Stringent Response Factor DksA Contributes to Fatty Acid Degradation Function to Influence Cell Membrane Stability and Polymyxin B Resistance of Yersinia enterocolitica
Abstract
1. Introduction
2. Results
2.1. DksA Positively Regulated the Expression Level of Genes Related to the Fatty Acid Degradation Pathway in Y. enterocolitica
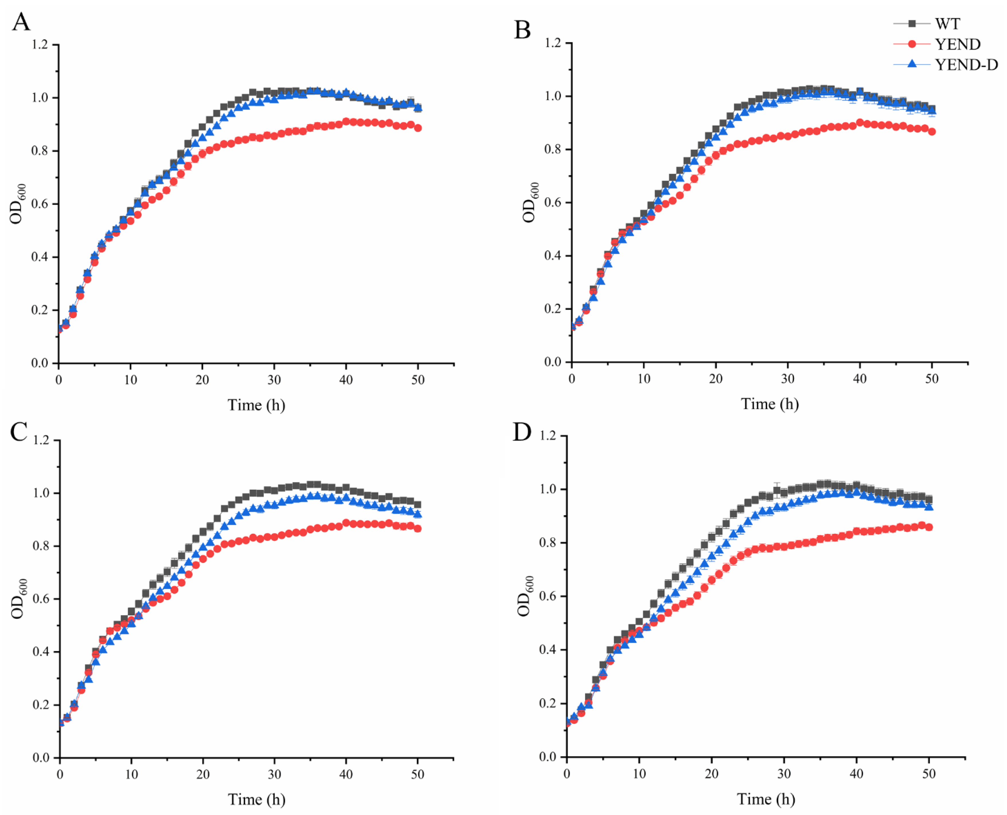
2.2. DksA Played a Crucial Role in Facilitating the Expeditious Proliferation of Y. enterocolitica at the Optimal Temperature
2.3. DksA Deletion Promoted Membrane Integrity in Y. enterocolitica
2.4. DksA Positively Regulated the Polymyxin B Resistance of Y. enterocolitica
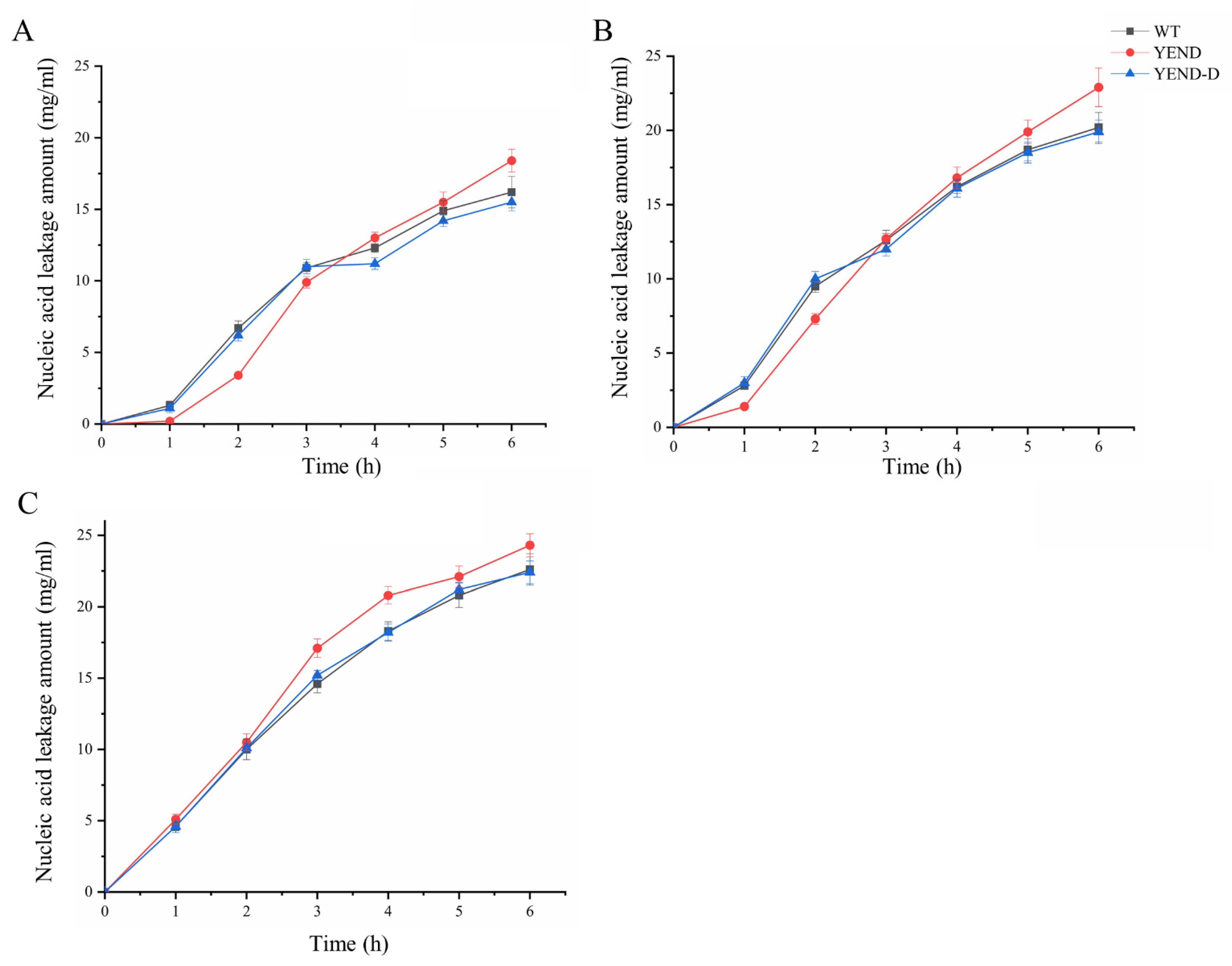
2.5. DksA Deletion Rendered Y. enterocolitica Prone to Intracellular Nucleic Acid and Protein Leakage When Exposed to Polymyxin B
2.6. DksA Deletion Reduced Inner and Outer Membrane Integrity of Y. enterocolitica in the Presence of Polymyxin B
3. Discussions
4. Materials and Methods
4.1. Bacterial Strains and Growth Conditions
4.2. Real-Time Quantitative PCR
4.3. Growth Conditions
4.4. Outer Membrane Permeabilization
4.5. Inner Membrane Permeabilization
4.6. Protein and Nucleic Acid Leakage Assays
4.7. Statistical Analysis
5. Conclusions
Supplementary Materials
Author Contributions
Funding
Institutional Review Board Statement
Informed Consent Statement
Data Availability Statement
Acknowledgments
Conflicts of Interest
References
- Bottone, E.J. Yersinia enterocolitica: The charisma continues. Clin. Microbiol. Rev. 1997, 10, 257. [Google Scholar] [CrossRef] [PubMed]
- Riahi, S.M.; Ahmadi, E.; Zeinali, T. Global Prevalence of Yersinia enterocolitica in Cases of Gastroenteritis: A Systematic Review and Meta-Analysis. Int. J. Microbiol. 2021, 2021, 1499869. [Google Scholar] [CrossRef] [PubMed]
- Chlebicz, A.; Slizewska, K. Campylobacteriosis, Salmonellosis, Yersiniosis, and Listeriosis as Zoonotic Foodborne Diseases: A Review. Int. J. Environ. Res. Public Health 2018, 15, 863. [Google Scholar] [CrossRef]
- European Food Safety Authority and European Centre for Disease Prevention and Control (EFSA and ECDC). The European Union summary report on trends and sources of zoonoses, zoonotic agents and food-borne outbreaks in 2017. EFSA J. 2018, 16, e05500. [Google Scholar]
- Dein, W.; Bukola, A.O. Food safety incidents in the red meat industry: A review of foodborne disease outbreaks linked to the consumption of red meat and its products, 1991 to 2021. Int. J. Food Microbiol. 2023, 110240. [Google Scholar]
- Pesavento, C.; Hengge, R. Bacterial nucleotide-based second messengers. Curr. Opin. Microbiol. 2009, 12, 170–176. [Google Scholar] [CrossRef] [PubMed]
- Capra, E.J.; Laub, M.T. Evolution of Two-Component Signal Transduction Systems. Annu. Rev. Microbiol. 2012, 66, 325–347. [Google Scholar] [CrossRef] [PubMed]
- Potrykus, K.; Cashel, M. (p)ppGpp: Still Magical? Ann. Rev. Microbiol. 2008, 62, 35–51. [Google Scholar] [CrossRef]
- Potrykus, K.; Murphy, H.; Philippe, N.; Cashel, M. ppGpp is the major source of growth rate control in E. coli. Environ. Microbiol. 2011, 13, 563–575. [Google Scholar] [CrossRef]
- Dalebroux, Z.D.; Swanson, M.S. ppGpp: Magic beyond RNA polymerase. Nat. Rev. Microbiol. 2012, 10, 203–212. [Google Scholar] [CrossRef]
- Hauryliuk, V.; Atkinson, G.C.; Murakami, K.S.; Tenson, T.; Gerdes, K. Recent functional insights into the role of (p)ppGpp in bacterial physiology. Nat. Rev. Microbiol. 2015, 13, 298–309. [Google Scholar] [CrossRef]
- Sands, M.K.; Roberts, R.B. The effects of a tryptophan-histidine deficiency in a mutant of E. coli. J. Bacteriol. 1952, 63, 505–511. [Google Scholar] [CrossRef]
- Barker, M.M.; Gaal, T.; Josaitis, C.A.; Gourse, R.L. Mechanism of regulation of transcription initiation by ppGpp, I. Effects of ppGpp on transcription initiation in vivo and in vitro. J. Mol. Biol. 2001, 305, 673–688. [Google Scholar] [CrossRef] [PubMed]
- Kajitani, M.; Ishihama, A. Promoter selectivity of Escherichia-coli RNA-polymerase—Differential stringent control of the multiple promoters from ribosomal-RNA and protein operons. J. Biol. Chem. 1984, 259, 1951–1957. [Google Scholar] [CrossRef]
- Kingston, R.E.; Chamberlin, M.J. Pausing and attenuation of invitro transcription in the rrnb operon of E. coli. Cell 1981, 27, 523–531. [Google Scholar] [CrossRef] [PubMed]
- Kang, P.J.; Craig, E.A. Identification and characterization of a new Escherichia-coli gene that is a dosage-dependent suppressor of a dnaK deletion mutation. J. Bacteriol. 1990, 172, 2055–2064. [Google Scholar] [CrossRef]
- Brown, L.; Gentry, D.; Elliott, T.; Cashel, M. DksA affects ppGpp induction of RpoS at a translational level. J. Bacteriol. 2002, 184, 4455–4465. [Google Scholar] [CrossRef]
- Paul, B.J.; Barker, M.M.; Ross, W.; Schneider, D.A.; Webb, C.; Foster, J.W.; Gourse, R.L. DksA: A critical component of the transcription initiation machinery that potentiates the regulation of rRNA promoters by ppGpp the initiating, N.T.P. Cell 2004, 118, 311–322. [Google Scholar] [CrossRef]
- Azriel, S.; Goren, A.; Rahav, G.; Gal-Mor, O. The Stringent Response Regulator DksA Is Required for Salmonella enterica Serovar Typhimurium Growth in Minimal Medium, Motility, Biofilm Formation, and Intestinal Colonization. Infect Immun. 2016, 84, 375–384. [Google Scholar] [CrossRef]
- Balzer, G.J.; McLean, R.J. The stringent response genes relA and spoT are important for Escherichia coil biofilms under slow-growth conditions. Can. J. Microbiol. 2002, 48, 675–680. [Google Scholar] [CrossRef]
- Murphy, H.; Cashel, M. Isolation of RNA polymerase suppressors of a (p)ppGpp deficiency. In RNA Polymerases and Associated Factors; Adhya, S.L., Garges, S., Eds.; Academic Press: New York, NY, USA, 2003; pp. 596–601. [Google Scholar]
- Gourse, R.L.; Chen, A.Y.; Gopalkrishnan, S.; Sanchez-Vazquez, P.; Myers, A.; Ross, W. Transcriptional Responses to ppGpp, DksA. Annu. Rev. Microbiol. 2018, 72, 163–184. [Google Scholar] [CrossRef]
- Perederina, A.; Svetlov, V.; Vassylyeva, M.N.; Tahirov, T.H.; Yokoyama, S.; Artsimovitch, I.; Vassylyev, D.G. Regulation through the secondary channel-structural framework for ppGpp-DksA synergism during transcription. Cell 2004, 118, 297–309. [Google Scholar] [CrossRef]
- Aberg, A.; Fernandez-Vazquez, J.; Cabrer-Panes, J.D.; Sanchez, A.; Balsalobre, C. Similar and divergent effects of ppGpp and DksA deficiencies on transcription in Escherichia coli. J. Bacteriol. 2009, 191, 3226–3236. [Google Scholar] [CrossRef] [PubMed]
- Zhang, Y.; Teper, D.; Xu, J.; Wang, N. Stringent response regulators (p)ppGpp and DksA positively regulate virulence and host adaptation of Xanthomonas citri. Mol. Plant Pathol. 2019, 20, 1550–1565. [Google Scholar] [CrossRef] [PubMed]
- Fujita, Y.; Matsuoka, H.; Hirooka, K. Regulation of fatty acid metabolism in bacteria. Mol. Microbiol. 2007, 66, 829–839. [Google Scholar] [CrossRef] [PubMed]
- Battesti, A.; Bouveret, E. Acyl carrier protein/SpoT interaction, the switch linking SpoT-dependent stress response to fatty acid metabolism. Mol. Microbiol. 2006, 62, 1048–1063. [Google Scholar] [CrossRef]
- Germain, E.; Guiraud, P.; Byrne, D.; Douzi, B.; Djendli, M.; Maisonneuve, E. YtfK activates the stringent response by triggering the alarmone synthetase SpoT in Escherichia coli. Nat. Commun. 2019, 10, 5763. [Google Scholar] [CrossRef]
- Traxler, M.F.; Zacharia, V.M.; Marquardt, S.; Summers, S.M.; Nguyen, H.-T.; Stark, S.E.; Conway, T. Discretely calibrated regulatory loops controlled by ppGpp partition gene induction across the ‘feast to famine’ gradient in Escherichia coli. Mol. Microbiol. 2011, 79, 830–845. [Google Scholar]
- Heath, R.J.; Jackowski, S.; Rock, C.O. Guanosine tetraphosphate inhibition of fatty-acid and phospholipid-synthesis in Escherichia-coli is relieved by overexpression of glycerol-3-phosphate acyltransferase (plsb). J. Biol. Chem. 1994, 269, 26584–26590. [Google Scholar] [CrossRef]
- Merlie, J.P.; Pizer, L.I. Regulation of phospholipid synthesis in E. coli by guanosine tetraphosphate. J. Bacteriol. 1973, 116, 355–366. [Google Scholar] [CrossRef]
- Huang, C.; Li, W.; Chen, J. Transcriptomic analysis reveals key roles of (p)ppGpp and DksA in regulating metabolism and chemotaxis in Yersinia enterocolitica. Int. J. Mol. Sci. 2023, 24, 7612. [Google Scholar] [CrossRef]
- Little, C.L.; Adams, M.R.; Anderson, W.A.; Cole, M.B. Application of a log-logistic model to describe the survival of Yersinia enterocolitica at sub-optima pH and temperature. Int. J. Food Microbiol. 1994, 22, 63–71. [Google Scholar] [CrossRef]
- Sohlenkamp, C.; Geiger, O. Bacterial membrane lipids: Diversity in structures and pathways. FEMS Microbiol. Rev. 2016, 40, 133–159. [Google Scholar] [CrossRef]
- Baumgartner, A.; Küffer, M.; Suter, D.; Jemmi, T.; Rohner, P. Antimicrobial resistance of Yersinia enterocolitica strains from human patients, pigs and retail pork in Switzerland. Int. J. Food Microbiol. 2007, 115, 110–114. [Google Scholar] [CrossRef]
- Mitchell, A.M.; Silhavy, T.J. Envelope stress responses: Balancing damage repair and toxicity. Nat. Rev. Microbiol. 2019, 17, 417–428. [Google Scholar] [CrossRef]
- Huang, C.; Meng, J.; Li, W.; Chen, J. Similar and divergent roles of stringent regulator (p)ppGpp and DksA on pleiotropic phenotype of Yersinia enterocolitica. Microbiol. Spectr. 2022, 10, e02055-22. [Google Scholar] [CrossRef]
- Holley, C.L.; Zhang, X.; Fortney, K.R.; Ellinger, S.; Johnson, P.; Baker, B.; Liu, Y.; Janowicz, D.M.; Katz, B.P.; Munson, R.S., Jr.; et al. DksA and (p)ppGpp have unique and overlapping contributions to Haemophilus ducreyi pathogenesis in humans. Infect. Immun. 2015, 83, 3281–3292. [Google Scholar] [CrossRef]
- Sinha, A.K.; Winther, K.S.; Roghanian, M.; Gerdes, K. Fatty acid starvation activates RelA by depleting lysine precursor pyruvate. Mol. Microbiol. 2019, 112, 1339–1349. [Google Scholar] [CrossRef]
- Butland, G.; Peregrin-Alvarez, J.M.; Li, J.; Yang, W.H.; Yang, X.C.; Canadien, V.; Starostine, A.; Richards, D.; Beattie, B.; Krogan, N.; et al. Interaction network containing conserved and essential protein complexes in Escherichia coli. Nature 2005, 433, 531–537. [Google Scholar] [CrossRef]
- Gully, D.; Moinier, D.; Loiseau, L.; Bouveret, E. New partners of acyl carrier protein detected in Escherichia coli by tandem affinity purification. Febs. Lett. 2003, 548, 90–96. [Google Scholar] [CrossRef]
- Polakis, S.E.; Guchhait, R.B.; Lane, M.D. Stringent control of fatty-acid synthesis in Escherichia-coli—Possible regulation of acetyl coenzyme-a carboxylase by ppGpp. J. Biol. Chem. 1973, 248, 7957–7966. [Google Scholar] [CrossRef]
- Cebrián, G.; Condón, S.; Mañas, P. Heat resistance, membrane fluidity and sublethal damage in Staphylococcus aureus cells grown at different temperatures. Int. J. Food Microbiol. 2019, 289, 49–56. [Google Scholar] [CrossRef]
- Wang, Y.; Wang, F.; Zhang, X.; Cen, C.; Fu, L. Transcription factors FabR and FadR regulate cold adaptability and spoilage potential of Shewanella baltica. Int. J. Food Microbiol. 2020, 331, 108693. [Google Scholar] [CrossRef]
- Dirienzo, J.M.; Nakamura, K.; Inouye, M. 1978 Outer membrane proteins of gram-negative bacteria—Biosynthesis, assembly, and functions. Annu. Rev. Biochem. 2023, 47, 481–532. [Google Scholar] [CrossRef]
- Mo, T.; Liu, M.; Cheng, A. Component and functions of lipopolysaccharide transport system in Gram-negative bacteria. Acta. Microbiol. Sin. 2018, 58, 1521–1530. [Google Scholar]
- Guo, H.; Zhao, T.; Huang, C.; Chen, J. The Role of the Two-Component System PhoP/PhoQ in Intrinsic Resistance of Yersinia enterocolitica to Polymyxin. Front. Microbiol. 2022, 13, 758571. [Google Scholar] [CrossRef]
- Meng, J.; Xu, J.; Huang, C.; Chen, J. Rcs phosphorelay responses to truncated lipopolysaccharide-induced cell envelope stress in Yersinia enterocolitica. Molecules 2020, 25, 5718. [Google Scholar] [CrossRef]
- Lee, D.-S.; Je, J.-Y. Gallic acid-grafted-chitosan inhibits foodborne pathogens by a membrane damage mechanism. J. Agric. Food Chem. 2013, 61, 6574–6579. [Google Scholar] [CrossRef]
- Hingston, P.; Chen, J.; Dhillon, B.K.; Laing, C.; Bertelli, C.; Gannon, V.; Tasara, T.; Allen, K.; Brinkman, F.S.L.; Hansen, L.T.; et al. Genotypes associated with Listeria monocytogenes isolates displaying impairedor enhanced tolerancesto cold, salt, acid, or desiccation stress. Front. Microbiol. 2017, 8, 369. [Google Scholar] [CrossRef]







Disclaimer/Publisher’s Note: The statements, opinions and data contained in all publications are solely those of the individual author(s) and contributor(s) and not of MDPI and/or the editor(s). MDPI and/or the editor(s) disclaim responsibility for any injury to people or property resulting from any ideas, methods, instructions or products referred to in the content. |
© 2023 by the authors. Licensee MDPI, Basel, Switzerland. This article is an open access article distributed under the terms and conditions of the Creative Commons Attribution (CC BY) license (https://creativecommons.org/licenses/by/4.0/).
Share and Cite
Huang, C.; Li, W.; Chen, J. Stringent Response Factor DksA Contributes to Fatty Acid Degradation Function to Influence Cell Membrane Stability and Polymyxin B Resistance of Yersinia enterocolitica. Int. J. Mol. Sci. 2023, 24, 11951. https://doi.org/10.3390/ijms241511951
Huang C, Li W, Chen J. Stringent Response Factor DksA Contributes to Fatty Acid Degradation Function to Influence Cell Membrane Stability and Polymyxin B Resistance of Yersinia enterocolitica. International Journal of Molecular Sciences. 2023; 24(15):11951. https://doi.org/10.3390/ijms241511951
Chicago/Turabian StyleHuang, Can, Wenqian Li, and Jingyu Chen. 2023. "Stringent Response Factor DksA Contributes to Fatty Acid Degradation Function to Influence Cell Membrane Stability and Polymyxin B Resistance of Yersinia enterocolitica" International Journal of Molecular Sciences 24, no. 15: 11951. https://doi.org/10.3390/ijms241511951
APA StyleHuang, C., Li, W., & Chen, J. (2023). Stringent Response Factor DksA Contributes to Fatty Acid Degradation Function to Influence Cell Membrane Stability and Polymyxin B Resistance of Yersinia enterocolitica. International Journal of Molecular Sciences, 24(15), 11951. https://doi.org/10.3390/ijms241511951

