The Methylation Analysis of the Glucose-Dependent Insulinotropic Polypeptide Receptor (GIPR) Locus in GH-Secreting Pituitary Adenomas
Abstract
1. Introduction
2. Results
2.1. Methylation of the Promoter and the Gene Body Correlate with GIPR Expression in GH-PAs
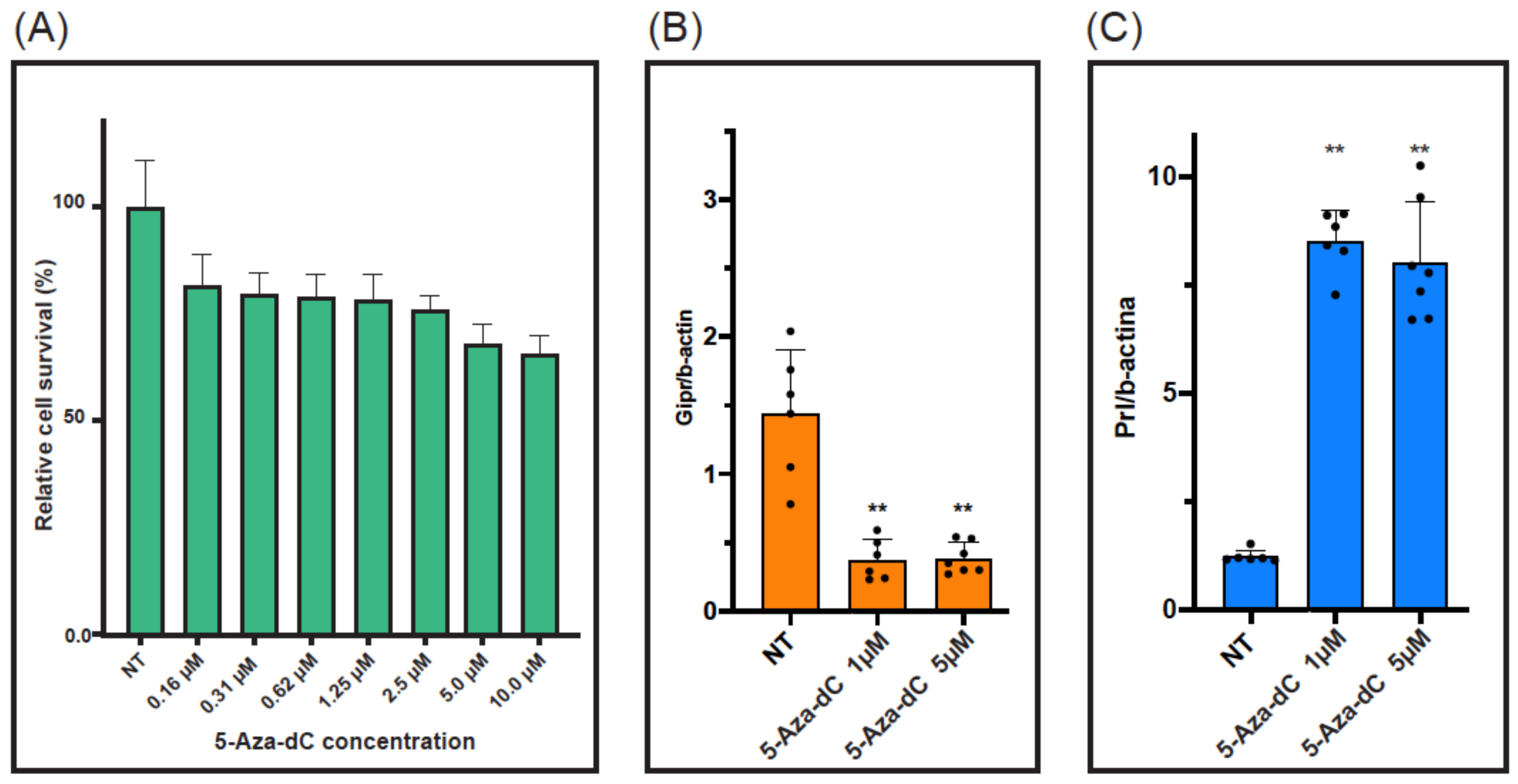
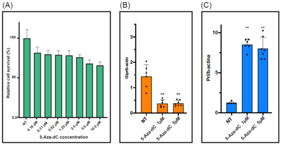
2.2. Modulation of DNA Methylation Content in GH3 Cells Is Associated with Changes in Steady-State Levels of Gipr mRNA
3. Discussion
4. Materials and Methods
4.1. Patients and Tumoral Specimens
4.2. Cell Cultures and Modulation of Global DNA Methylation
4.3. Bisulfite Sequencing PCR (BSP)
4.4. RNA Extraction, Reverse Transcription, and Quantification
4.5. Statistical Analysis
Supplementary Materials
Author Contributions
Funding
Institutional Review Board Statement
Informed Consent Statement
Data Availability Statement
Conflicts of Interest
References
- Couvineau, A.; Laburthe, M. The Family B1 GPCR: Structural Aspects and Interaction with Accessory Proteins. Curr. Drug Targets 2011, 13, 103–115. [Google Scholar] [CrossRef] [PubMed]
- Thondam, S.K.; Cuthbertson, D.J.; Wilding, J.P.H. The influence of Glucose-dependent Insulinotropic Polypeptide (GIP) on human adipose tissue and fat metabolism: Implications for obesity, type 2 diabetes and Non-Alcoholic Fatty Liver Disease (NAFLD). Peptides 2020, 125, 170208. [Google Scholar] [CrossRef] [PubMed]
- Adriaenssens, A.E.; Gribble, F.M.; Reimann, F. The glucose-dependent insulinotropic polypeptide signaling axis in the central nervous system. Peptides 2020, 125, 170194. [Google Scholar] [CrossRef] [PubMed]
- Baggio, L.L.; Drucker, D.J. Biology of Incretins: GLP-1 and GIP. Gastroenterology 2007, 132, 2131–2157. [Google Scholar] [CrossRef] [PubMed]
- Ceperuelo-Mallafré, V.; Duran, X.; Pachón, G.; Roche, K.; Garrido-Sánchez, L.; Vilarrasa, N.; Tinahones, F.J.; Vicente, V.; Pujol, J.; Vendrell, J.; et al. Disruption of GIP/GIPR axis in human adipose tissue is linked to obesity and insulin resistance. J. Clin. Endocrinol. Metab. 2014, 99, E908–E919. [Google Scholar] [CrossRef] [PubMed]
- Vilsbøll, T.; Krarup, T.; Madsbad, S.; Holst, J.J. Defective amplification of the late phase insulin response to glucose by GIP in obese Type II diabetic patients. Diabetologia 2002, 45, 1111–1119. [Google Scholar] [CrossRef] [PubMed]
- Regazzo, D.; Barbot, M.; Scaroni, C.; Albiger, N.; Occhi, G. The pathogenic role of the GIP/GIPR axis in human endocrine tumors: Emerging clinical mechanisms beyond diabetes. Rev. Endocr. Metab. Disord. 2020, 21, 165–183. [Google Scholar] [CrossRef] [PubMed]
- Regazzo, D.; Bertazza, L.; Galletta, E.; Barollo, S.; Mondin, A.; Zovato, S.; Iacobone, M.; Zilio, E.; Scaroni, C.; Radu, C.M.; et al. The GIP/GIPR axis in medullary thyroid cancer: Clinical and molecular findings. Endocr. Relat. Cancer 2022, 29, 273–284. [Google Scholar] [CrossRef]
- St-Jean, M.; El Ghorayeb, N.; Bourdeau, I.; Lacroix, A. Aberrant G-protein coupled hormone receptor in adrenal diseases. Best Pract. Res. Clin. Endocrinol. Metab. 2018, 32, 165–187. [Google Scholar] [CrossRef]
- Körner, M.; Waser, B.; Reubi, J.C. Does somatostatin or gastric inhibitory peptide receptor expression correlate with tumor grade and stage in gut neuroendocrine tumors? Neuroendocrinology 2015, 101, 45–57. [Google Scholar] [CrossRef]
- Karpathakis, A.; Dibra, H.; Pipinikas, C.; Feber, A.; Morris, T.; Francis, J.; Oukrif, D.; Mandair, D.; Pericleous, M.; Mohmaduvesh, M.; et al. Prognostic impact of novel molecular subtypes of small intestinal neuroendocrine tumor. Clin. Cancer Res. 2016, 22, 250–258. [Google Scholar] [CrossRef] [PubMed]
- Hage, M.; Chaligné, R.; Viengchareun, S.; Villa, C.; Salenave, S.; Bouligand, J.; Letouzé, E.; Tosca, L.; Rouquette, A.; Tachdjian, G.; et al. Hypermethylator phenotype and ectopic GIP receptor in GNAS mutation-negative somatotropinomas. J. Clin. Endocrinol. Metab. 2019, 104, 1777–1787. [Google Scholar] [CrossRef] [PubMed]
- Regazzo, D.; Losa, M.; Albiger, N.M.; Terreni, M.R.; Vazza, G.; Ceccato, F.; Emanuelli, E.; Denaro, L.; Scaroni, C.; Occhi, G. The GIP/GIPR axis is functionally linked to GH-secretion increase in a significant proportion of gsp− somatotropinomas. Eur. J. Endocrinol. 2017, 176, 543–553. [Google Scholar] [CrossRef] [PubMed]
- Rymuza, J.; Kober, P.; Rusetska, N.; Mossakowska, B.J.; Maksymowicz, M.; Nyc, A.; Baluszek, S.; Zieliński, G.; Kunicki, J.; Bujko, M. Transcriptomic Classification of Pituitary Neuroendocrine Tumors Causing Acromegaly. Cells 2022, 11, 3846. [Google Scholar] [CrossRef]
- Scaroni, C.; Albiger, N.; Daniele, A.; Dassie, F.; Romualdi, C.; Vazza, G.; Regazzo, D.; Ferraù, F.; Barresi, V.; Maffeis, V.; et al. Paradoxical GH increase during OGTT is associated with first-generation somatostatin analog responsiveness in acromegaly. J. Clin. Endocrinol. Metab. 2019, 104, 856–862. [Google Scholar] [CrossRef]
- Mukai, K.; Otsuki, M.; Tamada, D.; Kitamura, T.; Hayashi, R.; Saiki, A.; Goto, Y.; Arita, H.; Oshino, S.; Morii, E.; et al. Clinical characteristics of acromegalic patients with paradoxical GH response to oral glucose load. J. Clin. Endocrinol. Metab. 2019, 104, 1637–1644. [Google Scholar] [CrossRef]
- Atquet, V.; Alexopoulou, O.; Maiter, D. Characteristics and treatment responsiveness of patients with acromegaly and a paradoxical GH increase to oral glucose load. Eur. J. Endocrinol. 2021, 185, 313–321. [Google Scholar] [CrossRef]
- Düğer, H.; Bostan, H.; Deryol, H.Y.; İmga, N.N.; Uçan, B.; Çalapkulu, M.; Hepşen, S.; Akhanlı, P.; Gül, Ü.; Sencar, M.E.; et al. Paradoxical GH increase during oral glucose load may predict overall remission in acromegalic patients. Growth Horm. IGF Res. 2022, 67, 101501. [Google Scholar] [CrossRef]
- Chasseloup, F.; Bourdeau, I.; Tabarin, A.; Regazzo, D.; Dumontet, C.; Ladurelle, N.; Tosca, L.; Amazit, L.; Proust, A.; Scharfmann, R.; et al. Loss of KDM1A in GIP-dependent primary bilateral macronodular adrenal hyperplasia with Cushing’s syndrome: A multicentre, retrospective, cohort study. Lancet Diabetes Endocrinol. 2021, 9, 813–824. [Google Scholar] [CrossRef]
- Vaczlavik, A.; Bouys, L.; Violon, F.; Giannone, G.; Jouinot, A.; Armignacco, R.; Cavalcante, I.P.; Berthon, A.; Letouzé, E.; Vaduva, P.; et al. KDM1A inactivation causes hereditary food-dependent Cushing syndrome. Genet. Med. 2022, 24, 374–383. [Google Scholar] [CrossRef]
- Occhi, G.; Losa, M.; Albiger, N.; Trivellin, G.; Regazzo, D.; Scanarini, M.; Monteserin-Garcia, J.L.; Fröhlich, B.; Ferasin, S.; Terreni, M.R.; et al. The glucose-dependent insulinotropic polypeptide receptor is overexpressed amongst GNAS1 mutation-negative somatotropinomas and drives growth hormone (GH)-promoter activity in GH3 cells. J. Neuroendocrinol. 2011, 23, 641–649. [Google Scholar] [CrossRef] [PubMed]
- Occhi, G.; Albiger, N.; Berlucchi, S.; Gardiman, M.; Scanarini, M.; Scienza, R.; Fassina, A.; Mantero, F.; Scaroni, C. Peroxisome proliferator-activated receptor gamma in the human pituitary gland: Expression and splicing pattern in adenomas versus normal pituitary. J. Neuroendocrinol. 2007, 19, 552–559. [Google Scholar] [CrossRef] [PubMed]
- Ngô, V.M.; Laverrière, J.N.; Gourdji, D. CpG methylation represses the activity of the rat prolactin promoter in rat GH3 pituitary cell lines. Mol. Cell. Endocrinol. 1995, 108, 95–105. [Google Scholar] [CrossRef] [PubMed]
- Fujii, H.; Tamamori-Adachi, M.; Uchida, K.; Susa, T.; Nakakura, T.; Hagiwara, H.; Iizuka, M.; Okinaga, H.; Tanaka, Y.; Okazaki, T. Marked cortisol production by Intracrine ACTH in GIP-treated cultured adrenal cells in which the GIP receptor was exogenously Introduced. PLoS ONE 2014, 9, e110543. [Google Scholar] [CrossRef] [PubMed]
- Waser, B.; Beetschen, K.; Pellegata, N.S.; Reubi, J.C. Incretin receptors in non-neoplastic and neoplastic thyroid C cells in rodents and humans: Relevance for incretin-based diabetes therapy. Neuroendocrinology 2011, 94, 291–301. [Google Scholar] [CrossRef] [PubMed]
- Wang, Q.; Xiong, F.; Wu, G.; Liu, W.; Chen, J.; Wang, B.; Chen, Y. Gene body methylation in cancer: Molecular mechanisms and clinical applications. Clin. Epigenetics 2022, 14, 1–14. [Google Scholar] [CrossRef] [PubMed]
- Kreuzer, K.; Böhmert, L.; Alhalabi, D.; Buhrke, T.; Lampen, A.; Braeuning, A. Identification of a transcriptomic signature of food-relevant genotoxins in human HepaRG hepatocarcinoma cells. Food Chem. Toxicol. 2020, 140, 111297. [Google Scholar] [CrossRef]
- Jiang, C.L.; He, S.W.; Zhang, Y.D.; Duan, H.X.; Huang, T.; Huang, Y.C.; Li, G.F.; Wang, P.; Ma, L.J.; Zhou, G.B.; et al. Air pollution and DNA methylation alterations in lung cancer: A systematic and comparative study. Oncotarget 2017, 8, 1369–1391. [Google Scholar] [CrossRef]
- Carraway, H.E.; Malkaram, S.A.; Cen, Y.; Shatnawi, A.; Fan, J.; Ali, H.E.A.; Abd Elmageed, Z.Y.; Buttolph, T.; Denvir, J.; Primerano, D.A.; et al. Activation of SIRT6 by DNA hypomethylating agents and clinical consequences on combination therapy in leukemia. Sci. Rep. 2020, 10, 10325. [Google Scholar] [CrossRef]
- Li, Q.; Bartlett, D.L.; Gorry, M.C.; O’Malley, M.E.; Guo, Z.S. Three epigenetic drugs up-regulate homeobox gene Rhox5 in cancer cells through overlapping and distinct molecular mechanisms. Mol. Pharmacol. 2009, 76, 1072–1081. [Google Scholar] [CrossRef]
- Neou, M.; Villa, C.; Armignacco, R.; Jouinot, A.; Raffin-Sanson, M.L.; Septier, A.; Letourneur, F.; Diry, S.; Diedisheim, M.; Izac, B.; et al. Pangenomic Classification of Pituitary Neuroendocrine Tumors. Cancer Cell 2020, 37, 123–134.e5. [Google Scholar] [CrossRef] [PubMed]
- Salomon, M.P.; Wang, X.; Marzese, D.M.; Hsu, S.C.; Nelson, N.; Zhang, X.; Matsuba, C.; Takasumi, Y.; Ballesteros-Merino, C.; Fox, B.A.; et al. The Epigenomic Landscape of Pituitary Adenomas Reveals Specific Alterations and Differentiates Among Acromegaly, Cushing’s Disease and Endocrine-Inactive Subtypes. Clin. Cancer Res. 2018, 24, 4126–4136. [Google Scholar] [CrossRef] [PubMed]
- Välimäki, N.; Schalin-Jäntti, C.; Karppinen, A.; Paetau, A.; Kivipelto, L.; Aaltonen, L.A.; Karhu, A. Genetic and epigenetic characterization of growth hormone-secreting pituitary tumors. Mol. Cancer Res. 2019, 17, 2432–2443. [Google Scholar] [CrossRef] [PubMed]
- Ronchi, C.L.; Peverelli, E.; Herterich, S.; Weigand, I.; Mantovani, G.; Schwarzmayr, T.; Sbiera, S.; Allolio, B.; Honegger, J.; Appenzeller, S.; et al. Landscape of somatic mutations in sporadic GH-secreting pituitary adenomas. Eur. J. Endocrinol. 2016, 174, 363–372. [Google Scholar] [CrossRef] [PubMed]
- Chasseloup, F.; Tosca, L.; Proust, A.; Kuhn, E.; Hage, M.; Jublanc, C.; Occhi, G.; Regazzo, D.; Salenave, S.; Gaillard, S.; et al. Lysine demethylase KDM1A et expression ectopique du récepteur du GIP dans les adénomes hypophysaires somatotropes. Ann. D’endocrinol. 2022, 83, 284. [Google Scholar] [CrossRef]
- Wang, J.; Hevi, S.; Kurash, J.K.; Lei, H.; Gay, F.; Bajko, J.; Su, H.; Sun, W.; Chang, H.; Xu, G.; et al. The lysine demethylase LSD1 (KDM1) is required for maintenance of global DNA methylation. Nat. Genet. 2009, 41, 125–129. [Google Scholar] [CrossRef] [PubMed]
- Hernández, H.G.; Tse, M.Y.; Pang, S.C.; Arboleda, H.; Forero, D.A. Optimizing methodologies for PCR-based DNA methylation analysis. Biotechniques 2013, 55, 181–197. [Google Scholar] [CrossRef]
- Murphy, S.K.; Bassil, C.F.; Huang, Z. Main principles and outcomes of DNA methylation analysis. Methods Mol. Biol. 2013, 1049, 67–74. [Google Scholar] [CrossRef]
- Warnecke, P.M.; Stirzaker, C.; Song, J.; Grunau, C.; Melki, J.R.; Clark, S.J. Identification and resolution of artifacts in bisulfite sequencing. Methods 2002, 27, 101–107. [Google Scholar] [CrossRef]




Disclaimer/Publisher’s Note: The statements, opinions and data contained in all publications are solely those of the individual author(s) and contributor(s) and not of MDPI and/or the editor(s). MDPI and/or the editor(s) disclaim responsibility for any injury to people or property resulting from any ideas, methods, instructions or products referred to in the content. |
© 2023 by the authors. Licensee MDPI, Basel, Switzerland. This article is an open access article distributed under the terms and conditions of the Creative Commons Attribution (CC BY) license (https://creativecommons.org/licenses/by/4.0/).
Share and Cite
Dalle Nogare, M.; D’Annunzio, S.; Vazza, G.; Regazzo, D.; Picello, L.; Denaro, L.; Voltan, G.; Scaroni, C.; Ceccato, F.; Occhi, G. The Methylation Analysis of the Glucose-Dependent Insulinotropic Polypeptide Receptor (GIPR) Locus in GH-Secreting Pituitary Adenomas. Int. J. Mol. Sci. 2023, 24, 9264. https://doi.org/10.3390/ijms24119264
Dalle Nogare M, D’Annunzio S, Vazza G, Regazzo D, Picello L, Denaro L, Voltan G, Scaroni C, Ceccato F, Occhi G. The Methylation Analysis of the Glucose-Dependent Insulinotropic Polypeptide Receptor (GIPR) Locus in GH-Secreting Pituitary Adenomas. International Journal of Molecular Sciences. 2023; 24(11):9264. https://doi.org/10.3390/ijms24119264
Chicago/Turabian StyleDalle Nogare, Mattia, Sarah D’Annunzio, Giovanni Vazza, Daniela Regazzo, Luna Picello, Luca Denaro, Giacomo Voltan, Carla Scaroni, Filippo Ceccato, and Gianluca Occhi. 2023. "The Methylation Analysis of the Glucose-Dependent Insulinotropic Polypeptide Receptor (GIPR) Locus in GH-Secreting Pituitary Adenomas" International Journal of Molecular Sciences 24, no. 11: 9264. https://doi.org/10.3390/ijms24119264
APA StyleDalle Nogare, M., D’Annunzio, S., Vazza, G., Regazzo, D., Picello, L., Denaro, L., Voltan, G., Scaroni, C., Ceccato, F., & Occhi, G. (2023). The Methylation Analysis of the Glucose-Dependent Insulinotropic Polypeptide Receptor (GIPR) Locus in GH-Secreting Pituitary Adenomas. International Journal of Molecular Sciences, 24(11), 9264. https://doi.org/10.3390/ijms24119264

