Evaluation of Exosomal Coding and Non-Coding RNA Signature in Obese Adolescents
Abstract
1. Introduction
2. Results
2.1. Clinical Characteristics and Biochemical Determination
2.2. Characterization of Vesicles Isolated from Plasma
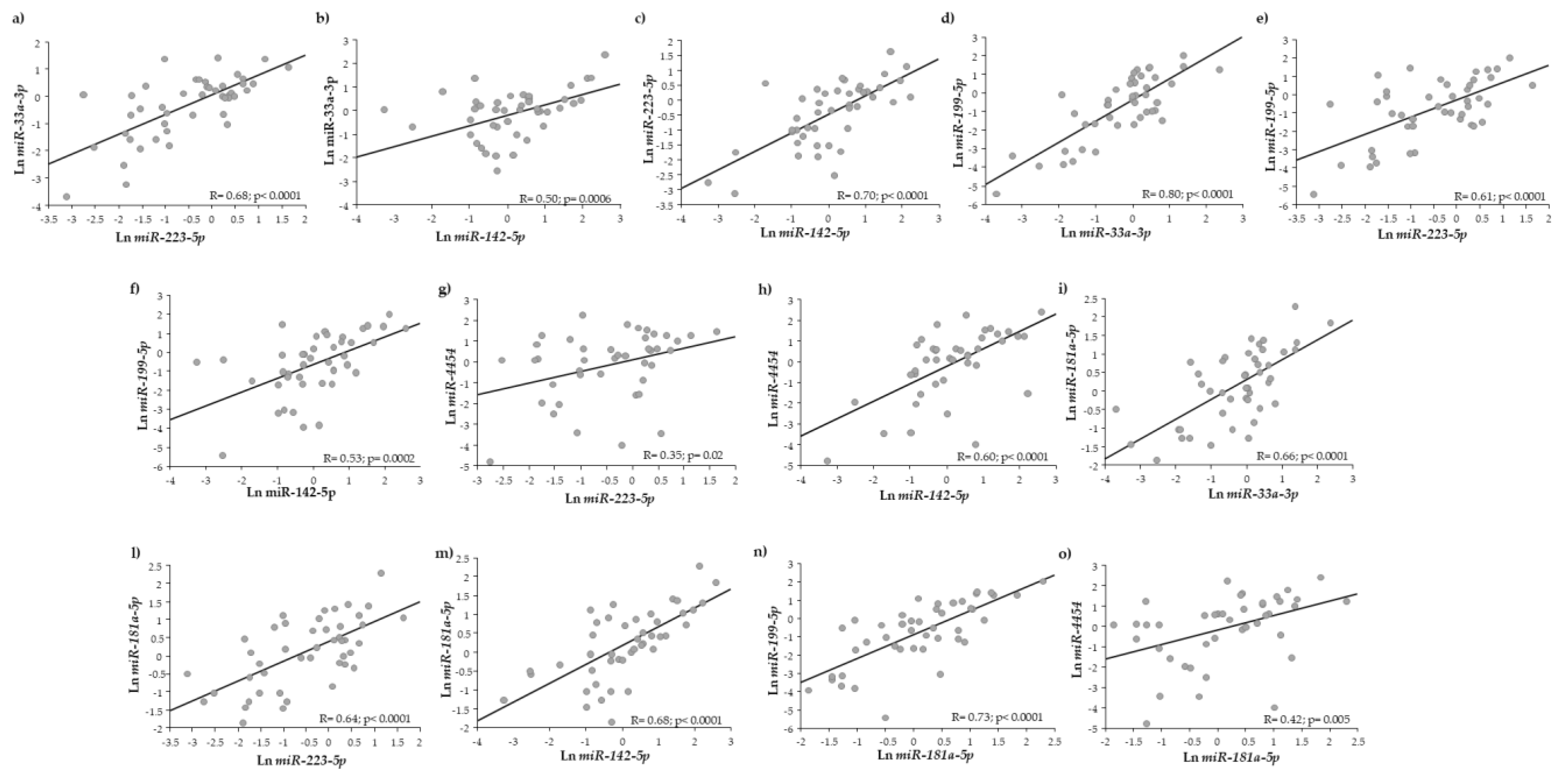
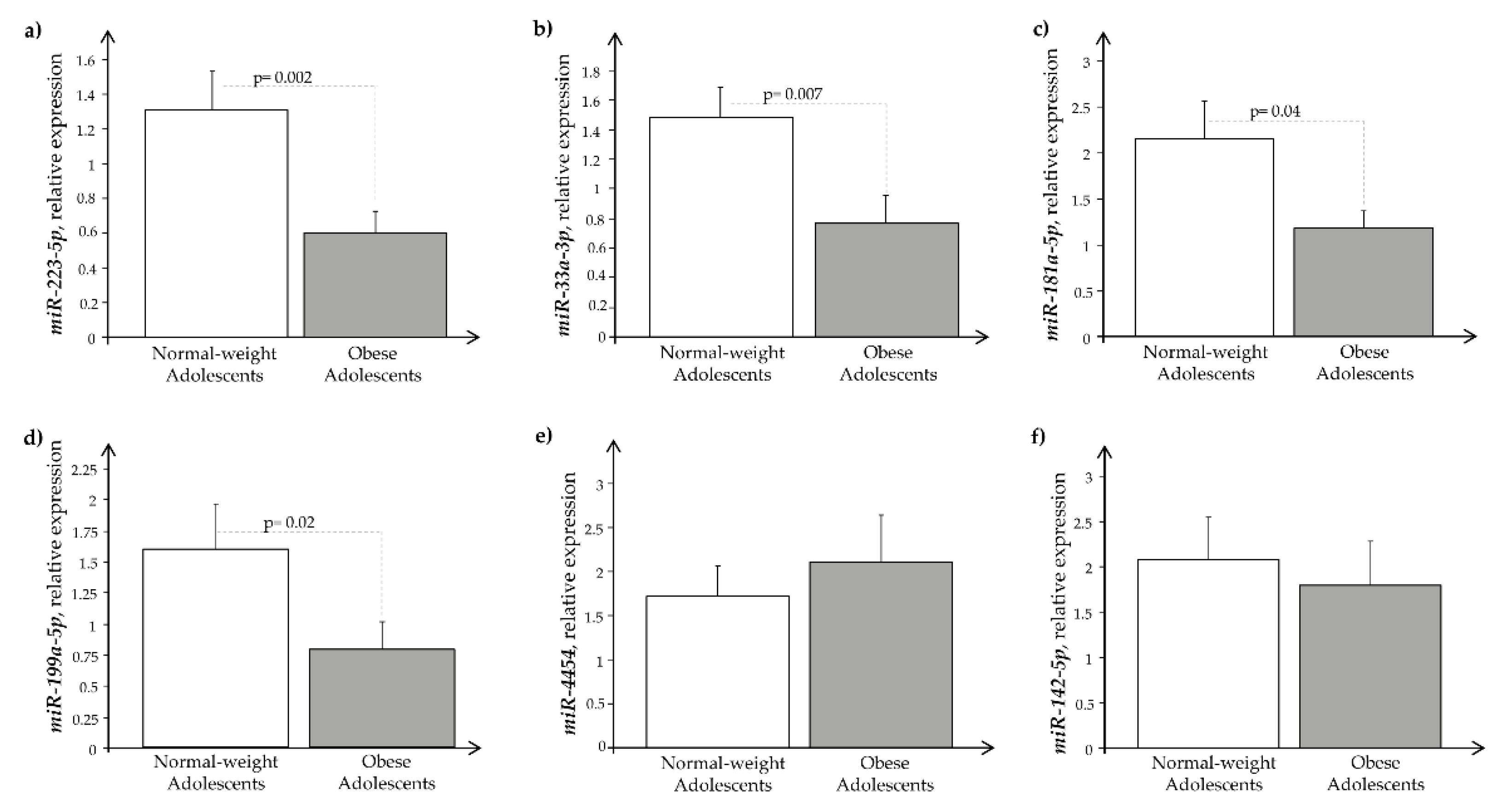
2.3. Real-Time PCR Data Analysis
3. Discussion
4. Materials and Methods
4.1. Subjects and Plasma Collection
4.2. Exosomes Isolation and Vesicular RNA Extraction
4.3. Exosome Characterization
4.4. Reverse Transcription and Real-Time PCR
4.5. Statistics
5. Conclusions
Author Contributions
Funding
Institutional Review Board Statement
Informed Consent Statement
Data Availability Statement
Conflicts of Interest
References
- Thaker, V.V. Genetic and epigenetic causes of obesity. Adolesc. Med. State Art Rev. 2017, 28, 379–405. [Google Scholar] [PubMed]
- O’Rourke, R.W. The Pathophysiology of Obesity and Obesity-Related Disease. The ASMBS Textbook of Bariatric Surgery; Nguyen, N., Brethauer, S., Morton, J., Ponce, J., Rosenthal, R., Eds.; Springer: Cham, Switzerland, 2020; pp. 15–36. [Google Scholar]
- Gibson, R. Principles of Nutritional Assessment, 2nd ed.; Oxford University Press: New York, NY, USA, 2005. [Google Scholar]
- Cabiati, M.; Randazzo, E.; Salvadori, C.; Peroni, D.; Federico, G.; Del Ry, S. Circulating microRNAs associated with C-type natriuretic peptide in childhood obesity. Peptides 2020, 133, 170387. [Google Scholar] [CrossRef] [PubMed]
- Oliveira Rodríguez, M.; Serrano Pertierra, E.; García Costa, A.; Soraya López, M.; Yáñez Mo, M.; Cernuda Morollón, E.; Blanco López, M.C. Point of care detection of extracellular vesicles: Sensitivity optimization and multiple target detection. Biosens. Bioelectron. 2017, 87, 38–45. [Google Scholar] [CrossRef] [PubMed]
- Dimassi, S.; Karkeni, E.; Laurant, P.; Tabka, Z.; Landrier, J.F.; Riva, C. Microparticle miRNAs as biomarkers of vascular function and inflammation response to aerobic exercise in obesity? Obesity 2018, 26, 1584–1593. [Google Scholar] [CrossRef] [PubMed]
- Holvoet, P.; Vanhaverbeke, M.; Bloch, K.; Baatsen, P.; Sinnaeve, P.; Janssens, S. Low MT-CO1 in monocytes and microvesicles is associated with outcome in patients with coronary artery disease. J. Am. Heart Assoc. 2016, 5, e004207. [Google Scholar] [CrossRef] [PubMed]
- Hu, W.; Ru, Z.; Zhou, Y.; Xiao, W.; Sun, R.; Zhang, S.; Gao, Y.; Li, X.; Zhang, X.; Yang, H. Lung Cancer-Derived Extracellular vesicles induced myotube atrophy and adipocyte lipolysis via the extracellular IL-6-mediated STAT3 pathway. Biochim. Biophys. Acta Mol. Cell Biol. Lipids 2019, 1864, 1091–1102. [Google Scholar] [CrossRef]
- Eitan, E.; Tosti, V.; Suire, C.N.; Cava, E.; Berkowitz, S.; Bertozzi, B.; Raefsky, S.M.; Veronese, N.; Spangler, R.; Spelta, F.; et al. In a randomized trial in prostate cancer patients, dietary protein restriction modifies markers of leptin and insulin signaling in plasma extracellular vesicles. Aging Cell 2017, 16, 1430–1433. [Google Scholar] [CrossRef] [PubMed]
- Maligianni, I.; Yapijakis, C.; Bacopoulou, F.; Chrousos, G. The potential role of exosomes in child and adolescent obesity. Children 2021, 3, 196. [Google Scholar] [CrossRef]
- Doyle, L.M.; Wang, M.Z. Overview of extracellular vesicles, their origin, composition, purpose, and methods for exosome isolation and analysis. Cells 2019, 8, 727. [Google Scholar] [CrossRef]
- Mitsis, T.; Pierouli, K.; Diakou, K.I.; Papakonstantinou, E.; Bacopoulou, F.; Chrousos, G.P.; Vlachakis, D. Exosomics. EMB Net. J. 2020, 26, e934. [Google Scholar] [CrossRef] [PubMed]
- Del Ry, S.; Cabiati, M.; Bianchi, V.; Storti, S.; Caselli, C.; Prescimone, T.; Clerico, A.; Saggese, G.; Giannessi, D.; Federico, G. C-type natriuretic peptide plasma levels are reduced in obese adolescents. Peptides 2013, 50, 50–54. [Google Scholar] [CrossRef] [PubMed]
- Del Ry, S.; Cabiati, M.; Bianchi, V.; Caponi, L.; Di Cecco, P.; Marchi, B.; Randazzo, E.; Caselli, C.; Prescimone, T.; Clerico, A.; et al. Mid-regional-pro-adrenomedullin plasma levels are increased in obese adolescents. Eur. J. Nutr. 2016, 55, 1255–1260. [Google Scholar] [CrossRef] [PubMed]
- Del Ry, S.; Cabiati, M.; Bianchi, V.; Caponi, L.; Maltinti, M.; Caselli, C.; Kozakova, M.; Palombo, C.; Morizzo, C.; Marchetti, S.; et al. C-type natriuretic peptide is closely associated to obesity in Caucasian adolescents. Clin. Chim. Acta 2016, 460, 172–177. [Google Scholar] [CrossRef] [PubMed]
- Fusco, E.; Pesce, M.; Bianchi, V.; Randazzo, E.; Del Ry, S.; Peroni, D.; Rossi, M.; Federico, G. Preclinical vascular alterations in obese adolescents detected by Laser-Doppler Flowmetry technique. Nutr. Metab. Cardiovasc. Dis. 2020, 30, 306–312. [Google Scholar] [CrossRef]
- Del Ry, S.; Cabiati, M.; Bianchi, V.; Randazzo, E.; Peroni, D.; Clerico, A.; Federico, G. C-type natriuretic peptide plasma levels and whole blood mRNA expression show different trends in adolescents with different degree of endothelial dysfunction. Peptides 2020, 124, 170218. [Google Scholar] [CrossRef]
- Cabiati, M.; Fontanini, M.; Giacomarra, M.; Politano, G.; Randazzo, E.; Peroni, D.; Federico, G.; Del Ry, S. Screening and identification of putative long non-coding RNA in childhood obesity: Evaluation of their transcriptional levels. Biomedicines 2022, 10, 529. [Google Scholar] [CrossRef]
- Théry, C.; Witwer, K.W.; Aikawa, E.; Alcaraz, M.J.; Anderson, J.D.; Andriantsitohaina, R.; Antoniou, A.; Arab, T.; Archer, F.; Atkin-Smith, G.K.; et al. Minimal information for studies of extracellular vesicles 2018 (MISEV2018): A position statement of the International Society for Extracellular Vesicles and update of the MISEV2014 guidelines. J. Extracell. Vesicles 2018, 7, 1535750. [Google Scholar] [CrossRef]
- Sticht, C.; De La Torre, C.; Parveen, A.; Gretz, N. miRWalk: An online resource for prediction of microRNA binding sites. PLoS ONE 2018, 13, 10. [Google Scholar] [CrossRef]
- Gillespie, M.; Jassal, B.; Stephan, R.; Milacic, M.; Rothfels, K.; Senff-Ribeiro, A.; Griss, J.; Sevilla, C.; Matthews, L.; Gong, C.; et al. The reactome pathway knowledgebase 2022. Nucleic Acids Res. 2022, 50, D687–D692. [Google Scholar] [CrossRef]
- Aswad, H.; Forterre, A.; Wiklander, O.P.; Vial, G.; Danty-Berger, E.; Jalabert, A.; Lamazière, A.; Meugnier, E.; Pesenti, S.; Ott, C.; et al. Exosomes participate in the alteration of muscle homeostasis during lipid-induced insulin resistance in mice. Diabetologia 2014, 57, 2155–2164. [Google Scholar] [CrossRef]
- Feng, B.; Chen, Y.; Luo, Y.; Chen, M.; Li, X.; Ni, Y. Circulating level of microparticles and their correlation with arterial elasticity and endothelium-dependent dilation in patients with type 2 diabetes mellitus. Atherosclerosis 2010, 208, 264–269. [Google Scholar] [CrossRef] [PubMed]
- Raposo, G.; Stahl, P.D. Extracellular vesicles: A new communication paradigm? Nat. Rev. Mol. Cell Biol. 2019, 20, 509–510. [Google Scholar] [CrossRef] [PubMed]
- Kita, S.; Maeda, N.; Shimomura, I. Interorgan communication by exosomes, adipose tissue, and adiponectin in metabolic syndrome. J. Clin. Investig. 2019, 129, 4041–4049. [Google Scholar] [CrossRef]
- Thomou, T.; Mori, M.A.; Dreyfuss, J.M.; Konishi, M.; Sakaguchi, M.; Wolfrum, C.; Rao, T.N.; Winnay, J.N.; Garcia-Martin, R.; Grinspoon, S.K.; et al. Adipose-derived circulating miRNAs regulate gene expression in other tissues. Nature 2017, 542, 450–455. [Google Scholar] [CrossRef]
- Kim, A.; Shah, A.S.; Nakamura, T. Extracellular vesicles: A potential novel regulator of obesity and its associated complications. Children 2018, 5, 152. [Google Scholar] [CrossRef] [PubMed]
- Endzeliņš, E.; Berger, A.; Melne, V.; Bajo-Santos, C.; Soboļevska, K.; Ābols, A.; Rodriguez, M.; Šantare, D.; Rudņickiha, A.; Lietuvietis, V.; et al. Detection of circulating miRNAs: Comparative analysis of extracellular vesicle-incorporated miRNAs and cell-free miRNAs in whole plasma of prostate cancer patients. BMC Cancer 2017, 17, 730. [Google Scholar] [CrossRef] [PubMed]
- Vickers, K.C.; Landstreet, S.R.; Levin, M.G.; Shoucri, B.M.; Toth, C.L.; Taylor, R.C.; Palmisano, B.T.; Tabet, F.; Cui, H.L.; Rye, K.A.; et al. MicroRNA-223 coordinates cholesterol homeostasis. Proc. Natl. Acad. Sci. USA 2014, 111, 14518–14523. [Google Scholar] [CrossRef]
- Zhuang, G.; Meng, C.; Guo, X.; Cheruku, P.S.; Shi, L.; Xu, H.; Li, H.; Wang, G.; Evans, A.R.; Safe, S.; et al. Novel regulator of macrophage activation: miR-223 in obesity-associated adipose tissue inflammation. Circulation 2012, 125, 2892–2903. [Google Scholar] [CrossRef]
- Johnnidis, J.B.; Harris, M.H.; Wheeler, R.T.; Stehling-Sun, S.; Lam, M.H.; Kirak, O.; Brummelkamp, T.R.; Fleming, M.D.; Camargo, F.D. Regulation of progenitor cell proliferation and granulocyte function by microRNA-223. Nature 2008, 451, 1125–1129. [Google Scholar] [CrossRef]
- Wentworth, J.M.; Naselli, G.; Brown, W.A.; Doyle, L.; Phipson, B.; Smyth, G.K.; Wabitsch, M.; O’Brien, P.E.; Harrison, L.C. Pro-inflammatory CD11c+CD206+adipose tissue macrophages are associated with insulin resistance in human obesity. Diabetes 2010, 59, 1648–1656. [Google Scholar] [CrossRef]
- Rottiers, V.; Naar, A.M. MicroRNAs in metabolism and metabolic disorders. Nat. Rev. Mol. Cell Biol. 2012, 13, 239–250. [Google Scholar] [CrossRef]
- Aryal, B.; Singh, A.K.; Rotllan, N.; Price, N.; Fernández-Hernando, C. MicroRNAs and lipid metabolism. Curr. Opin. Lipidol. 2017, 28, 273–280. [Google Scholar] [CrossRef] [PubMed]
- Herrero-Aguayo, V.; Jiménez-Vacas, J.M.; Sáez-Martínez, P.; Gómez-Gómez, E.; López-Cánovas, J.L.; Garrido-Sánchez, L.; Herrera-Martínez, A.D.; García-Bermejo, L.; Macías-González, M.; López-Miranda, J.; et al. Influence of Obesity in the miRNome: miR-4454, a key regulator of insulin response via splicing modulation in prostate. J. Clin. Endocrinol. Metab. 2021, 106, e469–e484. [Google Scholar] [CrossRef] [PubMed]
- Al-Rawaf, H.A. Circulating microRNAs and adipokines as markers of metabolic syndrome in adolescents with obesity. Clin. Nutr. 2019, 38, 2231–2238. [Google Scholar] [CrossRef] [PubMed]
- Bartel, D.P. MicroRNAs: Target recognition and regulatory functions. Cell 2009, 136, 215–233. [Google Scholar] [CrossRef]
- Cole, T.J.; Bellizzi, M.C.; Flegal, K.M.; Diettz, W.H. Establishing a standard definition for child overweight and obesity worldwide: International survey. BMJ 2000, 320, 1240–1243. [Google Scholar] [CrossRef]
- Cole, T.J.; Green, P.J. Smoothing reference centile curves: The LMS method and penalized likelihood. Stat. Med. 1992, 11, 1305–1319. [Google Scholar] [CrossRef]
- McCarthy, H.D.; Cole, T.J.; Fry, T.; Jebb, S.A.; Prentice, A.M. Body fat reference curves for children. Int. J. Obes. 2006, 30, 598–602. [Google Scholar] [CrossRef]
- National High Blood Pressure Education Program Working Group on High Blood Pressure in Children and Adolescents. The fourth report on the diagnosis, evaluation and treatment of high blood pressure in children and adolescents. Pediatrics 2004, 114, 555–576. [Google Scholar] [CrossRef]
- Hosker, J.P.; Rudenski, A.S.; Naylor, B.A.; Treacher, D.F.; Turner, R.C. Homeostasis model assessment: IR and beta-cell function from fasting plasma glucose and insulin concentrations in man. Diabetologia 1985, 28, 412–419. [Google Scholar] [CrossRef]
- D’Annunzio, G.; Vanelli, M.; Pistorio, A.; Minuto, N.; Bergamino, L.; Iafusco, D.; Lorini, R.; Diabetes Study Group of the Italian Society for Pediatric Endocrinology and Diabetes. Insulin resistance and secretion indexes in healthy Italian children and adolescents: A multicentre study. Acta Biomed. 2009, 80, 21–28. [Google Scholar] [PubMed]
- Van Deun, J.; Mestdagh, P.; Agostinis, P.; Akay, Ö.; Anand, S.; Anckaert, J.; Martinez, Z.A.; Baetens, T.; Beghein, E.; Bertier, L.; et al. EV-TRACK: Transparent reporting and centralizing knowledge in extracellular vesicle research. Nat. Methods 2017, 14, 228–232. [Google Scholar]
- Bustin, S.A.; Benes, V.; Garson, J.A.; Hellemans, J.; Huggett, J.; Kubista, M.; Mueller, R.; Nolan, T.; Pfaffl, M.W.; Shipley, G.L.; et al. The MIQE guidelines: Minimum information for publication of quantitative real-time PCR experiments. Clin. Chem. 2009, 55, 611–622. [Google Scholar] [CrossRef] [PubMed]
- Nik Mohamed Kamal, N.N.S.B.; Shahidan, W.N.S. Non-exosomal and exosomal circulatory microRNAs: Which are more valid as biomarkers? Front. Pharmacol. 2020, 10, 1500. [Google Scholar] [CrossRef] [PubMed]





| Normal-Weight Adolescents | Obese Adolescents | p | |
|---|---|---|---|
| Age (years) | 13.1 ± 0.2 | 12.6 ± 0.4 | ns |
| Male: Female | 12:10 | 19:13 | ns |
| Height (cm) | 158.2 ± 1.1 | 156.3 ± 2.0 | ns |
| Height z-score | 0.3 ± 0.08 | 0.6 ± 0.2 | ns |
| Weight (kg) | 53.3 ± 2.5 | 72.7 ± 2.9 | <0.0001 |
| BMI | 21.1 ± 0.6 | 29.5 ± 0.8 | <0.0001 |
| BMI z-score | 0.9 ± 0.1 | 2.7 ± 0.1 | <0.0001 |
| Fat Mass (kg) | 12.2 ± 1.7 | 26.9 ± 2.3 | <0.0001 |
| SBP (mmHg) | 113.2 ± 1.4 | 112.6 ± 2.1 | ns |
| DBP (mmHg) | 61.7 ± 1.2 | 65.7 ± 1.7 | ns |
| FBG (mmol/L) | 4.8 ± 0.1 | 4.4 ± 0.1 | 0.02 |
| HbA1c (%) | 5.2 ± 0.07 | 5.4 ± 0.06 | 0.04 |
| Insulin (μU/mL) | 8.1 ± 0.8 | 19.4 ± 2.5 | 0.0002 |
| HOMA-IR | 1.0 ± 0.09 | 2.4 ± 0.3 | 0.0003 |
| HDL-C (mg/dL) | 46.7 ± 2.7 | 45.7 ± 2.2 | ns |
| LDL-C (mg/dL) | 82.3 ± 6.9 | 109.7 ± 6.6 | 0.007 |
| TC (mg/dL) | 145.4 ± 8.4 | 167.7 ± 7.4 | 0.05 |
| TG (mg/dL) | 81.5 ± 17.7 | 88.6 ± 8.7 | ns |
| (a) | B (SE) | t | p |
|---|---|---|---|
| INTERCEPT | −14.44 (6.87) | −2.10 | 0.05 |
| miR-33a-3p | 0.008 (0.13) | 0.06 | 0.95 |
| miR-223-5p | −0.16 (0.13) | −1.28 | 0.22 |
| miR-142-5p | 0.08 (0.11) | 0.73 | 0.47 |
| miR-199a-5p | −0.05 (0.09) | −0.57 | 0.58 |
| miR-4454 | 0.01 (0.05) | 0.19 | 0.85 |
| miR-181a-5p | −0.09 (0.18) | −0.48 | 0.64 |
| Age | −0.02 (0.17) | −0.14 | 0.89 |
| Weight | −0.09 (0.05) | −1.86 | 0.08 |
| Height | −0.11 (0.05) | −2.24 | 0.03 |
| Height z-score | −0.14 (0.23) | −0.60 | 0.56 |
| BMI | 0.11 (0.14) | 0.74 | 0.48 |
| BMI z-score | 0.80 (0.29) | 2.78 | 0.01 |
| Fat Mass | 0.005 (0.01) | 0.36 | 0.72 |
| Lean Mass | −0.01 (0.009) | −1.63 | 0.12 |
| (b) | |||
| INTERCEPT | 0.75 (1.42) | 0.52 | 0.61 |
| miR-33a-3p | 0.31 (0.19) | 1.59 | 0.14 |
| miR-223-5p | −0.43 (0.19) | −2.21 | 0.05 |
| miR-142-5p | 0.15 (0.15) | 1.02 | 0.33 |
| miR-199a-5p | −0.04 (0.12) | −0.38 | 0.71 |
| miR-4454 | 0.21 (0.08) | 2.63 | 0.02 |
| miR-181a-5p | −0.09 (0.18) | −0.48 | 0.64 |
| Total cholesterol | 0.05 (0.03) | 1.57 | 0.15 |
| Triglycerides | −0.01 (0.007) | −2.01 | 0.07 |
| HDL | −0.83 (0.04) | -2.32 | 0.04 |
| LDL | −0.05 (0.03) | −3.29 | 0.17 |
| HbA1c | 0.16 (0.26) | 0.61 | 0.55 |
| HOMA-IR | 0.23 (0.12) | 1.86 | 0.09 |
| Gene | Forward Primer Sequence (5’---3’) | GenBank, Accession Number | Location | Ta, °C |
|---|---|---|---|---|
| hsa-miR-33a-3p | CAATGTTTCCACAGTGCATCAC | NR_029507 | chr 22q13.2 | 55 |
| hsa-miR-223-5p | CGTGTATTTGACAAGCTGAGTT | LM608368 | chr Xq12 | 55 |
| hsa-miR-142-5p | CATAAAGTAGAAAGCACTACT | NR_029683 | chr 17q22 | 55 |
| hsa-miR-199a-5p | CCCAGTGTTCAGACTACCTGTTC | NR_029586 | chr 19p13.2 | 55 |
| hsa-miR-4454 | GGATCCGAGTCACGGCACCA | NR_039659 | chr 4q32.2 | 55 |
| hsa-miRNA-181a-5p | AACATTCAACGCTGTCGGTGAGT | NR_029611 | chr 1q32.1 | 55 |
| Ce_miR39 | Quantitect Primer Assay QIAGEN (blind) | - | - | 55 |
| RNY4 | F: CCGATGGTAGTGGGTTAT R: AAGCCAGTCAAATTTAGCA | NR_004393.1 | chr 7q36.1 | 58 |
| CNP | Hs_NPPC _2_SG QuantitectPrimerAssay QIAGEN (blind) | NM_024409 | chr 2q37.1 | 60 |
| NPR-B | F: ATCGCTGGCTGCTTCTAT R: GGTGCCTCCTTCCTGTAT | NM_002526 | chr 9p13.3 | 60 |
| NPR-C | F: TTCAGCATCACTCCAAGGA R: GTGTGGTCAGGTTAGCATA | NM_001204375 | chr 5p13.3 | 60 |
Disclaimer/Publisher’s Note: The statements, opinions and data contained in all publications are solely those of the individual author(s) and contributor(s) and not of MDPI and/or the editor(s). MDPI and/or the editor(s) disclaim responsibility for any injury to people or property resulting from any ideas, methods, instructions or products referred to in the content. |
© 2022 by the authors. Licensee MDPI, Basel, Switzerland. This article is an open access article distributed under the terms and conditions of the Creative Commons Attribution (CC BY) license (https://creativecommons.org/licenses/by/4.0/).
Share and Cite
Cabiati, M.; Randazzo, E.; Guiducci, L.; Falleni, A.; Cecchettini, A.; Casieri, V.; Federico, G.; Del Ry, S. Evaluation of Exosomal Coding and Non-Coding RNA Signature in Obese Adolescents. Int. J. Mol. Sci. 2023, 24, 139. https://doi.org/10.3390/ijms24010139
Cabiati M, Randazzo E, Guiducci L, Falleni A, Cecchettini A, Casieri V, Federico G, Del Ry S. Evaluation of Exosomal Coding and Non-Coding RNA Signature in Obese Adolescents. International Journal of Molecular Sciences. 2023; 24(1):139. https://doi.org/10.3390/ijms24010139
Chicago/Turabian StyleCabiati, Manuela, Emioli Randazzo, Letizia Guiducci, Alessandra Falleni, Antonella Cecchettini, Valentina Casieri, Giovanni Federico, and Silvia Del Ry. 2023. "Evaluation of Exosomal Coding and Non-Coding RNA Signature in Obese Adolescents" International Journal of Molecular Sciences 24, no. 1: 139. https://doi.org/10.3390/ijms24010139
APA StyleCabiati, M., Randazzo, E., Guiducci, L., Falleni, A., Cecchettini, A., Casieri, V., Federico, G., & Del Ry, S. (2023). Evaluation of Exosomal Coding and Non-Coding RNA Signature in Obese Adolescents. International Journal of Molecular Sciences, 24(1), 139. https://doi.org/10.3390/ijms24010139

