Improvements, Variations and Biomedical Applications of the Michaelis–Arbuzov Reaction
Abstract
:1. Introduction
2. Mechanism of the Michaelis–Arbuzov (MA) Reaction
3. Perkow vs. MA Reactions
4. Improvements in and Variations of the MA Reaction
4.1. MA Reaction with Silyl Phosphites (Silyl–Arbuzov Reactions)
4.2. Lewis Acid-Catalyzed MA Reaction
4.3. MA Reaction with Aryl Phosphites
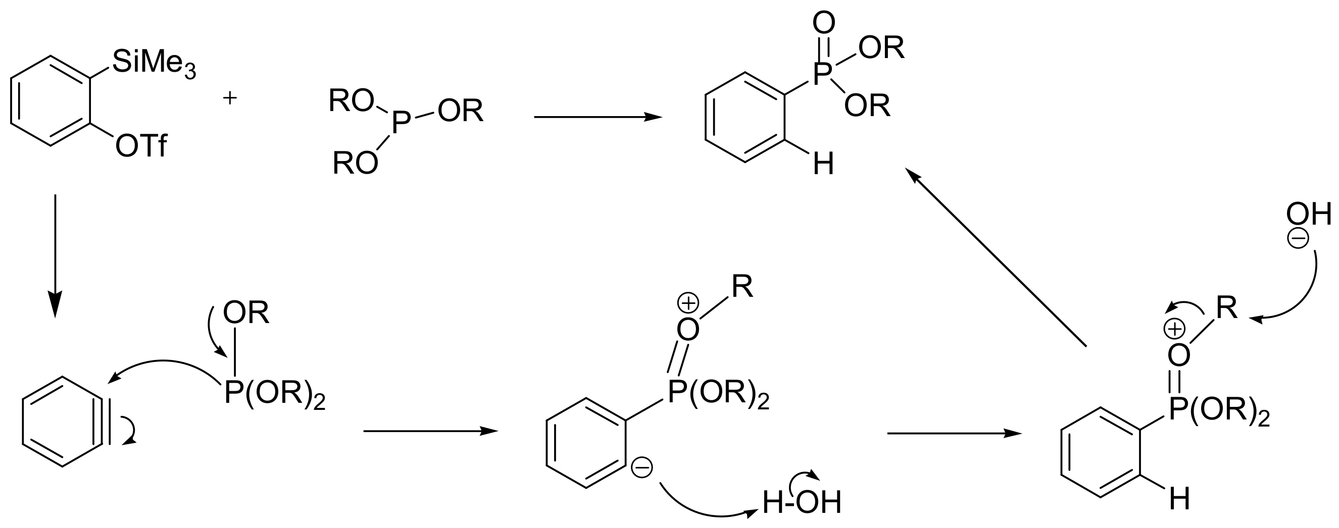
4.4. Aryne-Mediated MA Reaction
4.5. One Pot Room Temperature MA Reaction
4.6. Ultrasound-Assisted MA Reaction
4.7. Electrochemical MA Reaction
4.8. Polyethylene Glycol (PEG)-Assisted MA Reaction
4.9. Solventless Continuous Flow MA Reaction
4.10. Microwave-Assisted MA
4.11. Alcohol-Based MA Reaction
4.12. Photochemical Michaelis–Arbuzov
4.13. SNAr Mechanism in MA Reaction
5. Special Cases of MA Reactions
5.1. Reaction of Phosphites with Vicinal Dibromides
5.2. Phosphonate Derivatives of Coumarins
5.3. Reaction of Pyridoyl Chlorides with Triethylphosphite
5.4. Reactions of α, ω-Dihaloalkanes with Phosphites
6. Application of the MA Reaction
6.1. Production of Triphenylmethyl Motif Containing Anticancer Agents
6.2. Synthesis of Antimicrobial Agents Based on MA Reaction
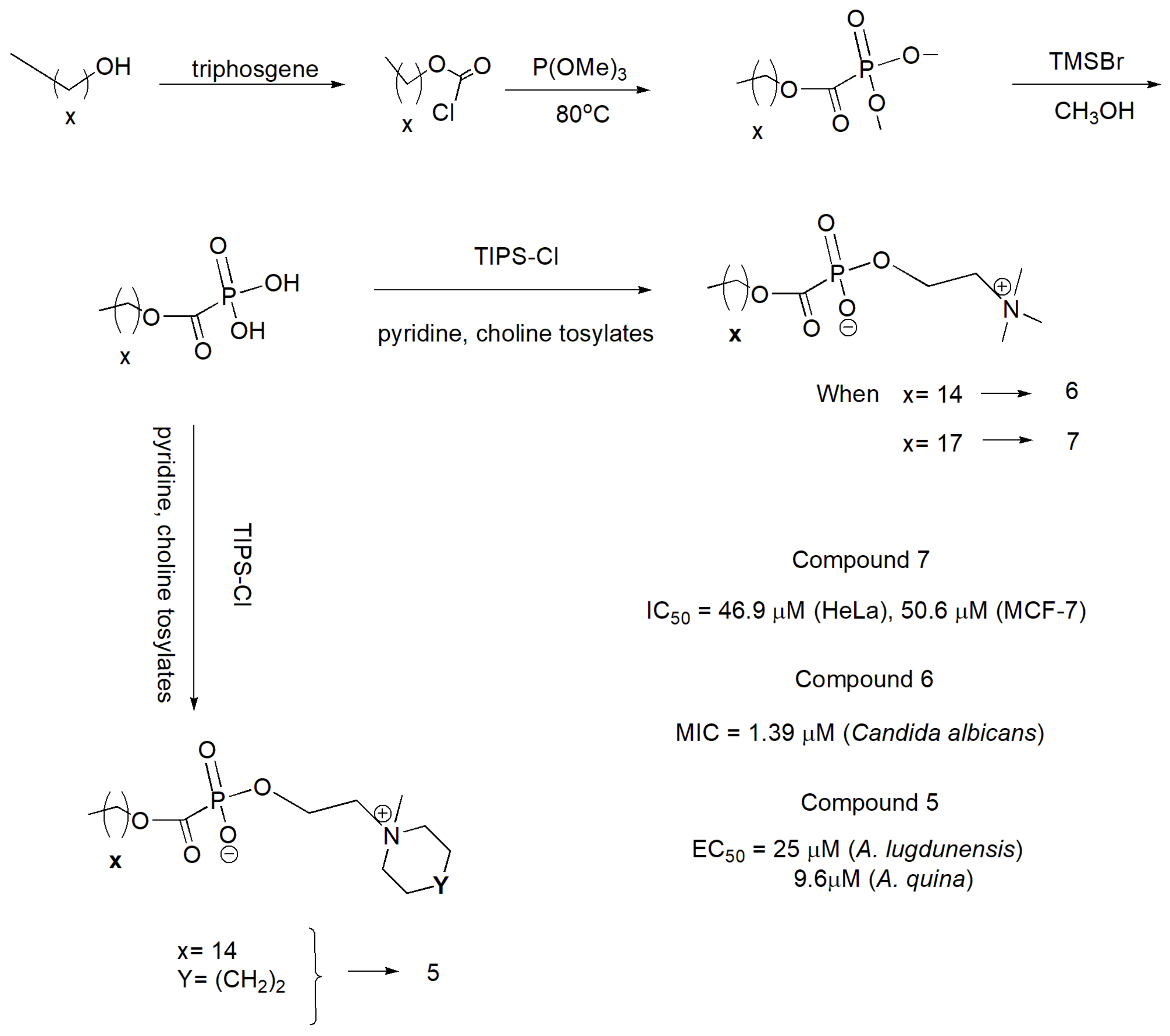
6.2.1. Alkylphosphonocholine Derivatives of Foscarnet
6.2.2. Methylenecyclopropane Phosphonate Derivatives as Antivirals
6.2.3. Phosphonate Derivatives of N-Phenylsulfonamide with Antimicrobial Activity
6.2.4. Phosphonate Antiviral Prodrugs
6.3. Phosphonate Surfmers
6.4. Phosphonate Dendrons
6.5. Development of Haptens
6.6. Other Phosphono-Derivatives with Potential Biological Activities
6.6.1. Phosphonylated Sugar Derivatives
6.6.2. Polyphosphate Analogues
6.6.3. Autophagy Simulators
6.6.4. Lesogaberan
6.6.5. Development of α-Diaryl Substituted Phosphonate Compounds
6.6.6. Surrogates for V-Type Nerve Agents
7. Alkylphosphonofluoridates
7.1. Synthesis of Radiolabeled (C14) Sarin
7.2. Cyclohexyl Alkyl (or Aryl) Phosphonofluoridates
7.3. Alkylphosphonofluoridates as Activity-Based Probes (ABPs)
7.4. Click Chemistry and ABPs
8. Phosponates as Intermediates in the Synthesis of Alkenes
9. Conclusions
Author Contributions
Funding
Institutional Review Board Statement
Informed Consent Statement
Data Availability Statement
Conflicts of Interest
Abbreviations
| ABP | activity-based probe |
| AChE | acetylcholinesterase |
| BSA | bovine serum albumin |
| BTSP | bis(trimethylsilyl)phosphonite |
| DAST | diethylaminosulfur trifluoride |
| EDC | 1-ethyl-3-(3-dimethylaminopropyl)carbodiimide |
| IC50 | inhibitory concentration 50% |
| KLH | keyhole limpet hemocyanin |
| MA | Michaelis–Arbuzov |
| MIC | minimum inhibitory concentration |
| NHS | N-hydroxylsuccinimide |
| PEP | phosphoenolpyruvate |
| TBAF | tetrabutylammonium fluoride |
| Tf | triflate |
| TMS | trimethyl silyl- |
References
- Sadowski, L.A.; Upadhyay, R.; Greeley, Z.W.; Margulies, B.J. Current drugs to treat infections with Herpes Simplex Viruses-1 and -2. Viruses 2021, 13, 1228. [Google Scholar] [CrossRef]
- Constanzi, S.; Machado, J.H.; Mitchell, M. Nerve agents: What they are, how they work, how to counter them. ACS Chem. Neurosci. 2018, 9, 873–885. [Google Scholar] [CrossRef]
- Jett, D.A.; Spriggs, S.M. Translational research on chemical nerve agents. Neurobiol. Aging 2020, 133, 104335. [Google Scholar] [CrossRef]
- Mukherjee, S.; Gupta, R.D. Organophosphorus nerve agents: Types, toxicity, and treatments. J. Toxicol. 2020, 2020, 3007984. [Google Scholar] [CrossRef] [PubMed]
- Sevrain, C.M.; Berchel, M.; Couthon, H.; Jaffrès, P.A. Phosphonic acid: Preparation and application. Beilstein. J. Org. Chem. 2017, 13, 2186–2213. [Google Scholar] [CrossRef] [PubMed]
- Barbosa, J.S.; Braga, S.S.; Almeida Paz, F.A. Empowering the medicinal applications of bisphosphonates by unveiling their synthesis details. Molecules 2020, 25, 2821. [Google Scholar] [CrossRef]
- Bowman, E.; McQueney, M.; Barry, R.J.; Dunaway-Mariano, D. Catalysis and thermodynamics of the phosphoenolpyruvate phosphonopyruvate rearrangement-entry into the phosphonate class of naturally-occurring organophosphorus compounds. J. Am. Chem. Soc. 1988, 110, 5575–5576. [Google Scholar] [CrossRef]
- Seidel, H.M.; Freeman, S.; Seto, H.M. Knowles Phosphonate biosynthesis: Isolation of the enzyme responsible for the formation of a carbon-phosphorus bond. Nature 1988, 335, 457–458. [Google Scholar] [CrossRef]
- Michaelis, A.; Kaehne, R. Ueber das verhalten der jodalkylegegen die sogen. Phosphorigsäureester oder O-phosphine. Ber. Dtsch. Chem. Ges. 1898, 31, 1048–1055. [Google Scholar] [CrossRef] [Green Version]
- Arbuzov, A.E. The Structure of Phosphorus Acid and Its Derivatives. Ph.D. Thesis, Saint Petersburg State University, Saint Petersburg, Russia, 1905. [Google Scholar]
- Bhattacharya, A.K.; Thyagarajan, G. The Michaelis–Arbuzov rearrangement. Chem. Rev. 1981, 81, 415–430. [Google Scholar] [CrossRef]
- Babu, B.H.; Prasad, G.S.; Raju, C.N.; Venkata, M.; Rao, B. Synthesis of phosphonates via Michaelis–Arbuzov reaction. Curr. Org. Synth. 2017, 14, 883–903. [Google Scholar] [CrossRef]
- Demmer, C.S.; Krogsgaard-Larsen, N.; Bunch, L. Review on modern advances of chemical methods for the introduction of a phosphonic acid group. Chem. Rev. 2011, 111, 7981–8006. [Google Scholar] [CrossRef]
- Iorga, B.; Eymery, F.; Carmichael, D.; Savignac, P. Dialkyl 1-alkynylphosphonates: A range of promising reagents. Eur. J. Org. Chem. 2000, 18, 3103–3115. [Google Scholar] [CrossRef]
- Kyba, E.P.; Rines, S.P.; Owens, P.W.; Chou, S.S.P. A novel synthesis of 1,2-disphosphorylbenzenes. Tetrahedron Lett. 1981, 22, 1875–1878. [Google Scholar] [CrossRef]
- Benin, V.; Cui, X.; Morgan, A.B.; Seiwert, K. Synthesis and flammability testing of epoxy functionalized phosphorous-based flame retardants. J. Appl. Polym. Sci. 2015, 132, 42296. [Google Scholar] [CrossRef]
- Cauret, L.; Brosse, J.C.; Derouet, D.; De Livonnière, H. An efficient protocol for the synthesis of 2-chloroethylphosphonic acid. Synth. Commun. 1997, 27, 647–653. [Google Scholar] [CrossRef]
- Colle, K.S.; Lewis, E.S. Methoxyphosphonium ions: Intermediates in the Arbuzov reaction. J. Org. Chem. 1978, 4, 571–574. [Google Scholar] [CrossRef]
- Fernandez-Valle, M.E.; Martinez-Alvarez, R.; Molero-Vilchez, D.; Pardo, Z.D.; Saez-Barajas, E.; Herrera, A. 2D ultrafast HMBC 1H, 31P: Obtaining mechanistic details on the Michaelis–Arbuzov reaction. J. Org. Chem. 2015, 80, 799–805. [Google Scholar] [CrossRef]
- Rajeshwaran, G.G.; Nandakumar, M.; Sureshbabu, R.; Mohanakrishnan, A.K. Lewis acid-mediated Michaelis–Arbuzov reaction at room temperature: A facile preparation of arylmethyl/heteroarylmethyl phosphonates. Org. Lett. 2010, 13, 1270–1273. [Google Scholar] [CrossRef]
- Hägele, G. Michaelis–Arbuzov reactions of perhalogenatedcyclobutenes with trialkyl phosphites. Phosphorus Sulfur Silicon Relat. Elem. 2015, 190, 2094–2109. [Google Scholar] [CrossRef]
- Cadogan, J.I.G.; Sharp, J.T. Duality of mechanism in the reaction of triethyl phosphite and carbon tetrachloride. Tetrahedron Lett. 1966, 24, 2733–2738. [Google Scholar] [CrossRef]
- Fu, J.J.L.; Bentrude, W.G. Free-radical chemistry of organophosphorus compounds. I. Reactions of phenyl radicals from phenylazotriphenylmethanewith trimethyl phosphite. J. Am. Chem. Soc. 1972, 94, 7710–7717. [Google Scholar] [CrossRef]
- Dockery, K.P.; Bentrude, W.G. Free radical chain reactions of [1.1.1]propellane with three-coordinate phosphorus molecules. Evidence for the high reactivity of the bicyclo[1.1.1]pent-1-yl radical. J. Am. Chem. Soc. 1997, 119, 1388–1399. [Google Scholar] [CrossRef]
- Petrov, K.A.; Repin, V.N.; Sorokin, V.D. Phosphorylation of 1,3-dehydroadamantane. Zh. Obshch. Khim. 1992, 62, 303. [Google Scholar]
- Dembitsky, V.M.; Gloriozova, T.A.; Poroikov, V.V. Pharmacological profile of natural and synthetic compounds with rigid adamantane-based scaffolds as potential agents for the treatment of neurodegenerative diseases. Biochem. Biophys. Res. Commun. 2020, 529, 1225–1241. [Google Scholar] [CrossRef] [PubMed]
- Nalewajek, D.; Soriano, D.S.; Borowski, R.J. Preparation of Vinylphosphonate Diesters. U.S. Patent 4,548,763, 22 October 1985. [Google Scholar]
- Perkow, W.; Ullerich, K.; Meyer, F. Neue Phosphorsäureester mit Pupillenverengender Wirkung. Naturwissenschaften 1952, 39, 353. [Google Scholar] [CrossRef]
- Ferao, A.E. Comparative computational study on the reaction of chloroacetone with trimethylphosphite: Perkow versus Michaelis–Arbuzov reaction paths. J. Phys. Chem. A 2017, 121, 6517–6522. [Google Scholar] [CrossRef] [PubMed]
- Engel, R.; Cohen, J.I. C-P bond formation using nucleophilic trivalent phosphorus reagents Chapter 3. In Synthesis of Carbon-Phosphorus Bonds, 2nd ed.; CRC Press LLC.: Boca Raton, FL, USA, 2004; p. 33. [Google Scholar]
- Moriguchi, T.; Okada, K.; Seio, K.; Sekime, M. Synthesis and stability of 1-phenylethenyl phosphate derivatives and their phosphoryl transfer activity. Lett. Org. Chem. 2004, 1, 140–144. [Google Scholar] [CrossRef]
- Dabkowski, W.; Ozarek, A.; Olejniczak, S.; Cypryk, M.; Chojnowski, J.; Michalski, J. Studies on the efficient generation of phosphorus-carbon bonds via a rearrangement of PIII esters catalysed by trimethylhalosilanes. Chem. Eur. J. 2009, 15, 1747–1756. [Google Scholar] [CrossRef]
- Renard, P.Y.; Vayron, P.; Mioskowski, C. Trimethylsilyl halide-promoted Michaelis–Arbuzov rearrangement. Org. Lett. 2003, 5, 1661–1664. [Google Scholar] [CrossRef]
- Dussart, H.M.; Guedeney, N.; Deschamp, J.; Monteil, M.; Gager, O.; Legigan, T.; Migianu-Griffoni, E.; Lecouvey, M. A convenient synthetic route towards H-bisphosphinates. Org. Biomol. Chem. 2018, 16, 6969–6979. [Google Scholar] [CrossRef] [PubMed]
- Abdou, M.M.; El-Saeed, R.A. Potential chemical transformation of phosphinic acid derivatives and their applications in the synthesis of drugs. Bioorg. Chem. 2019, 30, 103039. [Google Scholar] [CrossRef] [PubMed]
- Renard, P.Y.; Vayron, P.; Leclerc, E.; Valleix, A.; Mioskowski, C. Lewis acid catalyzed room temperature Michaelis–Arbuzov rearrangement. Angew. Chem. Int. Ed. 2003, 42, 2389–2392. [Google Scholar] [CrossRef] [PubMed]
- Golla, M.; Syed, R.; Katla, V.R.; Devineni, S.R.; Kondapalli, N.; Chamarthi, N.R. LaCl3.7H2O: An efficient catalyst for the synthesis of phosphinates Michaelis–Arbuzov reaction under neat conditions and their potential antimicrobial activity. J. Chem. Sci. 2014, 126, 117–125. [Google Scholar] [CrossRef] [Green Version]
- Ballester, J.; Gatignol, J.; Schmidt, G.; Alayrac, C.; Gaumont, A.C.; Taillefer, M. A copper-catalyzed variant of the Michaelis–Arbuzov reaction. Chemcatchem 2014, 6, 1549–1552. [Google Scholar] [CrossRef]
- Subramanyam, C.; Madhava, G.; Basha, S.K.T.; Rasheed, S.; Sankar, A.U.; Raju, C.N. BismuthIII chloride mediated Michaelis–Arbuzov reaction: A facile synthesis of substituted arylphosphonates/phosphinates and bioactivity evaluation. Phosphorus. Sulfur. Silicon Relat. Elem. 2015, 190, 1948–1957. [Google Scholar] [CrossRef]
- Li, C.; Han, L.B. Palladium-catalyzed solvent-free preparation of arylphosphonates ArPOOAr2 from ArO3P via the Michaelis–Arbuzov rearrangement. Organometallics 2020, 39, 3613–3617. [Google Scholar] [CrossRef]
- Rao, D.S.; Basha, S.K.T.; Raju, N. CeCl3·7H2O−SiO2: A heterogeneous catalyst for Michaelis–Arbuzov reaction: High yield synthesis of arylmethyl/heteroaryl phosphonates. Der Pharmacia Lettre 2013, 5, 341–349. [Google Scholar]
- Chinthaparthi, R.R.; Gangireddy, C.S.R.; Mudumala, V.R.; Gundluru, M.; Chamarthi, N.; Cirandur, S.R. CeCl3·7H2O: A highly efficient catalyst for the synthesis of 1-substituted-octahydro-[1,3,2]diazaphospholo[1,5-α]pyridine-1-oxide. Tetrahedron Lett. 2013, 45, 6071–6076. [Google Scholar] [CrossRef]
- Yuan, C.; Feng, H. Studies on organophosphorus compounds XL. An one-pot procedure for the mono-O-alkylation of phosphonic acids: A facile synthesis of alkyl hydrogen p-substituted phenylphosphonates. Synthesis 1990, 1990, 140–141. [Google Scholar] [CrossRef]
- Yang, G.; Shen, C.; Zhang, L. Nickel-catalyzed Arbuzov reaction of aryl triflates with triethyl phosphite. Tetrahedron Lett. 2011, 52, 5032–5035. [Google Scholar] [CrossRef]
- Das, B.; Damodar, K.; Bunia, N. A Simple and efficient access to α-amino phosphonates from N-benzyloxycarbonylamino sulfones using Indium(III)chloride. J. Org. Chem. 2009, 74, 5607–5609. [Google Scholar] [CrossRef]
- Basha, S.K.T.; Raju, C.N.; Rao, D.S.; Sudhamani, H.; Venkateswarly, N.; Vijaya, T. NbCl5 as an expeditious catalyst for the synthesis of quinoxalinyl and dibenzodioxepinyl phosphonates/phosphinates via Michaelis–Arbuzov reaction and their biological evaluation. Lett. Org. Chem. 2016, 13, 359–367. [Google Scholar] [CrossRef]
- Rasheed, S.; Rao, D.S.; Subramanyam, C.; Basha, S.T.; Raju, C.N. Expeditious, nano-BF3·SiO2-catalyzed Michaelis–Arbuzov reaction in an ionic liquid: Synthesis of privileged aryl/heterocyclic phosphonates. Synth.Commun. 2014, 44, 2988–2998. [Google Scholar] [CrossRef]
- Matveeva, E.V.; Odinets, I.L.; Kozlov, V.A.; Shaplov, A.S.; Mastryukova, T.A. Ionic-liquid-promoted Michaelis–Arbuzov rearrangement. Tetrahedron Lett. 2006, 47, 7645–7648. [Google Scholar] [CrossRef]
- Ravikumar, D.; Subramanyam Ch Mohan, S.; Sekhar, D.C.; Rao, K.P. Nano BF3·SiO2 catalyzed, microwave assisted Michaelis–Arbuzov reaction to synthesize biologically active phosphonates under solvent-free condition. Mater. Today Proc. 2018, 5, 25832–25842. [Google Scholar] [CrossRef]
- Yao, Q.; Levchik, S.A. concise method for synthesis of diaryl or alkylphosphonates. Tetrahedron Lett. 2006, 47, 277–281. [Google Scholar] [CrossRef]
- Erker, T.; Handler, N. Synthesis of nitrated thienylphosphonates via Michaelis–Arbuzov-type rearrangement. Synthesis 2004, 2004, 668–670. [Google Scholar] [CrossRef]
- Yoshida, S.; Hosova, T. Synthesis of diverse aromatic oxophosphorus compounds by the Michaelis–Arbuzov-type reaction of arynes. Chem. Lett. 2013, 42, 583–585. [Google Scholar] [CrossRef]
- Chen, J.; Fan, R.; Liu, Z.; Tan, J. Reactions of organophosporus compounds with arynes: Reactivity and mechanism. Adv. Synth. Cat. 2020, 363, 657–667. [Google Scholar] [CrossRef]
- Kedrowski, S.M.A.; Dougherty, D.A. Room-temperature alternative to the Arbuzov reaction: The reductive deoxygenation of acyl phosphonates. Org. Lett. 2010, 12, 3990–3993. [Google Scholar] [CrossRef] [Green Version]
- Winum, J.Y.; Kamal, M.; Agnaniet, H.; Leydet, A.; Montero, J.L. Etude de la réaction de Michaelis Arbuzov sous activation ultrasonore. Phosphorus Sulfur Silicon Relat. Elem. 1997, 129, 83–88. [Google Scholar] [CrossRef]
- Wang, S.; Yang, C.; Sun, S.; Wang, J. Catalyst-free phosphorylation of aryl halides with trialkyl phosphites through electrochemical reduction. Chem. Commun. 2019, 55, 14035–14038. [Google Scholar] [CrossRef]
- Naidu, K.R.M.; Dadapeer, E.; Reddy, C.B.; Rao, A.J.; Reddy, C.S.; Raju, N. Polyethylene glycol-promoted dialkyl, aryl/heteroaryl phosphonates. Synth. Commun. 2011, 41, 3462–3468. [Google Scholar] [CrossRef]
- Jasiak, A.; Mielniczak, G.; Owsianik, K.; Koprowski, M.; Krasowska, D.; Drabowicz, J. The solvent-free Michaelis–Arbuzov rearrangement under flow conditions. J. Org. Chem. 2019, 84, 2619–2625. [Google Scholar] [CrossRef]
- Serkova, O.S.; Kamkina, A.V.; Sivkova, A.S.; Maslennikova, V.I. Synthesis of oligophosphonate aromatic systems using the Michaelis–Arbuzov reaction and microwave radiation. Phosphorus Sulfur Silicon Relat. Elem. 2019, 194, 1082–1089. [Google Scholar] [CrossRef]
- Jansa, P.; Holy, A.; Dracinsky, M.; Baszczynski, O.; Cesnek, M.; Janeba, Z. Efficient and ‘green’ microwave-assisted synthesis of haloalkylphosphonates via the Michaelis–Arbuzov reaction. Green Chem. 2010, 13, 882. [Google Scholar] [CrossRef]
- Jansa, P.; Hradil, O.; Baszczynski, O.; Dracinsky, M.; Klepetarova, B.; Holy, A.; Balzarini, J.; Janeba, Z. An efficient microwave-assisted synthesis and biological properties of polysubstitutedpyrimidinyl- and 1,3,5-triazinylphosphonic acids. Tetrahedron 2012, 68, 865–871. [Google Scholar] [CrossRef] [PubMed] [Green Version]
- Ma, X.; Xu, Q.; Li, H.; Su, C.; Yu, L.; Zhang, X.; Cao, H.; Han, L.B. Alcohol-based Michaelis–Arbuzov reaction: An efficient and environmentally-benign method for C-PO bond formation. Green Chem. 2018, 20, 3408–3413. [Google Scholar] [CrossRef]
- Barney, R.J.; Richardson, R.M.; Wiemer, D.F. Direct conversion of benzylic and allylic alcohols to phosphonates. J. Org. Chem. 2011, 76, 2875–2879. [Google Scholar] [CrossRef] [PubMed] [Green Version]
- Shaikh, R.S.; Düsel, S.J.; Köning, B. Visible-light photo-Arbuzov reaction of aryl bromides and trialkyl phosphites yielding aryl phosphonates. ACS Catal. 2016, 6, 8410–8414. [Google Scholar] [CrossRef]
- Li, R.; Chen, X.; Wei, S.; Sun, K.; Fan, L.; Liu, Y.; Qu, L.; Zhao, Y.; Yu, B. A visible-light-promoted metal-free strategy towards arylphosphonates: Organic-dye-catalyzed phosphorylation of arylhydrazines with trialkylphosphites. Adv. Synth. Catal. 2018, 360, 4807–4813. [Google Scholar] [CrossRef]
- Mullah, K.B.; Bentrude, W.G. Photo-Arbuzov rearrangement route to acyclic nucleoside benzylphosphonates. J. Org. Chem. 1991, 56, 7218–7224. [Google Scholar] [CrossRef]
- Qu, G.-R.; Xia, R.; Yang, X.-N.; Li, J.-G.; Wang, D.-C.; Guo, H.-M. Synthesis of novel 6-phosphonated purine nucleosides under microwave irradiation by SNAr–Arbuzov reaction. J. Org. Chem. 2008, 73, 2416–2419. [Google Scholar] [CrossRef]
- Krikis, K.E.; Novosjolova, I.; Mishnev, A.; Turks, M. 1,2,3-triazoles as leaving groups in SNAr–Arbuzov reactions: Synthesis of C6-phosphonated purine derivatives. Beilstein J. Org. Chem. 2021, 17, 193–202. [Google Scholar] [CrossRef]
- Schroeder, J.P.; Tew, L.B.; Peters, V.M. Dehalogenation of vicinal dibromoalkanes with triethyl phosphite. J. Org. Chem. 1970, 35, 3181–3184. [Google Scholar] [CrossRef]
- Rashamuse, T.J.; Musa, M.A.; Klein, R.; Kaye, P.T. Regio-controlled Michaelis–Arbuzov reactions of 3halomethyl-coumarins. J. Chem. Res. 2009, 2009, 302–305. [Google Scholar] [CrossRef]
- Kauskik, M.P.; Gupta, A.K.; Lal, B.; Vaidyanathaswamy, R. Unusual reaction of triethylphosphite with pyridoyl chlorides. Phosphorus Sulfur Silicon Relat. Elem. 1992, 71, 175–177. [Google Scholar] [CrossRef]
- Griffith, J.A.; McCauley, D.J.; Barrans, R.E., Jr.; Herlinger, A.W. High yield synthesis of tetraethyl alkylene-disphosphonates via the Michaelis–Arbuzov reaction. Synth Commun. 1998, 28, 4317–4323. [Google Scholar] [CrossRef]
- Kosolapoff, G.M. Some physical properties of aliphatic disphosphonates. Part I. Ethyl esters. J. Chem. Soc. 1955, 3092–3094. [Google Scholar] [CrossRef]
- Bauer, K.N.; Liu, L.; Andrienko, D.; Wagner, M.; Macdonald, E.K.; Shaver, M.P.; Wurm, F.R. Polymerizing phostones: A fast way to in-chain polyphosphonates with adjustable hydrophilicity. Macromolecules 2018, 51, 1272–1279. [Google Scholar] [CrossRef]
- Garner, A.Y. Phosphoric Acid Phostones. U.S. Patent 2,953,591, 20 September 1960. [Google Scholar]
- Forchetta, M.; Conte, V.; Fiorani, G.; Galloni, P.; Sabuzi, F. A sustainable improvement of ω-bromoalkylphosphonates synthesis to access novel KuQuinones. Organics 2021, 2, 107–117. [Google Scholar] [CrossRef]
- Palchaudhuri, R.; Nesterenko, V.; Hergenrother, P.J. The complex role of the triphenylmethyl motif in anticancer compounds. J. Am. Chem. Soc. 2008, 130, 10274–10281. [Google Scholar] [CrossRef]
- Hergenrother, P.J.; Nesterenko, V.; Putt, K.S.; Palchaudhuri, R. Phosphorous Containing Compounds Including Triphenylmethylphosphonate Esters for the Treatment of Melanoma and Other Cancers. U.S. Patent 7,709,465, 4 May 2010. [Google Scholar]
- Norén, J.O.; Helgstrand, E.; Johansson, N.G.; Misiorny, A.; Stening, G. Synthesis of esters of phosphonoformic acid and their antiherpes activity. J. Med. Chem. 1983, 26, 264–270. [Google Scholar] [CrossRef] [PubMed]
- Timko, L.; Pisárčik, M.; Mrva, M.; Garajová, M.; Juhásová, A.; Mojžiš, J.; Mojžišová, G.; Bukovský, M.; Devínsky, F.; Lukáč, M. Synthesis, physicochemical properties and biological activities of novel alkylphosphonocholines with foscarnet moiety. Bioorg. Chem. 2020, 104, 104224. [Google Scholar] [CrossRef] [PubMed]
- Li, C.; Zemlicka, J. Synthesis of “reversed” methylenecyclopropane analogues of antiviral phosphonates. Nucleosides Nucleotides Nucleic Acids 2007, 26, 111–120. [Google Scholar] [CrossRef] [PubMed]
- Sujatha, B.; Subramanyam, C.; Rao, K.P. Microwave mediated Michaelis–Arbuzov reaction to synthesize bioactive phenylphosphonate derivatives under solvent free condition. Asian J. Org. Med. Chem. 2019, 4, 1–6. [Google Scholar] [CrossRef]
- Piantadosi, C.; Marasco, C.J.; Morris-Natschke, S.L., Jr.; Meyer, K.L.; Gumus, F.; Surles, J.R.; Ishaq, K.S. Synthesis and evaluation of novel ether lipid nucleoside conjugates for anti-HIV-1 activity. J. Med. Chem. 1991, 34, 1408–1414. [Google Scholar] [CrossRef]
- Sauer, R.; Froimowicz, P.; Schöller, K.; Cramer, J.M.; Ritz, S.; Mailander, V.; Landfester, K. Design, synthesis and miniemulsion polymerization of new phosphonate surfmers and application studies of the resulting nanoparticles as model systems for biomimetic mineralization and cellular uptake. Chem. Eur. J. 2012, 18, 5201–5212. [Google Scholar] [CrossRef]
- Garofalo, A.; Parat, A.; Bordeianu, C.; Ghobril, C.; Kueny-Stotz, M.; Walter, A.; Jouhannaud, J.; Begin-Colin, S.; Felder-Flesch, D. Efficient synthesis of small-sized phosphonated dendrons: Potential organic coating of irons oxide nanoparticles. New J. Chem. 2014, 38, 5226. [Google Scholar] [CrossRef] [Green Version]
- Belabassi, Y.; Chao, C.K.; Holly, R.; George, K.M.; Nagy, J.O.; Thompson, C.M. Preparation and characterization of diethoxy- and monoethoxyphosphylated ‘aged’ serine haptens and use in the production of monoclonal antibodies. Chem. Biol. Interact. 2014, 223, 134–140. [Google Scholar] [CrossRef] [Green Version]
- Onder, S.; Dafferner, A.J.; Schopfer, L.M.; Xiao, G.; Yerramalla, U.; Tacal, O.; Blake, T.A.; Johnson, R.C.; Lockridge, O. Monoclonal antibody that recognizes diethoxyphosphotyrosine-modified proteins and peptides independent of surrounding amino acids. Chem. Res. Toxicol. 2017, 30, 2218–2228. [Google Scholar] [CrossRef]
- Lv, Q.; Yu, H.L.; Yang, Y.; Meng, F.H.; Dai, X.D.; Jiang, P.Y.; Liu, C.C. Screening of monoclonal antibodies against specific phosphonylation sites and analysis of serum samples exposed to soman and VX using an indirect competitive enzyme-linked immunosorbent assay. Anal. Bioanal. Chem. 2022, 414, 2713–2724. [Google Scholar] [CrossRef]
- Peyrottes, S.; Gallier, F.; Papillaud, A.; Béjaud, J.; Périgaud, C. Improvement of the synthesis of sugar phosphonates using microwave irradiations. Nucleosides Nucleotides Nucleic Acids 2007, 26, 1513–1515. [Google Scholar] [CrossRef]
- Taylor, S.D.; Mirzaei, F.; Bearne, S.L. An unsymmetrical approach to the synthesis of bismethylene triphosphate analogues. Org. Lett. 2006, 8, 4243–4246. [Google Scholar] [CrossRef]
- Hensley, K.; Venkova, K.; Christov, A. Emerging biological importance of central nervous system lanthionines. Molecules 2010, 15, 5581–5594. [Google Scholar] [CrossRef] [Green Version]
- Hensley, K.; Gibbata, S.P.; Venkova, K.; Hristov, A.; Johnson, M.F.; Eslami, P.; Harris-White, M.E. A derivative of the brain metabolite lanthionine ketimine improves cognition and diminishes pathology in the 3xTg-AD mouse model of Alzheimer Disease. J. Neuropathol. Exp. Neurol. 2013, 72, 955–969. [Google Scholar] [CrossRef] [Green Version]
- Shen, D.; Hensley, K.; Denton, T.T. Multiple-step, one-pot synthesis of 2-substituted-3-phosphono-1-thia-4-aza-cyclohexene-5-carboxylates and their corresponding ethyl esters. Bioorg. Med. Chem. Lett. 2018, 28, 562–565. [Google Scholar] [CrossRef]
- Gibadullina, E.; Nguyen, T.T.; Strelnik, A.; Sapunova, A.; Voloshina, A.; Sudakov, I.; Vyshtakalyuk, A.; Voronina, J.; Pudovic, M.; Burilov, A. A new 2,6-diaminopyridines containing a sterically hindered benzylphosphonate moiety in the aromatic core as potential antioxidant and anti-cancer drugs. Eur. J. Med. Chem. 2019, 184, 111735. [Google Scholar] [CrossRef]
- Xu, S.; Xie, J.; Liu, Y.; Xu, W.; Tang, K.W.; Xiong, B.; Wong, W.Y. Silver-catalyzed regioselective phosphorylation of para-quinone methides with PIII-nucleophiles. J. Org. Chem. 2021, 86, 14983–15003. [Google Scholar] [CrossRef]
- Cavalcante, S.F.A.; de Paula, R.L.; Kitagawa, D.A.S.; Barcellos, M.C.; Simas, A.B.C.; Granjeiro, J.M. Synthesis of reference compounds related to chemical weapons convention for verification and drug development purposes—A Brazilian endeavour. J. Phys. Conf. Ser. 2018, 975, 012020. [Google Scholar] [CrossRef]
- Norlin, R.; Lindberg, G. Synthesis of [14C] sarin. J. Label Compd. Radiopharm. 2003, 46, 599–604. [Google Scholar] [CrossRef]
- Hafner, L.S.; Fellman, J.D.; Briney, G.C. Cyclohexyl alkylphosphonofluoridates. J. Med. Chem. 1970, 13, 1025. [Google Scholar] [CrossRef] [PubMed]
- Liu, Y.; Patricelli, M.P.; Cravatt, B.F. Activity-based protein profiling: The serine hydrolases. Proc. Natl. Acad. Sci. USA 1999, 96, 14694–14699. [Google Scholar] [CrossRef] [Green Version]
- Pampalakis, G.; Zinkou, E.; Vekrellis, K.; Sotiropoulou, G. “Activography”: A novel, versatile and easily adaptable method for monitoring enzymatic activities in situ. Chem. Commun. 2017, 53, 3246–3248. [Google Scholar] [CrossRef] [PubMed]
- Zingkou, E.; Pampalakis, G.; Kiritsi, D.; Valari, M.; Jonca, N.; Sotiropoulou, G. Activography reveals aberrant proteolysis in desquamating diseases of differing backgrounds. Exp. Dermatol. 2019, 28, 86–89. [Google Scholar] [CrossRef] [PubMed] [Green Version]
- Gillet, L.C.; Namoto, K.; Ruchti, A.; Hoving, S.; Boesch, D.; Inverardi, B.; Mueller, D.; Coulot, M.; Schindler, P.; Schweigler, P.; et al. In-cell selectivity profiling of serine protease inhibitors by activity-based proteomics. Mol. Cell Proteom. 2008, 7, 1241–1253. [Google Scholar] [CrossRef] [Green Version]
- Wang, C.; Abegg, D.; Dwyer, B.G.; Adibekian, A. Discovery and evaluation of new activity-based probes for serine hydrolases. ChemBioChem 2019, 20, 2212–2216. [Google Scholar] [CrossRef]
- Seus, E.J.; Wilson, C.V. New synthesis of stilbene and heterocyclic stilbene analogs. J. Org. Chem. 1961, 26, 5243. [Google Scholar] [CrossRef]
- Watt, D.; Liu, C.; Sviripa, V.M.; Zhang, W. Stilbene Analogs and Methods of Treating Cancer. U.S. Patent 9,132,102, 15 September 2015. [Google Scholar]
- Surmatis, J.D.; Thommen, R. The synthesis of trans-β-carotene from retinyl phosphonate by the Michaelis–Arbuzov reaction. J. Org. Chem. 1968, 34, 559–560. [Google Scholar] [CrossRef]
- McNulty, J.; Keskar, K.; Bordón, C.; Yolken, R.; Jones-Brando, L. Total synthesis of the cyanobacterial metabolite nostodione A: Discovery of its antiparasitic activity against Toxoplasma gondii. Chem. Commun. 2014, 50, 8904–8907. [Google Scholar] [CrossRef]
- Romanenko, V.D.; Kukhar, V.P. Fluorinated phosphonates: Synthesis and biomedical application. Chem. Rev. 2006, 106, 3868–3935. [Google Scholar] [CrossRef]
- Wendels, S.; Chavez, T.; Bonnet, M.; Salmeia, K.A.; Gaan, S. Recent developments in organophosphorus flame retardants containing P-C bond and their applications. Materials 2017, 10, 784. [Google Scholar] [CrossRef] [Green Version]
- Kraszewski, A.; Sobkowski, M.; Stawinksi, J. H-Phosphonate chemistry in the synthesis of electrically neutral and charged antiviral and anticancer pronucleotides. Front. Chem. 2020, 8, 595738. [Google Scholar] [CrossRef]











































































Publisher’s Note: MDPI stays neutral with regard to jurisdictional claims in published maps and institutional affiliations. |
© 2022 by the authors. Licensee MDPI, Basel, Switzerland. This article is an open access article distributed under the terms and conditions of the Creative Commons Attribution (CC BY) license (https://creativecommons.org/licenses/by/4.0/).
Share and Cite
Kostoudi, S.; Pampalakis, G. Improvements, Variations and Biomedical Applications of the Michaelis–Arbuzov Reaction. Int. J. Mol. Sci. 2022, 23, 3395. https://doi.org/10.3390/ijms23063395
Kostoudi S, Pampalakis G. Improvements, Variations and Biomedical Applications of the Michaelis–Arbuzov Reaction. International Journal of Molecular Sciences. 2022; 23(6):3395. https://doi.org/10.3390/ijms23063395
Chicago/Turabian StyleKostoudi, Stavroula, and Georgios Pampalakis. 2022. "Improvements, Variations and Biomedical Applications of the Michaelis–Arbuzov Reaction" International Journal of Molecular Sciences 23, no. 6: 3395. https://doi.org/10.3390/ijms23063395
APA StyleKostoudi, S., & Pampalakis, G. (2022). Improvements, Variations and Biomedical Applications of the Michaelis–Arbuzov Reaction. International Journal of Molecular Sciences, 23(6), 3395. https://doi.org/10.3390/ijms23063395

