The Influence of Early Onset Preeclampsia on Perinatal Red Blood Cell Characteristics of Neonates
Abstract
1. Introduction
2. Results
2.1. Population Characteristics
2.2. Hemorheological Findings
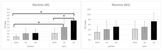
2.3. RBC Aggregation
2.4. RBC Deformability
3. Discussion
Strengths and Limitations
4. Materials and Methods
4.1. Subjects
4.2. Sample and Data Collection
4.3. Hemorheological Measurements
4.4. Statistics
5. Conclusions
Author Contributions
Funding
Institutional Review Board Statement
Informed Consent Statement
Data Availability Statement
Acknowledgments
Conflicts of Interest
References
- Villar, J.; Carroli, G.; Wojdyla, D.; Abalos, E.; Giordano, D.; Ba’aqeel, H.; Farnot, U.; Bergsjø, P.; Bakketeig, L.; Lumbiganon, P.; et al. Preeclampsia, gestational hypertension and intrauterine growth restriction, related or independent conditions? Am. J. Obstet. Gynecol. 2006, 194, 921–931. [Google Scholar] [CrossRef] [PubMed]
- Say, L.; Chou, D.; Gemmill, A.; Tunçalp, Ö.; Moller, A.B.; Daniels, J.; Gülmezoglu, A.M.; Temmerman, M.; Alkema, L. Global causes of maternal death: A WHO systematic analysis. Lancet Glob. Health 2014, 2, e323–e333. [Google Scholar] [CrossRef] [PubMed]
- Brown, M.A.; Magee, L.A.; Kenny, L.C.; Karumanchi, S.A.; McCarthy, F.P.; Saito, S.; Hall, D.R.; Warren, C.E.; Adoyi, G.; Ishaku, S. The hypertensive disorders of pregnancy: ISSHP classification, diagnosis & management recommendations for international practice. Pregnancy Hypertens. 2018, 13, 291–310. [Google Scholar] [PubMed]
- Lisonkova, S.; Sabr, Y.; Mayer, C.; Young, C.; Skoll, A.; Joseph, K.S. Maternal morbidity associated with early-onset and late-onset preeclampsia. Obstet. Gynecol. 2014, 124, 771–781. [Google Scholar] [CrossRef] [PubMed]
- Tranquilli, A.L.; Dekker, G.; Magee, L. The classification, diagnosis and management of the hypertensive disorders of pregnancy: A revised statement from the ISSHP. Pregnancy Hypertens. 2014, 4, 97–104. [Google Scholar] [CrossRef]
- Vahedi, F.A.; Gholizadeh, L.; Heydari, M. Hypertensive Disorders of Pregnancy and Risk of Future Cardiovascular Disease in Women. Nurs. Women’s Health 2020, 24, 91–100. [Google Scholar] [CrossRef]
- McDonald, S.D.; Malinowski, A.; Zhou, Q.; Yusuf, S.; Devereaux, P.J. Cardiovascular sequelae of preeclampsia/eclampsia: A systematic review and meta-analyses. Am. Heart J. 2008, 156, 918–930. [Google Scholar] [CrossRef]
- Linderkamp, O. Blood viscosity of the neonate. NeoReviews 2004, 406–415. [Google Scholar] [CrossRef]
- Linderkamp, O. Blood rheology in the newborn infant. Bailliere’s Clin. Haematol. 1987, 1, 801–825. [Google Scholar] [CrossRef]
- Rosenkrantz, T.S. Polycythemia and hyperviscosity in the newborn. Semin. Thromb. Hemost. 2003, 29, 515–527. [Google Scholar]
- Powers, R.W.; Jeyabalan, A.; Clifton, R.G. Soluble fms-like tyrosine kinase 1 (sFlt1), endoglin and placental growth factor (PlGF) in preeclampsia among high risk pregnancies. PLoS ONE 2010, 5, e13263. [Google Scholar] [CrossRef] [PubMed]
- Harald, Z.; Elisa, L.; Frederic, C. Predictive Value of the sFlt-1:PlGF Ratio in Women with Suspected Preeclampsia. N. Engl. J. Med. 2016, 374, 13–22. [Google Scholar]
- Chau, K.; Hennessy, A.; Makris, A. Placental growth factor and pre-eclampsia. J. Hum. Hypertens. 2017, 31, 782–786. [Google Scholar] [CrossRef]
- Szarka, A.; Rigó, J.; Lázár, L.; Bekő, G.; Molvarec, A. Circulating cytokines, chemokines and adhesion molecules in normal pregnancy and preeclampsia determined by multiplex suspension array. BMC Immunol. 2010, 11, 59. [Google Scholar] [CrossRef] [PubMed]
- Staff, A.C.; Fjeldstad, H.E.; Fosheim, I.K.; Moe, K.; Turowski, G.; Johnsen, G.M.; Alnaes-Katjavivi, P.; Sugulle, M. Failure of physiological transformation and spiral artery atherosis: Their roles in preeclampsia. Am. J. Obstet. Gynecol. 2020, 226, 895–906. [Google Scholar] [CrossRef]
- Morton, S.; Brodsky, D. Fetal Physiology and the Transition to Extrauterine Life. Clin. Perinatol. 2016, 43, 395–407. [Google Scholar] [CrossRef]
- Platt, M.W.; Deshpande, S. Metabolic adaptation at birth. Semin. Fetal Neonatal Med. 2005, 10, 341–350. [Google Scholar] [CrossRef]
- Christensen, R.D.; Lambert, D.K.; Henry, E. Is “Transfusion–associated necrotizing enterocolitis” an authentic pathogenic entity? Transfusion 2010, 50, 1106–1112. [Google Scholar] [CrossRef]
- Lindern, J.S.; Lopriore, E. Management and prevention of neonatal anemia: Current evidence and guidelines. Expert Rev. Hematol. 2014, 7, 195–202. [Google Scholar] [CrossRef]
- Anwar, M.A.; Rampling, M.W.; Bignall, S.; Rivers, R.P. The variation with gestational age of the rheological properties of the blood of the newborn. Br. J. Haematol. 1994, 86, 163–168. [Google Scholar] [CrossRef]
- Kuss, N.; Bauknecht, E.; Felbinger, C.; Gehm, J.; Gehm, L.; Pöschl, J.; Ruef, P. Determination of whole blood and plasma viscosity in term neonates by flow curve analysis with the LS300 viscometer. Clin. Hemorheol. Microcirc. 2015, 63, 3–14. [Google Scholar] [CrossRef] [PubMed]
- Kuss, N.; Bauknecht, E.; Felbinger, C.; Gehm, J.; Gehm, L.; Pöschl, J.; Ruef, P. Whole blood viscosity of preterm infants—Differences to term neonates. Clin. Hemorheol. Microcirc. 2015, 61, 397–405. [Google Scholar] [PubMed]
- Linderkamp, O.; Meiselman, H.J.; Wu, P.Y.K.; Miller, F.C. Blood and plasma viscosity and optimal hematocrit in the normal newborn infant. Clin. Hemorheol. Microcirc. 1981, 1, 575–584. [Google Scholar] [CrossRef]
- Linderkamp, O.; Ozanne, P.; Wu, P.Y.; Meiselman, H.J. Red blood cell aggregation in preterm and term neonates and adults. Pediatr. Res. 1984, 18, 1356–1360. [Google Scholar] [CrossRef]
- Soliman, A.A.; Csorba, R.; Tsikouras, P.; Wieg, C.; Harnack, H.; Tempelhoff, G.F. Neonatal blood rheological parameters at delivery in healthy neonates and in those with morbidities. Clin. Hemorheol. Microcirc. 2018, 68, 335–345. [Google Scholar] [CrossRef]
- Christensen, R.D.; Baer, V.L.; Gerday, E.; Sheffield, M.J.; Richards, D.S.; Shepherd, J.G.; Snow, G.L.; Bennett, S.T.; Frank, E.L.; Oh, W. Whole-blood viscosity in the neonate: Effects of gestational age, hematocrit, mean corpuscular volume and umbilical cord milking. J. Perinatol. 2014, 34, 16–21. [Google Scholar] [CrossRef]
- Mandelbaum, V.H.; Alverson, D.C.; Kirchgessner, A.; Linderkamp, O. Postnatal changes in cardiac output and haemorrheology in normal neonates born at full term. Arch. Dis. Child. 1991, 66, 391–394. [Google Scholar] [CrossRef]
- Teramo, K.A.; Hiilesmaa, V.K.; Schwartz, R.; Clemons, G.K.; Widness, J.A. Amniotic fluid and cord plasma erythropoietin levels in pregnancies complicated by preeclampsia, pregnancy-induced hypertension and chronic hypertension. J. Perinat. Med. 2004, 32, 240–247. [Google Scholar] [CrossRef]
- Aali, B.S.; Malekpour, R.; Sedig, F.; Safa, A. Comparison of maternal and cord blood nucleated red blood cell count between pre-eclamptic and healthy women. J. Obstet. Gynaecol. Res. 2007, 33, 274–278. [Google Scholar] [CrossRef]
- Bayram, F.; Ozerkan, K.; Cengiz, C.; Develioglu, O.; Cetinkaya, M. Perinatal asphyxia is associated with the umbilical cord nucleated red blood cell count in pre-eclamptic pregnancies. J. Obstet. Gynaecol. 2010, 30, 383–386. [Google Scholar] [CrossRef]
- Heilmann, L.; Rath, W.; Pollow, K. Fetal hemorheology in normal pregnancy and severe preeclampsia. Clin. Hemorheol. Microcirc. 2005, 32, 183–190. [Google Scholar] [PubMed]
- Lubetzky, R.; Ben-Shachar, S.; Mimouni, F.B.; Dollberg, S. Mode of delivery and neonatal hematocrit. Am. J. Perinatol. 2000, 17, 163–165. [Google Scholar] [CrossRef] [PubMed]
- Csorba, R.; Yilmaz, A.; Tsikouras, P.; Wieg, C.; Teichmann, A.; Tempelhoff, G.F. Rheological parameters in the umbilical cord blood in moderate and severe forms of preeclampsia. Clin. Hemorheol. Microcirc. 2013, 55, 391–401. [Google Scholar] [CrossRef] [PubMed]
- Linderkamp, O.; Versmold, H.T.; Riegel, K.P.; Betke, K. Contributions of Red Cells and Plasma to Blood Viscosity in Preterm and Full-Term Infants and Adults. Pediatr. Res. 1984, 18, 1356–1360. [Google Scholar] [CrossRef]
- Linderkamp, O.; Kiau, U.; Ruef, P. Cellular and membrane deformability of red blood cells in preterm infants with and without growth retardation. Clin. Hemorheol. Microcirc. 1997, 17, 279–283. [Google Scholar]
- Csiszar, B.; Galos, G.; Funke, S.; Kevey, D.K.; Meggyes, M.; Szereday, L.; Kenyeres, P.; Toth, K.; Sandor, B. Peripartum Investigation of Red Blood Cell Properties in Women Diagnosed with Early-Onset Preeclampsia. Cells 2021, 10, 2714. [Google Scholar] [CrossRef]
- Kiserud, T.; Benachi, A.; Hecher, K. The World Health Organisation fetal growth charts: Concept, findings, interpretation, and application. Am. J. Obstet. Gynecol. 2018, 218, 619–629. [Google Scholar] [CrossRef]
- Beune, I.M.; Bloomfield, F.H.; Ganzevoort, W.; Embleton, N.D.; Rozance, P.J.; Wassenaer-Leemhuis, A.G.; Wynia, K.; Gordijn, S.J. Consensus Based Definition of Growth Restriction in the Newborn. J. Pediatr. 2018, 196, 71–76. [Google Scholar] [CrossRef]
- Baskurt, O.K.; Hardeman, M.R.; Rampling, M.W.; Meiselman, H.J. Handbook of Hemorheology and Hemodynamics; IOS Press: Amsterdam, The Netherlands, 2007. [Google Scholar]
- Vayá, A.; Falcó, C.; Fernández, P.; Contreras, T.; Valls, M.; Aznar, J. Erythrocyte aggregation determined with the Myrenne aggregometer at two modes (M0, M1) and at two times (5 and 10 sec). Clin. Hemorheol. Microcirc. 2003, 29, 119–127. [Google Scholar]
- Hardeman, M.R.; Dobbe, J.G.; Ince, C. The Laser-assisted Optical Rotational Cell Analyzer (LORRCA) as red blood cell aggregometer. Clin. Hemorheol. Microcirc. 2001, 25, 1–11. [Google Scholar]
- Rabai, M.; Detterich, J.A.; Wenby, R.B.; Hernandez, T.M.; Toth, K.; Meiselman, H.J.; Wood, J.C. Deformability analysis of sickle blood using ektacytometry. Biorheology 2014, 51, 159–170. [Google Scholar] [CrossRef] [PubMed]





| Parameter | Preterm Neonates (n = 13) | Term Neonates (n = 17) | Degree of Freedom | p Value |
|---|---|---|---|---|
| gestational age at birth (weeks) | 30.23 ± 3.09 | 39.06 ± 1.14 | 5.84 | <0.001 |
| Caesarean section | 100% | 35.30% | 1 | <0.001 |
| delayed cord clamping | 76.92% | 76.47% | 1 | 0.977 |
| birth weight (grams) | 1306.92 ± 551.94 | 3420.00 ± 367.13 | 1.28 | <0.001 |
| birth length (cm) | 36.67 ± 5.69 | 49.77 ± 3.31 | 1.27 | <0.001 |
| 1 min Apgar | 7.0 ± 1.29 | 8.82 ± 0.64 | 1.28 | <0.001 |
| 5 min Apgar | 8.69 ± 0.63 | 9.88 ± 0.33 | 1.28 | <0.001 |
| length of hospitalization (day) | 45.15 ± 26.08 | 3.35 ± 0.61 | 1.28 | <0.001 |
| weight percentile at birth (%) | 10.73 ± 1.95 | 52.49 ± 20.85 | 1.28 | <0.001 |
| incidence of IUGR (%) | 69.20 | 0.00 | 5 | <0.001 |
| infection after birth | 38.50% | 0.00% | 1 | 0.005 |
| icterus treated by phototherapy | 5.90% | 76.9% | 1 | <0.001 |
| incidence of ROP, BPD, IVH, cardiac and gastrointestinal complications | 53.85% | 0.00% | 1 | <0.003 |
| Time | Hematocrit [%] | Degree of Freedom | p Value | |
|---|---|---|---|---|
| preterm neonates | at birth | 49.91 ± 5.13 | 5.71 | 0.416 |
| 24 h postnatal | 50.17 ± 8.53 | |||
| 72 h postnatal | 45.89 ± 7.71 | |||
| term neonates | at birth | 50.50 ± 4.12 | ||
| 24 h postnatal | 50.08 ± 3.07 | |||
| 72 h postnatal | 50.44 ± 4.16 |
| Time | WBV [mPas] (dF = 5.39) (Overall p Value < 0.001) | PV [mPas] (dF = 3.12) (Overall p Value = 0.041) | |
|---|---|---|---|
| preterm neonates | at birth | 3.77 ± 0.59 | 0.91 ± 0.04 |
| 24 h postnatal | 4.45 ± 0.90 | NA | |
| 72 h postnatal | 4.01 ± 1.27 | NA | |
| term neonates | at birth | 4.21 ± 0.52 | 0.95 ± 0.04 |
| 24 h postnatal | 5.05 ± 0.43 | NA | |
| 72 h postnatal | 5.6 ± 0.84 | NA |
| Time | M Index (dF = 5.71) (Overall p Value < 0.001) | M1 Index (dF = 5.71) (Overall p Value = 0.007) | |
|---|---|---|---|
| preterm neonates | at birth | 0.49 ± 0.59 | 3.04 ± 2.33 |
| 24 h postnatal | 1.05 ± 0.88 | 4.13 ± 3.19 | |
| 72 h postnatal | 1.11 ± 0.62 | 5.14 ± 2.26 | |
| term neonates | at birth | 1.09 ± 0.80 | 4.25 ± 3.13 |
| 24 h postnatal | 2.07 ± 1.30 | 5.06 ± 2.25 | |
| 72 h postnatal | 3.17 ± 1.42 | 7.30 ± 3.38 |
| Time | AI (dF = 5.61) (Overall p Value < 0.001) | t ½ (dF = 5.61) (Overall p Value < 0.001) | γ (dF = 5.61) (Overall p Value = 0.002) | |
|---|---|---|---|---|
| preterm neonates | at birth | 20.38 ± 11.97 | 19.83 ± 11.81 | 41.59 ± 2.57 |
| 24 h postnatal | 33.74 ± 8.61 | 9.70 ± 4.86 | 48.25 ± 13.65 | |
| 72 h postnatal | 32.19 ± 10.69 | 9.50 ± 4.13 | 42.08 ± 2.46 | |
| term neonates | at birth | 38.19 ± 10.88 | 7.39 ± 3.32 | 45.16 ± 6.49 |
| 24 h postnatal | 42.10 ± 11.92 | 6.66 ± 3.93 | 51.36 ± 12.72 | |
| 72 h postnatal | 49.45 ± 8.20 | 4.31 ± 1.58 | 80.77 ± 53.26 |
| Blood Sampling | |||
|---|---|---|---|
| 13 preterm neonates | at birth (umbilical cord blood) | 24 ± 3 h after delivery (venous) | 72 ± 3 h after delivery (venous) |
| 17 healthy neonates | at birth (umbilical cord blood) | 24 ± 3 h after delivery (venous) | 72 ± 3 h after delivery (venous) |
Disclaimer/Publisher’s Note: The statements, opinions and data contained in all publications are solely those of the individual author(s) and contributor(s) and not of MDPI and/or the editor(s). MDPI and/or the editor(s) disclaim responsibility for any injury to people or property resulting from any ideas, methods, instructions or products referred to in the content. |
© 2023 by the authors. Licensee MDPI, Basel, Switzerland. This article is an open access article distributed under the terms and conditions of the Creative Commons Attribution (CC BY) license (https://creativecommons.org/licenses/by/4.0/).
Share and Cite
Sandor, B.; Csiszar, B.; Galos, G.; Funke, S.; Kevey, D.K.; Meggyes, M.; Szereday, L.; Toth, K. The Influence of Early Onset Preeclampsia on Perinatal Red Blood Cell Characteristics of Neonates. Int. J. Mol. Sci. 2023, 24, 8496. https://doi.org/10.3390/ijms24108496
Sandor B, Csiszar B, Galos G, Funke S, Kevey DK, Meggyes M, Szereday L, Toth K. The Influence of Early Onset Preeclampsia on Perinatal Red Blood Cell Characteristics of Neonates. International Journal of Molecular Sciences. 2023; 24(10):8496. https://doi.org/10.3390/ijms24108496
Chicago/Turabian StyleSandor, Barbara, Beata Csiszar, Gergely Galos, Simone Funke, Dora Kinga Kevey, Matyas Meggyes, Laszlo Szereday, and Kalman Toth. 2023. "The Influence of Early Onset Preeclampsia on Perinatal Red Blood Cell Characteristics of Neonates" International Journal of Molecular Sciences 24, no. 10: 8496. https://doi.org/10.3390/ijms24108496
APA StyleSandor, B., Csiszar, B., Galos, G., Funke, S., Kevey, D. K., Meggyes, M., Szereday, L., & Toth, K. (2023). The Influence of Early Onset Preeclampsia on Perinatal Red Blood Cell Characteristics of Neonates. International Journal of Molecular Sciences, 24(10), 8496. https://doi.org/10.3390/ijms24108496

