Prediction of Drug Synergism between Peptides and Antineoplastic Drugs Paclitaxel, 5-Fluorouracil, and Doxorubicin Using In Silico Approaches
Abstract
1. Introduction
2. Results and Discussion
2.1. In Silico Evaluation of the PK Properties of 5-FU, DOXO, and PTX
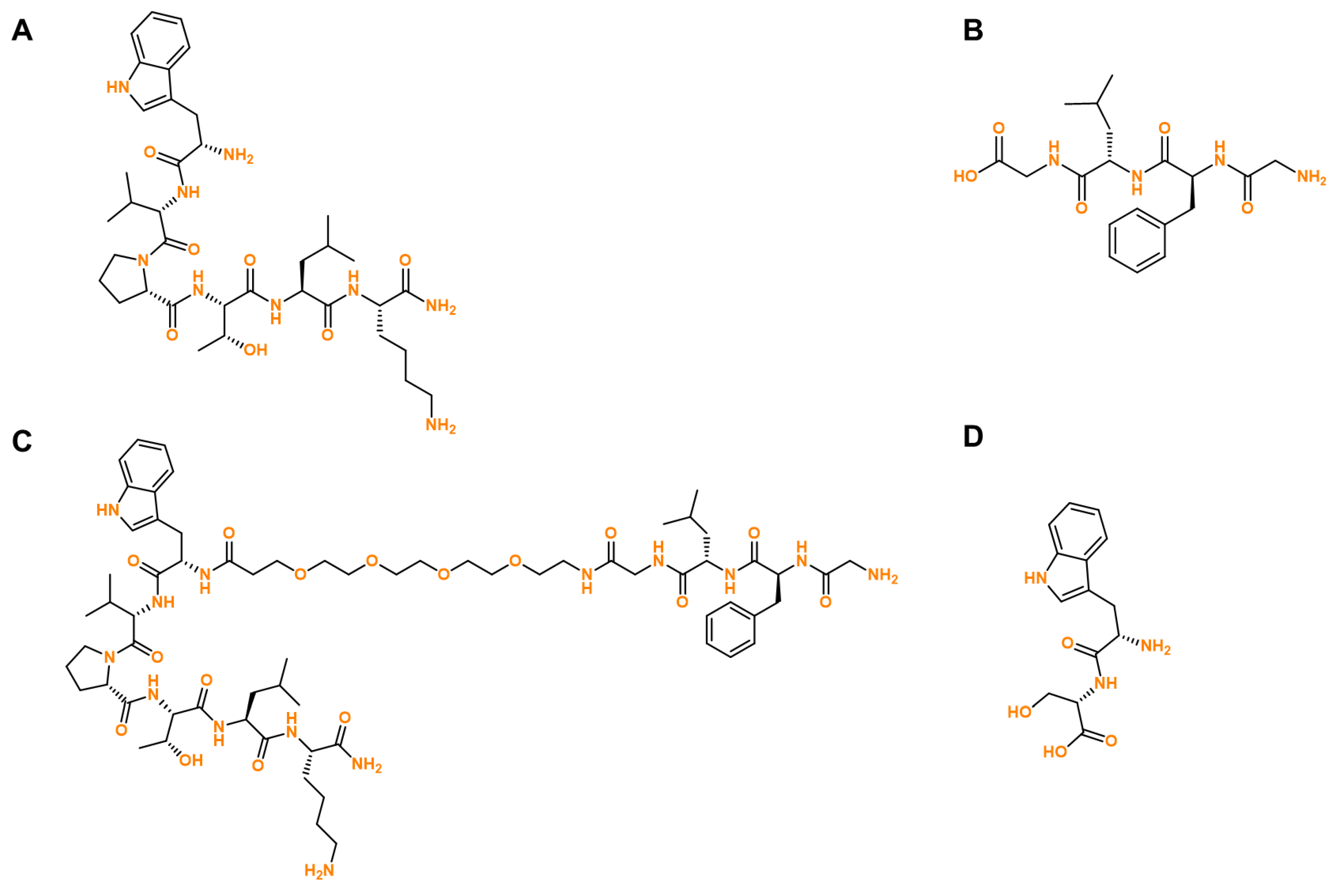
2.2. In Silico Evaluation of the PK Properties of Peptides P1–P4
2.3. In Vitro Studies on the Anticancer Activity of Peptides P1–P4 Alone and Combined with Chemotherapeutic Agents
2.3.1. Anticancer Activity of Peptides P1–P4
2.3.2. Anticancer Efficacy of the Combination of Peptides P1–P4 with Chemotherapeutic Drugs
2.3.3. Combination Index Evaluation in the Combination of Peptides P1–P4 with 5-FU in HT-29 Colorectal Cancer Cells
3. Materials and Methods
3.1. Cell Lines and Culture Conditions
3.2. Peptides and Drugs
3.3. Cell Treatment and Viability Assay
3.4. Cell Morphology Visualization
3.5. Synergistic Effect Analysis
3.6. Statistical Analysis
4. Conclusions
Supplementary Materials
Author Contributions
Funding
Institutional Review Board Statement
Informed Consent Statement
Data Availability Statement
Acknowledgments
Conflicts of Interest
References
- Chabner, B.A.; Roberts, T.G. Chemotherapy and the War on Cancer. Nat. Rev. Cancer 2005, 5, 65–72. [Google Scholar] [CrossRef] [PubMed]
- Guidotti, G.; Brambilla, L.; Rossi, D. Cell-Penetrating Peptides: From Basic Research to Clinics. Trends Pharmacol. Sci. 2017, 38, 406–424. [Google Scholar] [CrossRef] [PubMed]
- Böhme, D.; Beck-Sickinger, A.G. Drug Delivery and Release Systems for Targeted Tumor Therapy. J. Pept. Sci. 2015, 21, 186–200. [Google Scholar] [CrossRef] [PubMed]
- Knop, K.; Hoogenboom, R.; Fischer, D.; Schubert, U.S. Poly(Ethylene Glycol) in Drug Delivery: Pros and Cons as Well as Potential Alternatives. Angew. Chem. Int. Ed. 2010, 49, 6288–6308. [Google Scholar] [CrossRef] [PubMed]
- Vivès, E.; Schmidt, J.; Pèlegrin, A. Cell-Penetrating and Cell-Targeting Peptides in Drug Delivery. Biochim. Biophys. Acta-Rev. Cancer 2008, 1786, 126–138. [Google Scholar] [CrossRef] [PubMed]
- Xie, J.; Bi, Y.; Zhang, H.; Dong, S.; Teng, L.; Lee, R.J.; Yang, Z. Cell-Penetrating Peptides in Diagnosis and Treatment of Human Diseases: From Preclinical Research to Clinical Application. Front. Pharmacol. 2020, 11, 697. [Google Scholar] [CrossRef]
- Gräslund, A.; Madani, F.; Lindberg, S.; Langel, Ü.; Futaki, S. Mechanisms of Cellular Uptake of Cell-Penetrating Peptides. J. Biophys. 2011, 2011, 414729. [Google Scholar] [CrossRef]
- Derossi, D.; Calvet, S.; Trembleau, A.; Brunissen, A.; Chassaing, G.; Prochiantz, A. Cell Internalization of the Third Helix of the Antennapedia Homeodomain Is Receptor-Independent. J. Biol. Chem. 1996, 271, 18188–18193. [Google Scholar] [CrossRef] [PubMed]
- Matsuzaki, K.; Yoneyama, S.; Murase, O.; Miyajima, K. Transbilayer Transport of Ions and Lipids Coupled with Mastoparan X Translocation. Biochemistry 1996, 35, 8450–8456. [Google Scholar] [CrossRef]
- Pouny, Y.; Rapaport, D.; Mor, A.; Nicolas, P.; Shai, Y.; Mor, A.; Nicolas, P. Interaction of Antimicrobial Dermaseptin and Its Fluorescently Labeled Analogues with Phospholipid Membranes. Biochemistry 1992, 31, 12416–12423. [Google Scholar] [CrossRef]
- Lee, M.T.; Hung, W.C.; Chen, F.Y.; Huang, H.W. Many-Body Effect of Antimicrobial Peptides: On the Correlation between Lipid’s Spontaneous Curvature and Pore Formation. Biophys. J. 2005, 89, 4006–4016. [Google Scholar] [CrossRef] [PubMed]
- Jones, A.T. Macropinocytosis: Searching for an Endocytic Identity and Role in the Uptake of Cell Penetrating Peptides. J. Cell. Mol. Med. 2007, 11, 670–684. [Google Scholar] [CrossRef] [PubMed]
- Mayor, S.; Pagano, R.E. Pathways of Clathrin-Independent Endocytosis. Nat. Rev. Mol. Cell Biol. 2007, 8, 603–612. [Google Scholar] [CrossRef] [PubMed]
- Duarte, D.; Nunes, M.; Ricardo, S.; Vale, N. Combination of Antimalarial and CNS Drugs with Antineoplastic Agents in MCF-7 Breast and HT-29 Colon Cancer Cells: Biosafety Evaluation and Mechanism of Action. Biomolecules 2022, 12, 1490. [Google Scholar] [CrossRef] [PubMed]
- Duarte, D.; Vale, N. Synergistic Interaction of CPP2 Coupled with Thiazole Derivates Combined with Clotrimazole and Antineoplastic Drugs in Prostate and Colon Cancer Cell Lines. Int. J. Mol. Sci. 2021, 22, 11984. [Google Scholar] [CrossRef] [PubMed]
- Yang, V.; Pedrosa, S.S.; Fernandes, R.; Maurício, A.C.; Koksch, B.; Gärtner, F.; Amorim, I.; Vale, N. Synthesis of PEGylated Methotrexate Conjugated with a Novel CPP6, in Sillico Structural Insights and Activity in MCF-7 Cells. J. Mol. Struct. 2019, 1192, 201–207. [Google Scholar] [CrossRef]
- Gomez, J.A.; Chen, J.; Ngo, J.; Hajkova, D.; Yeh, I.J.; Gama, V.; Miyagi, M.; Matsuyama, S. Cell-Penetrating Penta-Peptides (CPP5s): Measurement of Cell Entry and Protein-Transduction Activity. Pharmaceuticals 2010, 3, 3594–3613. [Google Scholar] [CrossRef] [PubMed]
- Correia, C.; Xavier, C.P.R.R.; Duarte, D.; Ferreira, A.; Moreira, S.; Vasconcelos, M.H.; Vale, N. Development of Potent CPP6–Gemcitabine Conjugates against Human Prostate Cancer Cell Line (PC-3). RSC Med. Chem. 2020, 11, 268–273. [Google Scholar] [CrossRef]
- Lin, L.; Wong, H. Predicting Oral Drug Absorption: Mini Review on Physiologically-Based Pharmacokinetic Models. Pharmaceutics 2017, 9, 41. [Google Scholar] [CrossRef]
- Agoram, B.; Woltosz, W.S.; Bolger, M.B. Predicting the Impact of Physiological and Biochemical Processes on Oral Drug Bioavailability. Adv. Drug Deliv. Rev. 2001, 50, S41–S67. [Google Scholar] [CrossRef]
- Ferreira, A.; Lapa, R.; Vale, N. Permeability of Gemcitabine and PBPK Modeling to Assess Oral Administration. Curr. Issues Mol. Biol. 2021, 43, 2189–2198. [Google Scholar] [CrossRef] [PubMed]
- Santos, J.; Lobato, L.; Vale, N. Clinical Pharmacokinetic Study of Latrepirdine via in Silico Sublingual Administration. Silico Pharmacol. 2021, 9, 29. [Google Scholar] [CrossRef]
- Ferreira, A.; Moreira, S.; Lapa, R.; Vale, N. Permeability Evaluation of Gemcitabine-CPP6 Conjugates in Caco-2 Cells. ADMET DMPK 2021, 9, 41–48. [Google Scholar] [CrossRef] [PubMed]
- Ferreira, A.; Martins, H.; Oliveira, J.C.; Lapa, R.; Vale, N. In Silico Pharmacokinetic Study of Vancomycin Using PBPK Modeling and Therapeutic Drug Monitoring. Curr. Drug Metab. 2021, 22, 150–162. [Google Scholar] [CrossRef] [PubMed]
- Chou, T.C. Drug Combination Studies and Their Synergy Quantification Using the Chou-Talalay Method. Cancer Res. 2010, 70, 440–446. [Google Scholar] [CrossRef] [PubMed]
- Bottens, R.A.; Yamada, T. Cell-Penetrating Peptides (CPPs) as Therapeutic and Diagnostic Agents for Cancer. Cancers 2022, 14, 5546. [Google Scholar] [CrossRef] [PubMed]
- Duarte, D.; Vale, N. New Trends for Antimalarial Drugs: Synergism between Antineoplastics and Antimalarials on Breast Cancer Cells. Biomolecules 2020, 10, 1623. [Google Scholar] [CrossRef] [PubMed]
- Duarte, D.; Cardoso, A.; Vale, N. Synergistic Growth Inhibition of HT-29 Colon and MCF-7 Breast Cancer Cells with Simultaneous and Sequential Combinations of Antineoplastics and CNS Drugs. Int. J. Mol. Sci. 2021, 22, 7408. [Google Scholar] [CrossRef]
- Orzechowska, E.J.; Girstun, A.; Staron, K.; Trzcinska-Danielewicz, J. Synergy of BID with Doxorubicin in the Killing of Cancer Cells. Oncol. Rep. 2015, 33, 2143–2150. [Google Scholar] [CrossRef]
























| 5-FU | DOXO | PTX | |
|---|---|---|---|
| Blood/Plasma Conc. Ratio | 1.2 | 1.09 | 0.67 |
| Clearance, CL (L/h) | 47.18 | 3.31 | 14.46 |
| Central compartment volume, Vc (L/Kg) | 0.38 | 6.86 | 3.11 |
| Elimination half-life, T1/2 (h) | 0.39 | 100.56 | 10.44 |
| Effective permeability, Peff (cm/s × 104) | 2.81 | 0.26 | 0.21 |
| Fraction absorbed (Fa%), Fa (%) | 98.60 | 53.4 | 7.23 |
| Fraction of dose passing into the portal vein, FDp (%) | 98.57 | 51.12 | 7.19 |
| F (%) | 55.66 | 49.40 | 5.47 |
| Cmax (μg/mL) | 0.34 | 0.044 | 0.0058 |
| Tmax (h) | 0.88 | 24 | 15.28 |
| AUC0–∞ (μg-h/mL) | 0.59 | 0.91 | 0.47 |
| AUC0–24h (μg-h/mL) | 0.58 | 0.91 | 0.11 |
| Cmax Liver (μM/mL) | 0.51 | 0.077 | 0.0075 |
| P1 | P2 | P3 | P4 | |
|---|---|---|---|---|
| Blood/Plasma Conc. Ratio | 0.73 | 0.79 | 0.68 | 1.03 |
| CL (L/h) | 14.73 | 15.57 | 26.7 | 15.05 |
| Vc (L/Kg) | 0.59 | 0.39 | 0.43 | 0.36 |
| T1/2 (h) | 1.94 | 1.22 | 0.78 | 1.16 |
| Peff (cm/s × 104) | 0.071 | 0.24 | 0.050 | 0.25 |
| Fa (%) | 20.26 | 43.14 | 34.45 | 39.52 |
| FDp (%) | 17.34 | 41.94 | 31.63 | 38.77 |
| F (%) | 13.15 | 32.77 | 17.73 | 37.45 |
| Cmax (μg/mL) | 0.056 | 0.21 | 0.020 | 0.21 |
| Tmax (h) | 4.24 | 2.8 | 3.84 | 2.72 |
| AUC0–∞ (μg-h/mL) | 0.58 | 1.05 | 0.41 | 1.08 |
| AUC0–24h (μg-h/mL) | 0.45 | 1.05 | 0.32 | 1.08 |
| Cmax Liver (μM/mL) | 0.069 | 0.26 | 0.029 | 0.25 |
| Compounds | IC50 | Cell Line | Reference |
|---|---|---|---|
| PTX | 3 nM | MCF-7 | [27] |
| 5-FU | 3 µM | HT-29 | [28] |
| DOXO | 8 µM | PC-3 | [29] |
| Peptide (μM) | P1 | P2 | P3 | P4 | ||||
|---|---|---|---|---|---|---|---|---|
| Fa | CI | Fa | CI | Fa | CI | Fa | CI | |
| 0.01 | 0.1374 | NaN | 0.1146 | 0.26947 | 0.1664 | 0.18337 | 0.1566 | 0.19586 |
| 0.1 | 0.1539 | NaN | 0.1427 | 0.21549 | 0.144 | 0.21336 | 0.1365 | 0.22910 |
| 1 | 0.1617 | NaN | 0.1922 | 0.15691 | 0.1894 | 0.16051 | 0.1695 | 0.20947 |
| 10 | 0.1456 | NaN | 0.1425 | 0.21644 | 0.1983 | 0.16151 | 0.1858 | 0.43931 |
| 25 | 0.2182 | NaN | 0.2423 | 0.12144 | 0.2577 | 0.12611 | 0.2081 | 0.77552 |
| 50 | 0.2309 | NaN | 0.2548 | 0.1151 | 0.2375 | 0.15712 | 0.2591 | 1.16511 |
Disclaimer/Publisher’s Note: The statements, opinions and data contained in all publications are solely those of the individual author(s) and contributor(s) and not of MDPI and/or the editor(s). MDPI and/or the editor(s) disclaim responsibility for any injury to people or property resulting from any ideas, methods, instructions or products referred to in the content. |
© 2022 by the authors. Licensee MDPI, Basel, Switzerland. This article is an open access article distributed under the terms and conditions of the Creative Commons Attribution (CC BY) license (https://creativecommons.org/licenses/by/4.0/).
Share and Cite
Vale, N.; Pereira, M.; Santos, J.; Moura, C.; Marques, L.; Duarte, D. Prediction of Drug Synergism between Peptides and Antineoplastic Drugs Paclitaxel, 5-Fluorouracil, and Doxorubicin Using In Silico Approaches. Int. J. Mol. Sci. 2023, 24, 69. https://doi.org/10.3390/ijms24010069
Vale N, Pereira M, Santos J, Moura C, Marques L, Duarte D. Prediction of Drug Synergism between Peptides and Antineoplastic Drugs Paclitaxel, 5-Fluorouracil, and Doxorubicin Using In Silico Approaches. International Journal of Molecular Sciences. 2023; 24(1):69. https://doi.org/10.3390/ijms24010069
Chicago/Turabian StyleVale, Nuno, Mariana Pereira, Joana Santos, Catarina Moura, Lara Marques, and Diana Duarte. 2023. "Prediction of Drug Synergism between Peptides and Antineoplastic Drugs Paclitaxel, 5-Fluorouracil, and Doxorubicin Using In Silico Approaches" International Journal of Molecular Sciences 24, no. 1: 69. https://doi.org/10.3390/ijms24010069
APA StyleVale, N., Pereira, M., Santos, J., Moura, C., Marques, L., & Duarte, D. (2023). Prediction of Drug Synergism between Peptides and Antineoplastic Drugs Paclitaxel, 5-Fluorouracil, and Doxorubicin Using In Silico Approaches. International Journal of Molecular Sciences, 24(1), 69. https://doi.org/10.3390/ijms24010069

