Effect of Microplastics on the Activity of Digestive and Oxidative-Stress-Related Enzymes in Peled Whitefish (Coregonus peled Gmelin) Larvae
Abstract
1. Introduction
2. Results and Discussion
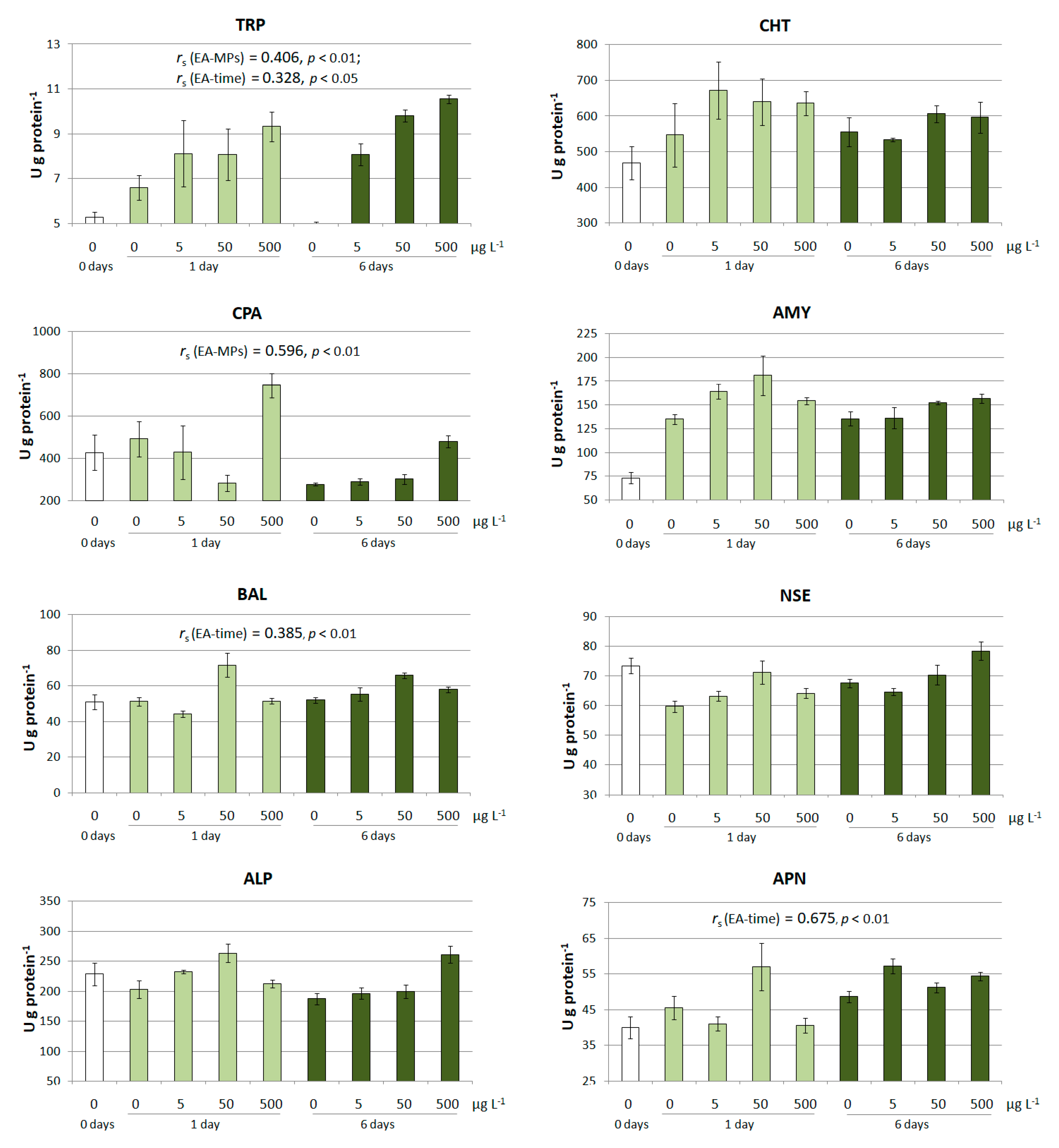
2.1. Effect of PS Microspheres on Digestive Enzymes
2.2. Effect of PS Microspheres on Antioxidant Enzymes
3. Materials and Methods
3.1. Object of the Study
3.2. MP Preparation
3.3. Experimental Design
3.4. Microscopy and Imaging
3.5. Enzyme Activity Assays
3.5.1. Sample Preparation
3.5.2. Digestive Enzymes
3.5.3. Antioxidant Enzymes
3.6. Data Interpretation and Statistical Analysis
4. Conclusions
Author Contributions
Funding
Institutional Review Board Statement
Informed Consent Statement
Data Availability Statement
Acknowledgments
Conflicts of Interest
References
- Thompson, R.C.; Olsen, Y.; Mitchell, R.P.; Davis, A.; Rowland, S.J.; John, A.W.; McGonigle, D.; Russell, A.E. Lost at sea: Where is all the plastic? Science 2004, 304, 838. [Google Scholar] [CrossRef] [PubMed]
- Talbot, R.; Chang, H. Microplastics in freshwater: A global review of factors affecting spatial and temporal variations. Environ. Pollut. 2022, 292 Pt B, 118393. [Google Scholar] [CrossRef]
- Castro-Castellon, A.T.; Horton, A.A.; Hughes, J.M.R.; Rampley, C.; Jeffers, E.S.; Bussi, G.; Whitehead, P. Ecotoxicity of microplastics to freshwater biota: Considering exposure and hazard across trophic levels. Sci. Total Environ. 2022, 816, 151638. [Google Scholar] [CrossRef] [PubMed]
- Thiele, C.J.; Hudson, M.D.; Russell, A.E.; Saluveer, M.; Sidaoui-Haddad, G. Microplastics in fish and fishmeal: An emerging environmental challenge? Sci. Rep. 2021, 11, 2045. [Google Scholar] [CrossRef] [PubMed]
- Bhuyan, M.S. Effects of microplastics on fish and in human health. Front. Environ. Sci. 2022, 10, 827289. [Google Scholar] [CrossRef]
- Rodrigues, A.C.B.; de Jesus, G.P.; Waked, D.; Gomes, G.L.; Silva, T.M.; Yariwake, V.Y.; da Silva, M.P.; Magaldi, A.J.; Veras, M.M. Scientific evidence about the risks of micro and nanoplastics (MNPLs) to human health and their exposure routes through the environment. Toxics 2022, 10, 308. [Google Scholar] [CrossRef]
- Parker, B.; Andreou, D.; Green, I.; Britton, J.R. Microplastics in freshwater fishes: Occurrence, impacts and future perspectives. Fish Fish. 2021, 22, 467–488. [Google Scholar] [CrossRef]
- Badea, M.A.; Balas, M.; Dinischiotu, A. Microplastics in freshwaters: Implications for aquatic autotrophic organisms and fauna health. Microplastics 2023, 2, 39–59. [Google Scholar] [CrossRef]
- De Sa, L.C.; Luís, L.G.; Guilhermino, L. Effects of microplastics on juveniles of the common goby (Pomatoschistus microps): Confusion with prey, reduction of the predatory performance and efficiency, and possible influence of developmental conditions. Environ. Pollut. 2015, 196, 359–362. [Google Scholar] [CrossRef] [PubMed]
- Chae, Y.; Kim, D.; Kim, S.W.; An, Y.-J. Trophic transfer and individual impact of nano-sized polystyrene in a four-species freshwater food chain. Sci. Rep. 2018, 8, 284. [Google Scholar] [CrossRef]
- Klangnurak, W.; Chunniyom, S. Screening for microplastics in marine fish of Thailand: The accumulation of microplastics in the gastrointestinal tract of different foraging preferences. Environ. Sci. Pollut. Res. Int. 2020, 27, 27161–27168. [Google Scholar] [CrossRef] [PubMed]
- Roch, S.; Friedrich, C.; Brinker, A. Uptake routes of microplastics in fishes: Practical and theoretical approaches to test existing theories. Sci. Rep. 2020, 10, 3896. [Google Scholar] [CrossRef] [PubMed]
- Wang, T.; Hu, M.; Xu, G.; Shi, H.; Leung, J.Y.S.; Wang, Y. Microplastic accumulation via trophic transfer: Can a predatory crab counter the adverse effects of microplastics by body defence? Sci. Total Environ. 2021, 754, 142099. [Google Scholar] [CrossRef]
- Kim, L.; Cui, R.; Kwak, J.I.; An, Y.-J. Trophic transfer of nanoplastics through a microalgae–crustacean–small yellow croaker food chain: Inhibition of digestive enzyme activity in fish. J. Hazard. Mater. 2022, 440, 129715. [Google Scholar] [CrossRef] [PubMed]
- Yıldız, D.; Yalçın, G.; Jovanović, B.; Boukal, D.S.; Vebrová, L.; Riha, D.; Stanković, J.; Savić-Zdraković, D.; Metin, M.; Akyürek, Y.N.; et al. Effects of a microplastic mixture differ across trophic levels and taxa in a freshwater food web: In situ mesocosm experiment. Sci. Total Environ. 2022, 836, 155407. [Google Scholar] [CrossRef]
- Von Moos, N.; Burkhardt-Holm, P.; Köhler, A. Uptake and effects of microplastics on cells and tissue of the blue mussel Mytilus edulis L. after an experimental exposure. Environ. Sci. Technol. 2012, 46, 11327–11335. [Google Scholar] [CrossRef]
- Peda, C.; Caccamo, L.; Fossi, M.C.; Gai, F.; Andaloro, F.; Genovese, L.; Perdichizzi, A.; Romeo, T.; Maricchiolo, G. Intestinal alterations in European sea bass Dicentrarchus labrax (Linnaeus, 1758) exposed to microplastics: Preliminary results. Environ. Pollut. 2016, 212, 251–256. [Google Scholar] [CrossRef]
- Grigorakis, S.; Mason, S.A.; Drouillard, K.G. Determination of the gut retention of plastic microbeads and microfibers in goldfish (Carassius auratus). Chemosphere 2017, 169, 233–238. [Google Scholar] [CrossRef]
- Barboza, L.G.A.; Vieira, L.R.; Branco, V.; Figueiredo, N.; Carvalho, F.; Carvalho, C.; Guilhermino, L. Microplastics cause neurotoxicity, oxidative damage and energy-related changes and interact with the bioaccumulation of mercury in the European seabass, Dicentrarchus labrax (Linnaeus, 1758). Aquat. Toxicol. 2018, 195, 49–57. [Google Scholar] [CrossRef]
- Lei, L.; Wu, S.; Lu, S.; Liu, M.; Song, Y.; Fu, Z.; Shi, H.; Raley-Susman, K.M.; He, D. Microplastic particles cause intestinal damage and other adverse effects in zebrafish Danio rerio and nematode Caenorhabditis elegans. Sci. Total Environ. 2018, 619–620, 1–8. [Google Scholar] [CrossRef]
- Qiao, R.; Sheng, C.; Lu, Y.; Zhang, Y.; Ren, H.; Lemos, B. Microplastics induce intestinal inflammation, oxidative stress, and disorders of metabolome and microbiome in zebrafish. Sci. Total Environ. 2019, 662, 246–253. [Google Scholar] [CrossRef]
- Qiao, R.; Deng, Y.; Zhang, S.; Wolosker, M.B.; Zhu, Q.; Ren, H.; Zhang, Y. Accumulation of different shapes of microplastics initiates intestinal injury and gut microbiota dysbiosis in the gut of zebrafish. Chemosphere 2019, 236, 124334. [Google Scholar] [CrossRef]
- Zhu, M.; Chernick, M.; Rittschof, D.; Hinton, D.E. Chronic dietary exposure to polystyrene microplastics in maturing Japanese medaka (Oryzias latipes). Aquat. Toxicol. 2020, 220, 105396. [Google Scholar] [CrossRef]
- Yang, H.; Xiong, H.; Mi, K.; Xue, W.; Wei, W.; Zhang, Y. Toxicity comparison of nano-sized and micron-sized microplastics to Goldfish Carassius auratus Larvae. J. Hazard. Mater. 2020, 388, 122058. [Google Scholar] [CrossRef]
- Kim, J.H.; Yu, Y.B.; Choi, J.H. Toxic effects on bioaccumulation, hematological parameters, oxidative stress, immune responses and neurotoxicity in fish exposed to microplastics: A review. J. Hazard. Mater. 2021, 413, 125423. [Google Scholar] [CrossRef]
- Zhang, C.; Pan, Z.; Wang, S.; Xu, G.; Zou, J. Size and concentration effects of microplastics on digestion and immunity of hybrid snakehead in developmental stages. Aquac. Rep. 2022, 22, 100974. [Google Scholar] [CrossRef]
- Jin, Y.X.; Xia, J.Z.; Pan, Z.H.; Yang, J.J.; Wang, W.C.; Fu, Z.W. Polystyrene microplastics induce microbiota dysbiosis and inflammation in the gut of adult zebrafish. Environ. Pollut. 2018, 235, 322–329. [Google Scholar] [CrossRef] [PubMed]
- Lu, Y.; Zhang, Y.; Deng, Y.; Jiang, W.; Zhao, Y.; Geng, J.; Ding, L.; Ren, H. Uptake and Accumulation of Polystyrene Microplastics in Zebrafish (Danio rerio) and toxic effects in liver. Environ. Sci. Technol. 2016, 50, 4054–4060. [Google Scholar] [CrossRef] [PubMed]
- Lu, L.; Luo, T.; Zhao, Y.; Cai, C.; Fu, Z.; Jin, Y. Interaction between microplastics and microorganism as well as gut microbiota: A consideration on environmental animal and human health. Sci. Total Environ. 2019, 667, 94–100. [Google Scholar] [CrossRef]
- Fackelmann, G.; Sommer, S. Microplastics and the gut microbiome: How chronically exposed species may suffer from gut dysbiosis. Mar. Pollut. Bull. 2019, 143, 193–203. [Google Scholar] [CrossRef] [PubMed]
- Xie, S.; Zhou, A.; Wei, T.; Li, S.; Yang, B.; Xu, G.; Zou, J. Nanoplastics induce more serious microbiota dysbiosis and inflammation in the gut of adult zebrafish than microplastics. Bull. Environ. Contam. Toxicol. 2021, 107, 640–650. [Google Scholar] [CrossRef] [PubMed]
- Medriano, C.A.; Bae, S. Acute exposure to microplastics induces metabolic disturbances and gut dysbiosis in adult zebrafish (Danio rerio). Ecotoxicol. Environ. Saf. 2022, 245, 114125. [Google Scholar] [CrossRef]
- Trestrail, C.; Walpitagama, M.; Miranda, A.; Nugegoda, D.; Shimeta, J. Microplastics alter digestive enzyme activities in the marine bivalve, Mytilus galloprovincialis. Sci. Total Environ. 2021, 779, 146418. [Google Scholar] [CrossRef]
- O’Brien, C.J.; Hong, H.C.; Bryant, E.E.; Connor, K.M. The observation of starch digestion in blue mussel Mytilus galloprovincialis exposed to microplastic particles under varied food conditions. PLoS ONE 2021, 16, e0253802. [Google Scholar] [CrossRef] [PubMed]
- Huang, J.-N.; Wen, B.; Zhu, J.-G.; Zhang, Y.-S.; Gao, J.-Z.; Chen, Z.-Z. Exposure to microplastics impairs digestive performance, stimulates immune response and induces microbiota dysbiosis in the gut of juvenile guppy (Poecilia reticulata). Sci. Total Environ. 2020, 733, 138929. [Google Scholar] [CrossRef] [PubMed]
- Xiao, K.; Song, L.; Li, Y.; Li, C.; Zhang, S. Dietary intake of microplastics impairs digestive performance, induces hepatic dysfunction, and shortens lifespan in the annual fish Nothobranchius guentheri. Biogerontology 2023, 24, 207–223. [Google Scholar] [CrossRef]
- Gutteridge, J.M. Lipid peroxidation and antioxidants as biomarkers of tissue damage. Clin. Chem. 1995, 41, 1819–1828. [Google Scholar] [CrossRef]
- Pisoschi, A.M.; Pop, A. The role of antioxidants in the chemistry of oxidative stress: A review. Eur. J. Med. Chem. 2015, 97, 55–74. [Google Scholar] [CrossRef]
- Guerrera, M.C.; Aragona, M.; Porcino, C.; Fazio, F.; Laurà, R.; Levanti, M.; Montalbano, G.; Germanà, G.; Abbate, F.; Germanà, A. Micro and nano plastics distribution in fish as model organisms: Histopathology, blood response and bioaccumulation in different organs. Appl. Sci. 2021, 11, 5768. [Google Scholar] [CrossRef]
- Wan, Z.; Wang, C.; Zhou, J.; Shen, M.; Wang, X.; Fu, Z.; Jin, Y. Effects of polystyrene microplastics on the composition of the microbiome and metabolism in larval zebrafish. Chemosphere 2019, 217, 646–658. [Google Scholar] [CrossRef]
- Ding, J.; Zhang, S.; Razanajatovo, R.M.; Zou, H.; Zhu, W. Accumulation, tissue distribution, and biochemical effects of polystyrene microplastics in the freshwater fish red tilapia (Oreochromis niloticus). Environ. Pollut. 2018, 238, 1–9. [Google Scholar] [CrossRef]
- Jeyavani, J.; Sibiya, A.; Stalin, T.; Vigneshkumar, G.; Al-Ghanim, K.A.; Riaz, M.N.; Govindarajan, M.; Vaseeharan, B. Biochemical, genotoxic and histological implications of polypropylene microplastics on freshwater fish Oreochromis mossambicus: An aquatic eco-toxicological assessment. Toxics 2023, 11, 282. [Google Scholar] [CrossRef] [PubMed]
- Babkin, А.М.; Babkina, I.B.; Interesova, Е.А. Size and age structure and catches of peled Coregonus peled in the Middle Ob (within Tomsk region). Bull. Fish. Sci. 2018, 5, 55–63. (In Russian) [Google Scholar]
- Frank, Y.A.; Vorobiev, E.D.; Babkina, I.B.; Antsiferov, D.V.; Vorobiev, D.S. Microplastics in fish gut, first records from the Tom River in West Siberia, Russia. Tomsk. State Univ. J. Biol. 2020, 52, 130–139. [Google Scholar] [CrossRef]
- Frank, Y.A.; Vorobiev, E.D.; Vorobiev, D.S.; Trifonov, A.A.; Antsiferov, D.V.; Soliman Hunter, T.; Wilson, S.P.; Strezov, V. Preliminary screening for microplastic concentrations in the surface water of rivers Ob and Tom in Siberia, Russia. Sustainability 2021, 13, 80. [Google Scholar] [CrossRef]
- Frank, Y.; Ershova, A.; Batasheva, S.; Vorobiev, E.; Rakhmatullina, S.; Vorobiev, D.; Fakhrullin, R. Microplastics in freshwater: A focus on the Russian inland waters. Water 2022, 14, 3909. [Google Scholar] [CrossRef]
- Plastics—The Facts. 2022. Available online: https://plasticseurope.org/knowledge-hub/plastics-the-facts-2022/ (accessed on 4 May 2023).
- Wen, B.; Jin, S.R.; Chen, Z.Z.; Gao, J.Z.; Liu, Y.N.; Liu, J.H.; Feng, X.S. Single and combined effects of microplastics and cadmium on the cadmium accumulation, antioxidant defense and innate immunity of the discus fish (Symphysodon aequifasciatus). Environ. Pollut. 2018, 243, 462–471. [Google Scholar] [CrossRef] [PubMed]
- Romano, N.; Ashikin, M.; Teh, J.C.; Syukri, F.; Karami, A. Effects of pristine polyvinyl chloride fragments on whole body histology and protease activity in silver barb Barbodes gonionotus fry. Environ. Pollut. 2018, 223, 154–163. [Google Scholar] [CrossRef]
- Huang, J.-N.; Wen, B.; Meng, L.J.; Li, X.X.; Wang, M.H.; Gao, J.Z.; Chen, Z.Z. Integrated response of growth, antioxidant defense and isotopic composition to microplastics in juvenile guppy (Poecilia reticulata). J. Hazard. Mater. 2020, 399, 654. [Google Scholar] [CrossRef]
- Solovyev, M.M.; Kashinskaya, E.N.; Gisbert, E. A meta-analysis for assessing the contributions of trypsin and chymotrypsin as the two major endoproteases in protein hydrolysis in fish intestine. Comp. Biochem. Physiol. A Mol. Integr. Physiol. 2023, 278, 111372. [Google Scholar] [CrossRef]
- Wright, S.L.; Thompson, R.C.; Galloway, T.S. The physical impacts of MPs on marine organisms: A review. Environ. Pollut. 2013, 178, 483–492. [Google Scholar] [CrossRef] [PubMed]
- Jabeen, K.; Li, B.; Chen, Q.; Su, L.; Wu, C.; Hollert, H.; Shi, H. Effects of virgin microplastics on goldfish (Carassius auratus). Chemosphere 2018, 213, 323–332. [Google Scholar] [CrossRef] [PubMed]
- Cara, B.; Moyano, F.J.; Zambonino, J.L.; Fauvel, C. Trypsin and chymotrypsin as indicators of nutritional status of post-weaned sea bass larvae. J. Fish. Biol 2007, 70, 1789–1808. [Google Scholar] [CrossRef]
- AL-Krawy, A.H.H. Effect of starvation and re- feeding on trypsin and chymotrypsin activities in common carp (Cyprinus carpio L.). J. Al-Ma’moon Coll. 2016, 27, 417–434. [Google Scholar]
- Ahrendt, C.; Perez-Venegas, D.J.; Urbina, M.; Gonzalez, C.; Echeveste, P.; Aldana, M.; Pulgar, J.; Galbán-Malagón, C. Microplastic ingestion cause intestinal lesions in the intertidal fish Girella laevifrons. Mar. Pollut. Bull. 2020, 151, 110795. [Google Scholar] [CrossRef]
- Alimba, C.G.; Faggio, C. Microplastics in the marine environment: Current trends in environmental pollution and mechanisms of toxicological profile. Environ. Toxicol. Pharmacol. 2019, 68, 61–74. [Google Scholar] [CrossRef] [PubMed]
- Umamaheswari, S.; Priyadarshinee, S.; Bhattacharjee, M.; Kadirvelu, K.; Ramesh, M. Exposure to polystyrene microplastics induced gene modulated biological responses in zebrafish (Danio rerio). Chemosphere 2021, 281, 128592. [Google Scholar] [CrossRef]
- Alomar, C.; Sureda, A.; Capó, X.; Guijarro, B.; Tejada, S.; Deudero, S. Microplastic ingestion by Mullus surmuletus Linnaeus, 1758 fish and its potential for causing oxidative stress. Environ. Res. 2017, 159, 135–142. [Google Scholar] [CrossRef]
- Xia, X.; Sun, M.; Zhou, M.; Chang, Z.; Li, L. Polyvinyl chloride microplastics induce growth inhibition and oxidative stress in Cyprinus carpio var. larvae. Sci. Total Environ. 2020, 716, 136479. [Google Scholar] [CrossRef]
- Froese, R.; Pauly, D. (Eds.) FishBase; World Wide Web Electronic Publication: Boston, MA, USA, 2023; Available online: https://www.fishbase.se/summary/Coregonus-peled.html (accessed on 10 April 2023).
- Reshetnikov, Y.S.; Muhachev, I.S.; Bolotova, N.L. (Eds.) Coregonus peled (Gmelin, 1788) (PISCES: Coregonidae). Systematics, Morphology, Ecology, Production; Nauka: Moscow, Russia, 1989; 303p. (In Russian) [Google Scholar]
- Rostovtsev, A.A.; Interesova, E.A. Fish resources of the Tomsk region. Rybnoe Hozjajstvo 2015, 5, 48–49. (In Russian) [Google Scholar]
- Matkovsky, A.K. Reasons for the reduction of stocks of semi-anadromal whitefish in the Ob-Irtysh basin. Bull. Fish. Sci. 2019, 1, 27–48. (In Russian) [Google Scholar]
- Ulchenko, V.A.; Matkovsky, A.K.; Stepanov, S.I.; Kochetkov, P.A.; Yankova, N.V.; Gadinov, A.N. Fish resources and their use in the estuary of the Kara and Laptev seas. Trudy VNIRO 2016, 160, 116–132. (In Russian) [Google Scholar]
- Simakova, A.; Varenitsina, A.; Babkina, I.; Andreeva, Y.; Bagirov, R.; Yartsev, V.; Frank, Y. Ontogenetic transfer of microplastics in bloodsucking mosquitoes Aedes aegypti L. (Diptera: Culicidae) is a potential pathway for particle distribution in the environment. Water 2022, 14, 1852. [Google Scholar] [CrossRef]
- Solovyev, M.M.; Campoverde, C.; Öztürk, S.; Moreira, C.; Diaz, M.; Moyano, F.J.; Estévez, A.; Gisbert, E. Morphological and functional description of the development of the digestive system in meagre (Argyrosomus regius): An integrative approach. Aquaculture 2016, 464, 381–391. [Google Scholar] [CrossRef]
- Gisbert, E.; Nolasco, H.; Solovyev, M. Towards the standardization of brush border purification and intestinal alkaline phosphatase quantification in fish with notes on other digestive enzymes. Aquaculture 2018, 487, 102–108. [Google Scholar] [CrossRef]
- Solovyev, M.; Gisbert, E. Influence of time, storage temperature and freeze/thaw cycles on the activity of digestive enzymes from gilthead sea bream (Sparus aurata). Fish Physiol. Biochem. 2016, 42, 1383–1394. [Google Scholar] [CrossRef]
- Holm, H.; Hanssen, L.E.; Krogdahl, A.; Florholmen, J. High and low inhibitor soybean meals affect human duodenal proteinase activity differently: In vivo comparison with bovine serum albumin. J. Nutr. 1988, 118, 515–520. [Google Scholar] [CrossRef]
- Worthington, K.; Worthington, V. Worthington Enzyme Manual; Worthington Biochemical Corporation: Lakewood, NJ, USA, 2011; Available online: http://www.worthington-biochem.com/pap/default.html (accessed on 1 November 2022).
- Folk, J.E.; Schirmer, E.W. The porcine pancreatic carboxypeptidase A System: I. Three forms of the active enzyme. J. Biol. Chem. 1963, 238, 3884–3894. [Google Scholar] [CrossRef]
- Bernfeld, P. Amylase a and b. In Methods in Enzymes; Academic Press: New York, NY, USA, 1951; pp. 144–147. [Google Scholar]
- Gawlicka, A.; Parent, B.; Horn, M.H.; Ross, N.; Opstad, I.; Torrissen, O.J. Activity of digestive enzymes in yolk-sac larvae of Atlantic halibut (Hippoglossus hippoglossus): Indication of readiness for first feeding. Aquaculture 2000, 184, 303–314. [Google Scholar] [CrossRef]
- Prabhakaran, S.K.; Kamble, S.T. Purification and characterization of an esterase isozyme from insecticide resistant and susceptible strains of German cockroach, Blattella germanica (L.). Insect Biochem. Mol. 1995, 25, 519–524. [Google Scholar] [CrossRef]
- Bessey, O.A.; Lowry, O.H.; Brock, M.J. A method for the rapid determination of alkaline phosphates with five cubic millimeters of serum. J. Biol. Chem. 1946, 164, 321–329. [Google Scholar] [CrossRef]
- Maroux, S.; Louvard, D.; Barath, J. The aminopeptidase from hog intestinal brush border. BBA—Enzymology 1973, 321, 282–295. [Google Scholar] [CrossRef]
- Aebi, H. Catalase. In Methods in Enzymatic Analysis; Bergmeyer, H.V., Ed.; Academic Press: New York, NY, USA, 1974; Volume 2, pp. 674–684. [Google Scholar]
- Habig, W.H.; Pabst, M.J.; Jakoby, W.B. Glutathione S-transferases. The first enzymatic step in mercapturic acid formation. J. Biol. Chem. 1974, 249, 7130–7139. [Google Scholar] [CrossRef]
- Carlberg, I.; Mannervik, B. Purification and characterization of the flavoenzyme glutathione reductase from rat liver. J. Biol. Chem. 1975, 250, 5475–5480. [Google Scholar] [CrossRef] [PubMed]
- Günzler, A.; Flohé, L. Glutathione peroxidase. In CRC Handbook of Methods for Oxygen Radical Research; Greenwald, R.A., Ed.; CRC Press Inc.: Boca Raton, FL, USA, 1985; pp. 285–290. [Google Scholar]
- Bradford, M. A rapid and sensitive method for the quantitation of microgram quantities of protein utilizing the principle of protein-dye binding. Anal. Biochem. 1976, 72, 248–254. [Google Scholar] [CrossRef] [PubMed]
- Mann, H.B.; Whitney, D.R. On a test of whether one of two random variables is stochastically larger than the other. Ann. Math. Stat. 1947, 18, 50–60. [Google Scholar] [CrossRef]
- Spearman Rank Correlation Coefficient. In The Concise Encyclopedia of Statistics; Springer: New York, NY, USA, 2008. [CrossRef]



| 6 days | ||||||||
| 500 µg L−1 | 0.01 | no | 0.01 | 0.05 | 0.01 | 0.01 | 0.01 | 0.01 |
| 50 µg L−1 | 0.01 | no | 0.01 | 0.05 | 0.01 | no | no | no |
| 5 µg L−1 | 0.01 | no | no | no | no | no | no | 0.01 |
| ALL | 0.01 | NO | 0.01 | NO | 0.01 | NO | 0.05 | 0.01 |
| TRP | CHT | CPA | AMY | BAL | NSE | ALP | APN | |
| ALL | NO | NO | NO | 0.01 | NO | 0.05 | NO | NO |
| 500 µg L−1 | 0.01 | no | 0.05 | 0.01 | no | 0.05 | no | no |
| 50 µg L−1 | no | no | no | 0.05 | 0.01 | 0.05 | 0.05 | no |
| 5 µg L−1 | no | no | no | 0.05 | 0.05 | no | no | no |
| 1 day | ||||||||
| TRP | CHT | CPA | AMY | BAL | NSE | ALP | APN | |
|---|---|---|---|---|---|---|---|---|
| ALL | 0.05 | NO | NO | NO | 0.05 | 0.05 | 0.05 | 0.01 |
| 500 µg L−1 | no | no | 0.01 | no | 0.01 | 0.01 | 0.05 | 0.01 |
| 50 µg L−1 | no | no | 0.05 | no | no | no | 0.01 | no |
| 5 µg L−1 | no | no | no | 0.05 | 0.05 | no | 0.01 | 0.01 |
| CONTROL | 0.05 | NO | NO | NO | NO | 0.01 | NO | NO |
| 6 days | ||||
| 500 µg L−1 | 0.01 | 0.01 | 0.01 | 0.01 |
| 50 µg L−1 | 0.01 | no | no | no |
| 5 µg L−1 | no | no | no | no |
| ALL | 0.01 | 0.05 | 0.05 | 0.05 |
| CAT | GST | GPx | GR | |
| ALL | NO | 0.05 | 0.05 | 0.01 |
| 500 µg L−1 | no | 0.05 | no | 0.05 |
| 50 µg L−1 | no | 0.05 | 0.05 | 0.05 |
| 5 µg L−1 | no | no | no | 0.01 |
| 1 day | ||||
| CAT | GST | GPx | GR | |
|---|---|---|---|---|
| ALL | 0.01 | 0.01 | 0.05 | 0.01 |
| 500 µg L−1 | 0.01 | 0.01 | no | 0.01 |
| 50 µg L−1 | no | no | 0.01 | no |
| 5 µg L−1 | 0.05 | 0.01 | 0.05 | 0.05 |
| CONTROL | NO | 0.01 | 0.01 | 0.05 |
Disclaimer/Publisher’s Note: The statements, opinions and data contained in all publications are solely those of the individual author(s) and contributor(s) and not of MDPI and/or the editor(s). MDPI and/or the editor(s) disclaim responsibility for any injury to people or property resulting from any ideas, methods, instructions or products referred to in the content. |
© 2023 by the authors. Licensee MDPI, Basel, Switzerland. This article is an open access article distributed under the terms and conditions of the Creative Commons Attribution (CC BY) license (https://creativecommons.org/licenses/by/4.0/).
Share and Cite
Frank, Y.A.; Interesova, E.A.; Solovyev, M.M.; Xu, J.; Vorobiev, D.S. Effect of Microplastics on the Activity of Digestive and Oxidative-Stress-Related Enzymes in Peled Whitefish (Coregonus peled Gmelin) Larvae. Int. J. Mol. Sci. 2023, 24, 10998. https://doi.org/10.3390/ijms241310998
Frank YA, Interesova EA, Solovyev MM, Xu J, Vorobiev DS. Effect of Microplastics on the Activity of Digestive and Oxidative-Stress-Related Enzymes in Peled Whitefish (Coregonus peled Gmelin) Larvae. International Journal of Molecular Sciences. 2023; 24(13):10998. https://doi.org/10.3390/ijms241310998
Chicago/Turabian StyleFrank, Yulia A., Elena A. Interesova, Mikhail M. Solovyev, Jiayi Xu, and Danil S. Vorobiev. 2023. "Effect of Microplastics on the Activity of Digestive and Oxidative-Stress-Related Enzymes in Peled Whitefish (Coregonus peled Gmelin) Larvae" International Journal of Molecular Sciences 24, no. 13: 10998. https://doi.org/10.3390/ijms241310998
APA StyleFrank, Y. A., Interesova, E. A., Solovyev, M. M., Xu, J., & Vorobiev, D. S. (2023). Effect of Microplastics on the Activity of Digestive and Oxidative-Stress-Related Enzymes in Peled Whitefish (Coregonus peled Gmelin) Larvae. International Journal of Molecular Sciences, 24(13), 10998. https://doi.org/10.3390/ijms241310998

