Peptide Human Neutrophil Elastase Inhibitors from Natural Sources: An Overview
Abstract
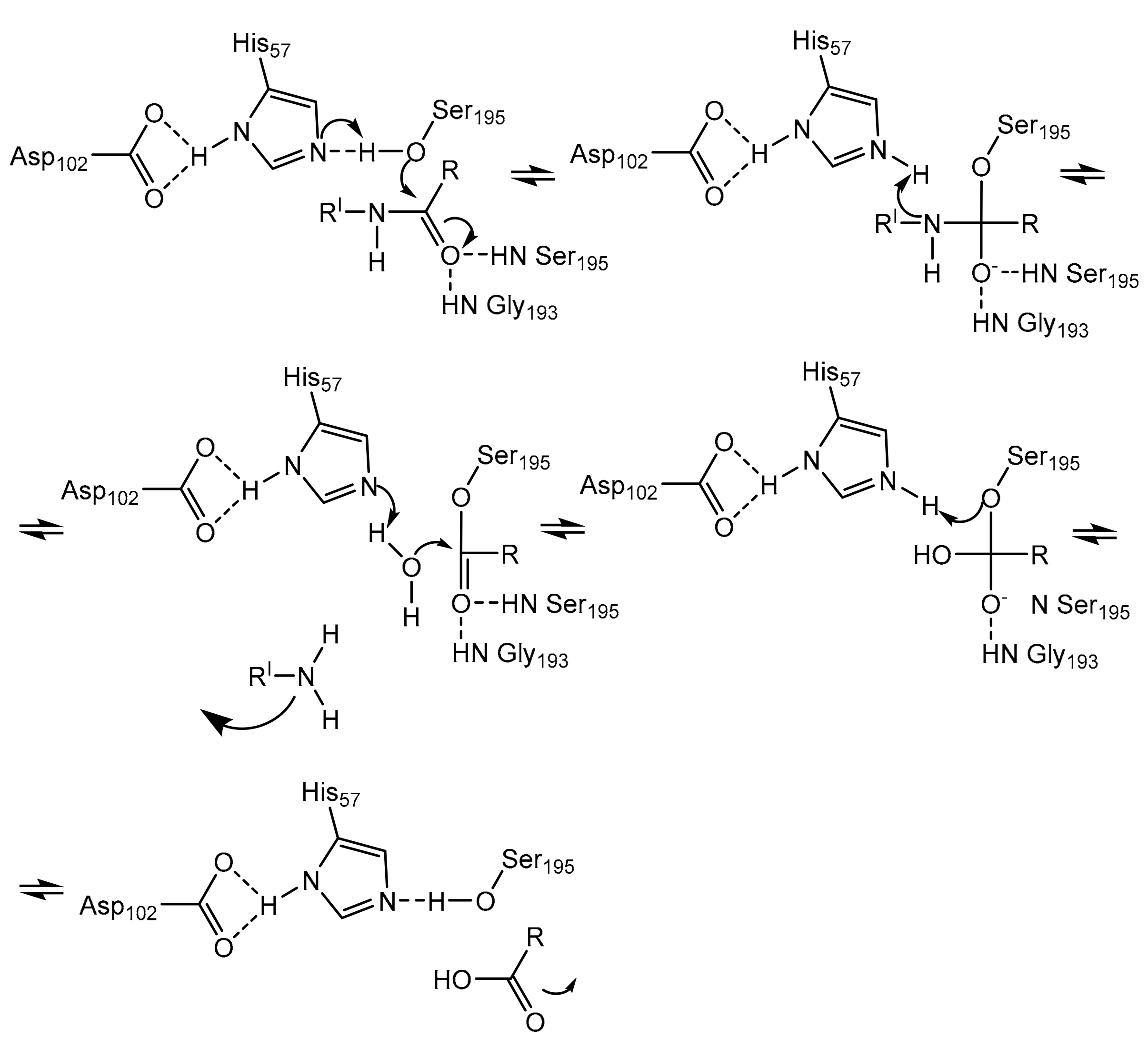
1. Introduction
2. Natural Peptide Elastase Inhibitors Isolated from Animal Sources
2.1. ShSPI from Scolopendra Hainanum
2.2. AvKTI from Araneus Ventricosus
2.3. Gaumerin from Hirudo Nipponia
3. Natural Peptide Elastase Inhibitors Isolated from Fungi
3.1. Desmethylisaridin C2, Isaridin E, Isaridin C2 and Roseocardin from Beauveria Felina
3.2. AFUEI from Aspergillus fumigatus
4. Cyclic Peptides Derived from Bacteria as Elastase Inhibitors
4.1. Lyngbyastatin 4 and Lyngbyastatin 7
4.2. Tutuilamides A–C
4.3. Loggerpeptins A–C and Molassamide
4.4. Symplostatins 5–10
4.5. Insulapeptolides A–H
4.6. Brunsvicamides A–C
4.7. FR901277
4.8. YM-47141 and YM-47142
5. Peptide Elastase Inhibitors Isolated from Plants
5.1. Ixorapeptide I and II from Ixora Coccinea
5.2. Roseltide rT1 from Hibiscus sabdariffa
6. Cyclic Peptides from Marine Sponges
7. Conclusions
Author Contributions
Funding
Informed Consent Statement
Data Availability Statement
Conflicts of Interest
References
- Vrhovski, B.; Weiss, A.S. Biochemistry of Tropoelastin. Eur. J. Biochem. 1998, 258, 1–18. [Google Scholar] [CrossRef] [PubMed]
- Ross, R.; Bornstein, P. The Elastic Fiber I. The Separation and Partial Characterization of Its Macromolecular Components. J. Cell Biol. 1969, 40, 366–381. [Google Scholar] [CrossRef] [PubMed]
- Thomson, J.; Singh, M.; Eckersley, A.; Cain, S.A.; Sherratt, M.J.; Baldock, C. Fibrillin Microfibrils and Elastic Fibre Proteins: Functional Interactions and Extracellular Regulation of Growth Factors. Semin. Cell Dev. Biol. 2019, 89, 109–117. [Google Scholar] [CrossRef] [PubMed]
- Ozsvar, J.; Yang, C.; Cain, S.A.; Baldock, C.; Tarakanova, A.; Weiss, A.S. Tropoelastin and Elastin Assembly. Front. Bioeng. Biotechnol. 2021, 9, 643110. [Google Scholar] [CrossRef]
- Uitto, J. Biochemistry of the Elastic Fibers in Normal Connective Tissues and Its Alterations in Diseases. J. Investig. Dermatol. 1979, 72, 1–10. [Google Scholar] [CrossRef]
- Capurso, G.; Traini, M.; Piciucchi, M.; Signoretti, M.; Arcidiacono, P.G. Exocrine Pancreatic Insufficiency: Prevalence, Diagnosis, and Management. Clin. Exp. Gastroenterol. 2019, 12, 129–139. [Google Scholar] [CrossRef]
- Tóth, A.Z.; Szabó, A.; Hegyi, E.; Hegyi, P.; Sahin-Tóth, M. Detection of Human Elastase Isoforms by the ScheBo Pancreatic Elastase 1 Test. Am. J. Physiol.-Gastrointest. Liver Physiol. 2017, 312, G606–G614. [Google Scholar] [CrossRef]
- Taylor, S.; Dirir, O.; Zamanian, R.T.; Rabinovitch, M.; Thompson, A.A.R. The Role of Neutrophils and Neutrophil Elastase in Pulmonary Arterial Hypertension. Front. Med. 2018, 5, 217. [Google Scholar] [CrossRef]
- Donarska, B.; Łączkowski, K.Z. Recent Advances in the Development of Elastase Inhibitors. Future Med. Chem. 2020, 12, 1809–1813. [Google Scholar] [CrossRef]
- Crocetti, L.; Quinn, M.T.; Schepetkin, I.A.; Giovannoni, M.P. A Patenting Perspective on Human Neutrophil Elastase (HNE) Inhibitors (2014–2018) and Their Therapeutic Applications. Expert Opin. Ther. Pat. 2019, 29, 555–578. [Google Scholar] [CrossRef]
- Hajjar, E.; Broemstrup, T.; Kantari, C.; Witko-Sarsat, V.; Reuter, N. Structures of Human Proteinase 3 and Neutrophil Elastase—So Similar yet so Different. FEBS J. 2010, 277, 2238–2254. [Google Scholar] [CrossRef]
- Luan, N.; Zhao, Q.; Duan, Z.; Ji, M.; Xing, M.; Zhu, T.; Mwangi, J.; Rong, M.; Liu, J.; Lai, R. Identification and Characterization of ShSPI, a Kazal-Type Elastase Inhibitor from the Venom of Scolopendra Hainanum. Toxins 2019, 11, 708. [Google Scholar] [CrossRef]
- Rosenbloom, J.; Macarak, E.; Piera-Velazquez, S.; Jimenez, S.A. Human Fibrotic Diseases: Current Challenges in Fibrosis Research. In Fibrosis; Rittié, L., Ed.; Methods in Molecular Biology; Springer: New York, NY, USA, 2017; Volume 1627, pp. 1–23. ISBN 978-1-4939-7112-1. [Google Scholar]
- Mohamed, M.M.A.; El-Shimy, I.A.; Hadi, M.A. Neutrophil Elastase Inhibitors: A Potential Prophylactic Treatment Option for SARS-CoV-2-Induced Respiratory Complications? Crit. Care 2020, 24, 311. [Google Scholar] [CrossRef]
- Hansen, G.; Gielen-Haertwig, H.; Reinemer, P.; Schomburg, D.; Harrenga, A.; Niefind, K. Unexpected Active-Site Flexibility in the Structure of Human Neutrophil Elastase in Complex with a New Dihydropyrimidone Inhibitor. J. Mol. Biol. 2011, 409, 681–691. [Google Scholar] [CrossRef]
- The PyMOL Molecular Graphics System; Version 2.5.2; Schrödinger, LLC: Chiyoda, Tokyo, 2013.
- Aikawa, N.; Kawasaki, Y. Clinical Utility of the Neutrophil Elastase Inhibitor Sivelestat for the Treatment of Acute Respiratory Distress Syndrome. Ther. Clin. Risk Manag. 2014, 10, 621–629. [Google Scholar] [CrossRef]
- Sahebnasagh, A.; Saghafi, F.; Safdari, M.; Khataminia, M.; Sadremomtaz, A.; Talaei, Z.; RezaiGhaleno, H.; Bagheri, M.; Habtemariam, S.; Avan, R. Neutrophil Elastase Inhibitor (Sivelestat) May Be a Promising Therapeutic Option for Management of Acute Lung Injury/Acute Respiratory Distress Syndrome or Disseminated Intravascular Coagulation in COVID-19. J. Clin. Pharm. Ther. 2020, 45, 1515–1519. [Google Scholar] [CrossRef]
- Wan, H.; Lee, K.S.; Kim, B.Y.; Zou, F.M.; Yoon, H.J.; Je, Y.H.; Li, J.; Jin, B.R. A Spider-Derived Kunitz-Type Serine Protease Inhibitor That Acts as a Plasmin Inhibitor and an Elastase Inhibitor. PLoS ONE 2013, 8, e53343. [Google Scholar] [CrossRef]
- Mishra, M. Evolutionary Aspects of the Structural Convergence and Functional Diversification of Kunitz-Domain Inhibitors. J. Mol. Evol. 2020, 88, 537–548. [Google Scholar] [CrossRef]
- Jung, H.I.; Kim, S.I.; Ha, K.-S.; Joe, C.O.; Kang, K.W. Isolation and Characterization of Guamerin, a New Human Leukocyte Elastase Inhibitor from Hirudo Nipponia. J. Biol. Chem. 1995, 270, 13879–13884. [Google Scholar] [CrossRef]
- Chung, Y.-M.; El-Shazly, M.; Chuang, D.-W.; Hwang, T.-L.; Asai, T.; Oshima, Y.; Ashour, M.L.; Wu, Y.-C.; Chang, F.-R. Suberoylanilide Hydroxamic Acid, a Histone Deacetylase Inhibitor, Induces the Production of Anti-Inflammatory Cyclodepsipeptides from Beauveria Felina. J. Nat. Prod. 2013, 76, 1260–1266. [Google Scholar] [CrossRef]
- Ahmad, S.; Saleem, M.; Riaz, N.; Lee, Y.S.; Diri, R.; Noor, A.; Almasri, D.; Bagalagel, A.; Elsebai, M.F. The Natural Polypeptides as Significant Elastase Inhibitors. Front. Pharmacol. 2020, 11, 688. [Google Scholar] [CrossRef]
- Okumura, Y.; Matsui, T.; Ogawa, K.; Uchiya, K.; Nikai, T. Biochemical Properties and Primary Structure of Elastase Inhibitor AFUEI from Aspergillus Fumigatus. J. Med. Microbiol. 2008, 57, 803–808. [Google Scholar] [CrossRef][Green Version]
- Fukui, Y.; Okumura, Y.; Uchiya, K.; Komori, Y.; Ogawa, K.; Nikai, T.; Hasegawa, Y. Biochemical and Cellular Activity of Chemically Synthesized Elastase Inhibitor (S-AFUEI) from Aspergillus Fumigatus. J. Mycol. Médicale 2019, 29, 345–351. [Google Scholar] [CrossRef]
- Mehner, C.; Müller, D.; Kehraus, S.; Hautmann, S.; Gütschow, M.; König, G.M. New Peptolides from the Cyanobacterium Nostoc Insulare as Selective and Potent Inhibitors of Human Leukocyte Elastase. ChemBioChem 2008, 9, 2692–2703. [Google Scholar] [CrossRef]
- Sisay, M.T.; Hautmann, S.; Mehner, C.; König, G.M.; Bajorath, J.; Gütschow, M. Inhibition of Human Leukocyte Elastase by Brunsvicamides A–C: Cyanobacterial Cyclic Peptides. ChemMedChem 2009, 4, 1425–1429. [Google Scholar] [CrossRef]
- Keller, L.; Canuto, K.M.; Liu, C.; Suzuki, B.M.; Almaliti, J.; Sikandar, A.; Naman, C.B.; Glukhov, E.; Luo, D.; Duggan, B.M.; et al. Tutuilamides A–C: Vinyl-Chloride Containing Cyclodepsipeptides from the Marine Cyanobacteria Schizothrix Sp. and Coleofasciculus Sp. with Potent Elastase Inhibitory Properties. ACS Chem. Biol. 2020, 15, 751–757. [Google Scholar] [CrossRef]
- Salvador, L.A.; Taori, K.; Biggs, J.S.; Jakoncic, J.; Ostrov, D.A.; Paul, V.J.; Luesch, H. Potent Elastase Inhibitors from Cyanobacteria: Structural Basis and Mechanisms Mediating Cytoprotective and Anti-Inflammatory Effects in Bronchial Epithelial Cells. J. Med. Chem. 2013, 56, 1276–1290. [Google Scholar] [CrossRef]
- Matthew, S.; Ross, C.; Rocca, J.R.; Paul, V.J.; Luesch, H. Lyngbyastatin 4, a Dolastatin 13 Analogue with Elastase and Chymotrypsin Inhibitory Activity from the Marine Cyanobacterium Lyngbya Confervoides. J. Nat. Prod. 2007, 70, 124–127. [Google Scholar] [CrossRef]
- Taori, K.; Matthew, S.; Rocca, J.R.; Paul, V.J.; Luesch, H. Lyngbyastatins 5–7, Potent Elastase Inhibitors from Floridian Marine Cyanobacteria, Lyngbya spp. J. Nat. Prod. 2007, 70, 1593–1600. [Google Scholar] [CrossRef]
- Luo, D.; Chen, Q.-Y.; Luesch, H. Total Synthesis of the Potent Marine-Derived Elastase Inhibitor Lyngbyastatin 7 and in Vitro Biological Evaluation in Model Systems for Pulmonary Diseases. J. Org. Chem. 2016, 81, 532–544. [Google Scholar] [CrossRef]
- Luo, D.; Luesch, H. Ahp-Cyclodepsipeptide Inhibitors of Elastase: Lyngbyastatin 7 Stability, Scalable Synthesis, and Focused Library Analysis. ACS Med. Chem. Lett. 2020, 11, 419–425. [Google Scholar] [CrossRef] [PubMed]
- Chen, Q.-Y.; Luo, D.; Seabra, G.M.; Luesch, H. Ahp-Cyclodepsipeptides as Tunable Inhibitors of Human Neutrophil Elastase and Kallikrein 7: Total Synthesis of Tutuilamide A, Serine Protease Selectivity Profile and Comparison with Lyngbyastatin 7. Bioorg. Med. Chem. 2020, 28, 115756. [Google Scholar] [CrossRef] [PubMed]
- Al-Awadhi, F.H.; Paul, V.J.; Luesch, H. Structural Diversity and Anticancer Activity of Marine-Derived Elastase Inhibitors: Key Features and Mechanisms Mediating the Antimetastatic Effects in Invasive Breast Cancer. ChemBioChem 2018, 19, 815–825. [Google Scholar] [CrossRef] [PubMed]
- Gunasekera, S.P.; Miller, M.W.; Kwan, J.C.; Luesch, H.; Paul, V.J. Molassamide, a Depsipeptide Serine Protease Inhibitor from the Marine Cyanobacterium Dichothrix Utahensis. J. Nat. Prod. 2010, 73, 459–462. [Google Scholar] [CrossRef]
- Müller, D.; Krick, A.; Kehraus, S.; Mehner, C.; Hart, M.; Küpper, F.C.; Saxena, K.; Prinz, H.; Schwalbe, H.; Janning, P.; et al. Brunsvicamides A−C: Sponge-Related Cyanobacterial Peptides with Mycobacterium Tuberculosis Protein Tyrosine Phosphatase Inhibitory Activity. J. Med. Chem. 2006, 49, 4871–4878. [Google Scholar] [CrossRef]
- Fujie, K.; Shinguh, Y.; Hatanaka, H.; Shigematsu, N.; Murai, H.; Fujita, T.; Yamashita, M.; Okamoto, M.; Okuhara, M. FR901277 A novel inhibitor of human leukocyte elastase from Streptomyces Resistomycificus Producing Organism, Fermentation, Isolation, Physico-Chemical and Biological Properties. J. Antibiot. 1993, 46, 908–913. [Google Scholar] [CrossRef]
- Nakanishi, I.; Kinoshita, T.; Sato, A.; Tada, T. Structure of Porcine Pancreatic Elastase Complexed with FR901277, a Novel Macrocyclic Inhibitor of Elastases, at 1.6 Å Resolution. Biopolymers 2000, 53, 434–445. [Google Scholar] [CrossRef]
- Yasumuro, K.; Suzuki, Y.; Shibazaki, M.; Teramura, K.; Abe, K. YM-47141 and YM-47142, New Elastase Inhibitors Produced by Flexibacter Sp. Q17897 I. Taxonomy, Fermentation, Isolation, Physico-Chemical Properties and Biological Activities. J. Antibiot. 1995, 48, 1425–1429. [Google Scholar] [CrossRef][Green Version]
- Lee, C.-L.; Liao, Y.-C.; Hwang, T.-L.; Wu, C.-C.; Chang, F.-R.; Wu, Y.-C. Ixorapeptide I and Ixorapeptide II, Bioactive Peptides Isolated from Ixora Coccinea. Bioorg. Med. Chem. Lett. 2010, 20, 7354–7357. [Google Scholar] [CrossRef]
- Loo, S.; Kam, A.; Xiao, T.; Nguyen, G.K.T.; Liu, C.F.; Tam, J.P. Identification and Characterization of Roseltide, a Knottin-Type Neutrophil Elastase Inhibitor Derived from Hibiscus Sabdariffa. Sci. Rep. 2016, 6, 39401. [Google Scholar] [CrossRef]
- Kam, A.; Loo, S.; Dutta, B.; Sze, S.K.; Tam, J.P. Plant-Derived Mitochondria-Targeting Cysteine-Rich Peptide Modulates Cellular Bioenergetics. J. Biol. Chem. 2019, 294, 4000–4011. [Google Scholar] [CrossRef]
- Molinski, T.F. Cyclic Azole-Homologated Peptides from Marine Sponges. Org. Biomol. Chem. 2018, 16, 21–29. [Google Scholar] [CrossRef]
- Issac, M.; Aknin, M.; Gauvin-Bialecki, A.; De Voogd, N.; Ledoux, A.; Frederich, M.; Kashman, Y.; Carmeli, S. Cyclotheonellazoles A–C, Potent Protease Inhibitors from the Marine Sponge Theonella aff. Swinhoei. J. Nat. Prod. 2017, 80, 1110–1116. [Google Scholar] [CrossRef]
- Cui, Y.; Zhang, M.; Xu, H.; Zhang, T.; Zhang, S.; Zhao, X.; Jiang, P.; Li, J.; Ye, B.; Sun, Y.; et al. Elastase Inhibitor Cyclotheonellazole A: Total Synthesis and In Vivo Biological Evaluation for Acute Lung Injury. J. Med. Chem. 2022, 65, 2971–2987. [Google Scholar] [CrossRef]
- Mollica, A.; Locatelli, M.; Stefanucci, A.; Pinnen, F. Synthesis and Bioactivity of Secondary Metabolites from Marine Sponges Containing Dibrominated Indolic Systems. Molecules 2012, 17, 6083–6099. [Google Scholar] [CrossRef]
- Mollica, A.; Stefanucci, A.; Feliciani, F.; Lucente, G.; Pinnen, F. Synthesis of (S)-5,6-dibromo-tryptophan derivatives as building blocks for peptide chemistry. Tetrahedron Lett. 2011, 52, 2583–2585. [Google Scholar] [CrossRef]
- Zorzi, A.; Deyle, K.; Heinis, C. Cyclic Peptide Therapeutics: Past, Present and Future. Curr. Opin. Chem. Biol. 2017, 38, 24–29. [Google Scholar] [CrossRef]















| Compounds | IC50 (μM) |
|---|---|
| Desmethylisaridin C2 | 10.01 ± 0.46 |
| Isaridin E | 12.76 ± 1.00 |
| Isaridin C2 | 12.12 ± 0.72 |
| Roseocardin | 15.09 ± 0.28 |
| Compounds | IC50 (μM) |
|---|---|
| Insulapeptolide A | 0.14 ± 0.01 |
| Insulapeptolide B | 0.10 ± 0.01 |
| Insulapeptolide C | 0.090 ± 0.001 |
| Insulapeptolide D | 0.085 ± 0.004 |
| Insulapeptolide E | 3.2 ± 0.2 |
| Insulapeptolide F | 1.6 ± 0.1 |
| Insulapeptolide G | 3.5 ± 0.1 |
| Insulapeptolide H | 2.7 ± 0.1 |
Publisher’s Note: MDPI stays neutral with regard to jurisdictional claims in published maps and institutional affiliations. |
© 2022 by the authors. Licensee MDPI, Basel, Switzerland. This article is an open access article distributed under the terms and conditions of the Creative Commons Attribution (CC BY) license (https://creativecommons.org/licenses/by/4.0/).
Share and Cite
Marinaccio, L.; Stefanucci, A.; Scioli, G.; Della Valle, A.; Zengin, G.; Cichelli, A.; Mollica, A. Peptide Human Neutrophil Elastase Inhibitors from Natural Sources: An Overview. Int. J. Mol. Sci. 2022, 23, 2924. https://doi.org/10.3390/ijms23062924
Marinaccio L, Stefanucci A, Scioli G, Della Valle A, Zengin G, Cichelli A, Mollica A. Peptide Human Neutrophil Elastase Inhibitors from Natural Sources: An Overview. International Journal of Molecular Sciences. 2022; 23(6):2924. https://doi.org/10.3390/ijms23062924
Chicago/Turabian StyleMarinaccio, Lorenza, Azzurra Stefanucci, Giuseppe Scioli, Alice Della Valle, Gokhan Zengin, Angelo Cichelli, and Adriano Mollica. 2022. "Peptide Human Neutrophil Elastase Inhibitors from Natural Sources: An Overview" International Journal of Molecular Sciences 23, no. 6: 2924. https://doi.org/10.3390/ijms23062924
APA StyleMarinaccio, L., Stefanucci, A., Scioli, G., Della Valle, A., Zengin, G., Cichelli, A., & Mollica, A. (2022). Peptide Human Neutrophil Elastase Inhibitors from Natural Sources: An Overview. International Journal of Molecular Sciences, 23(6), 2924. https://doi.org/10.3390/ijms23062924

