Immobilization of Alcalase on Silica Supports Modified with Carbosilane and PAMAM Dendrimers
Abstract
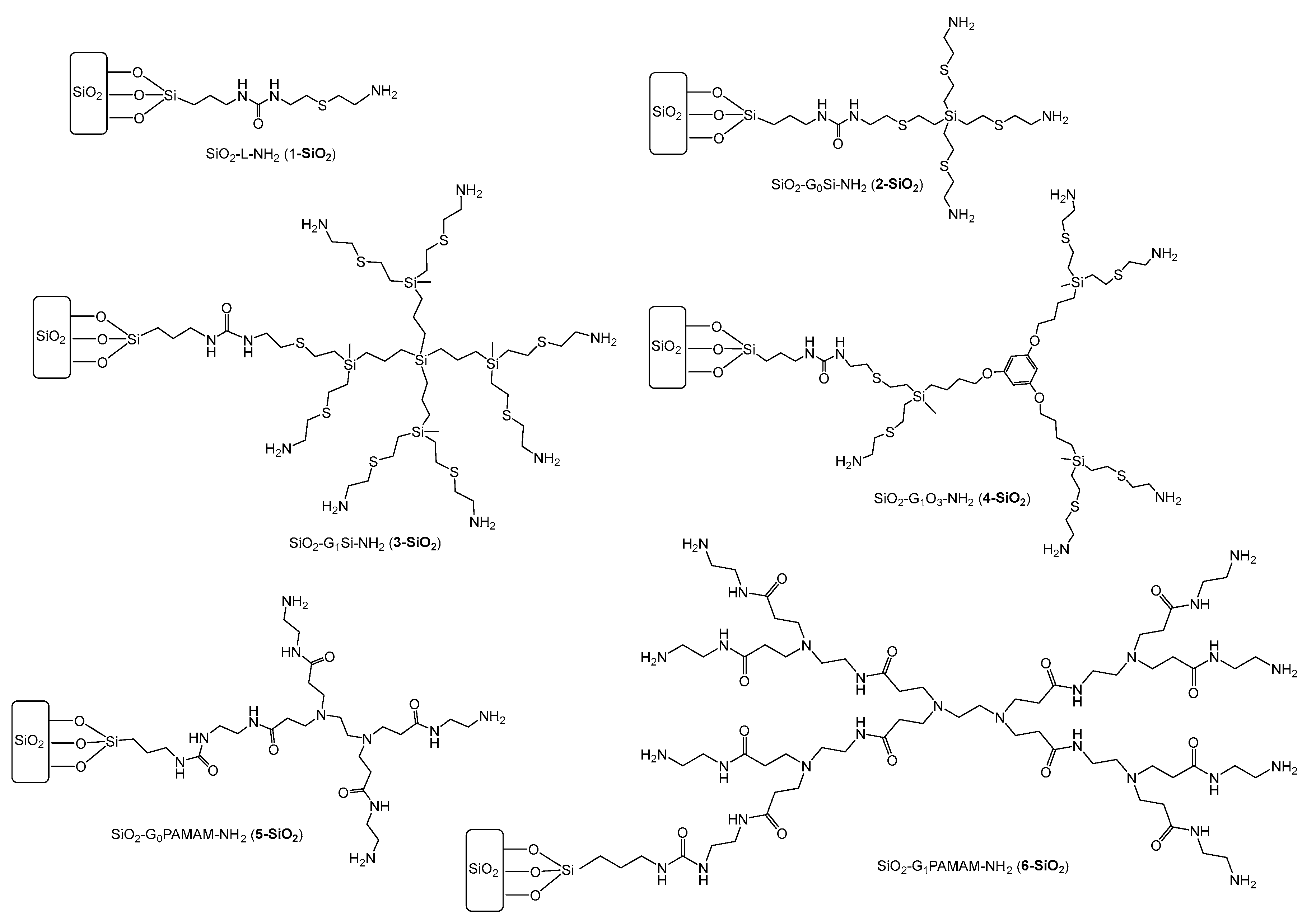
1. Introduction
2. Results and Discussion
2.1. Alcalase Immobilization
2.2. BSA Digestion with Modified Silicas
2.3. Optimization of Immobilization Conditions and Study of Its Effect on the Activity of the Enzyme
2.4. Evaluation of the Reproducibility of the Immobilization Procedure and Reusability of the Immobilized Enzyme
3. Materials and Methods
3.1. Chemicals and Samples
3.2. Immobilization of Alcalase
3.3. SEM Analysis
3.4. Fluorescence Measurements
3.5. Amino Acid Analysis
3.6. Enzyme Activity Assay
3.7. Statistical Analysis
4. Conclusions
Supplementary Materials
Author Contributions
Funding
Institutional Review Board Statement
Informed Consent Statement
Data Availability Statement
Acknowledgments
Conflicts of Interest
References
- Talavera-Caro, A.G.; Alva-Sánchez, D.L.; Sosa-Herrera, A.; Sánchez-Muñoz, M.A.; Hernández-De Lira, I.O.; Hernández-Beltran, J.U.; Hernández-Almanza, A.Y.; Balagurusamy, N. Emerging trends and future perspectives on enzyme prospection with reference to food processing. In Value-Addition in Food Products and Processing Through Enzyme Technology; Kuddus, M., Aguilar, C.N., Eds.; Elsevier: Amsterdam, The Netherlands, 2022; pp. 139–151. [Google Scholar] [CrossRef]
- Dicosimo, R.; McAuliffe, J.R.; Poulose, A.J.; Bohlmann, G. Industrial use of immobilized enzymes. Chem. Soc. Rev. 2013, 42, 6437–6474. [Google Scholar] [CrossRef] [PubMed]
- Orrego, A.; García, C.; Mancheno, J.; Guisán, J.; Lillo, M.; López-Gallego, F. Two-photon fluorescence anisotropy imaging to elucidate the dynamics and the stability of immobilized proteins. J. Phys. Chem. B 2016, 120, 485–491. [Google Scholar] [CrossRef] [PubMed]
- Song, J.; Su, P.; Yang, Y.; Wang, T.; Yang, Y. DNA directed immobilization enzyme on polyamidoamine tethered magnetic composites with high reusability and stability. J. Mat. Chem. B 2016, 4, 5873–5882. [Google Scholar] [CrossRef] [PubMed]
- Hou, C.; Zhu, H.; Wu, D.; Li, Y.; Hou, K.; Jiang, Y.; Li, Y. Immobilized lipase on macroporous polystyrene modified by PAMAM-dendrimer and their enzymatic hydrolysis. Process Biochem. 2014, 49, 244–249. [Google Scholar] [CrossRef]
- Graebin, N.G.; Schöffer, J.N.; de Andrades, D.; Hertz, P.F.; Ayub, M.A.Z.; Rodrigues, R.C. Immobilization of glycoside hydrolase families GH1, GH13, and GH70: State of the art and perspectives. Molecules 2016, 21, 1074. [Google Scholar] [CrossRef]
- Scheibel, D.M.; Gitsov, I. Polymer-assisted biocatalysis: Effects of macromolecular architectures on the stability and catalytic activity of immobilized enzymes toward water-soluble and water-insoluble substrates. ACS Omega 2018, 3, 1700–1709. [Google Scholar] [CrossRef]
- Tardioli, P.W.; Pedroche, J.; Giordano, R.L.; Fernández-Lafuente, R.; Guisán, J.M. Hydrolysis of proteins by immobilized-stabilized alcalase-glyoxyl agarose. Biotechnol. Prog. 2003, 19, 352–360. [Google Scholar] [CrossRef]
- Bernal, C.; Rodríguez, K.; Martínez, R. Integrating enzyme immobilization and protein engineering: An alternative path for the development of novel and improved industrial biocatalysts. Biotechnol. Adv. 2018, 36, 1470–1480. [Google Scholar] [CrossRef]
- Klein, M.P.; Hackenhaar, C.R.; Lorenzoni, A.S.G.; Rodrigues, R.C.; Costa, T.M.H.; Ninow, J.L.; Hertz, P.F. Chitosan crosslinked with genipin as support matrix for application in in food process: Support characterization and β-d-galactosidase immobilization. Carbohydr. Polym. 2016, 137, 184–190. [Google Scholar] [CrossRef]
- Pedroche, J.; Yust, M.M.; Mateo, C.; Fernández-Lafuente, R.; Girón-Calle, J.; Alaiz, M.; Vioque, J.; Guisán, J.M.; Millán, F. Effect of the support and experimental conditions in the intensity of the multipoint covalent attachment of proteins on glyoxyl-agarose supports: Correlation between enzyme–support linkages and thermal stability. Enzym. Microb. Technol. 2007, 40, 1160–1166. [Google Scholar] [CrossRef]
- Singh, R.K.; Tiwari, M.K.; Singh, R.; Lee, J.K. From protein engineering to immobilization: Promising strategies for the upgrade of industrial enzymes. Int. J. Mol. Sci. 2013, 14, 1232–1277. [Google Scholar] [CrossRef] [PubMed]
- Fernández-Lorente, G.; López-Gallego, F.; Bolívar, J.M.; Rocha-Martín, J.; Moreno-Pérez, S.; Guisán, J.M. Immobilization of proteins on highly activated glyoxyl supports: Dramatic increase of the enzyme stability via multipoint immobilization on pre-existing carriers. Curr. Org. Chem. 2015, 19, 1719–1731. [Google Scholar] [CrossRef]
- Li, K.; Wang, J.; He, Y.; Cui, G.; Abdulrazaq, M.A.; Yan, Y. Enhancing enzyme activity and enantioselectivity of Burkholderia cepacia lipase via immobilization on melamine-glutaraldehyde dendrimer modified magnetic nanoparticles. Chem. Eng. J. 2018, 351, 258–268. [Google Scholar] [CrossRef]
- Wu, N.; Wang, S.; Yang, Y.; Song, J.; Su, P.; Yang, Y. DNA-directed trypsin immobilization on a polyamidoamine dendrimer-modified capillary to form a renewable immobilized enzyme microreactor. Int. J. Biol. Macromol. 2018, 113, 38–44. [Google Scholar] [CrossRef]
- Zhao, P.; Tian, L.; Li, X.; Ali, Z.; Zhang, B.; Zhang, H.; Zhang, Q. Effect of the structure and length of flexible chains on dendrimers grafted Fe3O4@SiO2/PAMAM magnetic nanocarriers for lipase immobilization. ACS Sustain. Chem. Eng. 2016, 4, 6382–6390. [Google Scholar] [CrossRef]
- Dervisevic, M.; Dervisevic, E.; Senel, M. Design of amperometric urea biosensor based on self-assembled monolayer of cystamine/PAMAM-grafted MWCNT/Urease. Sens. Actuators B Chem. 2018, 254, 93–101. [Google Scholar] [CrossRef]
- Borisova, B.; Ramos, J.; Díez, P.; Sánchez, A.; Parrado, C.; Araque, E.; Villalonga, R.; Pingarrón, J.M. A layer-by-layer biosensing architecture based on polyamidoamine dendrimer and carboxymethylcellulose-modified graphene oxide. Electroanalysis 2015, 27, 2131–2138. [Google Scholar] [CrossRef]
- Malkoch, M.; García-Gallego, S. Dendrimer Chemistry: Synthetic Approaches towards Complex Architectures; Royal Society of Chemistry: Cambridge, UK, 2020. [Google Scholar] [CrossRef]
- Lee, C.C.; MacKay, J.A.; Fréchet, J.M.; Szoka, F.C. Designing dendrimers for biological applications. Nat. Biotechnol. 2005, 23, 1517–1526. [Google Scholar] [CrossRef]
- Tomalia, D.A.; Fréchet, J.M. Discovery of dendrimers and dendritic polymers: A brief historical perspective. J. Polym. Sci. Part A Polym. Chem. 2002, 40, 2719–2728. [Google Scholar] [CrossRef]
- Munavalli, B.B.; Naik, S.R.; Torvi, A.I.; Kariduraganavar, M.Y. Dendrimers. In Functional Polymers; Mazumder, M.A.J., Sheardown, H., Al-Ahmed, A., Eds.; Polymers and Polymeric Composites: A Reference Series; Springer: Cham, Switzerland, 2019; pp. 289–345. [Google Scholar]
- Bahadır, S.M.; Sezgintürk, M.K. Poly(amidoamine) (PAMAM): An emerging material for electrochemical bio(sensing) applications. Talanta 2016, 148, 427–438. [Google Scholar] [CrossRef]
- Fuentes-Paniagua, E.; Sánchez-Nieves, J.; Hernández-Ros, J.M.; Soliveri, J.; Copa-Patiño, J.L.; Gómez, R.; de la Mata, F.J. Structure-activity relationship study of cationic carbosilane dendritic systems as antibacterial agents. RSC Adv. 2016, 6, 7022–7033. [Google Scholar] [CrossRef]
- Heredero-Bermejo, I.; Gómez-Casanova, N.; Quintana, S.; Soliveri, J.; de la Mata, F.J.; Pérez-Serrano, J.; Sánchez-Nieves, J.; Copa-Patiño, J.L. In vitro activity of carbosilane cationic dendritic molecules on prevention and treatment of Candida albicans biofilms. Pharmaceutics 2020, 12, 918. [Google Scholar] [CrossRef] [PubMed]
- Ortega, P.; Sánchez-Nieves, J.; Cano, J.; Gómez, R.; de la Mata, F.J. Poly (carbosilane) dendrimers and other silicon-containing dendrimers. In Dendrimer Chemistry: Synthetic Approaches Towards Complex Architectures; Malkoch, M., García-Gallego, S., Eds.; Royal Society of Chemistry: Cambridge, UK, 2020; pp. 114–145. [Google Scholar]
- Heredero-Bermejo, I.; Hernández-Ros, J.M.; Sánchez-García, L.; Maly, M.; Verdú-Expósito, C.; Soliveri, J.; de la Mata, F.J.; Copa-Patiño, J.L.; Pérez-Serrano, J.; Sánchez-Nieves, J.; et al. Ammonium and guanidine carbosilane dendrimers and dendrons as microbicides. Eur. Polym. J. 2018, 101, 159–168. [Google Scholar] [CrossRef]
- Peña-González, C.E.; Pedziwiatr-Werbicka, E.; Shcharbin, D.; Guerrero-Beltrán, C.; Abashkin, V.; Loznikova, S.; Jiménez, J.L.; Muñoz-Fernández, M.Á.; Bryszewska, M.; Gómez, R.; et al. Gold nanoparticles stabilized by cationic carbosilane dendrons: Synthesis and biological properties. Dalton Trans. 2017, 46, 8736–8745. [Google Scholar] [CrossRef] [PubMed]
- Barrios-Gumiel, A.; Sánchez-Nieves, J.; Pérez-Serrano, J.; Gómez, R.; de la Mata, F.J. PEGylated AgNP covered with cationic carbosilane dendrons to enhance antibacterial and inhibition of biofilm properties. Int. J. Pharm. 2019, 569, 118591–118598. [Google Scholar] [CrossRef] [PubMed]
- Quintana-Sánchez, S.; Barrios-Gumiel, A.; Sánchez-Nieves, J.; Copa-Patiño, J.L.; Gómez, R.; de la Mata, F.J. Bacteria capture with magnetic nanoparticles modified with cationic carbosilane dendritic systems. Mat. Sci. Eng. C 2021, 133, 112622–112630. [Google Scholar] [CrossRef]
- Barrios-Gumiel, A.; Sepúlveda-Crespo, D.; Jiménez, J.L.; Gómez, R.; Muñoz-Fernández, M.Á.; de la Mata, F.J. Dendronized magnetic nanoparticles for HIV-1 capture and rapid diagnostic. Colloids Surf. B 2019, 181, 360–368. [Google Scholar] [CrossRef]
- Martínez, Á.; Fuentes-Paniagua, E.; Baeza, A.; Sánchez-Nieves, J.; Cicuéndez, M.; Gómez, R.; de la Mata, F.J.; González, B.; Vallet-Regí, M. Mesoporous silica nanoparticles decorated with carbosilane dendrons as new non-viral oligonucleotide delivery carriers. Chem. Eur. J. 2015, 21, 15651–15666. [Google Scholar] [CrossRef]
- Sánchez-Milla, M.; Gómez, R.; Pérez-Serrano, J.; Sánchez-Nieves, J.; de la Mata, F.J. Functionalization of silica with amine and ammonium alkyl chains, dendrons and dendrimers: Synthesis and antibacterial properties. Mat. Eng. Sci. C 2020, 109, 110526–110536. [Google Scholar] [CrossRef]
- Hernández-Corroto, E.; Sánchez-Milla, M.; Sánchez-Nieves, J.; de la Mata, F.J.; Marina, M.L.; García, M.C. Immobilization of thermolysin enzyme on dendronized silica supports. Evaluation of its feasibility on multiple protein hydrolysis cycles. Int. J. Biol. Macromol. 2020, 165, 2338–2348. [Google Scholar] [CrossRef]
- Ferreira, L.; Ramos, M.A.; Dordick, J.S.; Gil, M.H. Influence of different silica derivatives in the immobilization and stabilization of Bacillus licheniformis protease (Subtilisin Carlsberg). J. Mol. Catal. B Enzym. 2003, 21, 189–199. [Google Scholar] [CrossRef]
- Zuza, M.G.; Milasinovic, N.Z.; Jonovic, M.M.; Jovanovic, J.R.; Kalagasidis-Krusic, M.T.; Bugarski, B.M.; Knezevic-Jugovic, Z.D. Design and characterization of alcalase–chitosan conjugates as potential biocatalysts. Bioprocess Biosyst. Eng. 2017, 40, 1713–1723. [Google Scholar] [CrossRef] [PubMed]
- dos Santos, K.P.; Mallinger-Silva, C.; Brígida, A.I.S.; Gonçalves, L.R.B. Modifying alcalase activity and stability by immobilization onto chitosan aiming at the production of bioactive peptides by hydrolysis of tilapia skin gelatin. Process Biochem. 2020, 97, 27–36. [Google Scholar] [CrossRef]
- Jonovic, M.; Zuza, M.; Dordevic, V.; Sekuljica, N.; Milivojevic, M.; Jugovic, B.; Bugarski, B.; Knezevik-Jugovic, Z. Immobilized alcalase on micron- and submicron-sized alginate beads as a potential biocatalyst for hydrolysis of food proteins. Catalysts 2021, 11, 305. [Google Scholar] [CrossRef]
- Hussainn, F.; Arana-Peña, S.; Morellon-Sterling, R.; Barbosa, O.; Braham, S.A.; Kamal, S.; Fernández-Lafuente, R. Further stabilization of alcalase immobilized on glyoxyl supports: Amination plus modification with glutaraldehyde. Molecules 2018, 23, 3188. [Google Scholar] [CrossRef]
- Hwang, E.T.; Lee, B.; Zhang, M.; Jun, S.H.; Shim, J.; Lee, J.; Kim, J.; Gu, M.B. Immobilization and stabilization of subtilisin Carlsberg in magnetically-separable mesoporous silica for transesterification in an organic solvent. Green Chem. 2012, 14, 1884–1887. [Google Scholar] [CrossRef]
- Yang, A.; Long, C.; Xia, J.; Tong, P.; Cheng, Y.; Wan, Y.; Chen, H. Enzymatic characterisation of the immobilised Alcalase to hydrolyse egg white protein for potential allergenicity reduction. J. Sci. Food Agric. 2017, 97, 199–206. [Google Scholar] [CrossRef]
- Corici, L.N.; Frissen, A.E.; van Zoelen, D.J.; Eggen, I.F.; Peter, F.; Davidescu, C.M.; Boeriu, C.G. Sol–gel immobilization of Alcalase from Bacillus licheniformis for application in the synthesis of C-terminal peptide amides. J. Mol. Catal. B Enzym. 2011, 73, 90–97. [Google Scholar] [CrossRef]
- González-García, E.; Marina, M.L.; García, M.C. Plum (Prunus domestica L.) by-product as a new and cheap source of bioactive peptides: Extraction method and peptides characterization. J. Funct. Foods 2014, 11, 428–437. [Google Scholar] [CrossRef]
- Srimathi, S.; Jayaraman, G.; Narayanan, P.R. Improved thermodynamic stability of subtilisin Carlsberg by covalent modification. Enzym. Microb. Technol. 2006, 39, 301–307. [Google Scholar] [CrossRef]
- Fenoglio, C.; Vierling, N.; Manzo, R.; Ceruti, R.; Sihufe, G.; Mammarella, E.J. Whey protein hydrolysis with free and immobilized alcalase®: Effects of operating parameters on the modulation of peptide profiles obtained. Am. J. Food Technol. 2016, 11, 152–158. [Google Scholar] [CrossRef]
- Hamidi, A.; Rashidi, M.R.; Asgari, D.; Aghanejad, A.; Davaran, S. Covalent immobilization of trypsin on a novel aldehyde-terminated PAMAM dendrimer. Bull Korean Chem. Soc. 2012, 33, 2181–2186. [Google Scholar] [CrossRef]
- Secundo, F. Conformational changes of enzymes upon immobilization. Chem. Soc. Rev. 2013, 42, 6250–6261. [Google Scholar] [CrossRef]
- Wang, S.N.; Zhang, C.R.; Qi, B.K.; Sui, X.N.; Jiang, L.Z.; Li, Y.; Wang, Z.J.; Feng, H.X.; Wang, R.; Zhang, Q.Z. Immobilized alcalase alkaline protease on the magnetic chitosan nanoparticles used for soy protein isolate hydrolysis. Eur. Food Res. Technol. 2014, 239, 1051–1059. [Google Scholar] [CrossRef]
- Özbek, B.; Ünal, Ş. Preparation and characterization of polymer-coated mesoporous silica nanoparticles and their application in Subtilisin immobilization. Korean J. Chem. Eng. 2017, 34, 1992–2001. [Google Scholar] [CrossRef]
- Sánchez-Milla, M.; Pastor, I.; Maly, M.; Serramía, M.J.; Gómez, R.; Sánchez-Nieves, J.; Ritort, F.; Muñoz-Fernández, M.A.; de la Mata, F.J. Study of non-covalent interactions on dendriplex formation: Influence of hydrophobic, electrostatic and hydrogen bonds interactions. Colloid Surf. B 2018, 162, 380–388. [Google Scholar] [CrossRef]
- Hernández-Corroto, E.; Marina, M.L.; García, M.C. Multiple protective effect of peptides released from Olea europaea and Prunus persica seeds against oxidative damage and cancer cell proliferation. Food Res. Int. 2018, 106, 458–467. [Google Scholar] [CrossRef]









Disclaimer/Publisher’s Note: The statements, opinions and data contained in all publications are solely those of the individual author(s) and contributor(s) and not of MDPI and/or the editor(s). MDPI and/or the editor(s) disclaim responsibility for any injury to people or property resulting from any ideas, methods, instructions or products referred to in the content. |
© 2022 by the authors. Licensee MDPI, Basel, Switzerland. This article is an open access article distributed under the terms and conditions of the Creative Commons Attribution (CC BY) license (https://creativecommons.org/licenses/by/4.0/).
Share and Cite
Sánchez-Milla, M.; Hernández-Corroto, E.; Sánchez-Nieves, J.; Gómez, R.; Marina, M.L.; García, M.C.; de la Mata, F.J. Immobilization of Alcalase on Silica Supports Modified with Carbosilane and PAMAM Dendrimers. Int. J. Mol. Sci. 2022, 23, 16102. https://doi.org/10.3390/ijms232416102
Sánchez-Milla M, Hernández-Corroto E, Sánchez-Nieves J, Gómez R, Marina ML, García MC, de la Mata FJ. Immobilization of Alcalase on Silica Supports Modified with Carbosilane and PAMAM Dendrimers. International Journal of Molecular Sciences. 2022; 23(24):16102. https://doi.org/10.3390/ijms232416102
Chicago/Turabian StyleSánchez-Milla, María, Ester Hernández-Corroto, Javier Sánchez-Nieves, Rafael Gómez, María Luisa Marina, María Concepción García, and F. Javier de la Mata. 2022. "Immobilization of Alcalase on Silica Supports Modified with Carbosilane and PAMAM Dendrimers" International Journal of Molecular Sciences 23, no. 24: 16102. https://doi.org/10.3390/ijms232416102
APA StyleSánchez-Milla, M., Hernández-Corroto, E., Sánchez-Nieves, J., Gómez, R., Marina, M. L., García, M. C., & de la Mata, F. J. (2022). Immobilization of Alcalase on Silica Supports Modified with Carbosilane and PAMAM Dendrimers. International Journal of Molecular Sciences, 23(24), 16102. https://doi.org/10.3390/ijms232416102

