Ambiguous Contribution of Glucocorticosteroids to Acute Neuroinflammation in the Hippocampus of Rat
Abstract
1. Introduction
2. Results
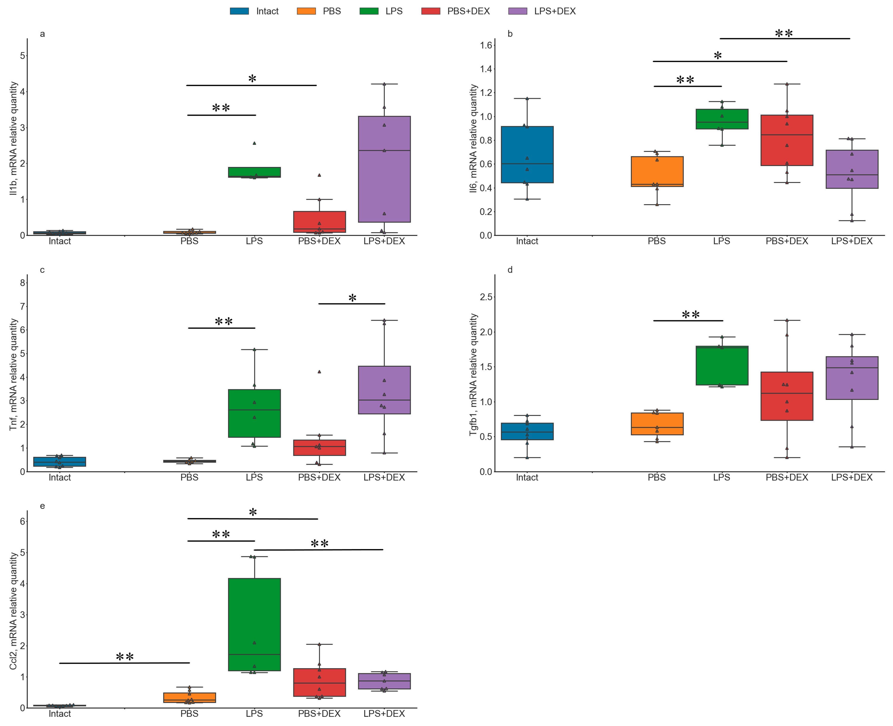
2.1. Experiment 1: Effects of GR Activation by DEX on LPS-Induced Neuroinflammation
2.1.1. Model Validation
Effects of PBS and LPS Administration on mRNA Expression of Neuroinflammation-Associated Genes
Effects of PBS and LPS Administration on Microglial Activation
2.1.2. Effects of DEX Administration on mRNA Expression of Neuroinflammation-Associated Genes under Control and Neuroinflammatory Conditions
2.1.3. Effects of DEX Administration on Microglial Activation under Control and Neuroinflammatory Conditions
2.1.4. Sucrose Preference Test after GR Activation
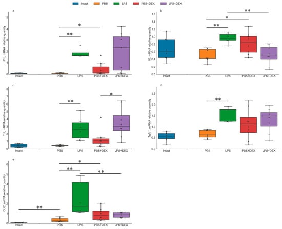
2.2. Experiment 2: Effects of GR and MR Inhibition on LPS-Induced Neuroinflammation
2.2.1. Model Validation
Effects of PBS and LPS Administration on mRNA Expression of Neuroinflammation-Associated Genes
Effects of PBS and LPS Administration on Microglial Activation
2.2.2. Effects of MIF and SPIR Administration on mRNA Expression of Neuroinflammation-Associated Genes under Control and Neuroinflammatory Conditions
2.2.3. Effects of MIF and SPIR Administration on Microglial Activation under Control and Neuroinflammatory Conditions
2.2.4. Sucrose Preference Test after GR and MR Inhibition
3. Discussion
4. Materials and Methods
4.1. Animals
4.2. Experimental Protocol and Surgery
4.3. RNA Extraction and Reverse Transcription
4.4. Quantitative Real-Time Polymerase Chain Reaction (qPCR)
4.5. Histology and Morphometry
- (1)
- Ramified microglia, resting phenotype of microglia, which are characterized by small roundish soma, highly branched and thin processes, and roundish nucleus that occupies almost the entire space of the soma;
- (2)
- Amoeboid microglia, morphological phenotype, which are very similar to macrophages with large round cell bodies without processes;
- (3)
- Hypertrophic microglia, functionally activated phenotype of microglia characterized by enlarged soma with shorter and thicker processes as compared to ramified microglia. The nuclei of hypertrophic microglia do not occupy the entire soma;
- (4)
- Rod microglia, microglial phenotype, which are characterized by elongated cells with elongated nuclei;
- (5)
- Symplasts, cells with morphology similar to rod subtype but with several nuclei.
- run(“Split Channels”);
- selectWindow (filename + “Iba”);
- run(“Subtract Background…”, “rolling = 50”);
- run(“Enhance Contrast…”, “saturated = 0.3 normalize”);
- run(“Auto Threshold”, “method = Yen white”);
- run(“Set Scale…”, “distance = 0 known = 0 unit = pixel global”);
- run(“Set Measurements…”, “area_fraction redirect = None decimal = 3”);
- run(“Measure”);
4.6. Sucrose Preference Test
4.7. Statistical Analysis
5. Conclusions
Limitations of the Study
Supplementary Materials
Author Contributions
Funding
Institutional Review Board Statement
Informed Consent Statement
Data Availability Statement
Conflicts of Interest
Abbreviations
References
- Estes, M.L.; McAllister, A.K. Alterations in Immune Cells and Mediators in the Brain: It’s Not Always Neuroinflammation! Brain Pathol. 2014, 24, 623–630. [Google Scholar] [CrossRef]
- Zhao, J.; Bi, W.; Xiao, S.; Lan, X.; Cheng, X.; Zhang, J.; Lu, D.; Wei, W.; Wang, Y.; Li, H.; et al. Neuroinflammation induced by lipopolysaccharide causes cognitive impairment in mice. Sci. Rep. 2019, 9, 5790. [Google Scholar] [CrossRef]
- DiSabato, D.J.; Quan, N.; Godbout, J.P. Neuroinflammation: The devil is in the details. J. Neurochem. 2016, 139, 136–153. [Google Scholar] [CrossRef]
- Pires, J.M.; Foresti, M.L.; Silva, C.S.; Rêgo, D.B.; Calio, M.L.; Mosini, A.C.; Nakamura, T.K.E.; Leslie, A.T.F.; Mello, L.E. Lipopolysaccharide-Induced Systemic Inflammation in the Neonatal Period Increases Microglial Density and Oxidative Stress in the Cerebellum of Adult Rats. Front. Cell Neurosci. 2020, 14, 142. [Google Scholar] [CrossRef]
- Fusco, R.; Cordaro, M.; Siracusa, R.; Peritore, A.F.; D’Amico, R.; Licata, P.; Crupi, R.; Gugliandolo, E. Effects of Hydroxytyrosol against Lipopolysaccharide-Induced Inflammation and Oxidative Stress in Bovine Mammary Epithelial Cells: A Natural Therapeutic Tool for Bovine Mastitis. Antioxidants 2020, 9, 693. [Google Scholar] [CrossRef]
- Hamesch, K.; Borkham-Kamphorst, E.; Strnad, P.; Weiskirchen, R. Lipopolysaccharide-induced inflammatoryliver injury in mice. Lab Anim. 2015, 49, 37–46. [Google Scholar] [CrossRef]
- Cain, D.W.; Cidlowski, J.A. Immune regulation by glucocorticoids. Nat. Rev. Immunol. 2017, 17, 233–247. [Google Scholar] [CrossRef]
- Gulyaeva, N.V. Biochemical Mechanisms and Translational Relevance of Hippocampal Vulnerability to Distant Focal Brain Injury: The Price of Stress Response. Biochemistry 2019, 84, 1306–1328. [Google Scholar] [CrossRef]
- Gulyaeva, N.V. Stress-Associated Molecular and Cellular Hippocampal Mechanisms Common for Epilepsy and Comorbid Depressive Disorders. Biochemistry 2021, 86, 641–656. [Google Scholar] [CrossRef]
- Frank, M.G.; Thompson, B.M.; Watkins, L.R.; Maier, S.F. Glucocorticoids mediate stress-induced priming of microglial pro-inflammatory responses. Brain Behav. Immun. 2012, 26, 337–345. [Google Scholar] [CrossRef]
- Espinosa-Oliva, A.M.; De Pablos, R.M.; Villarán, R.F.; Argüelles, S.; Venero, J.L.; Machado, A.; Cano, J. Stress is critical for LPS-induced activation of microglia and damage in the rat hippocampus. Neurobiol. Aging 2009, 32, 85–102. [Google Scholar] [CrossRef]
- Frank, M.G.; Miguel, Z.D.; Watkins, L.R.; Maier, S.F. Prior exposure to glucocorticoids sensitizes the neuroinflammatory andperipheral inflammatory responses to E. coli lipopolysaccharide. Brain Behav. Immun. 2010, 24, 19–30. [Google Scholar] [CrossRef]
- Meneses, G.; Gevorkian, G.; Florentino, A.; Bautista, M.A.; Espinosa, A.; Acero, G.; Díaz, G.; Fleury, A.; Pérez Osorio, I.N.; Del Rey, A.; et al. Intranasal delivery of dexamethasone efficiently controls LPS-induced murineneuroinflammation. Clin. Exp. Immunol. 2017, 190, 304–314. [Google Scholar] [CrossRef]
- Culig, L.; Surget, A.; Bourdey, M.; Khemissi, W.; Le Guisquet, A.M.; Vogel, E.; Sahay, A.; Hen, R.; Belzung, C. Increasing adult hippocampalneurogenesis in mice after exposure to unpredictable chronic mild stress may counteract some of the effects of stress. Neuropharmacology 2017, 126, 179–189. [Google Scholar] [CrossRef] [PubMed]
- Ambrosini, A.; Louin, G.; Croci, N.; Plotkine, M.; Jafarian-Tehrani, M. Characterization of a rat model to study acute neuroinflammation on histopathological, biochemical and functional outcomes. J. Neurosci. Methods 2005, 144, 183–191. [Google Scholar] [CrossRef]
- Bolshakov, A.P.; Tret’yakova, L.V.; Kvichansky, A.A.; Gulyaeva, N.V. Glucocorticoids: Dr. Jekyll and Mr. Hyde of hippocampalneuroinflammation. Biochemistry 2021, 86, 156–167. [Google Scholar] [CrossRef]
- Munhoz, C.D.; Lepsch, L.B.; Kawamoto, E.M.; Malta, M.B.; De Sa Lima, L.; Avellar, M.S.W.; Sapolsky, R.M.; Scavone, C. Chronic Unpredictable Stress Exacerbates Lipopolysaccharide-Induced Activation of Nuclear Factor-κB in the Frontal Cortex and Hippocampus via Glucocorticoid Secretion. J. Neurosci. 2006, 26, 3813–3820. [Google Scholar] [CrossRef]
- Munhoz, C.D.; Sorrells, S.F.; Caso, J.R.; Scavone, C.; Sapolsky, R.M. Glucocorticoids Exacerbate Lipopolysaccharide-Induced Signaling in the Frontal Cortex and Hippocampus in a Dose-Dependent Manner. J. Neurosci. 2010, 30, 13690–13698. [Google Scholar] [CrossRef]
- Frank, M.G.; Hershman, S.A.; Weber, M.D.; Watkins, L.R.; Maier, S.F. Chronic exposure to exogenous glucocorticoids primes microglia to pro-inflammatory stimuli and induces NLRP3 mRNA in the hippocampus. Psychoneuroendocrinology 2014, 40, 191–200. [Google Scholar] [CrossRef]
- Tret’yakova, L.V.; Kvichansky, A.A.; Bolshakov, A.P.; Gulyaeva, N.V. Dexamethasone Modulates Lipopolysaccharide-Induced Expression of Proinflammatory Cytokines in Rat Hippocampus. Neurochem. J. 2021, 15, 302–307. [Google Scholar] [CrossRef]
- Bartholome, B.; Spies, C.M.; Gaber, T.; Schuchmann, S.; Berki, T.; Kunkel, D.; Bienert, M.; Radbruch, A.; Burmester, G.R.; Lauster, R.; et al. Membrane Glucocorticoid Receptors (MGCR) Are Expressed in Normal Human Peripheral Blood Mononuclear Cells and up-Regulated after in Vitro Stimulation and in Patients with Rheumatoid Arthritis. FASEB J. 2004, 18, 70–80. [Google Scholar] [CrossRef]
- Noh, H.; Jeon, J.; Seo, H. Systemic injection of LPS induces region-specific neuroinflammation and mitochondrial dysfunction in normal mouse brain. Neurochem. Int. 2014, 69, 35–40. [Google Scholar] [CrossRef]
- Tyagi, E.; Agrawal, R.; Nath, C.; Shukla, R. Influence of LPS-induced neuroinflammation on acetylcholinesterase activity in rat brain. J. Neuroimmunol. 2008, 205, 51–56. [Google Scholar] [CrossRef]
- Qin, L.; Wu, X.; Block, M.L.; Liu, Y.; Breese, G.R.; Hong, J.S.; Knapp, D.J.; Crews, F.T. Systemic LPS causes chronic neuroinflammation and progressive neurodegeneration. Glia 2007, 55, 453–462. [Google Scholar] [CrossRef] [PubMed]
- Da Ré, C.; Souza, J.M.; Froes, F.; Taday, J.; Dos Santos, J.P.; Rodrigues, L.; Sesterheim, P.; Gonçalves, C.A.; Leite, M.C. Neuroinflammation induced by lipopolysaccharide leads to memory impairment and alterations in hippocampalleptin signaling. Behav. Brain Res. 2020, 379, 112360. [Google Scholar] [CrossRef] [PubMed]
- Pérez-Domínguez, M.; Ávila-Muñoz, E.; Domínguez-Rivas, E.; Zepeda, A. The detrimental effects of lipopolysaccharide-induced neuroinflammation on adult hippocampal neurogenesis depend on duration of the pro-inflammatory response. Neural Regen. Res. 2019, 14, 817–825. [Google Scholar] [CrossRef]
- Wilkinson, J.; Hayes, S.; Thompson, D.; Whitney, P.; Bi, K. Compound profiling using a panel of steroid hormone receptor cell-based assays. J. Biomol. Screen. 2008, 13, 755–765. [Google Scholar] [CrossRef] [PubMed]
- Willner, P.; Muscat, R.; Papp, M. Chronic mild stress-induced anhedonia: A realistic animal model of depression. Neurosci. Biobehav. Rev. 1992, 16, 525–534. [Google Scholar] [CrossRef]
- Savage, J.C.; Carrier, M.; Tremblay, M.E. Microglia: Methods and Protocols, Methods in Molecular Biology. In Morphology of Microglia across Context of Health and Disease; Garaschuk, O., Verkhatsky, A., Eds.; Humana Press: New York, NY, USA, 2019; Volume 2034, pp. 13–26. [Google Scholar] [CrossRef]
- Gulyaeva, N.V. Glucocorticoids Orchestrate Adult Hippocampal Plasticity: Growth Points and Translational Aspects. Biochemistry 2023, 88, 565–589. [Google Scholar] [CrossRef]
- Komoltsev, I.G.; Tret’yakova, L.V.; Frankevich, S.O.; Shirobokova, N.I.; Volkova, A.A.; Butuzov, A.V.; Novikova, M.R.; Kvichansky, A.A.; Moiseeva, Y.V.; Onufriev, M.V.; et al. Neuroinflammatory Cytokine Response, Neuronal Death, and Microglial Proliferation in the Hippocampus of Rats During the Early Period After Lateral Fluid Percussion-Induced Traumatic Injury of the Neocortex. Mol. Neuroboiol. 2022, 59, 1151–1167. [Google Scholar] [CrossRef]
- Kvichansky, A.A.; Tret’yakova, L.V.; Volobueva, M.N.; Manolova, A.O.; Stepanichev, M.Y.; Onufriev, M.V.; Moiseeva, Y.V.; Lazareva, N.A.; Bolshakov, A.P.; Gulyaeva, N.V. Neonatal Proinflammatory Stress and Expression of Neuroinflammation-Associated Genes in the Rat Hippocampus. Biochemistry 2021, 86, 693–703. [Google Scholar] [CrossRef]








Disclaimer/Publisher’s Note: The statements, opinions and data contained in all publications are solely those of the individual author(s) and contributor(s) and not of MDPI and/or the editor(s). MDPI and/or the editor(s) disclaim responsibility for any injury to people or property resulting from any ideas, methods, instructions or products referred to in the content. |
© 2023 by the authors. Licensee MDPI, Basel, Switzerland. This article is an open access article distributed under the terms and conditions of the Creative Commons Attribution (CC BY) license (https://creativecommons.org/licenses/by/4.0/).
Share and Cite
Tret’yakova, L.V.; Kvichansky, A.A.; Barkovskaya, E.S.; Manolova, A.O.; Bolshakov, A.P.; Gulyaeva, N.V. Ambiguous Contribution of Glucocorticosteroids to Acute Neuroinflammation in the Hippocampus of Rat. Int. J. Mol. Sci. 2023, 24, 11147. https://doi.org/10.3390/ijms241311147
Tret’yakova LV, Kvichansky AA, Barkovskaya ES, Manolova AO, Bolshakov AP, Gulyaeva NV. Ambiguous Contribution of Glucocorticosteroids to Acute Neuroinflammation in the Hippocampus of Rat. International Journal of Molecular Sciences. 2023; 24(13):11147. https://doi.org/10.3390/ijms241311147
Chicago/Turabian StyleTret’yakova, Liya V., Alexey A. Kvichansky, Ekaterina S. Barkovskaya, Anna O. Manolova, Alexey P. Bolshakov, and Natalia V. Gulyaeva. 2023. "Ambiguous Contribution of Glucocorticosteroids to Acute Neuroinflammation in the Hippocampus of Rat" International Journal of Molecular Sciences 24, no. 13: 11147. https://doi.org/10.3390/ijms241311147
APA StyleTret’yakova, L. V., Kvichansky, A. A., Barkovskaya, E. S., Manolova, A. O., Bolshakov, A. P., & Gulyaeva, N. V. (2023). Ambiguous Contribution of Glucocorticosteroids to Acute Neuroinflammation in the Hippocampus of Rat. International Journal of Molecular Sciences, 24(13), 11147. https://doi.org/10.3390/ijms241311147

