Structure, Oligomerization and Activity Modulation in N-Ribohydrolases
Abstract
1. Introduction
2. Review
2.1. Enzymatic N-Glycosidic Bond Cleavage in Biological Systems
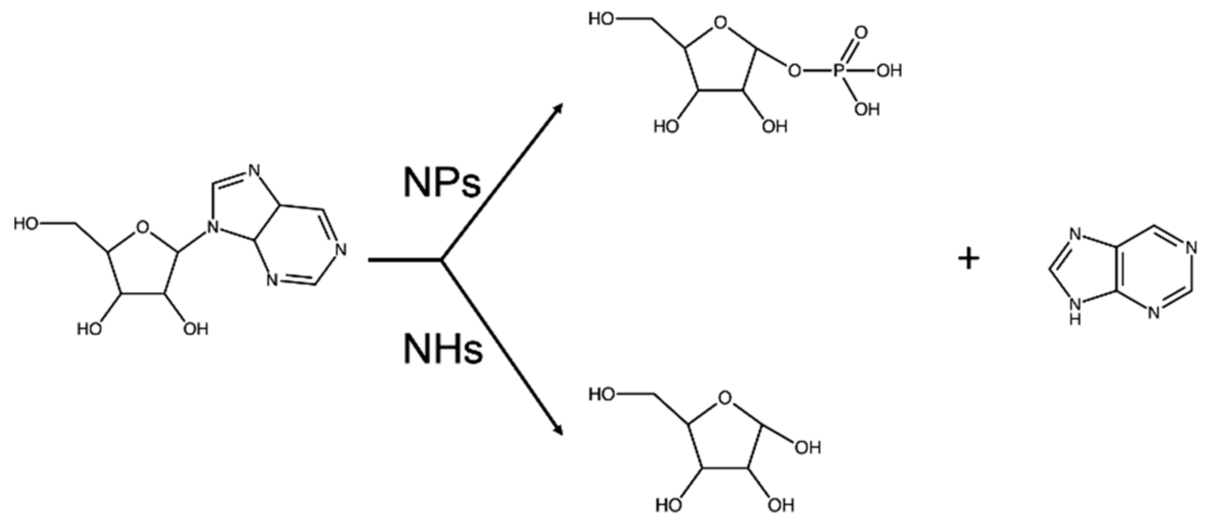
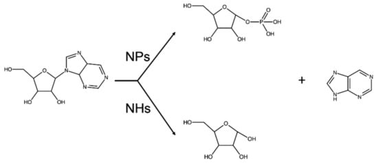
2.1.1. N-Glycosidic Bond Phosphorolysis
2.1.2. N-Glycosidic Bond Hydrolysis
2.2. Biological Functions of Nucleoside/Riboside Hydrolases (NHs)
2.2.1. NHs from Protozoa
2.2.2. Bacterial and Archaeal NHs
2.2.3. NHs in Plants
2.2.4. NHs in Other Eukaryotes
2.3. NH Tertiary Structure
2.3.1. NH Structural Group I
2.3.2. NH Structural Group II
2.3.3. NH Structural Group III
2.3.4. NH Fold in Catalytically-Inactive Proteins
2.3.5. “Non-Standard” NH Enzymes
2.4. NH Quaternary Structure
2.4.1. NH Structural Group I: From Monomers to Tetramers in Dynamic Equilibrium?
2.4.2. Group II NHs: Stable Dimers with Inter-Subunit Cooperativity
2.4.3. Monomeric Inactive NH-Like Proteins
2.4.4. Beyond Quaternary Structure: Protein-Protein Interactions Involving NHs
2.5. NH Structures and Drug Design
2.5.1. Antiprotozoan Compounds Targeting Purine-Specific NHs
2.5.2. NHs in Antiprotozoan Vaccination Strategy
2.5.3. NHs in Gene-Directed Enzyme-Prodrug Activation Therapy
3. Conclusions
Supplementary Materials
Funding
Conflicts of Interest
References
- Bieganowski, P.; Brenner, C. Discoveries of Nicotinamide Riboside as a Nutrient and Conserved NRK Genes Establish a Preiss-Handler Independent Route to NAD+ in Fungi and Humans. Cell 2004, 117, 495–502. [Google Scholar] [CrossRef]
- Trammell, S.A.; Yu, L.; Redpath, P.; Migaud, M.E.; Brenner, C. Nicotinamide Riboside Is a Major NAD+ Precursor Vitamin in Cow Milk. J. Nutr. 2016, 146, 957–963. [Google Scholar] [CrossRef] [PubMed]
- Belenky, P.; Christensen, K.C.; Gazzaniga, F.; Pletnev, A.A.; Brenner, C. Nicotinamide Riboside and Nicotinic Acid Riboside Salvage in Fungi and Mammals. J. Biol. Chem. 2009, 284, 158–164. [Google Scholar] [CrossRef]
- McCown, P.J.; Ruszkowska, A.; Kunkler, C.N.; Breger, K.; Hulewicz, J.P.; Wang, M.C.; Springer, N.A.; Brown, J.A. Naturally occurring modified ribonucleosides. WIREs RNA 2020, 11, e1595. [Google Scholar] [CrossRef] [PubMed]
- Kieber, J.J.; Schaller, G.E. Cytokinins. Arab. Book Am. Soc. Plant Biol. 2014, 12, e0168. [Google Scholar] [CrossRef]
- Parveen, N.; Cornell, K.A. Methylthioadenosine/S-adenosylhomocysteine nucleosidase, a critical enzyme for bacterial metabolism: Involvement of MTA/SAH nucleosidase in bacterial metabolism. Mol. Microbiol. 2011, 79, 7–20. [Google Scholar] [CrossRef]
- Boswell-Casteel, R.C.; Hays, F.A. Equilibrative nucleoside transporters-A review. Nucleosides Nucleotides Nucleic Acids 2017, 36, 7–30. [Google Scholar] [CrossRef]
- De Koning, H.P.; Watson, C.J.; Sutcliffe, L.; Jarvis, S.M. Differential regulation of nucleoside and nucleobase transporters in Crithidia fasciculata and Trypanosoma brucei brucei. Mol. Biochem. Parasitol. 2000, 106, 93–107. [Google Scholar] [CrossRef]
- Huang, Z.-L.; Zhang, Z.; Qu, W.-M. Roles of Adenosine and Its Receptors in Sleep–Wake Regulation. In International Review of Neurobiology; Elsevier: Amsterdam, The Netherlands, 2014; Volume 119, pp. 349–371. ISBN 978-0-12-801022-8. [Google Scholar]
- Nguyen, H.N.; Nguyen, T.Q.; Kisiala, A.B.; Emery, R.J.N. Beyond transport: Cytokinin ribosides are translocated and active in regulating the development and environmental responses of plants. Planta 2021, 254, 1–17. [Google Scholar] [CrossRef]
- Nyhan, W.L. Disorders of purine and pyrimidine metabolism. Mol. Genet. Metab. 2005, 86, 25–33. [Google Scholar] [CrossRef]
- Hammond, D.J.; Gutteridge, W.E. Purine and pyrimidine metabolism in the Trypanosomatidae. Mol. Biochem. Parasitol. 1984, 13, 243–261. [Google Scholar] [CrossRef]
- Heyworth, P.G.; Gutteridge, W.E.; Ginger, C.D. Pyrimidine metabolism in Trichomonas vaginalis. FEBS Lett. 1984, 176, 55–60. [Google Scholar] [CrossRef]
- Belenky, P.; Racette, F.G.; Bogan, K.L.; McClure, J.M.; Smith, J.S.; Brenner, C. Nicotinamide riboside promotes Sir2 silencing and extends lifespan via Nrk and Urh1/Pnp1/Meu1 pathways to NAD+. Cell 2007, 129, 473–484. [Google Scholar] [CrossRef] [PubMed]
- Pugmire, M.J.; Ealick, S.E. Structural analyses reveal two distinct families of nucleoside phosphorylases. Biochem. J. 2002, 361, 1–25. [Google Scholar] [CrossRef]
- Il’icheva, I.A.; Polyakov, K.M.; Mikhailov, S.N. Strained Conformations of Nucleosides in Active Sites of Nucleoside Phosphorylases. Biomolecules 2020, 10, 552. [Google Scholar] [CrossRef]
- Kline, P.C.; Schramm, V.L. Purine nucleoside phosphorylase. Inosine hydrolysis, tight binding of the hypoxanthine intermediate, and third-the-sites reactivity. Biochemistry 1992, 31, 5964–5973. [Google Scholar] [CrossRef]
- Renck, D.; Ducati, R.G.; Palma, M.S.; Santos, D.S.; Basso, L.A. The kinetic mechanism of human uridine phosphorylase 1: Towards the development of enzyme inhibitors for cancer chemotherapy. Arch. Biochem. Biophys. 2010, 497, 35–42. [Google Scholar] [CrossRef]
- Park, J.; Gupta, R.S. Adenosine kinase and ribokinase—The RK family of proteins. Cell. Mol. Life Sci. 2008, 65, 2875–2896. [Google Scholar] [CrossRef]
- Ogbunude, P.O.; Ikediobi, C.O.; Ukoha, A.I. Adenosine cycle in African trypanosomes. Ann. Trop. Med. Parasitol. 1985, 79, 7–11. [Google Scholar] [CrossRef]
- Carter, N.S.; Berger, B.J.; Fairlamb, A.H. Uptake of diamidine drugs by the P2 nucleoside transporter in melarsen-sensitive and -resistant Trypanosoma brucei brucei. J. Biol. Chem. 1995, 270, 28153–28157. [Google Scholar] [CrossRef]
- Estupiñán, B.; Schramm, V.L. Guanosine-inosine-preferring nucleoside N-glycohydrolase from Crithidia fasciculata. J. Biol. Chem. 1994, 269, 23068–23073. [Google Scholar] [CrossRef]
- Parkin, D.W. Purine-specific nucleoside N-ribohydrolase from Trypanosoma brucei brucei. Purification, specificity, and kinetic mechanism. J. Biol. Chem. 1996, 271, 21713–21719. [Google Scholar] [CrossRef] [PubMed][Green Version]
- Parkin, D.W.; Horenstein, B.A.; Abdulah, D.R.; Estupiñán, B.; Schramm, V.L. Nucleoside hydrolase from Crithidia fasciculata. Metabolic role, purification, specificity, and kinetic mechanism. J. Biol. Chem. 1991, 266, 20658–20665. [Google Scholar] [CrossRef]
- Schmidt, G.; Walter, R.D.; Königk, E. A purine nucleoside hydrolase from Trypanosoma gambiense, purification and properties. Tropenmed. Parasitol. 1975, 26, 19–26. [Google Scholar] [PubMed]
- Horenstein, B.A.; Parkin, D.W.; Estupiñán, B.; Schramm, V.L. Transition-state analysis of nucleoside hydrolase from Crithidia fasciculata. Biochemistry 1991, 30, 10788–10795. [Google Scholar] [CrossRef]
- Horenstein, B.A.; Schramm, V.L. Electronic nature of the transition state for nucleoside hydrolase. A blueprint for inhibitor design. Biochemistry 1993, 32, 7089–7097. [Google Scholar] [CrossRef]
- Gopaul, D.N.; Meyer, S.L.; Degano, M.; Sacchettini, J.C.; Schramm, V.L. Inosine-uridine nucleoside hydrolase from Crithidia fasciculata. Genetic characterization, crystallization, and identification of histidine 241 as a catalytic site residue. Biochemistry 1996, 35, 5963–5970. [Google Scholar] [CrossRef]
- Versées, W.; Decanniere, K.; Pellé, R.; Depoorter, J.; Brosens, E.; Parkin, D.W.; Steyaert, J. Structure and function of a novel purine specific nucleoside hydrolase from Trypanosoma vivax. J. Mol. Biol. 2001, 307, 1363–1379. [Google Scholar] [CrossRef]
- Versées, W.; Loverix, S.; Vandemeulebroucke, A.; Geerlings, P.; Steyaert, J. Leaving group activation by aromatic stacking: An alternative to general acid catalysis. J. Mol. Biol. 2004, 338, 1–6. [Google Scholar] [CrossRef]
- Giannese, F.; Berg, M.; Van der Veken, P.; Castagna, V.; Tornaghi, P.; Augustyns, K.; Degano, M. Structures of purine nucleosidase from Trypanosoma brucei bound to isozyme-specific trypanocidals and a novel metalorganic inhibitor. Acta Crystallogr. D Biol. Crystallogr. 2013, 69, 1553–1566. [Google Scholar] [CrossRef]
- Degano, M.; Gopaul, D.N.; Scapin, G.; Schramm, V.L.; Sacchettini, J.C. Three-dimensional structure of the inosine-uridine nucleoside N-ribohydrolase from Crithidia fasciculata. Biochemistry 1996, 35, 5971–5981. [Google Scholar] [CrossRef] [PubMed]
- Giabbai, B.; Degano, M. Crystal structure to 1.7 Å of the Escherichia coli pyrimidine nucleoside hydrolase YeiK, a novel candidate for cancer gene therapy. Struct. Lond. Engl. 1993 2004, 12, 739–749. [Google Scholar] [CrossRef] [PubMed]
- Muzzolini, L.; Versées, W.; Tornaghi, P.; Van Holsbeke, E.; Steyaert, J.; Degano, M. New insights into the mechanism of nucleoside hydrolases from the crystal structure of the Escherichia coli YbeK protein bound to the reaction product. Biochemistry 2006, 45, 773–782. [Google Scholar] [CrossRef]
- Arivett, B.; Farone, M.; Masiragani, R.; Burden, A.; Judge, S.; Osinloye, A.; Minici, C.; Degano, M.; Robinson, M.; Kline, P. Characterization of inosine-uridine nucleoside hydrolase (RihC) from Escherichia coli. Biochim. Biophys. Acta 2014, 1844, 656–662. [Google Scholar] [CrossRef]
- Petersen, C.; Møller, L.B. The RihA, RihB, and RihC ribonucleoside hydrolases of Escherichia coli. Substrate specificity, gene expression, and regulation. J. Biol. Chem. 2001, 276, 884–894. [Google Scholar] [CrossRef] [PubMed]
- Todd, S.J.; Moir, A.J.G.; Johnson, M.J.; Moir, A. Genes of Bacillus cereus and Bacillus anthracis encoding proteins of the exosporium. J. Bacteriol. 2003, 185, 3373–3378. [Google Scholar] [CrossRef]
- Liang, L.; He, X.; Liu, G.; Tan, H. The role of a purine-specific nucleoside hydrolase in spore germination of Bacillus thuringiensis. Microbiol. Read. Engl. 2008, 154, 1333–1340. [Google Scholar] [CrossRef] [PubMed][Green Version]
- Guimarães, A.P.; Oliveira, A.A.; da Cunha, E.F.F.; Ramalho, T.C.; França, T.C.C. Analysis of Bacillus anthracis nucleoside hydrolase via in silico docking with inhibitors and molecular dynamics simulation. J. Mol. Model. 2011, 17, 2939–2951. [Google Scholar] [CrossRef]
- Chu, C.P.; West, T.P. Pyrimidine ribonucleoside catabolism in Pseudomonas fluorescens biotype A. Antonie Van Leeuwenhoek 1990, 57, 253–257. [Google Scholar] [CrossRef]
- Terada, M.; Tatibana, M.; Hayaishi, O. Purification and properties of nucleoside hydrolase from Pseudomonas fluorescens. J. Biol. Chem. 1967, 242, 5578–5585. [Google Scholar] [CrossRef]
- Heurlier, K.; Dénervaud, V.; Haenni, M.; Guy, L.; Krishnapillai, V.; Haas, D. Quorum-sensing-negative (lasR) mutants of Pseudomonas aeruginosa avoid cell lysis and death. J. Bacteriol. 2005, 187, 4875–4883. [Google Scholar] [CrossRef] [PubMed]
- Kim, E.-K.; Lee, K.-A.; Hyeon, D.Y.; Kyung, M.; Jun, K.-Y.; Seo, S.H.; Hwang, D.; Kwon, Y.; Lee, W.-J. Bacterial Nucleoside Catabolism Controls Quorum Sensing and Commensal-to-Pathogen Transition in the Drosophila Gut. Cell Host Microbe 2020, 27, 345–357.e6. [Google Scholar] [CrossRef]
- Wink, P.L.; Sanchez Quitian, Z.A.; Rosado, L.A.; Rodrigues, V.d.S.; Petersen, G.O.; Lorenzini, D.M.; Lipinski-Paes, T.; Saraiva Macedo Timmers, L.F.; de Souza, O.N.; Basso, L.A.; et al. Biochemical characterization of recombinant nucleoside hydrolase from Mycobacterium tuberculosis H37Rv. Arch. Biochem. Biophys. 2013, 538, 80–94. [Google Scholar] [CrossRef] [PubMed][Green Version]
- Villela, A.D.; Rodrigues, V.d.S.; Pinto, A.F.M.; Wink, P.L.; Sánchez-Quitian, Z.A.; Petersen, G.O.; Campos, M.M.; Basso, L.A.; Santos, D.S. Characterisation of iunH gene knockout strain from Mycobacterium tuberculosis. Mem. Inst. Oswaldo Cruz 2017, 112, 203–208. [Google Scholar] [CrossRef][Green Version]
- Porcelli, M.; Peluso, I.; Marabotti, A.; Facchiano, A.; Cacciapuoti, G. Biochemical characterization and homology modeling of a purine-specific ribonucleoside hydrolase from the archaeon Sulfolobus solfataricus: Insights into mechanisms of protein stabilization. Arch. Biochem. Biophys. 2009, 483, 55–65. [Google Scholar] [CrossRef] [PubMed]
- Porcelli, M.; Concilio, L.; Peluso, I.; Marabotti, A.; Facchiano, A.; Cacciapuoti, G. Pyrimidine-specific ribonucleoside hydrolase from the archaeon Sulfolobus solfataricus—Biochemical characterization and homology modeling. FEBS J. 2008, 275, 1900–1914. [Google Scholar] [CrossRef]
- Li, W.; Chiang, Y.-H.; Coaker, G. The HopQ1 effector’s nucleoside hydrolase-like domain is required for bacterial virulence in arabidopsis and tomato, but not host recognition in tobacco. PLoS ONE 2013, 8, e59684. [Google Scholar] [CrossRef][Green Version]
- Hann, D.R.; Domínguez-Ferreras, A.; Motyka, V.; Dobrev, P.I.; Schornack, S.; Jehle, A.; Felix, G.; Chinchilla, D.; Rathjen, J.P.; Boller, T. The Pseudomonas type III effector HopQ1 activates cytokinin signaling and interferes with plant innate immunity. New Phytol. 2014, 201, 585–598. [Google Scholar] [CrossRef]
- Yu, S.; Hwang, I.; Rhee, S. Crystal structure of the effector protein XOO4466 from Xanthomonas oryzae. J. Struct. Biol. 2013, 184, 361–366. [Google Scholar] [CrossRef]
- Yu, S.; Hwang, I.; Rhee, S. The crystal structure of type III effector protein XopQ from Xanthomonas oryzae complexed with adenosine diphosphate ribose. Proteins 2014, 82, 2910–2914. [Google Scholar] [CrossRef]
- Martin, R.; Qi, T.; Zhang, H.; Liu, F.; King, M.; Toth, C.; Nogales, E.; Staskawicz, B.J. Structure of the activated ROQ1 resistosome directly recognizing the pathogen effector XopQ. Science 2020, 370, eabd9993. [Google Scholar] [CrossRef] [PubMed]
- Hehemann, J.-H.; Marsters, C.; Boraston, A.B. Ab initio phasing of a nucleoside hydrolase-related hypothetical protein from Saccharophagus degradans that is associated with carbohydrate metabolism. Proteins 2011, 79, 2992–2998. [Google Scholar] [CrossRef] [PubMed]
- Bates, C.; Kendrick, Z.; McDonald, N.; Kline, P.C. Transition state analysis of adenosine nucleosidase from yellow lupin (Lupinus luteus). Phytochemistry 2006, 67, 5–12. [Google Scholar] [CrossRef] [PubMed]
- Thicklin, L.; Shamsuddin, A.; Alahmry, F.; Gezley, C.; Brown, E.; Stone, J.; Burns-Carver, E.; Kline, P.C. Purification of a non-specific nucleoside hydrolase from Alaska pea seeds. Protein Expr. Purif. 2019, 154, 140–146. [Google Scholar] [CrossRef] [PubMed]
- Jung, B.; Hoffmann, C.; Möhlmann, T. Arabidopsis nucleoside hydrolases involved in intracellular and extracellular degradation of purines. Plant J. Cell Mol. Biol. 2011, 65, 703–711. [Google Scholar] [CrossRef]
- Baccolini, C.; Witte, C.-P. AMP and GMP Catabolism in Arabidopsis Converge on Xanthosine, Which Is Degraded by a Nucleoside Hydrolase Heterocomplex. Plant Cell 2019, 31, 734–751. [Google Scholar] [CrossRef]
- Kopecná, M.; Blaschke, H.; Kopecny, D.; Vigouroux, A.; Koncitíková, R.; Novák, O.; Kotland, O.; Strnad, M.; Moréra, S.; von Schwartzenberg, K. Structure and function of nucleoside hydrolases from Physcomitrella patens and maize catalyzing the hydrolysis of purine, pyrimidine, and cytokinin ribosides. Plant Physiol. 2013, 163, 1568–1583. [Google Scholar] [CrossRef]
- Kurtz, J.-E.; Exinger, F.; Erbs, P.; Jund, R. The URH1 uridine ribohydrolase of Saccharomyces cerevisiae. Curr. Genet. 2002, 41, 132–141. [Google Scholar] [CrossRef]
- Versées, W.; Van Holsbeke, E.; De Vos, S.; Decanniere, K.; Zegers, I.; Steyaert, J. Cloning, preliminary characterization and crystallization of nucleoside hydrolases from Caenorhabditis elegans and Campylobacter jejuni. Acta Crystallogr. D Biol. Crystallogr. 2003, 59, 1087–1089. [Google Scholar] [CrossRef]
- Ribeiro, J.M.C.; Valenzuela, J.G. The salivary purine nucleosidase of the mosquito, Aedes aegypti. Insect Biochem. Mol. Biol. 2003, 33, 13–22. [Google Scholar] [CrossRef]
- Magni, G. Uridine nucleosidase from yeast. Methods Enzymol. 1978, 51, 290–296. [Google Scholar] [CrossRef] [PubMed]
- Magni, G.; Fioretti, E.; Ipata, P.L.; Natalini, P. Bakers’ yeast uridine nucleosidase. Purification, composition, and physical and enzymatic properties. J. Biol. Chem. 1975, 250, 9–13. [Google Scholar] [CrossRef]
- Mazumder, D.; Bruice, T.C. Exploring nucleoside hydrolase catalysis in silico: Molecular dynamics study of enzyme-bound substrate and transition state. J. Am. Chem. Soc. 2002, 124, 14591–14600. [Google Scholar] [CrossRef] [PubMed]
- Iovane, E.; Giabbai, B.; Muzzolini, L.; Matafora, V.; Fornili, A.; Minici, C.; Giannese, F.; Degano, M. Structural basis for substrate specificity in group I nucleoside hydrolases. Biochemistry 2008, 47, 4418–4426. [Google Scholar] [CrossRef]
- Degano, M.; Almo, S.C.; Sacchettini, J.C.; Schramm, V.L. Trypanosomal nucleoside hydrolase. A novel mechanism from the structure with a transition-state inhibitor. Biochemistry 1998, 37, 6277–6285. [Google Scholar] [CrossRef]
- Fornili, A.; Giabbai, B.; Garau, G.; Degano, M. Energy landscapes associated with macromolecular conformational changes from endpoint structures. J. Am. Chem. Soc. 2010, 132, 17570–17577. [Google Scholar] [CrossRef] [PubMed]
- Versées, W.; Barlow, J.; Steyaert, J. Transition-state complex of the purine-specific nucleoside hydrolase of T. vivax: Enzyme conformational changes and implications for catalysis. J. Mol. Biol. 2006, 359, 331–346. [Google Scholar] [CrossRef]
- Loverix, S.; Geerlings, P.; McNaughton, M.; Augustyns, K.; Vandemeulebroucke, A.; Steyaert, J.; Versées, W. Substrate-assisted leaving group activation in enzyme-catalyzed N-glycosidic bond cleavage. J. Biol. Chem. 2005, 280, 14799–14802. [Google Scholar] [CrossRef]
- Vandemeulebroucke, A.; De Vos, S.; Van Holsbeke, E.; Steyaert, J.; Versées, W. A flexible loop as a functional element in the catalytic mechanism of nucleoside hydrolase from Trypanosoma vivax. J. Biol. Chem. 2008, 283, 22272–22282. [Google Scholar] [CrossRef]
- Singh, R.K.; Steyaert, J.; Versées, W. Structural and biochemical characterization of the nucleoside hydrolase from C. elegans reveals the role of two active site cysteine residues in catalysis. Protein Sci. Publ. Protein Soc. 2017, 26, 985–996. [Google Scholar] [CrossRef]
- Vandemeulebroucke, A.; Minici, C.; Bruno, I.; Muzzolini, L.; Tornaghi, P.; Parkin, D.W.; Versées, W.; Steyaert, J.; Degano, M. Structure and mechanism of the 6-oxopurine nucleosidase from Trypanosoma brucei brucei. Biochemistry 2010, 49, 8999–9010. [Google Scholar] [CrossRef]
- Minici, C.; Cacciapuoti, G.; De Leo, E.; Porcelli, M.; Degano, M. New determinants in the catalytic mechanism of nucleoside hydrolases from the structures of two isozymes from Sulfolobus solfataricus. Biochemistry 2012, 51, 4590–4599. [Google Scholar] [CrossRef] [PubMed]
- Shi, W.; Schramm, V.L.; Almo, S.C. Nucleoside hydrolase from Leishmania major. Cloning, expression, catalytic properties, transition state inhibitors, and the 2.5-å crystal structure. J. Biol. Chem. 1999, 274, 21114–21120. [Google Scholar] [CrossRef] [PubMed]
- Garau, G.; Muzzolini, L.; Tornaghi, P.; Degano, M. Active site plasticity revealed from the structure of the enterobacterial N-ribohydrolase RihA bound to a competitive inhibitor. BMC Struct. Biol. 2010, 10, 14. [Google Scholar] [CrossRef] [PubMed]
- Vandemeulebroucke, A.; Versées, W.; De Vos, S.; Van Holsbeke, E.; Steyaert, J. Pre-steady-state analysis of the nucleoside hydrolase of Trypanosoma vivax. Evidence for half-of-the-sites reactivity and rate-limiting product release. Biochemistry 2003, 42, 12902–12908. [Google Scholar] [CrossRef]
- Minici, C.; Mosca, L.; Ilisso, C.P.; Cacciapuoti, G.; Porcelli, M.; Degano, M. Structures of catalytic cycle intermediates of the Pyrococcus furiosus methionine adenosyltransferase demonstrate negative cooperativity in the archaeal orthologues. J. Struct. Biol. 2020, 210, 107462. [Google Scholar] [CrossRef]
- Uetz, P.; Giot, L.; Cagney, G.; Mansfield, T.A.; Judson, R.S.; Knight, J.R.; Lockshon, D.; Narayan, V.; Srinivasan, M.; Pochart, P.; et al. A comprehensive analysis of protein-protein interactions in Saccharomyces cerevisiae. Nature 2000, 403, 623–627. [Google Scholar] [CrossRef]
- Krogan, N.J.; Cagney, G.; Yu, H.; Zhong, G.; Guo, X.; Ignatchenko, A.; Li, J.; Pu, S.; Datta, N.; Tikuisis, A.P.; et al. Global landscape of protein complexes in the yeast Saccharomyces cerevisiae. Nature 2006, 440, 637–643. [Google Scholar] [CrossRef]
- Jungfleisch, J.; Nedialkova, D.D.; Dotu, I.; Sloan, K.E.; Martinez-Bosch, N.; Brüning, L.; Raineri, E.; Navarro, P.; Bohnsack, M.T.; Leidel, S.A.; et al. A novel translational control mechanism involving RNA structures within coding sequences. Genome Res. 2017, 27, 95–106. [Google Scholar] [CrossRef]
- Willmund, F.; del Alamo, M.; Pechmann, S.; Chen, T.; Albanèse, V.; Dammer, E.B.; Peng, J.; Frydman, J. The cotranslational function of ribosome-associated Hsp70 in eukaryotic protein homeostasis. Cell 2013, 152, 196–209. [Google Scholar] [CrossRef]
- Arifuzzaman, M.; Maeda, M.; Itoh, A.; Nishikata, K.; Takita, C.; Saito, R.; Ara, T.; Nakahigashi, K.; Huang, H.-C.; Hirai, A.; et al. Large-scale identification of protein-protein interaction of Escherichia coli K-12. Genome Res. 2006, 16, 686–691. [Google Scholar] [CrossRef] [PubMed]
- Babu, M.; Arnold, R.; Bundalovic-Torma, C.; Gagarinova, A.; Wong, K.S.; Kumar, A.; Stewart, G.; Samanfar, B.; Aoki, H.; Wagih, O.; et al. Quantitative genome-wide genetic interaction screens reveal global epistatic relationships of protein complexes in Escherichia coli. PLoS Genet. 2014, 10, e1004120. [Google Scholar] [CrossRef] [PubMed]
- Berriman, M.; Ghedin, E.; Hertz-Fowler, C.; Blandin, G.; Renauld, H.; Bartholomeu, D.C.; Lennard, N.J.; Caler, E.; Hamlin, N.E.; Haas, B.; et al. The genome of the African trypanosome Trypanosoma brucei. Science 2005, 309, 416–422. [Google Scholar] [CrossRef] [PubMed]
- Boutellier, M.; Horenstein, B.A.; Semenyaka, A.; Schramm, V.L.; Ganem, B. Amidrazone analogues of D-ribofuranose as transition-state inhibitors of nucleoside hydrolase. Biochemistry 1994, 33, 3994–4000. [Google Scholar] [CrossRef]
- Evans, G.B.; Schramm, V.L.; Tyler, P.C. The Immucillins: Design, Synthesis and Application of Transition- State Analogues. Curr. Med. Chem. 2015, 22, 3897–3909. [Google Scholar] [CrossRef]
- Warren, T.K.; Wells, J.; Panchal, R.G.; Stuthman, K.S.; Garza, N.L.; Van Tongeren, S.A.; Dong, L.; Retterer, C.J.; Eaton, B.P.; Pegoraro, G.; et al. Protection against filovirus diseases by a novel broad-spectrum nucleoside analogue BCX4430. Nature 2014, 508, 402–405. [Google Scholar] [CrossRef]
- Goeminne, A.; McNaughton, M.; Bal, G.; Surpateanu, G.; Van der Veken, P.; De Prol, S.; Versées, W.; Steyaert, J.; Apers, S.; Haemers, A.; et al. 1,2,3-Triazolylalkylribitol derivatives as nucleoside hydrolase inhibitors. Bioorg. Med. Chem. Lett. 2007, 17, 2523–2526. [Google Scholar] [CrossRef]
- Goeminne, A.; McNaughton, M.; Bal, G.; Surpateanu, G.; Van Der Veken, P.; De Prol, S.; Versées, W.; Steyaert, J.; Haemers, A.; Augustyns, K. Synthesis and biochemical evaluation of guanidino-alkyl-ribitol derivatives as nucleoside hydrolase inhibitors. Eur. J. Med. Chem. 2008, 43, 315–326. [Google Scholar] [CrossRef]
- Goeminne, A.; Berg, M.; McNaughton, M.; Bal, G.; Surpateanu, G.; Van der Veken, P.; De Prol, S.; Versées, W.; Steyaert, J.; Haemers, A.; et al. N-Arylmethyl substituted iminoribitol derivatives as inhibitors of a purine specific nucleoside hydrolase. Bioorg. Med. Chem. 2008, 16, 6752–6763. [Google Scholar] [CrossRef]
- Berg, M.; Kohl, L.; Van der Veken, P.; Joossens, J.; Al-Salabi, M.I.; Castagna, V.; Giannese, F.; Cos, P.; Versées, W.; Steyaert, J.; et al. Evaluation of nucleoside hydrolase inhibitors for treatment of African trypanosomiasis. Antimicrob. Agents Chemother. 2010, 54, 1900–1908. [Google Scholar] [CrossRef]
- Alam, R.; Barbarovich, A.T.; Caravan, W.; Ismail, M.; Barskaya, A.; Parkin, D.W.; Stockman, B.J. Druggability of the guanosine/adenosine/cytidine nucleoside hydrolase from Trichomonas vaginalis. Chem. Biol. Drug Des. 2018, 92, 1736–1742. [Google Scholar] [CrossRef] [PubMed]
- Beck, S.; Muellers, S.N.; Benzie, A.L.; Parkin, D.W.; Stockman, B.J. Adenosine/guanosine preferring nucleoside ribohydrolase is a distinct, druggable antitrichomonal target. Bioorg. Med. Chem. Lett. 2015, 25, 5036–5039. [Google Scholar] [CrossRef]
- Muellers, S.N.; Gonzalez, J.A.; Kaur, A.; Sapojnikov, V.; Benzie, A.L.; Brown, D.G.; Parkin, D.W.; Stockman, B.J. Ligand-Efficient Inhibitors of Trichomonas vaginalis Adenosine/Guanosine Preferring Nucleoside Ribohydrolase. ACS Infect. Dis. 2019, 5, 345–352. [Google Scholar] [CrossRef] [PubMed]
- Sales, E.M.; Sousa, G.S.; Belouezzane, C.; Almeida, F.C.L.; Figueroa-Villar, J.D. Expression, purification and spectrophotometric analysis of nucleoside hydrolase from Leishmania chagasi (LcNH). Protein Expr. Purif. 2019, 161, 40–48. [Google Scholar] [CrossRef] [PubMed]
- Palatnik-de-Sousa, C.B. Nucleoside Hydrolase NH 36: A Vital Enzyme for the Leishmania Genus in the Development of T-Cell Epitope Cross-Protective Vaccines. Front. Immunol. 2019, 10, 813. [Google Scholar] [CrossRef]
- Nico, D.; Claser, C.; Borja-Cabrera, G.P.; Travassos, L.R.; Palatnik, M.; Soares, I.d.S.; Rodrigues, M.M.; Palatnik-de-Sousa, C.B. Adaptive immunity against Leishmania nucleoside hydrolase maps its c-terminal domain as the target of the CD4+ T cell-driven protective response. PLoS Negl. Trop. Dis. 2010, 4, e866. [Google Scholar] [CrossRef][Green Version]
- Huysmans, G.; Ranquin, A.; Wyns, L.; Steyaert, J.; Van Gelder, P. Encapsulation of therapeutic nucleoside hydrolase in functionalised nanocapsules. J. Control. Release Off. J. Control. Release Soc. 2005, 102, 171–179. [Google Scholar] [CrossRef]
- Ranquin, A.; Versées, W.; Meier, W.; Steyaert, J.; Van Gelder, P. Therapeutic nanoreactors: Combining chemistry and biology in a novel triblock copolymer drug delivery system. Nano Lett. 2005, 5, 2220–2224. [Google Scholar] [CrossRef]
- Chen, G.; Tang, B.; Yang, B.-Y.; Chen, J.-X.; Zhou, J.-H.; Li, J.-H.; Hua, Z.-C. Tumor-targeting Salmonella typhimurium, a natural tool for activation of prodrug 6MePdR and their combination therapy in murine melanoma model. Appl. Microbiol. Biotechnol. 2013, 97, 4393–4401. [Google Scholar] [CrossRef]
- Fu, W.; Lan, H.; Li, S.; Han, X.; Gao, T.; Ren, D. Synergistic antitumor efficacy of suicide/ePNP gene and 6-methylpurine 2’-deoxyriboside via Salmonella against murine tumors. Cancer Gene Ther. 2008, 15, 474–484. [Google Scholar] [CrossRef]
- Schumacher, M.A.; Carter, D.; Scott, D.M.; Roos, D.S.; Ullman, B.; Brennan, R.G. Crystal structures of Toxoplasma gondii uracil phosphoribosyltransferase reveal the atomic basis of pyrimidine discrimination and prodrug binding. EMBO J. 1998, 17, 3219–3232. [Google Scholar] [CrossRef] [PubMed]
- Arent, S.; Harris, P.; Jensen, K.F.; Larsen, S. Allosteric regulation and communication between subunits in uracil phosphoribosyltransferase from Sulfolobus solfataricus. Biochemistry 2005, 44, 883–892. [Google Scholar] [CrossRef] [PubMed]








Publisher’s Note: MDPI stays neutral with regard to jurisdictional claims in published maps and institutional affiliations. |
© 2022 by the author. Licensee MDPI, Basel, Switzerland. This article is an open access article distributed under the terms and conditions of the Creative Commons Attribution (CC BY) license (https://creativecommons.org/licenses/by/4.0/).
Share and Cite
Degano, M. Structure, Oligomerization and Activity Modulation in N-Ribohydrolases. Int. J. Mol. Sci. 2022, 23, 2576. https://doi.org/10.3390/ijms23052576
Degano M. Structure, Oligomerization and Activity Modulation in N-Ribohydrolases. International Journal of Molecular Sciences. 2022; 23(5):2576. https://doi.org/10.3390/ijms23052576
Chicago/Turabian StyleDegano, Massimo. 2022. "Structure, Oligomerization and Activity Modulation in N-Ribohydrolases" International Journal of Molecular Sciences 23, no. 5: 2576. https://doi.org/10.3390/ijms23052576
APA StyleDegano, M. (2022). Structure, Oligomerization and Activity Modulation in N-Ribohydrolases. International Journal of Molecular Sciences, 23(5), 2576. https://doi.org/10.3390/ijms23052576
