Thermodynamic Modeling and Exergy Analysis of A Combined High-Temperature Proton Exchange Membrane Fuel Cell and ORC System for Automotive Applications
Abstract
1. Introduction
2. Results and Discussion
2.1. Model Validation
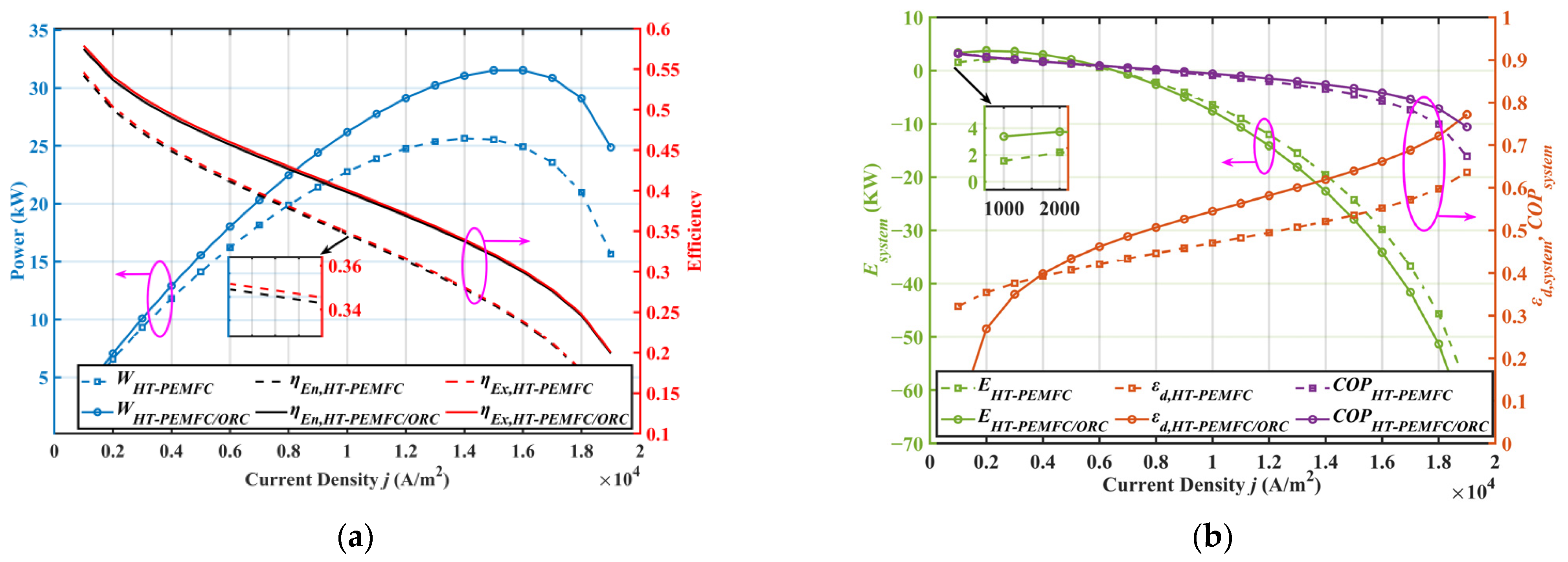
2.2. Effect of Current Density
2.3. Influence of Inlet Temperature
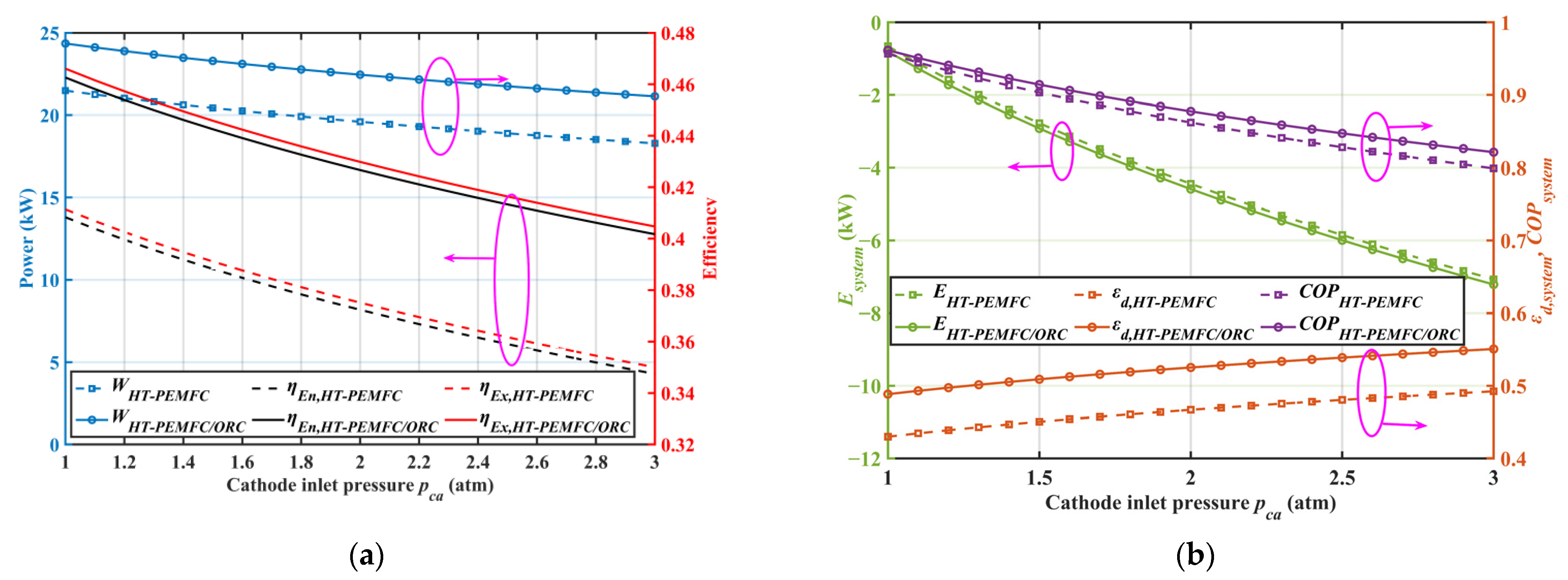
2.4. Effect of Cathode Inlet Pressure
2.5. Effect of Anode Inlet Pressure
3. Materials and Methods
3.1. System Description
3.2. Thermodynamic Modeling
- The combined system operated in a stable working condition [51]. The dynamic model for studying the control strategy was not considered due to the focus of this paper on the performance evaluation and parametric study of the proposed system.
- The pressure drop in the heat exchanger, evaporator, and condenser can be ignored [51]. The pressure drop in the heat exchanger, evaporator, and compressor has little influence on the performance of the overall system.
- The temperature rise in the coolant and reaction gas passing through the stack was set to 5 K and the pressure drop was set to 0.2 atm. Since temperature and pressure changes are inevitable when reactants and coolants pass through the fuel cell stack, the temperature rise and pressure drop of reactants and coolants should be set within a reasonable range.
- The energy loss when connecting single cells in a series was neglected, and the performance of the fuel cell stack was the same as that of a single cell [52,53,54]. In practice, there are energy losses and inconsistent performance between single cells in a stack. To simplify the analysis, the energy losses and inconsistencies between cells were ignored.
- Changes in the potential and kinetic energies of fluids were neglected [55].
- Energy losses and isentropic efficiencies exist in compressors, pumps, and turbines [55].
3.2.1. Thermodynamic Model
HT-PEMFC Subsystem
ORC Subsystem
3.2.2. Energy Analysis
3.2.3. Exergy Analysis
4. Conclusions
Author Contributions
Funding
Institutional Review Board Statement
Informed Consent Statement
Data Availability Statement
Conflicts of Interest
References
- Orejuela-Escobar, L.M.; Landázuri, A.C.; Goodell, B. Second Generation Biorefining in Ecuador: Circular Bioeconomy, Zero Waste Technology, Environment and Sustainable Development: The Nexus. J. Bioresour. Bioprod. 2021, 6, 83–107. [Google Scholar] [CrossRef]
- Sonne, C.; Xia, C.; Lam, S.S. Is Engineered Wood China’s Way to Carbon Neutrality? J. Bioresour. Bioprod. 2022, 7, 83–84. [Google Scholar] [CrossRef]
- Zhou, W.; Lu, Q.; Zheng, Y. Review on the Selection of Health Indicator for Lithium Ion Batteries. Machines 2022, 10, 512. [Google Scholar] [CrossRef]
- Xie, J.Y.; Xu, X.; Cai, B.; Zhang, H.G. Responses of Forest Soil Labile Nitrogen Pool and Nitrogen Cycle to the Changes of Carbon Input under“Carbon Neutrality”. J. Nanjing For. Univ. Nat. Sci. Ed. 2022, 46, 1–11. [Google Scholar]
- Yang, H.Q.; Yu, Z.H. Research Trends and Future Key Issues of Global Harvested Wood Products Carbon Science. J. Nanjing For. Univ. Nat. Sci. Ed. 2021, 45, 119–228. [Google Scholar]
- Zhang, Z.G. Researches on Green Features and Category Architecture of Green Strategies of Renewable-Resource-Based Enterprises: A Case Study of Forestry Enterprise. J. Nanjing For. Univ. Nat. Sci. Ed. 2020, 44, 1–8. [Google Scholar]
- Liu, J.; Zhou, Z.; Yue, B.; Sun, Z.; Sun, Z. Chemical Looping Induced CH3OH–H2-PEMFC Scheme for Fuel Cell Vehicle: Parameter Optimization and Feasibility Analysis. J. Power Sources 2020, 479. [Google Scholar] [CrossRef]
- Debe, M.K. Electrocatalyst Approaches and Challenges for Automotive Fuel Cells. Nature 2012, 486, 43–51. [Google Scholar] [CrossRef]
- Jiao, K.; Xuan, J.; Du, Q.; Bao, Z.; Xie, B.; Wang, B.; Zhao, Y.; Fan, L.; Wang, H.; Hou, Z.; et al. Designing the next Generation of Proton-Exchange Membrane Fuel Cells. Nature 2021, 595, 361–369. [Google Scholar] [CrossRef]
- Cheng, Z.; Zhou, H.; Lu, Z. A Novel 10-Parameter Motor Efficiency Model Based on I-SA and Its Comparative Application of Energy Utilization Efficiency in Different Driving Modes for Electric Tractor. Agriculture 2022, 12, 362. [Google Scholar] [CrossRef]
- Zhou, W.; Zheng, Y.; Pan, Z.; Lu, Q. Review on the Battery Model and SOC Estimation Method. Processes 2021, 9, 1685. [Google Scholar] [CrossRef]
- Zheng, C.; Xu, D.C.; Cao, J.; Li, L.; Wen, B. Design of Lightweight Electric Forestry Monorail Vehicle. J. For. Eng. 2021, 6, 140–146. [Google Scholar] [CrossRef]
- Zhou, W.; Lin, P.; Xu, X.; Xie, Y. Sound Absorption Characteristics of the Jute Fiber Felt and Its Application in Automobiles. J. For. Eng. 2021, 6, 3–9. [Google Scholar] [CrossRef]
- Hou, Y.; Xu, X. High-Speed Lateral Stability and Trajectory Tracking Performance for a Tractor-Semitrailer with Active Trailer Steering. PLoS ONE 2022, 17, e0277358. [Google Scholar] [CrossRef] [PubMed]
- Wei, L.; Deng, W.; Li, S.; Wu, Z.; Cai, J.; Luo, J. Sandwich-like Chitosan Porous Carbon Spheres/MXene Composite with High Specific Capacitance and Rate Performance for Supercapacitors. J. Bioresour. Bioprod. 2022, 7, 63–72. [Google Scholar] [CrossRef]
- Chen, X.; Fang, Y.; Liu, Q.; He, L.; Zhao, Y.; Huang, T.; Wan, Z.; Wang, X. Temperature and Voltage Dynamic Control of PEMFC Stack Using MPC Method. Energy Rep. 2022, 8, 798–808. [Google Scholar] [CrossRef]
- Ma, C.H.; Luo, Y.H.; Li, J.H.; Huang, Y.X.; Jiang, N.; Guo, W.Q. Study on the Enrichment of Isoxaziridin from Acanthopanax Senticosus by Macroporous Resin Immobilized with Ionic Liquid. J. For. Eng. 2021, 6, 117–122. [Google Scholar] [CrossRef]
- Ma, C.H.; Sun, J.D.; Li, W.; Luo, S.; Liu, S.X. Application Progress of Ionic Liquids in the Field of Lignin Depolymerization. J. For. Eng. 2021, 6, 14–26. [Google Scholar] [CrossRef]
- Yan, Z.X.; Yang, H.Y.; Fan, S.F.; Wu, W.L.; Lyu, L.F.; Li, W.L. Analysis of the Expression of Sucrose Phosphate Synthase Genes Duringthe Development of Blackberry Fruit. J. Nanjing For. Univ. Nat. Sci. Ed. 2022, 46, 179–186. [Google Scholar] [CrossRef]
- Li, Y.; Shao, W.; Ma, Z.; Zheng, M.; Song, H. Performance Analysis of a HT-PEMFC System with 6FPBI Membranes Doped with Cross-Linkable Polymeric Ionic Liquid. Int. J. Mol. Sci. 2022, 23, 9618. [Google Scholar] [CrossRef]
- Xu, X.; Wang, Y.; Wang, Y. Influence of Magnetic Field on Sound Transmission Loss of the Unit Filled with Magnetorheological Fluid. Materials 2022, 15, 6032. [Google Scholar] [CrossRef] [PubMed]
- Haider, R.; Wen, Y.; Ma, Z.F.; Wilkinson, D.P.; Zhang, L.; Yuan, X.; Song, S.; Zhang, J. High Temperature Proton Exchange Membrane Fuel Cells: Progress in Advanced Materials and Key Technologies. Chem. Soc. Rev. 2021, 50, 1138–1187. [Google Scholar] [CrossRef] [PubMed]
- Reddy, E.H.; Monder, D.S.; Jayanti, S. Parametric Study of an External Coolant System for a High Temperature Polymer Electrolyte Membrane Fuel Cell. Appl. Therm. Eng. 2013, 58, 155–164. [Google Scholar] [CrossRef]
- Devrim, Y.; Arıca, E.D. Multi-Walled Carbon Nanotubes Decorated by Platinum Catalyst for High Temperature PEM Fuel Cell. Int. J. Hydrog. Energy 2019, 44, 18951–18966. [Google Scholar] [CrossRef]
- Authayanun, S.; Im-Orb, K.; Arpornwichanop, A. A Review of the Development of High Temperature Proton Exchange Membrane Fuel Cells. Cuihua Xuebao/Chin. J. Catal. 2015, 36, 473–483. [Google Scholar] [CrossRef]
- Pohl, E.; Meier, P.; Maximini, M.; Schloß, J. Vom Primary Energy Savings of a Modular Combined Heat and Power Plant Based on High Temperature Proton Exchange Membrane Fuel Cells. Appl. Therm. Eng. 2016, 104, 54–63. [Google Scholar] [CrossRef]
- Perna, A.; Minutillo, M.; Jannelli, E. Investigations on an Advanced Power System Based on a High Temperature Polymer Electrolyte Membrane Fuel Cell and an Organic Rankine Cycle for Heating and Power Production. Energy 2015, 88, 874–884. [Google Scholar] [CrossRef]
- Lu, Q.; Zhou, W.; Zheng, Y. Regenerative Braking Control Strategy with Real-Time Wavelet Transform for Composite Energy Buses. Machines 2022, 10, 673. [Google Scholar] [CrossRef]
- Ogungbemi, E.; Ijaodola, O.; Khatib, F.N.; Wilberforce, T.; El Hassan, Z.; Thompson, J.; Ramadan, M.; Olabi, A.G. Fuel Cell Membranes—Pros and Cons. Energy 2019, 172, 155–172. [Google Scholar] [CrossRef]
- Wang, C.; Li, Q.; Wang, C.; Zhang, Y.; Zhuge, W. Thermodynamic Analysis of a Hydrogen Fuel Cell Waste Heat Recovery System Based on a Zeotropic Organic Rankine Cycle. Energy 2021, 232, 121038. [Google Scholar] [CrossRef]
- Xu, J.; Zhang, C.; Fan, R.; Bao, H.; Wang, Y.; Huang, S.; Chin, C.S.; Li, C. Modelling and Control of Vehicle Integrated Thermal Management System of PEM Fuel Cell Vehicle. Energy 2020, 199, 117495. [Google Scholar] [CrossRef]
- Scaccabarozzi, R.; Tavano, M.; Invernizzi, C.M.; Martelli, E. Comparison of Working Fluids and Cycle Optimization for Heat Recovery ORCs from Large Internal Combustion Engines. Energy 2018, 158, 396–416. [Google Scholar] [CrossRef]
- Zhao, P.; Wang, J.; Gao, L.; Dai, Y. Parametric Analysis of a Hybrid Power System Using Organic Rankine Cycle to Recover Waste Heat from Proton Exchange Membrane Fuel Cell. Int. J. Hydrog. Energy 2012, 37, 3382–3391. [Google Scholar] [CrossRef]
- Wang, Z.; Xiong, W.; Ting, D.S.K.; Carriveau, R.; Wang, Z. Conventional and Advanced Exergy Analyses of an Underwater Compressed Air Energy Storage System. Appl. Energy 2016, 180, 810–822. [Google Scholar] [CrossRef]
- Liu, G.; Qin, Y.; Wang, J.; Liu, C.; Yin, Y.; Zhao, J.; Yin, Y.; Zhang, J.; Nenyi Otoo, O. Thermodynamic Modeling and Analysis of a Novel PEMFC-ORC Combined Power System. Energy Convers. Manag. 2020, 217, 112998. [Google Scholar] [CrossRef]
- Nguyen, H.Q.; Shabani, B. Proton Exchange Membrane Fuel Cells Heat Recovery Opportunities for Combined Heating/Cooling and Power Applications. Energy Convers. Manag. 2020, 204, 112328. [Google Scholar] [CrossRef]
- Xu, J.; Zhang, C.; Wan, Z.; Chen, X.; Chan, S.H.; Tu, Z. Progress and Perspectives of Integrated Thermal Management Systems in PEM Fuel Cell Vehicles: A Review. Renew. Sustain. Energy Rev. 2022, 155, 111908. [Google Scholar] [CrossRef]
- Fakhari, I.; Behzadi, A.; Gholamian, E.; Ahmadi, P.; Arabkoohsar, A. Comparative Double and Integer Optimization of Low-Grade Heat Recovery from PEM Fuel Cells Employing an Organic Rankine Cycle with Zeotropic Mixtures. Energy Convers. Manag. 2021, 228, 113695. [Google Scholar] [CrossRef]
- Behzadi, A.; Arabkoohsar, A.; Gholamian, E. Multi-Criteria Optimization of a Biomass-Fired Proton Exchange Membrane Fuel Cell Integrated with Organic Rankine Cycle/Thermoelectric Generator Using Different Gasification Agents. Energy 2020, 201, 117640. [Google Scholar] [CrossRef]
- Guo, Y.; Guo, X.; Zhang, H.; Hou, S. Energetic, Exergetic and Ecological Analyses of a High-Temperature Proton Exchange Membrane Fuel Cell Based on a Phosphoric-Acid-Doped Polybenzimidazole Membrane. Sustain. Energy Technol. Assess. 2020, 38, 100671. [Google Scholar] [CrossRef]
- Qin, Y.; Liu, G.; Chang, Y.; Du, Q. Modeling and Design of PEM Fuel Cell Stack Based on a Flow Network Method. Appl. Therm. Eng. 2018, 144, 411–423. [Google Scholar] [CrossRef]
- Chang, H.; Wan, Z.; Zheng, Y.; Chen, X.; Shu, S.; Tu, Z.; Chan, S.H. Energy Analysis of a Hybrid PEMFC–Solar Energy Residential Micro-CCHP System Combined with an Organic Rankine Cycle and Vapor Compression Cycle. Energy Convers. Manag. 2017, 142, 374–384. [Google Scholar] [CrossRef]
- Li, L.; Liu, Z.; Deng, C.; Ren, J.; Ji, F.; Sun, Y.; Xiao, Z.; Yang, S. Conventional and Advanced Exergy Analyses of a Vehicular Proton Exchange Membrane Fuel Cell Power System. Energy 2021, 222, 119939. [Google Scholar] [CrossRef]
- Marandi, S.; Mohammadkhani, F.; Yari, M. An Efficient Auxiliary Power Generation System for Exploiting Hydrogen Boil-off Gas (BOG) Cold Exergy Based on PEM Fuel Cell and Two-Stage ORC: Thermodynamic and Exergoeconomic Viewpoints. Energy Convers. Manag. 2019, 195, 502–518. [Google Scholar] [CrossRef]
- Kang, H.S.; Kim, M.H.; Shin, Y.H. Thermodynamic Modeling and Performance Analysis of a Combined Power Generation System Based on HT-PEMFC and ORC. Energies 2020, 13, 6163. [Google Scholar] [CrossRef]
- Liu, G.; Qin, Y.; Yin, Y.; Bian, X.; Kuang, C. Thermodynamic Modeling and Exergy Analysis of Proton Exchange Membrane Fuel Cell Power System. Int. J. Hydrog. Energy 2020, 45, 29799–29811. [Google Scholar] [CrossRef]
- Marandi, S.; Sarabchi, N.; Yari, M. Exergy and Exergoeconomic Comparison between Multiple Novel Combined Systems Based on Proton Exchange Membrane Fuel Cells Integrated with Organic Rankine Cycles, and Hydrogen Boil-off Gas Subsystem. Energy Convers. Manag. 2021, 244, 114532. [Google Scholar] [CrossRef]
- Fallah, M.; Mahmoudi, S.M.S.; Yari, M. A Comparative Advanced Exergy Analysis for a Solid Oxide Fuel Cell Using the Engineering and Modified Hybrid Methods. Energy Convers. Manag. 2018, 168, 576–587. [Google Scholar] [CrossRef]
- Sousa, T.; Mamlouk, M.; Scott, K. An Isothermal Model of a Laboratory Intermediate Temperature Fuel Cell Using PBI Doped Phosphoric Acid Membranes. Chem. Eng. Sci. 2010, 65, 2513–2530. [Google Scholar] [CrossRef]
- Scott, K.; Taama, W.M.; Kramer, S.; Argyropoulos, P.; Sundmacher, K. Limiting Current Behaviour of the Direct Methanol Fuel Cell. Electrochim. Acta 1999, 45, 945–957. [Google Scholar] [CrossRef]
- Li, L.; Liu, Z.; Deng, C.; Xie, N.; Ren, J.; Sun, Y.; Xiao, Z.; Lei, K.; Yang, S. Thermodynamic and Exergoeconomic Analyses of a Vehicular Fuel Cell Power System with Waste Heat Recovery for Cabin Heating and Reactants Preheating. Energy 2022, 247, 123465. [Google Scholar] [CrossRef]
- Huang, F.; Qiu, D.; Lan, S.; Yi, P.; Peng, L. Performance Evaluation of Commercial-Size Proton Exchange Membrane Fuel Cell Stacks Considering Air Flow Distribution in the Manifold. Energy Convers. Manag. 2020, 203, 112256. [Google Scholar] [CrossRef]
- Amirfazli, A.; Asghari, S.; Koosha, M. Mathematical Modeling and Simulation of Thermal Management in Polymer Electrolyte Membrane Fuel Cell Stacks. J. Power Sources 2014, 268, 533–545. [Google Scholar] [CrossRef]
- Amirfazli, A.; Asghari, S.; Sarraf, M. An Investigation into the Effect of Manifold Geometry on Uniformity of Temperature Distribution in a PEMFC Stack. Energy 2018, 145, 141–151. [Google Scholar] [CrossRef]
- Sarabchi, N.; Mahmoudi, S.M.S.; Yari, M.; Farzi, A. Exergoeconomic Analysis and Optimization of a Novel Hybrid Cogeneration System: High-Temperature Proton Exchange Membrane Fuel Cell/Kalina Cycle, Driven by Solar Energy. Energy Convers. Manag. 2019, 190, 14–33. [Google Scholar] [CrossRef]
- Li, Y.; Li, D.; Ma, Z.; Zheng, M.; Lu, Z.; Song, H.; Guo, X.; Shao, W. Performance Analysis and Optimization of a Novel Vehicular Power System Based on HT-PEMFC Integrated Methanol Steam Reforming and ORC. Energy 2022, 257, 124729. [Google Scholar] [CrossRef]
- Li, Y.; Li, D.; Ma, Z.; Zheng, M.; Lu, Z. Thermodynamic Modeling and Performance Analysis of Vehicular High-Temperature Proton Exchange Membrane Fuel Cell System. Membranes 2022, 12, 72. [Google Scholar] [CrossRef]
- Li, D.; Li, Y.; Ma, Z.; Zheng, M.; Lu, Z. Exergetic Performance Coefficient Analysis and Optimization of a High-Temperature Proton Exchange Membrane Fuel Cell. Membranes 2022, 12, 70. [Google Scholar] [CrossRef]
- Li, D.; Li, S.; Ma, Z.; Xu, B.; Lu, Z.; Li, Y.; Zheng, M. Ecological Performance Optimization of a High Temperature Proton Exchange Membrane Fuel Cell. Mathematics 2021, 9, 1332. [Google Scholar] [CrossRef]
- Guo, X.; Xu, B.; Ma, Z.; Li, Y.; Li, D. Performance Analysis Based on Sustainability Exergy Indicators of High-Temperature Proton Exchange Membrane Fuel Cell. Int. J. Mol. Sci. 2022, 23, 10111. [Google Scholar] [CrossRef]
- Priya, K.; Sathishkumar, K.; Rajasekar, N. A Comprehensive Review on Parameter Estimation Techniques for Proton Exchange Membrane Fuel Cell Modelling. Renew. Sustain. Energy Rev. 2018, 93, 121–144. [Google Scholar] [CrossRef]
- Lee, W.Y.; Kim, M.; Sohn, Y.J.; Kim, S.G. Power Optimization of a Combined Power System Consisting of a High-Temperature Polymer Electrolyte Fuel Cell and an Organic Rankine Cycle System. Energy 2016, 113, 1062–1070. [Google Scholar] [CrossRef]
- Ustaoglu, A. Parametric Study of Absorption Refrigeration with Vapor Compression Refrigeration Cycle Using Wet, Isentropic and Azeotropic Working Fluids: Conventional and Advanced Exergy Approach. Energy 2020, 201, 117491. [Google Scholar] [CrossRef]
- Tsatsaronis, G.; Morosuk, T. Advanced Exergetic Analysis of a Novel System for Generating Electricity and Vaporizing Liquefied Natural Gas. Energy 2010, 35, 820–829. [Google Scholar] [CrossRef]
- Ahmadi, P.; Dincer, I. Thermodynamic Analysis and Thermoeconomic Optimization of a Dual Pressure Combined Cycle Power Plant with a Supplementary Firing Unit. Energy Convers. Manag. 2011, 52, 2296–2308. [Google Scholar] [CrossRef]
- Miran, A.Z.; Nemati, A.; Yari, M. Performance Analysis and Exergoeconomic Evaluation of a TRC System Enhanced by a Dedicated Mechanical Subcooling. Energy Convers. Manag. 2019, 197, 111890. [Google Scholar] [CrossRef]
- Nalbant, Y.; Colpan, C.O.; Devrim, Y. Energy and Exergy Performance Assessments of a High Temperature-Proton Exchange Membrane Fuel Cell Based Integrated Cogeneration System. Int. J. Hydrog. Energy 2020, 45, 3584–3594. [Google Scholar] [CrossRef]
- Arabkoohsar, A.; Sadi, M. Thermodynamics, Economic and Environmental Analyses of a Hybrid Waste—Solar Thermal Power Plant. J. Therm. Anal. Calorim. 2020, 144, 917–940. [Google Scholar] [CrossRef]








| Components | Parameters | Values |
|---|---|---|
| HT-PEMFC stack | Number of fuel cells, | 175 |
| Effective working area, | 0.03 m2 [45] | |
| Anode stoichiometry, | 1.05 [46] | |
| Cathode stoichiometry, | 2.0 [46] | |
| Anode inlet pressure, | 2 atm [46] | |
| Cathode inlet pressure, | 2 atm [46] | |
| Inlet temperature, | 423 K [40] | |
| Limiting current density, | 20,000 [40] | |
| Compressors | Isentropic efficiency, | 80% [47] |
| Heat exchangers | Pinch point temperature difference | 10 K [47] |
| Pump | Isentropic efficiency, | 55% [46] |
| Evaporator | Pinch point temperature difference | 10 K [47] |
| Expander | Isentropic efficiency, | 80% [47] |
| Components | Powers (W) | (W) | (W) | (W) | (%) | (%) | (%) |
|---|---|---|---|---|---|---|---|
| HT-PEMFC stack | 22,731.49 | 41,687.51 | 22,731.49 | 18,956.02 | 54.53 | 45.47 | 75.46 |
| AC | −2158.62 | 2158.62 | 1785.75 | 372.87 | 82.73 | 17.27 | 1.48 |
| HC | −5.20 | 5.20 | 4.15 | 1.05 | 79.85 | 20.15 | 0.0042 |
| AHE | 0 | 147.58 | 133.05 | 14.53 | 90.15 | 9.85 | 0.0578 |
| CHE | 0 | 2417.35 | 410.76 | 2006.59 | 16.99 | 83.01 | 7.99 |
| Pump 1 | −678.47 | 678.47 | 153.71 | 524.77 | 22.65 | 22.65 | 2.09 |
| Eva | 0 | 5801.21 | 1399.00 | 2402.22 | 24.12 | 41.41 | 9.56 |
| Exp | 2858.41 | 3271.41 | 2858.41 | 413.00 | 87.38 | 12.62 | 1.64 |
| Con | 0 | 895.30 | 706.73 | 188.58 | 78.94 | 21.06 | 0.75 |
| Pump 2 | −289.70 | 289.70 | 49.94 | 239.75 | 17.24 | 82.76 | 0.95 |
| Components | Fuel Exergy, | Product Exergy, | Exergy Losses, |
|---|---|---|---|
| HT-PEMFC stack | |||
| AC | |||
| HC | |||
| AHE | |||
| CHE | |||
| Pump 1 | |||
| Eva | |||
| Exp | |||
| Con | |||
| Pump 2 |
Publisher’s Note: MDPI stays neutral with regard to jurisdictional claims in published maps and institutional affiliations. |
© 2022 by the authors. Licensee MDPI, Basel, Switzerland. This article is an open access article distributed under the terms and conditions of the Creative Commons Attribution (CC BY) license (https://creativecommons.org/licenses/by/4.0/).
Share and Cite
Li, Y.; Yang, M.; Ma, Z.; Zheng, M.; Song, H.; Guo, X. Thermodynamic Modeling and Exergy Analysis of A Combined High-Temperature Proton Exchange Membrane Fuel Cell and ORC System for Automotive Applications. Int. J. Mol. Sci. 2022, 23, 15813. https://doi.org/10.3390/ijms232415813
Li Y, Yang M, Ma Z, Zheng M, Song H, Guo X. Thermodynamic Modeling and Exergy Analysis of A Combined High-Temperature Proton Exchange Membrane Fuel Cell and ORC System for Automotive Applications. International Journal of Molecular Sciences. 2022; 23(24):15813. https://doi.org/10.3390/ijms232415813
Chicago/Turabian StyleLi, Yanju, Mingfei Yang, Zheshu Ma, Meng Zheng, Hanlin Song, and Xinjia Guo. 2022. "Thermodynamic Modeling and Exergy Analysis of A Combined High-Temperature Proton Exchange Membrane Fuel Cell and ORC System for Automotive Applications" International Journal of Molecular Sciences 23, no. 24: 15813. https://doi.org/10.3390/ijms232415813
APA StyleLi, Y., Yang, M., Ma, Z., Zheng, M., Song, H., & Guo, X. (2022). Thermodynamic Modeling and Exergy Analysis of A Combined High-Temperature Proton Exchange Membrane Fuel Cell and ORC System for Automotive Applications. International Journal of Molecular Sciences, 23(24), 15813. https://doi.org/10.3390/ijms232415813

