Effects of Residual Composition and Distribution on the Structural Characteristics of the Protein
Abstract
1. Introduction
2. Results and Discussion
2.1. Effect of the Chain Length
2.1.1. Energy
2.1.2. Radius of Gyration
2.1.3. Global Orientational Order Parameter
2.2. Effect of the HNP Ratios
2.2.1. Energy
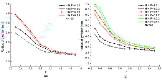
2.2.2. Radius of Gyration
2.2.3. Global Orientational Order Parameter
2.3. Effect of the Serial Number of Three Types of Residues with Same Ratio
2.3.1. Energy
2.3.2. Radius of Gyration
2.3.3. Global Orientational Order Parameter
2.3.4. Stem Length
2.3.5. Contacts Number
3. Materials and Methods
- (I)
- The bond-stretching potential energies for every couple of adjacent beads connected by covalent bonds,
- (II)
- The bond-bending potential energies are defined for every triplet of adjacent beads,
- (III)
- The bond-torsional potential energies are defined for every quadruplet of adjacent beads,
- (IV)
- The non-bonded interaction involves beads that are at least four residues apart in the amino acid sequence. For two beads, the non-bonded interaction is given by the truncated 12-6 Lennard–Jones potential,
4. Conclusions
- (1)
- The four potential energy of each bond in the protein chain is independent of chain length. The linear relationship between the bond-stretching/bending energy per bond and the temperature is obtained. It is consistent as the equipartition theorem of energy that the average value of bond-stretching/bending energy associated with each independence degree of freedom bond length l or bond angle θ. The increasing tendency of the bond-torsional or non-bonded energy has a little deviation from the straight line. Overall, the total potential energy of the whole chain is only dependent on the chain length when the protein is at a certain temperature.
- (1)
- The total and components of the radius of gyration with different protein chain lengths as the function of temperature show that increases with decreased temperature. shows a similar tendency with , while (or ) presents the opposite tendency with , especially when . The differences between and indicate that the protein takes anisotropic configuration at the low temperature. The increasing global orientational order parameter P with the decreasing temperature indicates the paralleled bonds among the protein. The shorter chain takes the larger value of P than the one of longer protein, as the longer protein is partially paralleled under a certain temperature with more continuous bonds influencing each other to hardly form a good orientated structure.
- (3)
- The effect of the hydrophobic, neutral, and polar residue proportions under certain chain length was also investigated. The simulation results show that the protein with the higher proportion of hydrophobic residue in a repeating unit takes the lower value of non-bonded energy, the lower value of radius of gyration and the higher value of global orientational order when protein chains with the same length under the certain temperature. It indicates that the protein with higher ratio of hydrophobic residues can easily transform from a random coil to an oriented and compact structure with the decreasing temperature.
- (4)
- From the perspective of the successive number of hydrophobic residues in a repeating unit, we concluded that the protein with a higher number of consecutive H residue receives the lower value of the non-bonded energy, the lower value of the radius of gyration and the larger value of global orientational order as the sequential hydrophobic residues make more consecutive H-H interaction pairs to form tight and ordered configuration. The analysis of contact number also reflects the long-range interaction among the residues.
- (5)
- Exponential decline of stem length distribution is shown in any proteins under the high temperature situation. However, with the temperature decreasing, different proteins present a diverse tendency of stem length distribution. For example, the stem length distribution of H3N1P1 protein chains can keep exponentially decreased in the low temperature, while H4N1P1, H6N2P2, and H8N2P2 present peaks located at different stem lengths from 30 to 60 bonds. It indicates the specific ordered lengths of the ordered protein chain. The protein with higher proportion or larger number of consecutive hydrophobic residue H in a repeating unit present the transition of the stem length distribution from exponential decline to unimodal peak and even multiple peaks Thus, the proportion and the number of consecutive hydrophobic residue influence the stem length distribution simultaneously.
Author Contributions
Funding
Institutional Review Board Statement
Informed Consent Statement
Acknowledgments
Conflicts of Interest
References
- Hagita, K.; Fujiwara, S. Single-chain folding of a quenched isotactic polypropylene chain through united atom molecular dynamics simulations. Polymer 2019, 183, 121861. [Google Scholar] [CrossRef]
- Farris, A.C.K.; Seaton, D.T.; Landau, D.P. Effects of lattice constraints in coarse-grained protein models. J. Chem. Phys. 2021, 154, 084903. [Google Scholar] [CrossRef] [PubMed]
- Jafari, M.; Doustdar, F.; Mehrnejad, F. Molecular self-assembly strategy for encapsulation of an amphipathic α-helical antimicrobial peptide into the different polymeric and copolymeric nanoparticles. J. Chem. Inf. Model. 2019, 59, 550–563. [Google Scholar] [CrossRef] [PubMed]
- Jiang, Z.; Zhang, L.; Chen, J.; Xia, A.; Zhao, D. Effect of amino acid on forming residue–residue contacts in proteins. Polymer 2002, 43, 6037–6047. [Google Scholar] [CrossRef]
- Anfinsen, C.B. Principles that govern the folding of protein chains. Science 1973, 181, 223–230. [Google Scholar] [CrossRef]
- Plaxco, K.W.; Simons, K.T.; Baker, D. Contact order, transition state placement and the refolding rates of single domain proteins. J. Mol. Biol. 1998, 277, 985–994. [Google Scholar] [CrossRef]
- Ivankov, D.N.; Garbuzynskiy, S.O.; Alm, E.; Plaxco, K.W.; Baker, D.; Finkelstein, A.V. Contact order revisited: Influence of protein size on the folding rate. Protein Sci. 2003, 12, 2057–2062. [Google Scholar] [CrossRef]
- Zhong-Can, O.-Y.; Su, Z.-B.; Wang, C.-L. Coil Formation in Multishell Carbon Nanotubes: Competition between Curvature Elasticity and Interlayer Adhesion. Phys. Rev. Lett. 1997, 78, 4055–4058. [Google Scholar] [CrossRef]
- Gumerov, R.A.; Potemkin, I.I. Computer simulations of comb-like macromolecules with responsive diblock copolymer side chains. Colloid Polym. Sci. 2020, 299, 407–418. [Google Scholar] [CrossRef]
- Nikam, R.; Xu, X.; Kanduc, M.; Dzubiella, J. Competitive sorption of monovalent and divalent ions by highly charged globular macromolecules. J. Chem. Phys. 2020, 153, 044904. [Google Scholar] [CrossRef] [PubMed]
- Xu, B.; Jin, H.; Li, H.; Guo, Y.; Fan, J. Investigation on the Evolution of the Coal Macromolecule in the Process of Combustion With the Molecular Dynamics Method. J. Energy Resour. Technol. 2020, 142, 052301. [Google Scholar] [CrossRef]
- Ferreon, A.C.; Deniz, A.A. Protein folding at single-molecule resolution. Biochim. Biophys. Acta 2011, 1814, 1021–1029. [Google Scholar] [CrossRef] [PubMed]
- Hattori, L.T.; Pinheiro, B.A.; Frigori, R.B.; Benitez, C.M.V.; Lopes, H.S. PathMolD-AB: Spatiotemporal pathways of protein folding using parallel molecular dynamics with a coarse-grained model. Comput. Biol. Chem. 2020, 87, 107301. [Google Scholar] [CrossRef]
- Dill, K.A. Theory for the folding and stability of globular proteins. Biochemistry 1985, 24, 1501–1509. [Google Scholar] [CrossRef]
- Regan, L.; DeGrado, W.F. Characterization of a helical protein designed from first principles. Science 1988, 241, 976–978. [Google Scholar] [CrossRef]
- Miyazawa, S.; Jernigan, R.L. Residue-residue potentials with a favorable contact pair term and an unfavorable high packing density term, for simulation and threading. J. Mol. Biol. 1996, 256, 623–644. [Google Scholar] [CrossRef]
- Sangha, A.K.; Keyes, T. Protein folding and confinement: Inherent structure analysis of chaperonin action. J. Phys. Chem. B 2010, 114, 16908–16917. [Google Scholar] [CrossRef]
- Li, B.; Lin, M.; Liu, Q.; Li, Y.; Zhou, C. Protein folding optimization based on 3D off-lattice model via an improved artificial bee colony algorithm. J. Mol. Model. 2015, 21, 261. [Google Scholar] [CrossRef]
- Bošković, B.; Brest, J. Two-phase protein folding optimization on a three-dimensional AB off-lattice model. Swarm Evol. Comput. 2020, 57, 100708. [Google Scholar] [CrossRef]
- Bardis, N.; Todorin, I.; Yanev, N.; Traykov, M.; Yurukov, B. A new off-lattice HP model with side-chains for protein folding problem. ITM Web Conf. 2018, 16, 02007. [Google Scholar] [CrossRef][Green Version]
- Jiang, Z.-T.; Dou, W.-H.; Shen, Y.; Sun, T.-T.; Xu, P. Residual occurrence and energy property of proteins in HNP model. Chin. Phys. B 2015, 24, 116802. [Google Scholar] [CrossRef]
- Miyazawa, S.; Jernigan, R.L. Estimation of effective interresidue contact energies from protein crystal structures: Quasi-chemical approximation. Macromolecules 2002, 18, 534–552. [Google Scholar] [CrossRef]
- Mayo, S.L.; Olafson, B.D.; Goddard, W.A. DREIDING: A generic force field for molecular simulations. J. Phys. Chem. 2002, 94, 8897–8909. [Google Scholar] [CrossRef]
- Li, H.; Fujiwara, S.; Nakamura, H.; Mizuguchi, T.; Yasunaga, T.; Otsuka, T.; Kenmotsu, T.; Hatano, Y.; Saito, S. Structural Changes in Tritium-Substituted Polymeric Materials by Beta Decays: A Molecular Dynamics Study. Plasma Fusion Res. 2019, 14, 3401106. [Google Scholar] [CrossRef]
- Jiang, Z.-T.; Xu, P.; Sun, T.-T. A study on the structural transition of a single polymer chain by parallel tempering molecular dynamics simulation. Chin. J. Polym. Sci. 2011, 30, 45–55. [Google Scholar] [CrossRef]
- Swope, W.C.; Andersen, H.C.; Berens, P.H.; Wilson, K.R. A computer simulation method for the calculation of equilibrium constants for the formation of physical clusters of molecules: Application to small water clusters. J. Chem. Phys. 1982, 76, 637–649. [Google Scholar] [CrossRef]
- Nosé, S. A unified formulation of the constant temperature molecular dynamics methods. J. Chem. Phys. 1984, 81, 511–519. [Google Scholar] [CrossRef]
- Hoover, W.G. Canonical dynamics: Equilibrium phase-space distributions. Phys. Rev. A Gen. Phys. 1985, 31, 1695–1697. [Google Scholar] [CrossRef]











| H | N | P | |
|---|---|---|---|
| H | |||
| N | |||
| P |
Publisher’s Note: MDPI stays neutral with regard to jurisdictional claims in published maps and institutional affiliations. |
© 2022 by the authors. Licensee MDPI, Basel, Switzerland. This article is an open access article distributed under the terms and conditions of the Creative Commons Attribution (CC BY) license (https://creativecommons.org/licenses/by/4.0/).
Share and Cite
Song, Q.; Wu, Z.; Jin, C.; Yu, Z.; Xu, P.; Jiang, Z. Effects of Residual Composition and Distribution on the Structural Characteristics of the Protein. Int. J. Mol. Sci. 2022, 23, 14263. https://doi.org/10.3390/ijms232214263
Song Q, Wu Z, Jin C, Yu Z, Xu P, Jiang Z. Effects of Residual Composition and Distribution on the Structural Characteristics of the Protein. International Journal of Molecular Sciences. 2022; 23(22):14263. https://doi.org/10.3390/ijms232214263
Chicago/Turabian StyleSong, Qiaoling, Zhenan Wu, Chenghao Jin, Zhichao Yu, Peng Xu, and Zhouting Jiang. 2022. "Effects of Residual Composition and Distribution on the Structural Characteristics of the Protein" International Journal of Molecular Sciences 23, no. 22: 14263. https://doi.org/10.3390/ijms232214263
APA StyleSong, Q., Wu, Z., Jin, C., Yu, Z., Xu, P., & Jiang, Z. (2022). Effects of Residual Composition and Distribution on the Structural Characteristics of the Protein. International Journal of Molecular Sciences, 23(22), 14263. https://doi.org/10.3390/ijms232214263

