A Modified 1H-NMR Quantification Method of Ephedrine Alkaloids in Ephedrae Herba Samples
Abstract
1. Introduction
2. Results
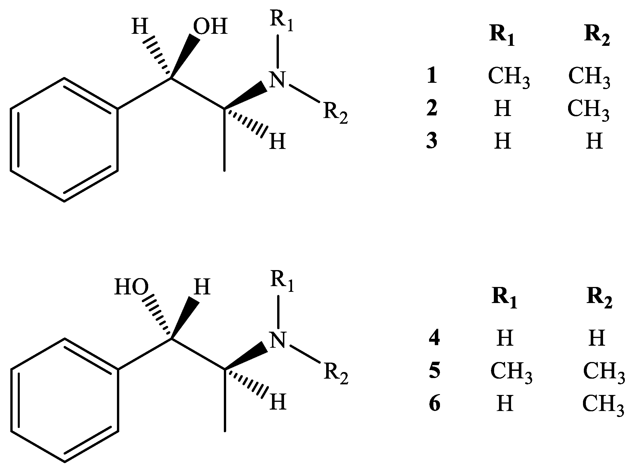
2.1. Identification of the Cyclization Products
2.2. Quantification of the Ephedrine Alkaloids
3. Discussion
4. Materials and Methods
4.1. General
4.2. Plant Material and Authentication
4.3. 2D Analysis of the Ephedrine Alkaloids and Their Cyclization Derivatives
4.4. Sample Extraction for qNMR Analysis
4.5. qNMR Analysis of Ephedrine Alkaloids
| Compound | H-1 |
|---|---|
| methylephedrine (ME) (1) | 4.96 |
| ephedrine (EP) (2) | 4.76 |
| norephedrine (NE) (3) | 4.52 |
| norpseudoephedrine (NP) (4) | 4.24 |
| methylpseudoephedrine (MP) (5) | 4.19 |
| pseudoephedrine (PE) (6) | 4.17 |
4.6. Recovery, Limit of Quantification (LOQ), and Limit of Detection (LOD) of Ephedrine
4.7. Characterization of Ephedrine Alkaloids by 2D NMR Analysis
5. Conclusions
Supplementary Materials
Author Contributions
Funding
Institutional Review Board Statement
Informed Consent Statement
Data Availability Statement
Acknowledgments
Conflicts of Interest
Abbreviations
References
- González-Juárez, D.E.; Escobedo-Moratilla, A.; Flores, J.; Hidalgo-Figueroa, S.; Martínez-Tagüeña, N.; Morales-Jiménez, J.; Muñiz-Ramírez, A.; Pastor-Palacios, G.; Pérez-Miranda, S.; Ramírez-Hernández, A.; et al. A review of the Ephedra genus: Distribution, ecology, ethnobotany, phytochemistry and pharmacological properties. Molecules 2020, 25, 3283. [Google Scholar] [CrossRef] [PubMed]
- Zhang, J.S.; Tian, Z.; Lou, Z.C. Quality evaluation of twelve species of Chinese Ephedra (Ma huang). Yaoxue Xuebao 1989, 24, 865–871, [In Chinese, English abstract]. [Google Scholar]
- Zha, L.H.; Su, Z.G.; Zhang, G.Z.; Ouyang, F. Application and research on Ephedra resource. Zhiwuxue Tongbao 2002, 19, 396–405, [In Chinese, English abstract]. [Google Scholar]
- Hong, H.; Chen, H.-B.; Yang, D.-H.; Shang, M.-Y.; Wang, X.; Cai, S.-Q.; Mikage, M. Comparison of contents of five ephedrine alkaloids in three official origins of Ephedra herb in China by high-performance liquid chromatography. J. Nat. Med. 2011, 65, 623–628. [Google Scholar] [CrossRef]
- Abourashed, E.A.; El-Alfy, A.T.; Khan, I.A.; Walker, L. Ephedra in perspective-a current review. Phytother. Res. 2003, 17, 703–712. [Google Scholar] [CrossRef]
- Zhang, B.M.; Wang, Z.B.; Xin, P.; Wang, Q.H.; Bu, H.; Kuang, H.X. Phytochemistry and pharmacology of genus Ephedra. Chin. J. Nat. Med. 2018, 16, 811–828. [Google Scholar] [CrossRef]
- Andraws, R.; Chawla, P.; Brown, D.L. Cardiovascular effects of Ephedra alkaloids: A comprehensive review. Prog. Cardiovasc. Dis. 2005, 47, 217–225. [Google Scholar] [CrossRef]
- Sa-Ih, N.; Reakkamnuan, C.; Samerphob, N.; Cheaha, D.; Niyomdecha, S.; Kumarnsit, E. Local field potential power spectra and locomotor activity following treatment with pseudoephedrine in mice. Acta Neurobiol. Exp. 2020, 80, 19–31. [Google Scholar] [CrossRef]
- Van Eenoo, P.; Delbeke, F.T.; Roels, K.; De Backer, P. Simultaneous quantitation of ephedrines in urine by gas chromatography-nitrogen-phosphorus detection for doping control purposes. J. Chromatogr. B 2001, 760, 255–261. [Google Scholar] [CrossRef]
- Mikage, M.; Takahashi, A.; Chen, H.B.; Li, Q.S. Studies of Ephedra plants in Asia. Part 1. On the resources of Ephedra plants in China. Nat. Med. 2003, 57, 202–208. [Google Scholar]
- Long, C.; Kakiuchi, N.; Takahashi, A.; Komatsu, K.; Cai, S.; Mikage, M. Phylogenetic analysis of the DNA sequence of the non-coding region of nuclear ribosomal DNA and chloroplast of Ephedra plants in China. Planta Med. 2004, 70, 1080–1084. [Google Scholar] [CrossRef] [PubMed]
- Suedee, R.; Songkram, C.; Petmoreekul, A.; Sangkunakup, S.; Sankasa, S.; Kongyarit, N. Direct enantioseparation of adrenergic drugs via thin-layer chromatography using molecularly imprinted polymers. J. Pharm. Biomed. Anal. 1999, 19, 519–527. [Google Scholar] [CrossRef] [PubMed]
- Mateus-Avois, L.; Mangin, P.; Saugy, M. Development and validation of a capillary zone electrophoresis method for the determination of ephedrine and related compounds in urine without extraction. J. Chromatogr. B 2003, 791, 203–216. [Google Scholar] [CrossRef] [PubMed]
- Okamura, N.; Miki, H.; Harada, T.; Yamashita, S.; Masaoka, Y.; Nakamoto, Y.; Tsuguma, M.; Yoshitomi, H.; Yagi, A. Simultaneous determination of ephedrine, pseudoephedrine, norephedrine and methylephedrine in Kampo medicines by high-performance liquid chromatography. J. Pharm. Biomed. Anal. 1999, 20, 363–372. [Google Scholar] [CrossRef] [PubMed]
- Li, H.X.; Ding, M.Y.; Lv, K.; Yu, J.Y. Simultaneous separation and determination of ephedrine alkaloids and tetramethylpyrazine in Ephedra sinica Stapf. by HPLC. J. Liq. Chromatogr. Relat. Technol. 2002, 25, 313–320. [Google Scholar] [CrossRef]
- Chan, K.H.; Pan, R.N.; Hsu, M.C. Simultaneous quantification of six ephedrines in a Mahwang preparation and in urine by high-performance liquid chromatography. Biomed. Chromatogr. 2005, 19, 337–342. [Google Scholar] [CrossRef] [PubMed]
- Gurley, B.J.; Wang, P.; Gardner, S.F. Ephedrine-type alkaloid content of nutritional supplements containing Ephedra sinica (Ma-huang) as determined by high performance liquid chromatography. J. Pharm. Sci. 1998, 87, 1547–1553. [Google Scholar] [CrossRef] [PubMed]
- Imaz, C.; Carreras, D.; Navajas, R.; Rodriguez, C.; Rodriguez, A.; Maynar, J.; Cortes, R. Determination of ephedrines in urine by high-performance liquid chromatography. J. Chromatogr. 1993, 631, 201–205. [Google Scholar] [CrossRef]
- Roman, M.C. Determination of ephedrine alkaloids in botanicals and dietary supplements by HPLC-UV: Collaborative study. J. AOAC Int. 2004, 87, 1–14. [Google Scholar] [CrossRef]
- Hurlbut, J.A.; Carr, J.R.; Singleton, E.R.; Faul, K.C.; Madson, M.R.; Storey, J.M.; Thomas, T.L. Solid-phase extraction cleanup and liquid chromatography with ultraviolet detection of ephedrine alkaloids in herbal products. J. AOAC Int. 1998, 81, 1121–1127. [Google Scholar] [CrossRef]
- Ganzera, M.; Lanser, C.; Stuppner, H. Simultaneous determination of Ephedra sinica and Citrus aurantium var. amara alkaloids by ion-pair chromatography. Talanta 2005, 66, 889–894. [Google Scholar] [CrossRef] [PubMed]
- Sheu, S.J.; Huang, M.H. Determination of Ephedra alkaloids by high-performance liquid chromatography. Chromatographia 2001, 54, 117–119. [Google Scholar] [CrossRef]
- Schaneberg, B.T.; Khan, I.A. Quantitative and qualitative HPLC analysis of thermogenic weight loss products. Pharmazie 2004, 59, 819–823. [Google Scholar] [PubMed]
- Gentili, S.; Torresi, A.; Marsili, R.; Chiarotti, M.; Macchia, T. Simultaneous detection of amphetamine-like drugs with headspace solid-phase microextraction and gas chromatography–mass spectrometry. J. Chromatogr. B 2002, 780, 183–192. [Google Scholar] [CrossRef]
- El-Haj, B.M.; Al-Amri, A.M.; Hassan, M.H.; Ali, H.S.; Bin Khadem, R.K. The use of cyclohexanone as a “derivatizing” reagent for the GC-MS detection of amphetamines and ephedrines in seizures and the urine. Forensic Sci. Int. 2003, 135, 16–26. [Google Scholar] [CrossRef] [PubMed]
- Cui, J.F.; Zhou, T.H.; Zhang, J.S.; Lou, Z.C. Analysis of alkaloids in Chinese Ephedra species by gas chromatographic methods. Phytochem. Anal. 1991, 2, 116–119. [Google Scholar] [CrossRef]
- Choi, Y.H.; Choi, H.-K.; Hazekamp, A.; Bermejo, P.; Schilder, Y.; Erkelens, C.; Verpoorte, R. Quantitative analysis of bilobalide and ginkgolides from Ginkgo biloba leaves and Ginkgo products using (1)H-NMR. Chem. Pharm. Bull. 2003, 51, 158–161. [Google Scholar] [CrossRef]
- Frédérich, M.; Choi, Y.H.; Verpoorte, R. Quantitative analysis of strychnine and brucine in Strychnos nux-vomica using 1H-NMR. Planta Med. 2003, 69, 1169–1171. [Google Scholar]
- Li, C.Y.; Lin, C.H.; Wu, C.C.; Lee, K.H.; Wu, T.S. Efficient 1H nuclear magnetic resonance method for improved quality control analyses of Ginkgo constituents. J. Agric. Food Chem. 2004, 52, 3721–3725. [Google Scholar] [CrossRef]
- Pauli, G.F.; Jaki, B.U.; Lankin, D.C. Quantitative 1H NMR: development and potential of a method for natural products analysis. J. Nat. Prod. 2005, 68, 133–149. [Google Scholar] [CrossRef]
- Li, C.Y.; Lin, C.H.; Wu, T.S. Quantitative analysis of camptothecin derivatives in Nothapodytes foetida using 1H-NMR method. Chem. Pharm. Bull. 2005, 53, 347–349. [Google Scholar] [CrossRef]
- Lindon, J.C.; Nicholson, J.K.; Everett, J.R. NMR spectroscopy of biofluids. Annu. Rep. NMR Spectrosc. 1999, 38, 1–88. [Google Scholar]
- Kim, H.K.; Choi, Y.H.; Chang, W.T.; Verpoorte, R. Quantitative analysis of ephedrine analogues from Ephedra species using 1H-NMR. Chem. Pharm. Bull. 2003, 51, 1382–1385. [Google Scholar] [CrossRef] [PubMed]
- Hung, H.-Y.; Lin, S.-M.; Li, C.-Y.; Lam, S.-H.; Chan, Y.-Y.; Liou, M.-J.; Shieh, P.-C.; Chen, F.-A.; Kuo, P.-C.; Wu, T.-S. A rapid and feasible 1H-NMR quantification method of ephedrine alkaloids in Ephedra herbal preparations. Molecules 2021, 26, 1599. [Google Scholar] [CrossRef]
- Contreras, R.; Santiesteban, F.; Paz-Sandoval, M.A.; Wrackmeyer, B. N-borane adducts of oxazolidines derived from ephedrine and pseudoephedrine. Study of stereochemistry by nuclear magnetic resonance. Tetrahedron 1984, 40, 3829–3838. [Google Scholar] [CrossRef]
- Fujita, M.; Hiyama, T. Erythro-directive reduction of α-substituted alkanones by means of hydrosilanes in acidic media. J. Org. Chem. 1988, 53, 5415–5421. [Google Scholar] [CrossRef]
- Rossi, S.; Porta, R.; Brenna, D.; Puglisi, A.; Benaglia, M. Stereoselective catalytic synthesis of active pharmaceutical ingredients in homemade 3D-printed mesoreactors. Angew. Chem. Int. Ed. 2017, 56, 4290–4294. [Google Scholar] [CrossRef]
- Silverstein, R.M.; Webster, F.X.; Kiemle, D.J.; Bryce, D.L. Relayed coherence transfer: TOCSY. In Spectrometric Identification of Organic Compounds, 8th ed.; Wiley: Hoboken, NJ, USA, 2014; pp. 254–259. [Google Scholar]
- Silverstein, R.M.; Webster, F.X.; Kiemle, D.J.; Bryce, D.L. HMQC-TOCSY. In Spectrometric Identification of Organic Compounds, 8th ed.; Wiley: Hoboken, NJ, USA, 2014; p. 259. [Google Scholar]
- Kelly-Hunt, A.E.; Mehan, A.; Brooks, S.; Leanca, M.A.; McKay, J.E.D.; Mahamed, N.; Lambert, D.; Dempster, N.M.; Allen, R.J.; Evans, A.R.; et al. Synthesis and analytical characterization of purpurogallin: A pharmacologically active constituent of oak galls. J. Chem. Educ. 2022, 99, 983–993. [Google Scholar] [CrossRef]
- Beckett, A.H.; Jones, G.R. Hollingsbee DA. Degradation of (–)-ephedrine in solution and during extraction with diethyl ether. J. Pharm. Pharmacol. 1978, 30, 15–19. [Google Scholar] [CrossRef]
- Neelakantan, L. Asymmetric synthesis. II. Synthesis and absolute configuration of oxazolidines derived from (–)-ephedrine and aromatic aldehydes. J. Org. Chem. 1971, 36, 2256–2260. [Google Scholar] [CrossRef]
- Nishiyama, T.; Nishikawa, T.; Yamada, F. A stereochemical investigation of 2-methyl- and 2,5-dimethyl-3-phenyl-1,3-oxazolidines using NMR. J. Heterocycl. Chem. 1989, 26, 1687–1690. [Google Scholar] [CrossRef]
- Walker, R.B.; Wood, D.M.; Akmal, M.M.; Sharks, E. Effects of oxazolidines derived from (–) ephedrine in the rat. Gen. Pharmacol. 1992, 23, 729–732. [Google Scholar] [CrossRef] [PubMed]
- Agami, C.; Rizk, T. Role of solvent on the diastereoselectivity of oxazolidine formation from (–)-ephedrine. J. Chem. Soc. Chem. Commun. 1983, 1485–1486. [Google Scholar] [CrossRef]
- Lewis, R.J.; Huffine, E.F.; Chaturvedi, A.K.; Canfield, D.V.; Mattson, J. Formation of an interfering substance, 3,4-dimethyl-5-phenyl-1,3-oxazolidine, during a pseudoephedrine urinalysis. J. Forensic Sci. 2000, 45, 898–901. [Google Scholar] [CrossRef]
- Kajimura, K.; Iwamoto, Y.; Yamasaki, K.; Sakagami, Y.; Yokoyama, H.; Yoneda, K. Variation of growth and contents of ephedrine type alkaloids in Ephedra distachya. Nat. Med. 1994, 48, 122–125. [Google Scholar]






| Position | 7 | 8 | 9 | |||
|---|---|---|---|---|---|---|
| δH | δC | δH | δC | δH | δC | |
| 2 | 4.69 (s, 1H) | 98.8 | 3.95 (q, 1H, J = 5.4 Hz) | 93.9 | 4.24 (dq, 1H, J = 5.4, 0.6 Hz) | 94.6 |
| 4 | 2.97(m, 1H) | 64.0 | 2.77 (dq, 1H, J = 8.4, 6.6 Hz) | 64.2 | 2.36 (m) | 69.1 |
| 5 | 5.14 (d, 1H, J = 8.4 Hz) | 82.4 | 4.99 (d, 1H, J = 8.4 Hz) | 81.9 | 4.53 (d, 1H, J = 8.4 Hz) | 85.3 |
| CH3-2 | 1.47 (d, 3H, J = 5.4 Hz) | 18.9 | 1.39 (d, 3H, J = 5.4 Hz) | 19.6 | ||
| CH3-4 | 0.79 (d, 3H, J = 6.0 Hz) | 15.0 | 0.67 (d, 3H, J = 6.6 Hz) | 14.7 | 1.15 (d, 3H, J = 6.0 Hz) | 14.3 |
| N-CH3 | 2.18 (s, 3H) | 35.7 | 2.24 (s, 3H) | 36.0 | 2.28 (s, 3H) | 35.7 |
| Sample | Source | Collected at | Date | Authenticated by |
|---|---|---|---|---|
| EP01 | E. sinica | Taiwan | February 2020 | a |
| EP02 | E. equisetina | Taiwan | February 2020 | a |
| EP03 | E. intermedia | Taiwan | February 2020 | a |
| EP04 | E. sinica | Shanxi | June 2020 | b |
| EP05 | E. sinica | Shinjang | June 2020 | b |
| EP06 | E. intermedia | Shinjang | June 2020 | b |
| EP07 | E. przewalskii | Shinjang | June 2020 | b |
| EP08 | E. glauca | Shinjang | June 2020 | b |
| EP09 | E. przewalskii | Gansu | April 2019 | c |
| EP10 | E. equisetina | Gansu | April 2019 | c |
| EP11 | E. gerardiana | Tibet | April 2019 | c |
| EP12 | E. intermedia | Gansu | April 2019 | c |
| EP13 | E. lepidosperma | Ningxia | April 2019 | c |
| EP14 | E. minuta | Ningxia | April 2019 | c |
| EP15 | E. regeliana | Shinjang | April 2019 | c |
| EP16 | E. monosperma | Ningxia | April 2019 | c |
| EP17 | E. saxatilis | Tibet | April 2019 | c |
| EP18 | E. sinica | Gansu | April 2019 | c |
| EP19 | E. przewalskii | Gansu | April 2016 | c |
| EP20 | E. intermedia | Gansu | April 2016 | c |
| Sample | Source | Content (mg/g Material) (RSD %) | Total Alkaloid Content (mg/g Material) | Class | |||||
|---|---|---|---|---|---|---|---|---|---|
| ME | EP | NE | NP | MP | PE | ||||
| EP01 | E. sinica | 0.24 (1.80) | 4.33 (1.01) | - | 0.32 (5.90) | - | 0.89 (1.74) | 5.78 | I |
| EP02 | E. equisetina | 0.12 (2.06) | 2.40 (1.14) | 0.09 (1.93) | 0.20 (1.72) | - | 0.96 (0.65) | 3.77 | I |
| EP04 | E. sinica | 0.16 (4.10) | 3.18 (0.22) | - | 0.24 (4.89) | - | 0.64 (2.09) | 4.22 | I |
| EP11 | E. gerardiana | 0.13 (2.03) | 1.55 (0.25) | 0.04 (8.67) | - | - | 0.17 (4.19) | 1.89 | I |
| EP17 | E. saxatilis | 0.25 (1.14) | 3.57 (0.20) | 0.09 (1.30) | - | - | 0.27 (3.31) | 4.18 | I |
| EP03 | E. intermedia | - | 0.30 (4.07) | - | 0.50 (5.94) | - | 2.74 (0.86) | 3.54 | II |
| EP08 | E. glauca | - | 0.15 (2.64) | - | 0.34 (1.02) | - | 2.49 (0.73) | 2.98 | II |
| EP10 | E. equisetina | 0.05 (1.95) | 1.02 (0.41) | 0.04 (2.52) | 0.46 (1.83) | - | 2.03 (0.67) | 3.60 | II |
| EP12 | E. intermedia | - | 0.24 (1.24) | - | 0.28 (1.19) | - | 1.99 (1.98) | 2.51 | II |
| EP16 | E. monosperma | - | - | - | - | - | 4.41 (0.19) | 4.41 | II |
| EP18 | E. sinica | 0.15 (0.67) | 0.99 (0.61) | 0.14 (1.30) | 0.14 (1.80) | - | 2.70 (0.55) | 4.12 | II |
| EP05 | E. sinica | - | 0.32 (1.65) | - | - | - | - | 0.32 | III |
| EP06 | E. intermedia | - | - | - | - | - | - | - | III |
| EP07 | E. przewalskii | - | - | - | - | - | - | - | III |
| EP09 | E. przewalskii | - | - | - | - | - | - | - | III |
| EP13 | E. lepidosperma | - | - | - | - | - | - | - | III |
| EP14 | E. minuta | - | - | - | - | - | - | - | III |
| EP15 | E. regeliana | - | - | - | - | - | - | - | III |
| EP19 | E. przewalskii | - | - | - | - | - | - | - | III |
| EP20 | E. intermedia | - | - | - | - | - | - | - | III |
Disclaimer/Publisher’s Note: The statements, opinions and data contained in all publications are solely those of the individual author(s) and contributor(s) and not of MDPI and/or the editor(s). MDPI and/or the editor(s) disclaim responsibility for any injury to people or property resulting from any ideas, methods, instructions or products referred to in the content. |
© 2023 by the authors. Licensee MDPI, Basel, Switzerland. This article is an open access article distributed under the terms and conditions of the Creative Commons Attribution (CC BY) license (https://creativecommons.org/licenses/by/4.0/).
Share and Cite
Li, Y.-C.; Wu, C.-H.; Le, T.H.; Yuan, Q.; Huang, L.; Chen, G.-F.; Yang, M.-L.; Lam, S.-H.; Hung, H.-Y.; Sun, H.; et al. A Modified 1H-NMR Quantification Method of Ephedrine Alkaloids in Ephedrae Herba Samples. Int. J. Mol. Sci. 2023, 24, 11272. https://doi.org/10.3390/ijms241411272
Li Y-C, Wu C-H, Le TH, Yuan Q, Huang L, Chen G-F, Yang M-L, Lam S-H, Hung H-Y, Sun H, et al. A Modified 1H-NMR Quantification Method of Ephedrine Alkaloids in Ephedrae Herba Samples. International Journal of Molecular Sciences. 2023; 24(14):11272. https://doi.org/10.3390/ijms241411272
Chicago/Turabian StyleLi, Yue-Chiun, Chia-Hung Wu, Thi Ha Le, Qingjun Yuan, Luqi Huang, Guo-Fen Chen, Mei-Lin Yang, Sio-Hong Lam, Hsin-Yi Hung, Handong Sun, and et al. 2023. "A Modified 1H-NMR Quantification Method of Ephedrine Alkaloids in Ephedrae Herba Samples" International Journal of Molecular Sciences 24, no. 14: 11272. https://doi.org/10.3390/ijms241411272
APA StyleLi, Y.-C., Wu, C.-H., Le, T. H., Yuan, Q., Huang, L., Chen, G.-F., Yang, M.-L., Lam, S.-H., Hung, H.-Y., Sun, H., Wu, Y.-H., Kuo, P.-C., & Wu, T.-S. (2023). A Modified 1H-NMR Quantification Method of Ephedrine Alkaloids in Ephedrae Herba Samples. International Journal of Molecular Sciences, 24(14), 11272. https://doi.org/10.3390/ijms241411272

