, 7, 11. [Google Scholar] [CrossRef]
- Sanchez-Aguilar, M.; Tapia-Perez, J.H.; Sanchez-Rodriguez, J.J.; Vinas-Rios, J.M.; Martinez-Perez, P.; de la Cruz-Mendoza, E.; Sanchez-Reyna, M.; Torres-Corzo, J.G.; Gordillo-Moscoso, A. Effect of rosuvastatin on cytokines after traumatic head injury. J. Neurosurg. 2013, 118, 669–675. [Google Scholar] [CrossRef] [PubMed]
- Furman, J.L.; Sompol, P.; Kraner, S.D.; Pleiss, M.M.; Putman, E.J.; Dunkerson, J.; Mohmmad Abdul, H.; Roberts, K.N.; Scheff, S.W.; Norris, C.M. Blockade of Astrocytic Calcineurin/NFAT Signaling Helps to Normalize Hippocampal Synaptic Function and Plasticity in a Rat Model of Traumatic Brain Injury. J. Neurosci. 2016, 36, 1502–1515. [Google Scholar] [CrossRef] [PubMed]
- Perez-Polo, J.R.; Rea, H.C.; Johnson, K.M.; Parsley, M.A.; Unabia, G.C.; Xu, G.Y.; Prough, D.; DeWitt, D.S.; Paulucci-Holthauzen, A.A.; Werrbach-Perez, K.; et al. Inflammatory cytokine receptor blockade in a rodent model of mild traumatic brain injury. J. Neurosci. Res. 2016, 94, 27–38. [Google Scholar] [CrossRef] [PubMed]
- Helmy, A.; Guilfoyle, M.R.; Carpenter, K.L.H.; Pickard, J.D.; Menon, D.K.; Hutchinson, P.J. Recombinant human interleukin-1 receptor antagonist promotes M1 microglia biased cytokines and chemokines following human traumatic brain injury. J. Cereb. Blood Flow Metab. 2016, 36, 1434–1448. [Google Scholar] [CrossRef]
- Helmy, A.; Guilfoyle, M.R.; Carpenter, K.L.; Pickard, J.D.; Menon, D.K.; Hutchinson, P.J. Recombinant human interleukin-1 receptor antagonist in severe traumatic brain injury: A phase II randomized control trial. J. Cereb. Blood Flow Metab. 2014, 34, 845–851. [Google Scholar] [CrossRef]
- Rowe, R.K.; Harrison, J.L.; Zhang, H.; Bachstetter, A.D.; Hesson, D.P.; O’Hara, B.F.; Greene, M.I.; Lifshitz, J. Novel TNF receptor-1 inhibitors identified as potential therapeutic candidates for traumatic brain injury. J. Neuroinflamm. 2018, 15, 154. [Google Scholar] [CrossRef]
- Zhao, X.; Wang, H.; Sun, G.; Zhang, J.; Edwards, N.J.; Aronowski, J. Neuronal Interleukin-4 as a Modulator of Microglial Pathways and Ischemic Brain Damage. J. Neurosci. 2015, 35, 11281–11291. [Google Scholar] [CrossRef] [PubMed]
- Walsh, J.T.; Hendrix, S.; Boato, F.; Smirnov, I.; Zheng, J.; Lukens, J.R.; Gadani, S.; Hechler, D.; Golz, G.; Rosenberger, K.; et al. MHCII-independent CD4+ T cells protect injured CNS neurons via IL-4. J. Clin. Investig. 2015, 125, 699–714. [Google Scholar] [CrossRef] [PubMed]
- Fenn, A.M.; Hall, J.C.; Gensel, J.C.; Popovich, P.G.; Godbout, J.P. IL-4 signaling drives a unique arginase+/IL-1β+ microglia phenotype and recruits macrophages to the inflammatory CNS: Consequences of age-related deficits in IL-4Rα after traumatic spinal cord injury. J. Neurosci. 2014, 34, 8904–8917. [Google Scholar] [CrossRef] [PubMed]
- Pu, H.; Ma, C.; Zhao, Y.; Wang, Y.; Zhang, W.; Miao, W.; Yu, F.; Hu, X.; Shi, Y.; Leak, R.K.; et al. Intranasal delivery of interleukin-4 attenuates chronic cognitive deficits via beneficial microglial responses in experimental traumatic brain injury. J. Cereb. Blood Flow Metab. 2021, 41, 2870–2886. [Google Scholar] [CrossRef]
- Pu, H.; Zheng, X.; Jiang, X.; Mu, H.; Xu, F.; Zhu, W.; Ye, Q.; Jizhang, Y.; Hitchens, T.K.; Shi, Y.; et al. Interleukin-4 improves white matter integrity and functional recovery after murine traumatic brain injury via oligodendroglial PPARgamma. J. Cereb. Blood Flow Metab. 2021, 41, 511–529. [Google Scholar] [CrossRef]
- Enam, S.F.; Kader, S.R.; Bodkin, N.; Lyon, J.G.; Calhoun, M.; Azrak, C.; Tiwari, P.M.; Vanover, D.; Wang, H.; Santangelo, P.J.; et al. Evaluation of M2-like macrophage enrichment after diffuse traumatic brain injury through transient interleukin-4 expression from engineered mesenchymal stromal cells. J. Neuroinflamm. 2020, 17, 197. [Google Scholar] [CrossRef]
- Walter, J.; Kovalenko, O.; Younsi, A.; Grutza, M.; Unterberg, A.; Zweckberger, K. Interleukin-4 Reduces Lesion Volume and Improves Neurological Function in the Acute Phase after Experimental Traumatic Brain Injury in Mice. J. Neurotrauma 2022, 39, 1262–1272. [Google Scholar] [CrossRef]
- Garg, S.K.; Kipnis, J.; Banerjee, R. IFN-γ and IL-4 differentially shape metabolic responses and neuroprotective phenotype of astrocytes. J. Neurochem. 2009, 108, 1155–1166. [Google Scholar] [CrossRef]
- Butovsky, O.; Ziv, Y.; Schwartz, A.; Landa, G.; Talpalar, A.E.; Pluchino, S.; Martino, G.; Schwartz, M. Microglia activated by IL-4 or IFN-γ differentially induce neurogenesis and oligodendrogenesis from adult stem/progenitor cells. Mol. Cell. Neurosci. 2006, 31, 149–160. [Google Scholar] [CrossRef]
- Gadani, S.P.; Cronk, J.C.; Norris, G.T.; Kipnis, J. IL-4 in the brain: A cytokine to remember. J. Immunol. 2012, 189, 4213–4219. [Google Scholar] [CrossRef]
- Derecki, N.C.; Cardani, A.N.; Yang, C.H.; Quinnies, K.M.; Crihfield, A.; Lynch, K.R.; Kipnis, J. Regulation of learning and memory by meningeal immunity: A key role for IL-4. J. Exp. Med. 2010, 207, 1067–1080. [Google Scholar] [CrossRef]
- Guillen, J. FELASA guidelines and recommendations. J. Am. Assoc. Lab. Anim. Sci. 2012, 51, 311–321. [Google Scholar] [PubMed]
- Hertle, D.; Beynon, C.; Zweckberger, K.; Vienenkotter, B.; Jung, C.S.; Kiening, K.; Unterberg, A.; Sakowitz, O.W. Influence of isoflurane on neuronal death and outcome in a rat model of traumatic brain injury. In Intracranial Pressure and Brain Monitoring XIV; Part of the Acta Neurochirurgica Supplementum Book Series (NEUROCHIRURGICA); Springer: Vienna, Italy, 2012; Volume 114, pp. 383–386. [Google Scholar] [CrossRef]
- Terpolilli, N.A.; Zweckberger, K.; Trabold, R.; Schilling, L.; Schinzel, R.; Tegtmeier, F.; Plesnila, N. The novel nitric oxide synthase inhibitor 4-amino-tetrahydro-L-biopterine prevents brain edema formation and intracranial hypertension following traumatic brain injury in mice. J. Neurotrauma 2009, 26, 1963–1975. [Google Scholar] [CrossRef] [PubMed]
- Walter, J.; Kovalenko, O.; Younsi, A.; Grutza, M.; Unterberg, A.; Zweckberger, K. The CatWalk XT® is a valid tool for objective assessment of motor function in the acute phase after controlled cortical impact in mice. Behav. Brain Res. 2020, 392, 112680. [Google Scholar] [CrossRef] [PubMed]
- Walter, J.; Mende, J.; Hutagalung, S.; Grutza, M.; Younsi, A.; Zheng, G.; Unterberg, A.W.; Zweckberger, K. Focal lesion size poorly correlates with motor function after experimental traumatic brain injury in mice. PLoS ONE 2022, 17, e0265448. [Google Scholar] [CrossRef] [PubMed]
- Zweckberger, K.; Eros, C.; Zimmermann, R.; Kim, S.W.; Engel, D.; Plesnila, N. Effect of early and delayed decompressive craniectomy on secondary brain damage after controlled cortical impact in mice. J. Neurotrauma 2006, 23, 1083–1093. [Google Scholar] [CrossRef]
- Zweckberger, K.; Hackenberg, K.; Jung, C.S.; Hertle, D.N.; Kiening, K.L.; Unterberg, A.W.; Sakowitz, O.W. Glibenclamide reduces secondary brain damage after experimental traumatic brain injury. Neuroscience 2014, 272, 199–206. [Google Scholar] [CrossRef]
- Zweckberger, K.; Plesnila, N. Anatibant, a selective non-peptide bradykinin B2 receptor antagonist, reduces intracranial hypertension and histopathological damage after experimental traumatic brain injury. Neurosci. Lett. 2009, 454, 115–117. [Google Scholar] [CrossRef]
- Zweckberger, K.; Simunovic, F.; Kiening, K.L.; Unterberg, A.W.; Sakowitz, O.W. Effects of lisuride hydrogen maleate on pericontusional tissue metabolism, brain edema formation, and contusion volume development after experimental traumatic brain injury in rats. Neurosci. Lett. 2011, 499, 189–193. [Google Scholar] [CrossRef] [PubMed]
- Zweckberger, K.; Stoffel, M.; Baethmann, A.; Plesnila, N. Effect of decompression craniotomy on increase of contusion volume and functional outcome after controlled cortical impact in mice. J. Neurotrauma 2003, 20, 1307–1314. [Google Scholar] [CrossRef]
- Berg, S.; Kutra, D.; Kroeger, T.; Straehle, C.N.; Kausler, B.X.; Haubold, C.; Schiegg, M.; Ales, J.; Beier, T.; Rudy, M.; et al. ilastik: Interactive machine learning for (bio)image analysis. Nat. Methods 2019, 16, 1226–1232. [Google Scholar] [CrossRef]
- Chaves, E.M.C.; Honorio-Junior, J.E.R.; Sousa, C.N.S.; Monteiro, V.S.; Nonato, D.T.T.; Dantas, L.P.; Lucio, A.; Barbosa-Filho, J.M.; Patrocinio, M.C.A.; Viana, G.S.B.; et al. The anxiolytic-like effect of 6-styryl-2-pyrone in mice involves GABAergic mechanism of action. Metab. Brain Dis. 2018, 33, 139–149. [Google Scholar] [CrossRef] [PubMed]
- Castillo-Hernandez, J.C.; Velazquez-Moyado, J.A.; Reyes-Ramirez, A.; Ramirez-Lopez, E.G.; Gonzalez-Andrade, M.; Navarrete, A. Effect of N-Benzylpiperazine, Its Metabolite N-Benzylethylenediamine, and Its Disubstituted Analogue N,N′-Dibenzylpiperazine on the Acquisition, Formation, and Consolidation of Memory in Mice. Pharmacology 2017, 99, 268–274. [Google Scholar] [CrossRef]
- Abreu, T.M.; Monteiro, V.S.; Martins, A.B.S.; Teles, F.B.; da Conceicao Rivanor, R.L.; Mota, E.F.; Macedo, D.S.; de Vasconcelos, S.M.M.; Junior, J.; Benevides, N.M.B. Involvement of the dopaminergic system in the antidepressant-like effect of the lectin isolated from the red marine alga Solieria filiformis in mice. Int. J. Biol. Macromol. 2018, 111, 534–541. [Google Scholar] [CrossRef]
- Missault, S.; Anckaerts, C.; Blockx, I.; Deleye, S.; Van Dam, D.; Barriche, N.; De Pauw, G.; Aertgeerts, S.; Valkenburg, F.; De Deyn, P.P.; et al. Neuroimaging of Subacute Brain Inflammation and Microstructural Changes Predicts Long-Term Functional Outcome after Experimental Traumatic Brain Injury. J. Neurotrauma 2019, 36, 768–788. [Google Scholar] [CrossRef] [PubMed]
- Yuskaitis, C.J.; Rossitto, L.A.; Gurnani, S.; Bainbridge, E.; Poduri, A.; Sahin, M. Chronic mTORC1 inhibition rescues behavioral and biochemical deficits resulting from neuronal Depdc5 loss in mice. Hum. Mol. Genet. 2019, 28, 2952–2964. [Google Scholar] [CrossRef]
- Zheng, G.; Zhang, H.; Tail, M.; Wang, H.; Walter, J.; Skutella, T.; Unterberg, A.; Zweckberger, K.; Younsi, A. Assessment of hindlimb motor recovery after severe thoracic spinal cord injury in rats: Classification of CatWalk XT® gait analysis parameters. Neural Regen. Res. 2023, 18, 1084–1089. [Google Scholar] [CrossRef]
- Chiang, C.Y.; Sheu, M.L.; Cheng, F.C.; Chen, C.J.; Su, H.L.; Sheehan, J.; Pan, H.C. Comprehensive analysis of neurobehavior associated with histomorphological alterations in a chronic constrictive nerve injury model through use of the CatWalk XT system. J. Neurosurg. 2014, 120, 250–262. [Google Scholar] [CrossRef]
- Haas, D.; Hauptstein, N.; Dirauf, M.; Driessen, M.D.; Ruopp, M.; Schubert, U.S.; Luhmann, T.; Meinel, L. Chemo-Enzymatic PEGylation/POxylation of Murine Interleukin-4. Bioconjug. Chem. 2022, 33, 97–104. [Google Scholar] [CrossRef]







Disclaimer/Publisher’s Note: The statements, opinions and data contained in all publications are solely those of the individual author(s) and contributor(s) and not of MDPI and/or the editor(s). MDPI and/or the editor(s) disclaim responsibility for any injury to people or property resulting from any ideas, methods, instructions or products referred to in the content. |
© 2023 by the authors. Licensee MDPI, Basel, Switzerland. This article is an open access article distributed under the terms and conditions of the Creative Commons Attribution (CC BY) license (https://creativecommons.org/licenses/by/4.0/).
Share and Cite
Walter, J.; Mende, J.; Hutagalung, S.; Alhalabi, O.T.; Grutza, M.; Zheng, G.; Skutella, T.; Unterberg, A.; Zweckberger, K.; Younsi, A. The Single-Dose Application of Interleukin-4 Ameliorates Secondary Brain Damage in the Early Phase after Moderate Experimental Traumatic Brain Injury in Mice. Int. J. Mol. Sci. 2023, 24, 12756. https://doi.org/10.3390/ijms241612756
Walter J, Mende J, Hutagalung S, Alhalabi OT, Grutza M, Zheng G, Skutella T, Unterberg A, Zweckberger K, Younsi A. The Single-Dose Application of Interleukin-4 Ameliorates Secondary Brain Damage in the Early Phase after Moderate Experimental Traumatic Brain Injury in Mice. International Journal of Molecular Sciences. 2023; 24(16):12756. https://doi.org/10.3390/ijms241612756
Chicago/Turabian StyleWalter, Johannes, Jannis Mende, Samuel Hutagalung, Obada T. Alhalabi, Martin Grutza, Guoli Zheng, Thomas Skutella, Andreas Unterberg, Klaus Zweckberger, and Alexander Younsi. 2023. "The Single-Dose Application of Interleukin-4 Ameliorates Secondary Brain Damage in the Early Phase after Moderate Experimental Traumatic Brain Injury in Mice" International Journal of Molecular Sciences 24, no. 16: 12756. https://doi.org/10.3390/ijms241612756
APA StyleWalter, J., Mende, J., Hutagalung, S., Alhalabi, O. T., Grutza, M., Zheng, G., Skutella, T., Unterberg, A., Zweckberger, K., & Younsi, A. (2023). The Single-Dose Application of Interleukin-4 Ameliorates Secondary Brain Damage in the Early Phase after Moderate Experimental Traumatic Brain Injury in Mice. International Journal of Molecular Sciences, 24(16), 12756. https://doi.org/10.3390/ijms241612756

