Reactivity of Myoglobin Reconstituted with Cobalt Corrole toward Hydrogen Peroxide
Abstract
:1. Introduction
2. Results and Discussion
2.1. Synthesis and Characterization of a Co Corrole Complex as an Artificial Cofactor of Mb
2.2. Preparation and Characterization of Myoglobin Reconstituted with Co Corrole
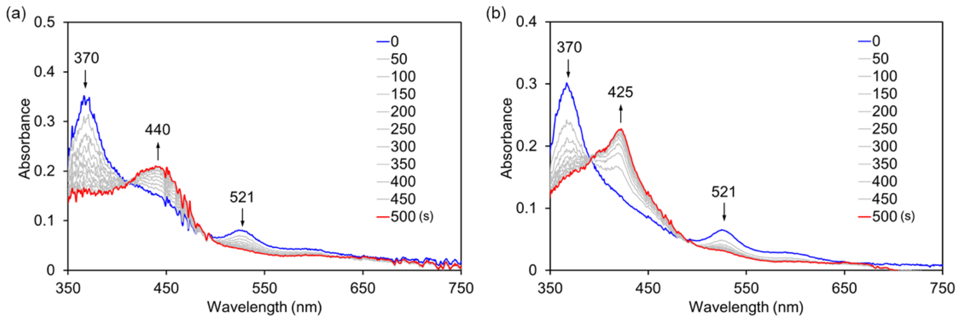
2.3. Reaction of rMb(CoCor) with Hydrogen Peroxide in the Presence of Phenol Derivatives
3. Conclusions
4. Materials and Methods
4.1. Instruments
4.2. Materials
4.3. Synthesis of CoCor
4.3.1. Synthesis of Corrole 2
4.3.2. Synthesis of Co Corrole Complex 3
4.3.3. Synthesis of CoCor
4.4. Reconstitution of Mb with CoCor
4.5. Cyclic Voltammetry
4.6. Kinetic Analysis
Supplementary Materials
Author Contributions
Funding
Conflicts of Interest
References
- Lu, Y.; Yeung, N.; Sieracki, N.; Marshall, N.M. Design of functional metalloproteins. Nature 2009, 460, 855–862. [Google Scholar] [CrossRef] [PubMed] [Green Version]
- Karlin, K.D. Metalloenzymes, Structural Motifs, and Inorganic Models. Science 1993, 261, 701–708. [Google Scholar] [CrossRef]
- Dawson, J.H. Probing Structure-Function Relations in Heme-Containing Oxygenases and Peroxidases. Science 1988, 240, 433–439. [Google Scholar] [CrossRef]
- Pelletier, H.; Kraut, J. Crystal Structure of a Complex between Electron Transfer Partners, Cytochrome c Peroxidase and Cytochrome c. Science 1992, 258, 1748–1755. [Google Scholar] [CrossRef] [PubMed]
- Tsukihara, T.; Aoyama, H.; Yamashita, E.; Tomizaki, T.; Yamaguchi, H.; Shinzawa-Itoh, K.; Nakashima, R.; Yaono, R.; Yoshikawa, S. The Whole Structure of the 13-Subunit Oxidized Cytochrome c Oxidase at 2.8 Å. Science 1996, 272, 1136–1144. [Google Scholar] [CrossRef]
- Baglia, R.A.; Zaragoza, J.P.T.; Goldberg, D.P. Biomimetic Reactivity of Oxygen-Derived Manganese and Iron Porphyrinoid Complexes. Chem. Rev. 2017, 117, 13320–13352. [Google Scholar] [CrossRef]
- Orłowski, R.; Gryko, D.; Gryko, D.T. Synthesis of Corroles and Their Heteroanalogs. Chem. Rev. 2017, 117, 3102–3137. [Google Scholar] [CrossRef] [PubMed]
- Oohora, K.; Onoda, A.; Hayashi, T. Hemoproteins Reconstituted with Artificial Metal Complexes as Biohybrid Catalysts. Acc. Chem. Res. 2019, 52, 945–954. [Google Scholar] [CrossRef] [PubMed]
- Oohora, K.; Hayashi, T. Myoglobins engineered with artificial cofactors serve as artificial metalloenzymes and models of natural enzymes. Dalton Trans. 2021, 50, 1940–1949. [Google Scholar] [CrossRef] [PubMed]
- Matsuo, T.; Hayashi, A.; Abe, M.; Matsuda, T.; Hisaeda, Y.; Hayashi, T. Meso-Unsubstituted Iron Corrole in Hemoproteins: Remarkable Differences in Effects on Peroxidase Activities between Myoglobin and Horseradish Peroxidase. J. Am. Chem. Soc. 2009, 131, 15124–15125. [Google Scholar] [CrossRef]
- Zhang, R.; Newcomb, M. Laser Flash Photolysis Generation of High-Valent Transition Metal−Oxo Species: Insights from Kinetic Studies in Real Time. Acc. Chem. Res. 2008, 41, 468–477. [Google Scholar] [CrossRef] [PubMed] [Green Version]
- Schechter, A.; Stanevsky, M.; Mahammed, A.; Gross, Z. Four-electron oxygen reduction by brominated cobalt corrole. Inorg. Chem. 2012, 51, 22–24. [Google Scholar] [CrossRef] [PubMed]
- Lei, H.; Han, A.; Li, F.; Zhang, M.; Han, Y.; Du, P.; Lai, W.; Cao, R. Electrochemical, spectroscopic and theoretical studies of a simple bifunctional cobalt corrole catalyst for oxygen evolution and hydrogen production. Phys. Chem. Chem. Phys. 2014, 16, 1883–1893. [Google Scholar] [CrossRef]
- Dogutan, D.K.; McGuire, R., Jr.; Nocera, D.G. Electocatalytic Water Oxidation by Cobalt(III) Hangman β-Octafluoro Corroles. J. Am. Chem. Soc. 2011, 133, 9178–9180. [Google Scholar] [CrossRef] [PubMed]
- Mondal, B.; Sengupta, K.; Rana, A.; Mahammed, A.; Botoshansky, M.; Dey, S.G.; Gross, Z.; Dey, A. Cobalt Corrole Catalyst for Efficient Hydrogen Evolution Reaction from H2O under Ambient Conditions: Reactivity, Spectroscopy, and Density Functional Theory Calculations. Inorg. Chem. 2013, 52, 3381–3387. [Google Scholar] [CrossRef] [PubMed]
- Palmer, J.H.; Mahammed, A.; Lancaster, K.M.; Gross, Z.; Gray, H.B. Structures and Reactivity Patterns of Group 9 Metallocorroles. Inorg. Chem. 2009, 48, 9308–9315. [Google Scholar] [CrossRef] [Green Version]
- Murakami, Y.; Yamada, S.; Sakata, K. Transition-metal Complexes of Pyrrole Pigments. XV. Coordination of Pyridine Bases to the Axial Sites of Cobalt Corroles. Bull. Chem. Soc. Jpn. 1978, 51, 123–129. [Google Scholar] [CrossRef] [Green Version]
- Kadish, K.M.; Shen, J.; Fremond, L.; Chen, P.; Ojaimi, M.E.; Chkounda, M.; Gros, C.P.; Barbe, J.M.; Ohkubo, K.; Fukuzumi, S. Clarification of the Oxidation State of Cobalt Corroles in Heterogeneous and Homogeneous Catalytic Reduction of Dioxygen. Inorg. Chem. 2008, 47, 6726–6737. [Google Scholar] [CrossRef]
- Jérôme, F.; Barbe, J.M.; Gros, C.P.; Guilard, R.; Fischer, J.; Weiss, R. Peculiar reactivity of face to face biscorrole and porphyrin–corrole with a nickel(II) salt. X-Ray structural characterization of a new nickel(II) bisoxocorrole. New J. Chem. 2001, 25, 93–101. [Google Scholar] [CrossRef]
- Hansch, C.; Leo, A.; Taft, R.W. A survey of Hammett substituent constants and resonance and field parameters. Chem. Rev. 1991, 91, 165–195. [Google Scholar] [CrossRef]
- Nagano, S.; Tanaka, M.; Ishimori, K.; Watanabe, Y.; Morishima, I. Catalytic roles of the distal site asparagine-histidine couple in peroxidases. Biochemistry 1996, 35, 14251–14258. [Google Scholar] [CrossRef]
- Liu, L.V.; Bell, C.B.; Wong, S.D.; Wilson, S.A.; Kwak, Y.; Chow, M.S.; Zhao, J.; Hodgson, K.O.; Hedman, B.; Solomon, E.I. Definition of the intermediates and mechanism of the anticancer drug bleomycin using nuclear resonance vibrational spectroscopy and related methods. Proc. Natl. Acad. Sci. USA 2010, 107, 22419–22424. [Google Scholar] [CrossRef] [PubMed] [Green Version]
- Cho, J.; Jeon, S.; Wilson, S.A.; Liu, L.V.; Kang, E.A.; Braymer, J.J.; Lim, M.H.; Hedman, B.; Hodgson, K.O.; Valentine, J.S. Structure and reactivity of a mononuclear non-haem iron(III)–peroxo complex. Nature 2011, 478, 502–505. [Google Scholar] [CrossRef] [PubMed]
- Shin, B.; Sutherlin, K.D.; Ohta, T.; Ogura, T.; Solomon, E.I.; Cho, J. Reactivity of a Cobalt(III)–Hydroperoxo Complex in Electrophilic Reactions. Inorg. Chem. 2016, 55, 12391–12399. [Google Scholar] [CrossRef] [PubMed]
- O’Halloran, K.P.; Zhao, C.; Ando, N.S.; Schultz, A.J.; Koetzle, T.F.; Piccoli, P.M.B.; Hedman, B.; Hodgson, K.O.; Bobyr, E.; Kirk, M.L. Revisiting the polyoxometalate-based late-transition-metal-oxo complexes: The “oxo wall” stands. Inorg. Chem. 2012, 51, 7025–7031. [Google Scholar] [CrossRef]
- Markel, U.; Sauer, D.F.; Wittwer, M.; Schiffels, J.; Cui, H.; Davari, M.D.; Kröckert, K.W.; Herres-Pawlis, S.; Okuda, J.; Schwaneberg, U. Chemogenetic Evolution of a Peroxidase-like Artificial Metalloenzyme. ACS Catal. 2021, 11, 5079–5087. [Google Scholar] [CrossRef]
- Fischer, S.; Ward, T.R.; Liang, A.D. Engineering a Metathesis-Catalyzing Artificial Metalloenzyme Based on HaloTag. ACS Catal. 2021, 11, 6343–6347. [Google Scholar] [CrossRef]
- Jeong, W.J.; Yu, J.; Song, W.J. Proteins as diverse, efficient, and evolvable scaffolds for artificial metalloenzymes. Chem. Commun. 2020, 56, 9586–9599. [Google Scholar] [CrossRef]
- Zubi, Y.S.; Liu, B.; Gu, Y.; Sahoo, D.; Lewis, J.C. Controlling the optical and catalytic properties of artificial metalloenzyme photocatalysts using chemogenetic engineering. Chem. Sci. 2022, 13, 1459–1468. [Google Scholar] [CrossRef]
- Huang, J.; Liu, Z.; Bloomer, B.J.; Clark, D.S.; Mukhopadhyay, A.; Keasling, J.D.; Hartwig, J.F. Unnatural biosynthesis by an engineered microorganism with heterologously expressed natural enzymes and an artificial metalloenzyme. Nat. Chem. 2021, 13, 1186–1191. [Google Scholar] [CrossRef]
- Samanta, A.; Sabatino, V.; Ward, T.R.; Walther, A. Functional and morphological adaptation in DNA protocells via signal processing prompted by artificial metalloenzymes. Nat. Nanotech. 2020, 15, 914–921. [Google Scholar] [CrossRef] [PubMed]
- Nasibullin, I.; Smirnov, I.; Ahmadi1, P.; Vong, K.; Kurbangalieva, A.; Tanaka, K. Synthetic prodrug design enables biocatalytic activation in mice to elicit tumor growth suppression. Nat. Commun. 2022, 13, 39. [Google Scholar] [CrossRef] [PubMed]














| Reactant | k1 (M−1s−1) | k–1/k2 (M) |
|---|---|---|
| Phenol | 3.4 | 6.5 × 10−4 |
| p-methoxyphenol | 3.0 | 2.8 × 10−4 |
| p-methylphenol | 3.6 | 4.2 × 10−4 |
| p-chlorophenol | 3.3 | 1.0 × 10−3 |
Publisher’s Note: MDPI stays neutral with regard to jurisdictional claims in published maps and institutional affiliations. |
© 2022 by the authors. Licensee MDPI, Basel, Switzerland. This article is an open access article distributed under the terms and conditions of the Creative Commons Attribution (CC BY) license (https://creativecommons.org/licenses/by/4.0/).
Share and Cite
Oohora, K.; Tomoda, H.; Hayashi, T. Reactivity of Myoglobin Reconstituted with Cobalt Corrole toward Hydrogen Peroxide. Int. J. Mol. Sci. 2022, 23, 4829. https://doi.org/10.3390/ijms23094829
Oohora K, Tomoda H, Hayashi T. Reactivity of Myoglobin Reconstituted with Cobalt Corrole toward Hydrogen Peroxide. International Journal of Molecular Sciences. 2022; 23(9):4829. https://doi.org/10.3390/ijms23094829
Chicago/Turabian StyleOohora, Koji, Hirotaka Tomoda, and Takashi Hayashi. 2022. "Reactivity of Myoglobin Reconstituted with Cobalt Corrole toward Hydrogen Peroxide" International Journal of Molecular Sciences 23, no. 9: 4829. https://doi.org/10.3390/ijms23094829
APA StyleOohora, K., Tomoda, H., & Hayashi, T. (2022). Reactivity of Myoglobin Reconstituted with Cobalt Corrole toward Hydrogen Peroxide. International Journal of Molecular Sciences, 23(9), 4829. https://doi.org/10.3390/ijms23094829
